Serum Alpha-Fetoprotein as a Predictor of Liver Fibrosis in HBeAg-Positive Chronic Hepatitis B Patients
Abstract
1. Introduction
2. Materials and Methods
2.1. Study Population
2.2. Liver Biopsy
2.3. Statistical Analysis
3. Results
3.1. Study Population
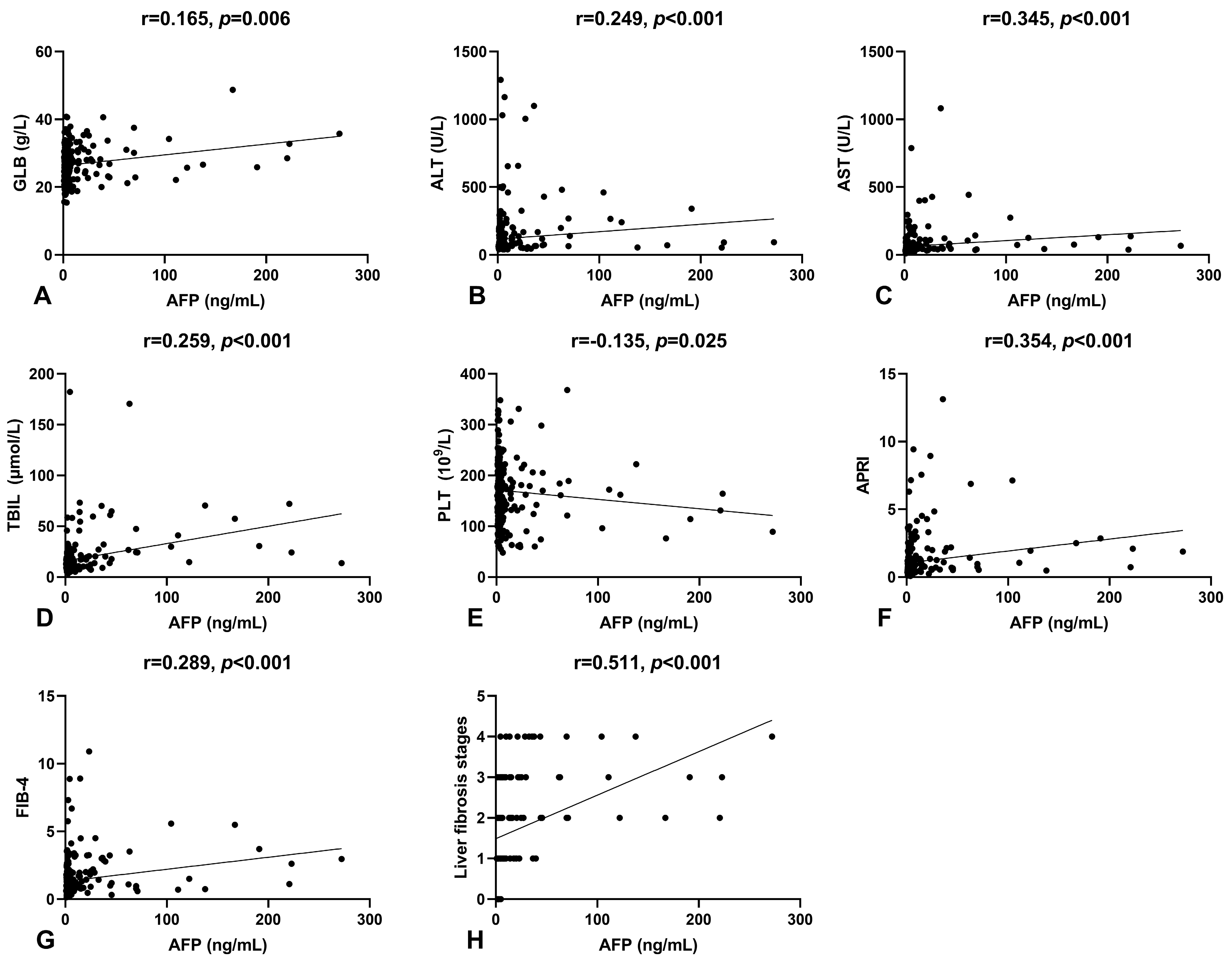
3.2. Association between Serum AFP Levels and Laboratory Findings
3.3. Serum AFP Level Is Independently Associated with Liver Fibrosis
3.4. Diagnostic Performance of Serum AFP in Predicting Liver Fibrosis
4. Discussion
5. Conclusions
Author Contributions
Funding
Institutional Review Board Statement
Informed Consent Statement
Data Availability Statement
Acknowledgments
Conflicts of Interest
References
- Zhang, Q.; Deng, Y.L.; Liu, C.; Huang, L.H.; Shang, L.; Chen, X.G.; Wang, L.T.; Du, J.Z.; Wang, Y.; Wang, P.X.; et al. Diabetes mellitus may affect the long-term survival of hepatitis B virus-related hepatocellular carcinoma patients after liver transplantation. World J. Gastroenterol. 2016, 22, 9571–9585. [Google Scholar] [CrossRef]
- Chien, R.N.; Liaw, Y.F. Current Trend in Antiviral Therapy for Chronic Hepatitis B. Viruses 2022, 14, 434. [Google Scholar] [CrossRef] [PubMed]
- Scheuer, P.J.; Standish, R.A.; Dhillon, A.P. Scoring of chronic hepatitis. Clin. Liver Dis. 2002, 6, 335–347. [Google Scholar] [CrossRef] [PubMed]
- Nishikawa, H.; Osaki, Y. Liver Cirrhosis: Evaluation, Nutritional Status, and Prognosis. Mediators Inflamm. 2015, 2015, 872152. [Google Scholar] [CrossRef] [PubMed]
- Wang, J.; Xia, J.; Yan, X.; Yang, Y.; Wei, J.; Xiong, Y.; Wu, W.; Liu, Y.; Chen, Y.; Jia, B.; et al. Plateletcrit as a potential index for predicting liver fibrosis in chronic hepatitis B. J. Viral Hepat. 2020, 27, 602–609. [Google Scholar] [CrossRef]
- Parikh, P.; Ryan, J.D.; Tsochatzis, E.A. Fibrosis assessment in patients with chronic hepatitis B virus (HBV) infection. Ann. Transl. Med. 2017, 5, 40. [Google Scholar] [CrossRef]
- Xiao, G.; Yang, J.; Yan, L. Comparison of diagnostic accuracy of aspartate aminotransferase to platelet ratio index and fibrosis-4 index for detecting liver fibrosis in adult patients with chronic hepatitis B virus infection: A systemic review and meta-analysis. Hepatology 2015, 61, 292–302. [Google Scholar] [CrossRef]
