Abstract
Background and Objectives: Rheumatoid arthritis (RA) is a chronic, inflammatory, autoimmune, multi-factorial disease, in which environmental and genetic factors play a major role. RA is possibly linked to vitamin D deficiency and vitamin D receptor (VDR) gene polymorphisms, and research demonstrates that FokI variant susceptibility is associated with increased disease risk among Caucasians. The aim of this study was to evaluate vitamin D deficiency prevalence and its correlation to RA clinical parameters, and to determine the possible association of VDR gene polymorphisms and RA susceptibility in the Lithuanian population. Materials and Methods: Overall, 206 RA patients and 180 age- and sex-matched healthy controls were enrolled at Vilnius University Hospital Santaros Klinikos after informed consent was obtained. The disease activity score 28 C-reactive protein (DAS28 CRP), rheumatoid arthritis impact of disease (RAID) score, and health assessment questionnaire (HAQ) were recorded in RA patients, and 25(OH)D serum levels were evaluated by chemiluminescent microparticle immunoassay for all subjects. Four VDR gene polymorphisms, BsmI, FokI, ApaI, and TaqI, were assessed using real-time PCR instruments and genotyping assays in both groups. Results: The study registered a high prevalence of 25(OH)D deficiency (<50 nmol/L) in RA patients (61.55% (n = 127)). The mean serum concentration in RA patients (44.96 ± 21.92 (nmol/L)) was significantly lower than in the healthy controls (54.90 ± 22.82 (nmol/L)), p < 0.0001. A significant inverse correlation between vitamin D level, DAS28 CRP, and HAQ scores was confirmed in RA patients, with p < 0.05. Still, there was no significant association between the overall risk of RA disease for any allele or genotype of the four VDR loci tested. Conclusions: The study confirmed that vitamin D deficiency is prevalent among RA patients and the 25(OH)D level is significantly lower compared with healthy controls. Lower vitamin D concentration was related with increased disease activity and disability scores. However, genetic analysis of four VDR polymorphisms did not confer the susceptibility to RA in Lithuanian population.
1. Introduction
Rheumatoid arthritis (RA) is a chronic autoimmune inflammatory disease that mostly affects synovial tissue, less commonly occurs as extra-articular manifestations, and leads to higher mortality and disability rates [1]. While the etiology of RA has not yet been fully elucidated, a combination of genetic, epigenetic, and environmental factors are consideredas potential risk factors of the disease that release subsequent changes in the innate and adaptive immune system and the development of RA [2].
Special attention on vitamin D in autoimmune diseases including RA was brought to light during the past decades, explored in in vitro studies, and discussed in scientific literature, revealing its non-classical effects beyond bone metabolism, i.e., calcium homeostasis [3]. Vitamin D is a fat-soluble vitamin, secosteroid, and is mainly synthesized in the human skin from the precursor molecule 7-dehydrocholesterol during UV exposure, although it is also obtained from dietary sources [1]. The active form of vitamin D, 1,25 dihydroxyvitamin D (1,25(OH)2D3), contributes to the regulation and differentiation of the immune cells and leads to potential anti-inflammatory, immunomodulatory, antiproliferative, and even, gene expression-modulating properties [3,4,5]. Vitamin D is involved in the mechanisms of regulation of the immune system, it regulates the action of suppressor T lymphocytes and the synthesis of cytokines, and acts by modulating the processes of cellular apoptosis [6]. In addition, multiple actions on dendritic, T/B cells lead to the decrease in the production of numerous cytokines, i.e., TNF-α, IL-17, IL-6, and IL-1, and the inhibition of IL-2 and interferon γ, which are crucial in etiopathogenesis of RA [7]. These insights clarify why vitamin D deficiency is possibly linked to RA and is associated with higher disease activity and a worse quality of life [8,9].Vitamin D mediates its function by binding to the vitamin D receptor (VDR), which is encoded by the VDR gene—a member of nuclear hormone receptors superfamily detected in various immune cell types that is also present on chondrocytes and synovial cells in RA affected joints [5,10].
VDR gene single nucleotide polymorphisms (SNP) are one of the most studied gene variants in the background of RA. This gene is located on chromosome 12 (locus geni 12q13.11) and consists of 11 exons, 3 of which form a non-coding 5′ region, and the other8 are responsible for the VDR product. The VDR gene has a large promoter region able to generate multiple tissue-specific transcripts [11,12]. To date, there are over 470 SNPs identified in the human VDR gene, but the most extensively studied are TaqI, FokI, BsmI, and ApaI [12,13]. BsmI and ApaI are found in intron 8 and TaqI is found in exon 9, implying that all three SNPs are located at the 3′-end of the gene and are proved to be in strong linkage disequilibrium. Meanwhile, FokI is a start codon polymorphism and may have an indirect effect on 25(OH)D levels [12,14,15]. Data shows that VDR gene variants have a complex effect on VDR expression and function itself. In addition, over 11,000 presumptive VDR target genes are involved in miscellaneous physiological roles, like cell proliferation, differentiation, metabolism, and others, enhancing their involvement in a number of diverse diseases and encouraging studies in the etiopathogenesis of RA [15]. RA susceptibility to VDR gene polymorphisms differs by geographical latitude and ethnic subgroups, revealing that the FokI variant potentially increases disease risk among Caucasians, while BsmI is linked to RA-associated bone loss [12,14].
The aim of this study was to evaluate the prevalence of vitamin D deficiency, its correlation to RA disease activity, and correlation to disability scores, as well as to determine a possible association between VDR gene polymorphisms and RA susceptibility in the Lithuanian population.