- Lee, G.M.; Kim, Y.R.; Ryu, J.H.; Kim, T.H.; Cho, E.Y.; Lee, Y.H.; Yoon, K.H. Quantitative Measurement of Hepatic Fibrosis with Gadoxetic Acid-Enhanced Magnetic Resonance Imaging in Patients with Chronic Hepatitis B Infection: A Comparative Study on Aspartate Aminotransferase to Platelet Ratio Index and Fibrosis-4 Index. Korean J. Radiol. 2017, 18, 444–451. [Google Scholar] [CrossRef]
- Munson, P.V.; Adamik, J.; Butterfield, L.H. Immunomodulatory impact of α-fetoprotein. Trends Immunol. 2022, 43, 438–448. [Google Scholar] [CrossRef]
- Turshudzhyan, A.; Wu, G.Y. Persistently Rising Alpha-fetoprotein in the Diagnosis of Hepatocellular Carcinoma: A Review. J. Clin. Transl. Hepatol. 2022, 10, 159–163. [Google Scholar] [CrossRef]
- Yamagiwa, S.; Tamura, Y.; Takamura, M.; Genda, T.; Ichida, T.; Ishikawa, T.; Kamimura, T.; Takahashi, T.; Suda, T.; Matsuda, Y.; et al. Increase of fucosylated alpha-fetoprotein fraction at the onset of autoimmune hepatitis and acute liver failure. Hepatol. Res. 2014, 44, E368–E375. [Google Scholar] [CrossRef] [PubMed]
- Wang, J.; Zhang, P.; Liao, J.; Zhu, Y.; Liu, X.; Tang, H. Association of α-fetoprotein levels with liver stiffness measurement in outpatients with chronic hepatitis B. Biosci. Rep. 2021, 41, BSR20203048. [Google Scholar] [CrossRef] [PubMed]
- Lee, I.C.; Huang, Y.H.; Chan, C.C.; Huo, T.I.; Chu, C.J.; Lai, C.R.; Lee, P.C.; Su, C.W.; Hung, H.H.; Wu, J.C.; et al. Correlation between clinical indication for treatment and liver histology in HBeAg-negative chronic hepatitis B: A novel role of alpha-fetoprotein. Liver Int. 2010, 30, 1161–1168. [Google Scholar] [CrossRef] [PubMed]
- Tachi, Y.; Hirai, T.; Ishizu, Y.; Honda, T.; Kuzuya, T.; Hayashi, K.; Ishigami, M.; Goto, H. α-fetoprotein levels after interferon therapy predict regression of liver fibrosis in patients with sustained virological response. J. Gastroenterol. Hepatol. 2016, 31, 1001–1008. [Google Scholar] [CrossRef] [PubMed]
- Li, H. Intercellular crosstalk of liver sinusoidal endothelial cells in liver fibrosis, cirrhosis and hepatocellular carcinoma. Dig. Liver Dis. 2022, 54, 598–613. [Google Scholar] [CrossRef] [PubMed]
- Iannacone, M.; Guidotti, L.G. Immunobiology and pathogenesis of hepatitis B virus infection. Nat. Rev. Immunol. 2022, 22, 19–32. [Google Scholar] [CrossRef]
- Bayati, N.; Silverman, A.L.; Gordon, S.C. Serum alpha-fetoprotein levels and liver histology in patients with chronic hepatitis C. Am. J. Gastroenterol. 1998, 93, 2452–2456. [Google Scholar] [CrossRef]