2. Materials and Methods
2.1. Subjects
For this case-control study, 206 RA patients (184 females/22 males, mean age 55.01 ± 11.08) and 180 age- and sex-matched healthy controls (163 females/17 males, mean age 53.15 ± 10.68) of the Lithuanian population were enrolled at Vilnius University Hospital Santaros Klinikos (VUHSK) Rheumatology Center after informed consent was obtained according to the permission of Vilnius Regional Biomedical Research Ethics Committee. For autoimmune arthritis subjects, RA diagnosis was established by the American College of Rheumatology/European League Against Rheumatism (ACR/EULAR) 2010 rheumatoid arthritis classification criteria at least 1 year prior to the study inclusion, or by the 1987 ACR classification criteria if diagnosed before the year 2010 [16,17]. Demographic, anthropometric, and clinical/medical data from all RA patients were collected. All RA patients were asked to fill out two provided questionnaires: the health assessment questionnaire (HAQ) and rheumatoid arthritis impact of disease (RAID) score [18,19]. The disease activity score28 C-reactive protein(DAS28 CRP) was measured by counting 28 tender and swollen joints, the visual analogue scale (VAS 100 mm), and the C-reactive protein concentration (CRP, mg/L), and then classified as follows: high disease activity (≥5.1), moderate disease activity (>3.2 to 5.1), low disease activity (2.6 to ≤3.2) and remission (<2.6) [20]. The control group was invited to participate in the VUHSK Family Medicine Center by a family doctor, and if eligible, they were further referred to the Rheumatology Center for the informed consent form signing and data (demographic, anthropometric, and blood samples) collection. All recruited subjects were >18 years old. Subjects with diagnosed cancer (<5 years), other autoimmune comorbidities (e.g., diabetes mellitus, etc.), and pregnancy were excluded. Biochemical tests and genetic analysis blood samples from all subjects were collected, coded, and labeled as required.
2.2. Vitamin D Evaluation
All subjects (RA patients and healthy controls) were enrolled from late October until the middle of May, according to known seasonal 25(OH)D serum level variations and their possible influence on disease activity and severity scores. Blood samples were collected using BD Vacutainer Serum Separator Tubes (5 mL) (BD Biosciences, NJ, USA) and prepared by standard procedures. The vitamin D serum level evaluation was performed in VUHSK, Center of Laboratory Medicine using chemiluminescent microplate immunoassay (Architect ci8200, Abbott Laboratories, IL, USA), with the ability to detect 25(OH)D3 from 98.6% to 101.1% and 25(OH)D2 from 80.5% to 84.4%. Vitamin D concentration was classified as normal (≥75 nmol/L), insufficient (≥50–75 nmol/L), or deficient (<50 nmol/L) [21].
2.3. Cell Preparation and DNA Isolation
Blood samples for DNA analysis from all subjects were collected using BD Vacutainer® CPT™mononuclear cell preparation tube sodium citrate vacutainers (8 mL) (BD Biosciences). Peripheral blood mononuclear cells (PBMC) were prepared using the manufacturer’s recommendations and standardized procedures: tubes with blood samples were centrifuged (Centrifuge, Heraeus Megafuge 8 Centrifuge, Thermo Scientific (TS) part of Thermo Fisher Scientific (TFS), Wilmington, DE, USA) by stages, and cell washing steps using phosphate-buffered saline (PBS) (Biochrom, Berlin, Germany) were performed as suggested. Samples with prepared PBMC were stored at −70 °C. For further genetic analysis, DNA isolation was performed using commercial GeneJET Genomic DNA Purification Kit (TFS) by the manufacturer‘s recommendations. Isolated DNA concentration and purity were measured by a 260/280 and 260/230 ratio using a NanoDrop® 2000 spectrophotometer (TS, TFS). Each subject DNA sample was placed into LoBind microcentrifuge 1.5 mL tubes (Eppendorf, Hamburg, Germany), labeled, and stored at −20 °C.
2.4. Quantitative Polymerase Chain Reaction (qPCR) and VDR Genotyping
The TaqMan probe-based qPCR analysis was used for sensitive and specific identification of four target VDR gene polymorphisms (TaqI (rs731236), BsmI (rs1544410), ApaI (rs7975232), and FokI (rs2228570)). This method exploits the 5′ → 3′ nuclease activity of the Taq polymerase to detect and quantify specific PCR products. One pair of unlabeled primers was used to amplify the desired DNA region containing the SNP. In addition, two TaqMan hydrolysis probes (with a different reporter dye and a common quencher dye on the 5′ and 3′ ends, respectively) which differed only at the polymorphic site were designed. One probe was made complementary to the wild-type allele, while the other probe was complementary to the alternative allele. The probes bind to the polymorphic site of interest during the annealing phase of the PCR reaction. As amplification proceeds, the nuclease activity of Taq polymerase cleaves the reporter dye from the perfectly hybridized probe, resulting in increased fluorescence. Only the perfectly hybridized probe (wild-type or alternative) were cleaved by the Taq polymerase, resulting in the real-time detection of the PCR products. The ratio of the fluorescence from the two reporter dyes after the PCR reaction determined the genotype of the sample.
After the extracted DNA samples were normalized by diluting them into equal concentrations, qPCR was performed using TaqMan PCR mixture Universal MasterMix II with Uracil-N-glycosylase (UNG) (Applied Biosystems (AB) part of TFS, Foster, CA, USA), TaqMan SNP Genotyping Assay (AB, TFS), and QuantStudio 5 Real-Time PCR System (AB, TFS) according to the manufacturer’s recommendations. PCR thermal conditions were adjusted according to the used TaqMan PCR mixture and were as follows: initial denaturing at 95 °C for 10 min, 40 cycles of 95 °C for 15 sec (denaturing), and 60 °C for 1 min (annealing/extension).To assess the test validity, three positive controls per assay were used: samples that represent three genotype classes (homozygous major, minor, and heterozygous). Genotyping data was visualized using QuantStudio 5 Real-Time PCR System program (version 1.3, AB, TFS).
2.5. Statistical Analysis
Statistical analysis for the demographic, clinical, and biochemical characteristics first was performed using descriptive statistics. Frequency distribution for categorical variables was determined by the Chi-square test. Parametric (t-test, ANOVA) tests for normally distributed variables and non-parametric (Wilcoxon, Kruskal–Wallis) tests for not normally distributed data were applicable for the subjects clinical and biochemical parameters and the association with genotype/allele frequency after the Shapiro–Wilk normality test was applied. A follow-up, post-hoc test (Dunn’s multiple comparison test) was performed to determine which groups were different from the others when the non-parametric ANOVA was significant. For the association of two normally or not normally distributed variables, the Pearson or Spearman rank correlation coefficients were calculated, respectively. RA risk and genotype/allele association strength was assessed by computing the odds ratio (OR). To distinguish healthy controls from RA patients, logistic regression and ROC curve analysis was applied. Statistically significant results were set at p < 0.05. Statistical analysis and data visualization were performed using Microsoft Office Excel 2016 (Microsoft Corporation, Redmond, WA, USA), R (Version 1.1.383, RStudio Inc, Boston, MA, USA), GraphPad Prism (version 7.03, GraphPad Software, San Diego, CA, USA), MedCalc (Version 14.8.1, MedCalc Software Ltd., Ostend, Belgium), and Stata/MP 13.0 (StataCorp LP, College Station, TX, USA) programs.
3. Results
3.1. Vitamin D Level and Its Correlation with Disease Activity Parameters
In total, 386 subjects participated in the study from January 2017 until December 2019 with seasonal intervals, as recorded before. Altogether, researchers enrolled 206 RA patients, comprising 184 females and 22 males, of which 76 participants were using vitamin D supplements and 130 were not, 109 were treated with biological disease-modifying anti-rheumatic drugs (bDMARDs), and 97 were treated with conventional synthetic DMARDs (e.g., Methotrexate, Sulfasalazine, Hydroxychloroquine, etc.). The mean age of the RA subjects at enrolment was 55.01 ± 11.08 years, andthe mean disease duration was 11.71 ± 9.22 years. For comparison analysis, 180 age- and sex-matched healthy controls, comprising 163 females and 17 males with a mean age of 53.15 ± 10.68, were enrolled. The fully descriptive subject data analysis is presented in Table 1.
Table 1.
Demographical, clinical, and biochemical characteristics of rheumatoid arthritis (RA) patients and controls.
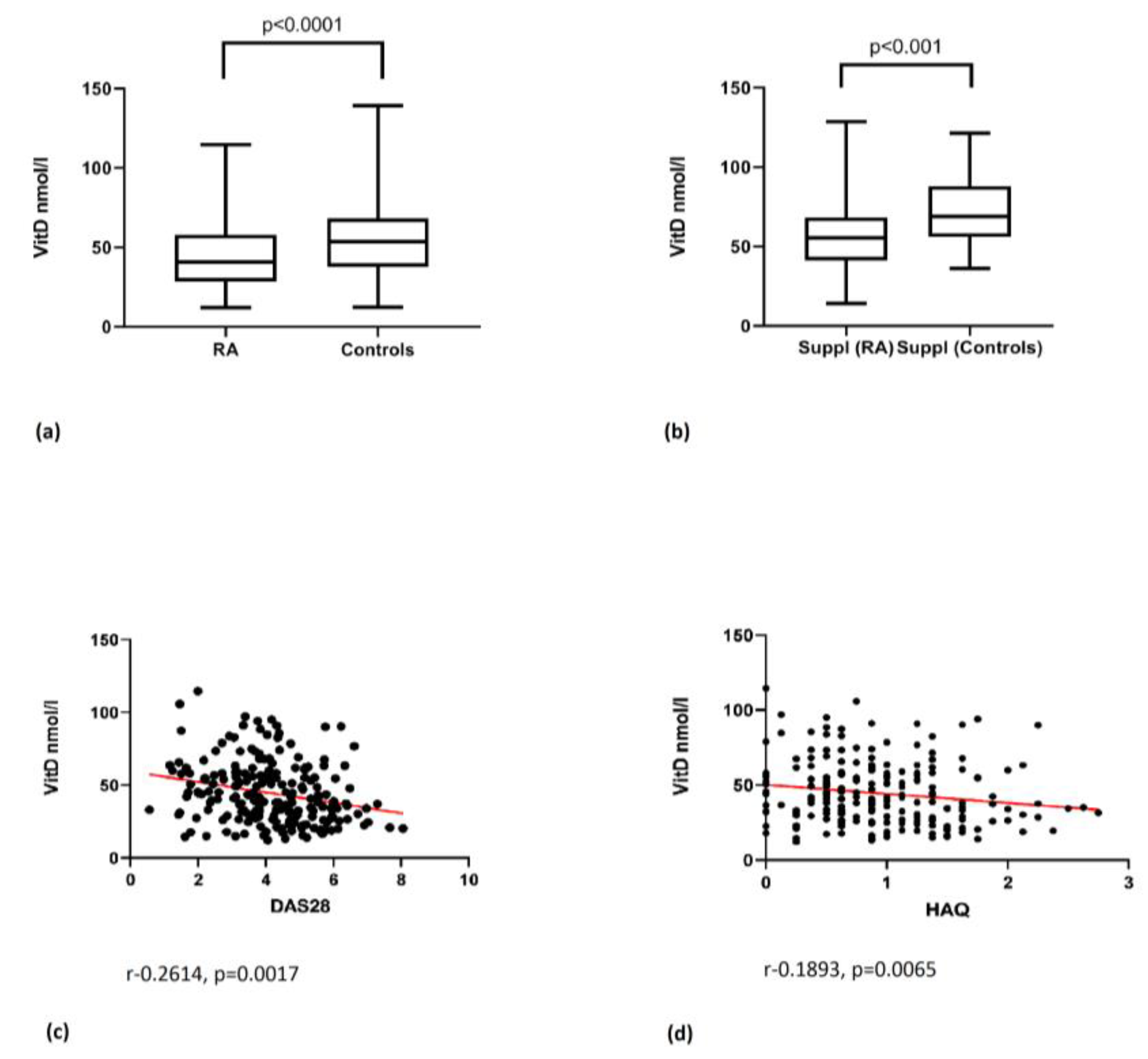
We registered 25(OH)D deficiency (<50 nmol/L) in 61.55% of RA patients (n = 127), insufficiency (≥50–75 nmol/L) in 27.67% of RA patients (n = 57), and normal concentrations (≥75–125 nmol/L) in only 9.7% (n = 20) of RA patients. The mean serum concentration of 25(OH)D in RA patients was 44.96 ± 21.92 (nmol/L), being significantly lower than in the healthy controls, who had a mean concentration of 54.90 ± 22.82 (nmol/L), with p < 0.0001 (Figure 1a). Groups subdivided by vitamin D supplementation also revealed significant differences between the RA patients and controls, with p < 0.001 (Figure 1b). Our data confirmed a statistically significant inverse correlation between the vitamin D level, DAS28 CRP, and HAQ scores in RA patients, respectively (r-0.2614, p = 0.0017; r-0.1893, p = 0.0065) (Figure 1c,d).