- Hu, K.Q.; Kyulo, N.L.; Lim, N.; Elhazin, B.; Hillebrand, D.J.; Bock, T. Clinical significance of elevated alpha-fetoprotein (AFP) in patients with chronic hepatitis C, but not hepatocellular carcinoma. Am. J. Gastroenterol. 2004, 99, 860–865. [Google Scholar] [CrossRef]
- Liu, Y.R.; Lin, B.B.; Zeng, D.W.; Zhu, Y.Y.; Chen, J.; Zheng, Q.; Dong, J.; Jiang, J.J. Alpha-fetoprotein level as a biomarker of liver fibrosis status: A cross-sectional study of 619 consecutive patients with chronic hepatitis B. BMC Gastroenterol. 2014, 14, 145. [Google Scholar] [CrossRef]
- Li, Q.; Lu, C.; Li, W.; Huang, Y.; Chen, L. Globulin-platelet model predicts significant fibrosis and cirrhosis in CHB patients with high HBV DNA and mildly elevated alanine transaminase levels. Clin. Exp. Med. 2018, 18, 71–78. [Google Scholar] [CrossRef]
- Fujita, K.; Oura, K.; Yoneyama, H.; Shi, T.; Takuma, K.; Nakahara, M.; Tadokoro, T.; Nomura, T.; Morishita, A.; Tsutsui, K.; et al. Albumin-bilirubin score indicates liver fibrosis staging and prognosis in patients with chronic hepatitis C. Hepatol. Res. 2019, 49, 731–742. [Google Scholar] [CrossRef]
- Xie, X.; Lv, H.; Liu, C.; Su, X.; Yu, Z.; Song, S.; Bian, H.; Tian, M.; Qin, C.; Qi, J.; et al. HBeAg mediates inflammatory functions of macrophages by TLR2 contributing to hepatic fibrosis. BMC Med. 2021, 19, 247. [Google Scholar] [CrossRef] [PubMed]
- Li, W.; Duan, X.; Zhu, C.; Liu, X.; Jeyarajan, A.J.; Xu, M.; Tu, Z.; Sheng, Q.; Chen, D.; Zhu, C.; et al. Hepatitis B and Hepatitis C Virus Infection Promote Liver Fibrogenesis through a TGF-β1-Induced OCT4/Nanog Pathway. J. Immunol. 2022, 208, 672–684. [Google Scholar] [CrossRef] [PubMed]
- Nakano, Y.; Nakao, S.; Sumiyoshi, H.; Mikami, K.; Tanno, Y.; Sueoka, M.; Kasahara, D.; Kimura, H.; Moro, T.; Kamiya, A.; et al. Identification of a novel alpha-fetoprotein-expressing cell population induced by the Jagged1/Notch2 signal in murine fibrotic liver. Hepatol. Commun. 2017, 1, 215–229. [Google Scholar] [CrossRef] [PubMed]
- Zhang, Z.; Wen, H.; Weng, J.; Feng, L.; Liu, H.; Hu, X.; Zeng, F. Silencing of EPCAM suppresses hepatic fibrosis and hepatic stellate cell proliferation in mice with alcoholic hepatitis via the PI3K/Akt/mTOR signaling pathway. Cell Cycle 2019, 18, 2239–2254. [Google Scholar] [CrossRef]