Figure 1.
Vitamin D level and correlation with clinical parameters of RA. (a) Vitamin D (vitD) level in rheumatoid arthritis (RA) and controls; (b) vitamin D level in vitamin D supplemented (Suppl) RA and controls; (c) vitamin D correlation with disease activity score 28 C-reactive protein (DAS28 CRP); (d) vitamin D correlation with health assessment questionnaire (HAQ).
On the contrary, vitamin D levels had no significant correlation with the RAID score. However, patients using vitamin D supplementation had higher vitamin D levels and a lower RA DAS28 CRP score (p < 0.05), suggesting that higher vitamin D concentration is associated with lower disease activity.
3.2. VDR Polymorphism Analysis
Genotype frequencies of RA patients and healthy controls were tested for compatibility with the Hardy–Weinberg equilibrium, confirming FokI, ApaI, and BsmI VDR loci compatibility, except for BsmI in RA subjects (p = 0.045). No significant association between the overall risk of RA disease for any allele or genotype of the four VDR loci tested was found (Table 2). There was also no significant difference between RA patients and healthy controls regarding the distribution of BsmI, ApaI, FokI, and TaqI genotypes and their allele frequencies (p > 0.05).
Table 2.
Vitamin D receptor (VDR) gene genotype and allele frequency distribution in RA and controls.
Vitamin D levels comparing RA patients and healthy controls in reference to four VDR polymorphisms were significantly different in both groups (p < 0.005), except for the TaqI tt, BsmI bb, and FokI ff genotypes (Table 3). Vitamin D concentration in RA patients and controls carrying minor alleles of TaqI, BsmI, and FokI variants did not differ significantly and showed similar concentrations. However, our data showed a strong tendency that the TaqI tt genotype had higher vitamin D levels vs. the Tt genotype as well as the BsmI bb vs. Bb genotype in RA patients (p = 0.0597, p = 0.1145 respectively).
Table 3.
Mean vitamin D level in RA and controls grouped by the VDR polymorphism genotypes.
The CRP level (mg/l) in disease-affected subjects was significantly higher in the ApaI aa genotype vs. Aa (p = 0.0049), in the FokI Ff genotype vs. ff (p = 0.0162), and in the aa vs. ff (p = 0.0061), suggesting that the ApaI aa variant is associated with a higher CRP concentration in RA subjects (Figure 2). However, there was no significant association between the DAS28 CRP, HAQ, or RAID score and any VDR gene polymorphism variant.
Figure 2.
C–reactive protein (CRP) level and vitamin D receptor gene polymorphisms in rheumatoid arthritis patients.
A logistic regression analysis adjusted for SNP, vitamin D, body mass index (BMI), and smoking revealed that the combination of all the listed variable models best distinguishes RA-affected subjects from healthy controls compared to the SNP model alone (95% CI, confidence interval (0.597, 0.695), p = 0.0088), with a sensitivity of 71.84%, and a specificity of 50.00%. The ROC curve graphic rendering is shown in Figure 3.
Figure 3.
ROC curve adjusted for the single nucleotide polymorphisms (SNP), vitamin D, body mass index (BMI), and smoking models.
In the single nucleotide polymorphism (SNP) model, the area under the (ROC) curve (AUC) was 0.537 (95% CI (0.486, 0.588)), and p > 0.05; in the SNP, smoking model, the AUC was 0.564 (95% CI (0.513, 0.614)), and p > 0.05; in the SNP, vitamin D (VitD) model the AUC was 0.637 (95% CI (0.587, 0.685)), and p = 0.0146; in the SNP, VitD, smoking, and body mass index (BMI) model the AUC was 0.647 (95% CI (0.597, 0.695), and p = 0.0088.
4. Discussion
Vitamin D’s role in RA etiopathogenesis and its relation with the disease’s clinical course has been studied in experimental, case-control, and clinical vitamin D supplementary studies over the past decades. The data are controversial and differ according to geographical latitude, ethnicity, environmental factors, study design, etc. However, conducting numerous in vitro and in vivo studies, it was proved that immune cells prone in RA pathogenesis are sensitive to active vitamin D form 1,25(OH)2D3, and by downregulating microRNA-22 expression, it induces anti-inflammatory responses foreseen as reduced fibroblast-like synoviocytes proliferation, osteoclast-mediated bone, cartilage destruction, and lower levels of pro-inflammatory cytokines [22,23]. Furthermore, VDR signaling-deficient transgenic mice with experimental chronic arthritis showed increased progression of erosive arthritis [24]. The present study analyzed the prevalence of vitamin D deficiency among RA patients and its possible association with RA disease activity and disability scores, as well as the role of VDR polymorphisms and risk of RA.
The study revealed a high incidence of vitamin D deficiency in RA patients despite the supplementary use of vitamin D, occurring in 61.55% of patients.Vitamin D deficiency is common among RA patients and may play a complementary role in increased RA risk, disease activity, and quality of life. A meta-analysis of prospective studies of 215,757 subjects and 874 incident cases of RA suggested that a greater use of vitamin D supplements reduced RA development risk by 24.2% [25]. The results of an observational, cross-sectional Comorbidities in Rheumatoid Arthritis (COMORA) study performed in 15 countries worldwide showed that the highest vitamin D insufficiency levels among RA patients were foundin Korea (71%), whereas the lowest were found in Italy (36%) [26]. Similar results were reported in a European multicenter pilot survey conducted in 13 European countries, which involved 625 RA patients and 276 age- and sex-matched healthy controls. Vitamin D deficiency (<20 ng/mL) was observed in 66% of RA patients, also showing differences between several countries, where the Spanish population presented higher vitamin D levels compared to Lithuanian, Latvian, and Polish populations, among others [27].
Similar to our reported results, significant differences in the vitamin D level between RA and control groups, and an inverse correlation between vitamin D levels, RA disease activity (DAS 28), and disability measurements (HAQ) have been reported in numerous studies and meta-analyses to support the hypothesis [25,26,27,28,29,30]. Additionally, an exploratory study investigating the role of vitamin D supplementation in RA disease activity course contributed to the significant improvement in DAS28 CRP score in vitamin D deficient patients within 3 months of treatment [31]. Nevertheless, data from similar design studies arecontradictory. As tudy of Polish population with a small sample size showed no differences between RA patients and healthy controls regarding vitamin D level nor a correlation with the DAS 28 score [32]. The same results were published by Higgins et al. [33] and showed that lower levels of vitamin D correlated with a higher range of visual analogue scale (VAS), but not with the DAS 28 tool.
The present case–control study demonstrated no significant associations between VDR polymorphisms and increased RA disease risk, andno allele or genotype frequency differences were observed in RA patients and controls. Similar to our results, a small Italian and German study and a study of 120 RA patients and 200 healthy individuals of the Spanish population showed no differences in VDR polymorphisms frequencies and RA predisposition [34,35,36]. Only the TaqI tt genotype, compared to TT and Tt, showed earlier disease onset [34]. Numerous other published studies have shown abroad spectrum of results that were summarized in few meta-analyses [14,37,38]. Pooled data from seven studies showed no association between RA and VDR polymorphisms in the entire cohort of studied subjects (OR = 1.1740, 95%, CI = 0.994–1.387, p = 0.059). However, groups subdivided by ethnical origin revealed a significant association between the F allele and RA in Europeans (OR = 1.402, 95% CI = 1.126–1.746, p = 0.003) [14]. The same results were also published in another meta-analysis of four Asian and five European studies, as well as in a French RA population analysis [37,38]. The focus on genetic variants of the VDR gene and possible susceptibility to RA was raised because of the partial non-human leukocyte antigen (HLA) genes disease etiology and its involvement in vitamin D functioning mediated through VDR located on monocytes, activated lymphocytes, and other cells important in joint inflammation genesis. The importance of the VDR gene is also presented in an in vivo mouse model study where peripheral T lymphocytes with inactive VDRs demonstrated indifference on vitamin D effect in autoimmune disease development [39].
Additionally, our study results showed a tendency of higher vitamin D levels in the TaqI tt and BsmI bb RA groups, and vitamin D levels in healthy controls and RA patients carrying the same FokI ff, TaqI tt, and BsmI bb genotype did not differ significantly. This insight suggests a possible role of certain genotypes in vitamin D metabolism. However, there was no significant association between RA activity or disability scores with any VDR gene variant. Contrary to our results, in a recently published article on VDR [40], two vitamin D bioactivating cytochrom P450 isoforms (CYP27A1, CYP2R1), gene polymorphisms, and lipid profile in RA showed that vitamin D deficiency was an independent predictor of higher DAS 28, HAQ scores, and affected joint counts exclusively in the VDR FokI Ff/ff genotype group in a multivariate regression analysis (p < 0.05). Though the vitamin D level itself was not associated with disease activity or quality of life in the general cohort [41]. It is known that FokI and BsmI are functioning sites of the VDR gene; moreover, FokI determines the production of the different length protein. The short F allele protein is more active and possibly leads to lower vitamin D levels in the FF genotype compared to ff [40]. The homozygous short FF genotype present in human monocytes and dendritic cells after stimulation with IFN-γ expressed higher levels of IL-12 by means of IL-12p40, IL12p35 mRNA, and IL-12p70 protein compared to the ff genotype detected cells. This evidences that FokI polymorphism affects immune cells actions and may have an effect in autoimmune disease pathogenesis [42].
Despite the strength in the homogeneity of the RA and control groups and demonstration of significant associations, the present study has some weaknesses. Statistical insignificance of the VDR gene polymorphisms analysis could be explained by an insufficient study cohort due to the rather small Lithuanian population, and thus, needs to be replicated in larger scale studies. However, this could also prove ethnic differences or the questionable effect of VDR gene in RA etiopathogenesis. Another limitation is that the study design demonstrated a possible link between RA and vitamin D deficiency, but did not necessarily revealed the cause-and-effect fact because RA is a multifactorial etiology disease. This also suggests that further investigations are obligatory.