- Kim, W.R.; Berg, T.; Asselah, T.; Flisiak, R.; Fung, S.; Gordon, S.C.; Janssen, H.L.; Lampertico, P.; Lau, D.; Bornstein, J.D.; et al. Evaluation of APRI and FIB-4 scoring systems for non-invasive assessment of hepatic fibrosis in chronic hepatitis B patients. J. Hepatol. 2016, 64, 773–780. [Google Scholar] [CrossRef] [PubMed]


| Variables | All Patients, n = 276 | Normal AFP, n = 217 | High AFP, n = 59 | p-Value |
|---|---|---|---|---|
| Age (years) | 33.00 (27.00–41.00) | 33.00 (25.00–40.00) | 34.00 (28.00–43.00) | 0.175 |
| Male gender (n) | 224 (81.2%) | 176 (81.1%) | 48 (81.4%) | 0.965 |
| TP (g/L) | 66.90 (63.30–71.70) | 66.90 (63.30–71.70) | 67.70 (62.70–71.40) | 0.936 |
| ALB (g/L) | 40.55 (37.63–43.10) | 41.00 (38.10–43.65) | 39.10 (35.00–42.70) | 0.004 |
| GLB (g/L) | 26.73 ± 4.74 | 26.19 ± 4.30 | 28.71 ± 5.72 | 0.002 |
| ALT (U/L) | 70.50 (52.00–111.75) | 65.00 (51.00–101.00) | 97.00 (64.00–235.00) | <0.001 |
| AST (U/L) | 42.00 (32.00–62.00) | 39.00 (30.00–54.50) | 65.00 (44.00–126.00) | <0.001 |
| TBIL (μmol/L) | 13.50 (10.03–19.08) | 12.50 (9.55–17.15) | 18.70 (11.80–32.00) | <0.001 |
| PLT (109/L) | 169.18 ± 60.14 | 171.88 ± 58.30 | 159.22 ± 66.06 | 0.099 |
| APRI | 0.68 (0.44–1.12) | 0.62 (0.41–0.92) | 1.25 (0.69–2.50) | <0.001 |
| FIB-4 | 1.00 (0.66–1.71) | 0.95 (0.62–1.48) | 1.50 (0.97–3.10) | <0.001 |
| Fibrosis stages | ||||
| S0 | 7 (2.5%) | 7 (3.2%) | 0 (0) | 0.352 |
| S1 | 145 (52.5%) | 133 (61.3%) | 12 (20.3%) | <0.001 |
| S2 | 82 (29.7%) | 65 (30.0%) | 17 (28.8%) | 0.865 |
| S3 | 29 (10.5%) | 11 (5.1%) | 18 (30.5%) | <0.001 |
| S4 | 13 (4.8%) | 1 (0.4%) | 12 (20.4%) | <0.001 |
| Variables | Univariate | Multivariate | ||
|---|---|---|---|---|
| OR (95% CI) | p-Value | OR (95% CI) | p-Value | |
| Significant liver fibrosis (S2–S4) | ||||
| Age (years) | 1.038 (1.013–1.063) | 0.002 | 1.027 (1.000–1.056) | 0.053 |
| Male gender (%) | 0.966 (0.526–1.773) | 0.911 | --- | --- |
| TP (g/L) | 0.993 (0.973–1.014) | 0.533 | --- | --- |
| ALB (g/L) | 1.007 (0.994–1.019) | 0.306 | --- | --- |
| GLB (g/L) | 1.047 (0.995–1.101) | 0.080 | --- | --- |
| ALT (U/L) | 1.002 (1.000–1.004) | 0.021 | 0.997 (0.993–1.002) | 0.269 |
| AST (U/L) | 1.008 (1.003–1.014) | 0.003 | 1.008 (0.997–1.020) | 0.168 |
| TBIL (μmol/L) | 1.055 (1.027–1.084) | <0.001 | 1.022 (0.994–1.050) | 0.119 |
| PLT (109/L) | 0.993 (0.989–0.997) | 0.001 | 0.994 (0.989–0.999) | 0.018 |