5. Conclusions
In conclusion, the study confirmed that vitamin D deficiency is prevalent among RA patients and that the 25(OH)D level is significantly lower compared with healthy controls. Lower vitamin D concentrations are associated with increased disease activity scores, higher disability rates, and therefore, a worse quality of life, supporting a possible therapeutic role of vitamin D deficiency treatment in RA patients. However, the genetic analysis of four VDR polymorphisms did not confer the susceptibility to RA in the Lithuanian population. Notwithstanding, to our knowledge, it is the first VDR polymorphism study of RA in the Lithuanian population that suggests some of gene variants that may be taking part in multifactorial vitamin D metabolism, and possibly in RA clinical course.
Author Contributions
Conceptualization, E.P., S.J. and I.B.; methodology, E.P., J.G., D.V., S.J. and I.B.; formal analysis, E.P., J.G. and R.S.; investigation, E.P., J.G. and R.S.; resources, E.P., J.G., I.B., L.V. and D.V.; data curation, E.P. and J.G.; writing—original draft preparation, E.P.; writing—review and editing, J.G., R.S., L.V.,A.P., D.V., S.J. and I.B.; visualization, E.P. and J.G.; supervision, I.B., S.J., and R.S.; project administration, I.B. and A.P.; funding acquisition, I.B. and A.P. All authors have read and agreed to the published version of the manuscript.
Funding
This research was funded by the Research Council of Lithuania (LMTLT), agreement No. S-MIP-17-12 and was partially funded by the European Regional Development Fund (project No. 01.2.2-LMT-K-718-01-0023) under a grant agreement with the Research Council of Lithuania (LMTLT).
Institutional Review Board Statement
The study was conducted according to the guidelines of the Declaration of Helsinki, and approved by Vilnius Regional Biomedical Research Ethics Committee (Approval No. 158200-18/5-1037-533, date of approval 2018-05-08).
Informed Consent Statement
All subjects gave their informed consent for inclusion before they participated in the study.
Data Availability Statement
The original datasets are not publicly available due to data protection policies. The data presented in this study are available on scientific request from the corresponding author.
Conflicts of Interest
The authors declare no conflict of interest.
References
- Harrison, S.R.; Li, D.; Jeffery, L.E.; Raza, K.; Hewison, M. Vitamin D, autoimmune disease and rheumatoid arthritis. Calcif. Tissue Int. 2020, 106, 58–75. [Google Scholar] [CrossRef] [PubMed]
- Calabresi, E.; Petrelli, F.; Bonifacio, A.F.; Puxeddu, I.; Alunno, A. One year in review 2018: Pathogenesis of rheumatoid arthritis. Clin. Exp. Rheumatol. 2018, 36, 175–184. [Google Scholar] [PubMed]
- Jeffery, L.E.; Raza, K.; Hewison, M. Vitamin D in rheumatoid arthritis-towards clinical application. Nat. Rev. Rheumatol. 2016, 12, 201–210. [Google Scholar] [CrossRef] [PubMed]
- Umar, M.; Sastry, K.S.; Chouchane, A.I. Role of Vitamin D Beyond the Skeletal Function: A Review of the Molecular and Clinical Studies. Int. J. Mol. Sci. 2018, 19, 1618. [Google Scholar] [CrossRef] [PubMed]
- Orbach, H.; Zandman-Goddard, G.; Amital, H.; Barak, V.; Szekanecz, Z.; Szucs, G.; Danko, K.; Nagy, E.; Csepany, T.; Carvalho, J.F.; et al. Novel biomarkers in autoimmune diseases: Prolactin, ferritin, vitamin D, and TPA levels in autoimmune diseases. Ann. N. Y. Acad Sci. 2007, 1109, 385–400. [Google Scholar] [CrossRef] [PubMed]
- Dattola, A.; Silvestri, M.; Bennardo, L.; Passante, M.; Scali, E.; Patruno, C.; Nisticò, S.P. Role of Vitamins in Skin Health: A Systematic Review. Curr. Nutr. Rep. 2020, 9, 226–235. [Google Scholar] [CrossRef]
- Bragazzi, N.L.; Watad, A.; Neumann, S.G.; Simon, M.; Brown, S.B.; Abu Much, A.; Harari, A.; Tiosano, S.; Amital, H.; Shoenfeld, Y. Vitamin D and rheumatoid arthritis: An ongoing mystery. Curr. Opin. Rheumatol. 2017, 29, 378–388. [Google Scholar] [CrossRef]
- Welsh, P.; Peters, M.J.; McInnes, I.B.; Lems, W.F.; Lips, P.T.; McKellar, G.; Knox, S.; Michael Wallace, A.; Dijkmans, B.A.; Nurmohamed, M.T.; et al. Vitamin D deficiency is common in patients with RA and linked to disease activity, but circulating levels are unaffected by TNFα blockade: Results from a prospective cohort study. Ann. Rheum. Dis. 2011, 70, 1165–1167. [Google Scholar] [CrossRef]
- Cutolo, M.; Otsa, K.; Laas, K.; Yprus, M.; Lehtme, R.; Secchi, M.E.; Sulli, A.; Paolino, S.; Seriolo, B. Circannual vitamin D serum levels and disease activity in rheumatoid arthritis: Northern versus Southern Europe. Clin. Exp. Rheumatol. 2006, 24, 702–704. [Google Scholar]
- Agmon-Levin, N.; Theodor, E.; Segal, R.M.; Shoenfeld, Y. Vitamin D in systemic and organ-specific autoimmune diseases. Clin. Rev. Allergy Immunol. 2013, 45, 256–266. [Google Scholar] [CrossRef]
- Uitterlinden, A.G.; Fang, Y.; van Meurs, J.B.; van Leeuwen, H.; Pols, H.A. Vitamin D receptor gene polymorphisms in relation to Vitamin D related disease states. J. Steroid. Biochem. Mol. Biol. 2004, 89-90, 187–193. [Google Scholar] [CrossRef]
- Ranganathan, P. Genetics of bone loss in rheumatoid arthritis—role of vitamin D receptor polymorphisms. Rheumatology 2009, 48, 342–346. [Google Scholar] [CrossRef]
- Rukin, N.J.; Strange, R.C. What are the frequency, distribution, and functional effects of vitamin D receptor polymorphisms as related to cancer risk? Nutr. Rev. 2007, 65, S96–S101. [Google Scholar] [CrossRef]
- Song, G.G.; Bae, S.C.; Lee, Y.H. Vitamin D receptor FokI, BsmI, and TaqI polymorphisms and susceptibility to rheumatoid arthritis. Z. Rheumatol. 2016, 75, 322–329. [Google Scholar] [CrossRef]
- Saccone, D.; Asani, F.; Bornman, L. Regulation of the vitamin D receptor gene by environment, genetics and epigenetics. Gene 2015, 561, 171–180. [Google Scholar] [CrossRef]
- Aletaha, D.; Neogi, T.; Silman, A.J.; Funovits, J.; Felson, D.T.; Bingham, C.O., 3rd; Birnbaum, N.S.; Burmester, G.R.; Bykerk, V.P.; Cohen, M.D.; et al. 2010 rheumatoid arthritis classification criteria: An American College of Rheumatology/European League Against Rheumatism collaborative initiative. Arthritis Rheum. 2010, 62, 2569–2581. [Google Scholar] [CrossRef] [PubMed]
- Arnett, F.C.; Edworthy, S.M.; Bloch, D.A.; McShane, D.J.; Fries, J.F.; Cooper, N.S.; Healey, L.A.; Kaplan, S.R.; Liang, M.H.; Luthra, H.S.; et al. The American Rheumatism Association 1987 revised criteria for the classification of rheumatoid arthritis. Arthritis Rheum. 1988, 31, 315–324. [Google Scholar] [CrossRef]
- Bruce, B.; Fries, J.F. The health assessment questionnaire (HAQ). Clin. Exp. Rheumatol. 2005, 23 (Suppl. 39), S14–S18. [Google Scholar] [PubMed]
- Gossec, L.; Dougados, M.; Rincheval, N.; Balanescu, A.; Boumpas, D.T.; Canadelo, S.; Carmona, L.; Daurès, J.P.; de Wit, M.; Dijkmans, B.A.; et al. Elaboration of the preliminary Rheumatoid Arthritis Impact of Disease (RAID) score: A EULAR initiative. Ann. Rheum. Dis. 2009, 68, 1680–1685. [Google Scholar] [CrossRef] [PubMed]
- Prevoo, M.L.; van’t Hof, M.A.; Kuper, H.H.; van Leeuwen, M.A.; van de Putte, L.B.; van Riel, P.L. Modified disease activity scores that include twenty-eight-joint counts development and validation in a prospective longitudinal study of patients with rheumatoid arthritis. Arthritis Rheum. 1995, 38, 44–48. [Google Scholar] [CrossRef]
- Holick, M.F.; Binkley, N.C.; Bischoff-Ferrari, H.A.; Gordon, C.M.; Hanley, D.A.; Heaney, R.P.; Murad, M.H.; Weaver, C.M. Evaluation, treatment, and prevention of vitamin D deficiency: An Endocrine Society clinical practice guideline. J. Clin. Endocrinol. Metab. 2011, 96, 1911–1930. [Google Scholar] [CrossRef] [PubMed]
- Laragione, T.; Shah, A.; Gulko, P.S. The vitamin D receptor regulates rheumatoid arthritis synovial fibroblast invasion and morphology. Mol. Med. 2012, 18, 194–200. [Google Scholar] [CrossRef]
- Fan, P.; He, L.; Hu, N.; Luo, J.; Zhang, J.; Mo, L.F.; Wang, Y.H.; Pu, D.; Lv, X.H.; Hao, Z.M.; et al. Effect of 1, 25-(OH) 2D3 on proliferation of fibroblast-like synoviocytes and expressions of pro-inflammatory cytokines through regulating MicroRNA-22 in a rat model of rheumatoid arthritis. Cell Physiol. Biochem. 2017, 42, 145–155. [Google Scholar] [CrossRef] [PubMed]
- Zwerina, K.; Baum, W.; Axmann, R.; Heiland, G.R.; Distler, J.H.; Smolen, J.; Hayer, S.; Zwerina, J.; Schett, G. Vitamin D receptor regulates TNF-mediated arthritis. Ann. Rheum. Dis. 2011, 70, 1122–1129. [Google Scholar] [CrossRef]
- Song, G.G.; Bae, S.C.; Lee, Y.H. Association between vitamin D intake and the risk of rheumatoid arthritis: A meta-analysis. Clin. Rheumatol. 2012, 31, 1733–1739. [Google Scholar] [CrossRef]
- Hajjaj-Hassouni, N.; Mawani, N.; Allali, F.; Rkain, H.; Hassouni, K.; Hmamouchi, I.; Dougados, M. Evaluation of vitamin D status in rheumatoid arthritis and its association with disease activity across 15 countries: “The COMORA Study”. Int. J. Rheumatol. 2017. [Google Scholar] [CrossRef]
- Vojinovic, J.; Tincani, A.; Sulli, A.; Soldano, S.; Andreoli, L.; Dall’Ara, F.; Ionescu, R.; Pasalic, K.S.; Balcune, I.; Ferraz-Amaro, I.; et al. European multicentre pilot survey to assess vitamin D status in rheumatoid arthritis patients and early development of a new Patient Reported Outcome questionnaire (D-PRO). Autoimmun. Rev. 2017, 16, 548–554. [Google Scholar] [CrossRef] [PubMed]
- Lee, Y.H.; Bae, S.C. Vitamin D level in rheumatoid arthritis and its correlation with the disease activity: A meta-analysis. Clin. Exp. Rheumatol. 2016, 34, 827–833. [Google Scholar] [PubMed]
- Lin, J.; Liu, J.; Davies, M.L.; Chen, W. Serum vitamin D level and rheumatoid arthritis disease activity: Review and meta-analysis. PLoS ONE 2016, 11, e0146351. [Google Scholar] [CrossRef]
- Raczkiewicz, A.; Kisiel, B.; Kulig, M.; Tłustochowicz, W. Vitamin D status and its association with quality of life, physical activity, and disease activity in rheumatoid arthritis patients. J. Clin. Rheumatol. 2015, 21, 126–130. [Google Scholar] [CrossRef]
- Chandrashekara, S.; Patted, A. Role of vitamin D supplementation in improving disease activity in rheumatoid arthritis: An exploratory study. Int. J. Rheum. Dis. 2017, 20, 825–831. [Google Scholar] [CrossRef]
- Polasik, K.; Piotrowska, E.; Lipińska, B.; Witkowski, J.M.; Bryl, E.; Tukaj, S. Vitamin D status in patients with rheumatoid arthritis: Correlation analysis with disease activity and progression, as well as serum IL-6 levels. Acta Biochim. Pol. 2017, 64, 667–670. [Google Scholar] [CrossRef]
- Higgins, M.J.; Mackie, S.L.; Thalayasingam, N.; Bingham, S.J.; Hamilton, J.; Kelly, C.A. The effect of vitamin D levels on the assessment of disease activity in rheumatoid arthritis. Clin. Rheumatol. 2013, 32, 863–867. [Google Scholar] [CrossRef]
- Di Spigna, G.; Del Puente, A.; Covelli, B.; Abete, E.; Varriale, E.; Salzano, S.; Postiglione, L. Vitamin D receptor polymorphisms as tool for early screening of severe bone loss in women patients with rheumatoid arthritis. Eur. Rev. Med. Pharmacol. Sci. 2016, 20, 4664–4669. [Google Scholar] [PubMed]
- Garcia-Lozano, J.R.; Gonzalez-Escribano, M.F.; Valenzuela, A.; Garcia, A.; Núñez-Roldán, A. Association of vitamin D receptor genotypes with early onset rheumatoid arthritis. Eur. J. Immunogenet. 2001, 28, 89–93. [Google Scholar] [CrossRef] [PubMed]
- Goertz, B.; Fassbender, W.J.; Williams, J.C.; Marzeion, A.M.; Bretzel, R.G.; Stracke, H.; Berliner, M.N. Vitamin D receptor genotypes are not associated with rheumatoid arthritis or biochemical parameters of bone turnover in German RA patients. Clin. Exp. Rheumatol. 2003, 21, 333–339. [Google Scholar] [CrossRef]
- Lee, Y.H.; Bae, S.C.; Choi, S.J.; Ji, J.D.; Song, G.G. Associations between vitamin D receptor polymorphisms and susceptibility to rheumatoid arthritis and systemic lupus erythematosus: A meta-analysis. Mol. Biol. Rep. 2011, 38, 3643–3651. [Google Scholar] [CrossRef]
- Maalej, A.; Petit-Teixeira, E.; Michou, L.; Rebai, A.; Cornelis, F.; Ayadi, H. Association study of VDR gene with rheumatoid arthritis in the French population. Genes Immun. 2005, 6, 707–711. [Google Scholar] [CrossRef] [PubMed]
- Mayne, C.G.; Spanier, J.A.; Relland, L.M.; Williams, C.B.; Hayes, C.E. 1, 25-Dihydroxyvitamin D3 acts directly on the T lymphocyte vitamin D receptor to inhibit experimental autoimmune encephalomyelitis. Eur. J. Immunol. 2011, 41, 822–832. [Google Scholar] [CrossRef] [PubMed]
- Rodríguez-Carrio, J.; Alperi-López, M.; Naves-Díaz, M.; Dusso, A.; López, P.; Ballina-García, F.J.; Cannata-Andía, J.B.; Suárez, A. Vitamin D Receptor Polymorphism and DHCR7 Contribute to the Abnormal Interplay Between Vitamin D and Lipid Profile in Rheumatoid Arthritis. Sci. Rep. 2019, 9, 2546. [Google Scholar] [CrossRef]
- Monticielo, O.A.; Brenol, J.C.; Chies, J.A.; Longo, M.G.; Rucatti, G.G.; Scalco, R.; Xavier, R.M. The role of Bsm I and Fok I vitamin D receptor gene polymorphisms and serum 25-hydroxyvitamin D in Brazilian patients with systemic lupus erythematosus. Lupus 2012, 21, 43–52. [Google Scholar] [CrossRef] [PubMed]
- van Etten, E.; Verlinden, L.; Giulietti, A.; Ramos-Lopez, E.; Branisteanu, D.D.; Ferreira, G.B.; Overbergh, L.; Verstuyf, A.; Bouillon, R.; Roep, B.O.; et al. The vitamin D receptor gene FokIpolymorphism: Functional impact on the immune system. Eur. J. Immunol. 2007, 37, 395–405. [Google Scholar] [CrossRef] [PubMed]
Publisher’s Note: MDPI stays neutral with regard to jurisdictional claims in published maps and institutional affiliations. |
© 2021 by the authors. Licensee MDPI, Basel, Switzerland. This article is an open access article distributed under the terms and conditions of the Creative Commons Attribution (CC BY) license (https://creativecommons.org/licenses/by/4.0/).