| AFP (ng/mL) | 1.109 (1.056–1.165) | <0.001 | 1.082 (1.031–1.136) | 0.001 |
| Advanced liver fibrosis (S3–S4) | ||||
| Age (years) | 1.033 (1.002–1.065) | 0.035 | 1.025 (0.990–1.062) | 0.160 |
| Male gender (%) | 0.538 (0.200–1.443) | 0.218 | --- | --- |
| TP (g/L) | 0.982 (0.930–1.036) | 0.503 | --- | --- |
| ALB (g/L) | 1.011 (0.998–1.024) | 0.088 | --- | --- |
| GLB (g/L) | 1.077 (1.008–1.151) | 0.028 | 1.034 (0.955–1.119) | 0.411 |
| ALT (U/L) | 1.022 (1.000–1.003) | 0.033 | 1.000 (0.996–1.003) | 0.792 |
| AST (U/L) | 1.004 (1.001–1.007) | 0.011 | 1.005 (0.999–1.011) | 0.130 |
| TBIL (μmol/L) | 1.016 (1.001–1.031) | 0.033 | 0.997 (0.967–1.018) | 0.769 |
| PLT (109/L) | 0.990 (0.984–0.997) | 0.003 | 0.992 (0.985–0.999) | 0.025 |
| AFP (ng/mL) | 1.023 (1.011–1.036) | <0.001 | 1.021 (1.007–1.035) | 0.002 |
| Cirrhosis (S4) | ||||
| Age (years) | 0.997 (0.944–1.052) | 0.909 | --- | --- |
| Male gender (%) | 0.346 (0.044–2.725) | 0.314 | --- | --- |
| TP (g/L) | 0.934 (0.851–1.027) | 0.157 | --- | --- |
| ALB (g/L) | 0.825 (0.722–0.942) | 0.004 | 0.851 (0.726–0.997) | 0.046 |
| GLB (g/L) | 1.050 (0.941–1.171) | 0.381 | --- | --- |
| ALT (U/L) | 1.002 (1.000–1.004) | 0.016 | 1.001 (0.997–1.005) | 0.696 |
| AST (U/L) | 1.004 (1.001–1.007) | 0.008 | 1.004 (0.998–1.010) | 0.193 |
| TBIL (μmol/L) | 1.014 (0.997–1.032) | 0.110 | --- | --- |
| PLT (109/L) | 0.987 (0.976–0.998) | 0.023 | 0.987 (0.974–1.001) | 0.062 |
| AFP (ng/mL) | 1.017 (1.008–1.026) | <0.001 | 1.013 (1.003–1.023) | 0.010 |
Disclaimer/Publisher’s Note: The statements, opinions and data contained in all publications are solely those of the individual author(s) and contributor(s) and not of MDPI and/or the editor(s). MDPI and/or the editor(s) disclaim responsibility for any injury to people or property resulting from any ideas, methods, instructions or products referred to in the content. |
© 2023 by the authors. Licensee MDPI, Basel, Switzerland. This article is an open access article distributed under the terms and conditions of the Creative Commons Attribution (CC BY) license (https://creativecommons.org/licenses/by/4.0/).
Share and Cite
Yang, K.; Pan, Y.; Liu, L.; Sun, B.; Shi, W. Serum Alpha-Fetoprotein as a Predictor of Liver Fibrosis in HBeAg-Positive Chronic Hepatitis B Patients. Medicina 2023, 59, 923. https://doi.org/10.3390/medicina59050923
Yang K, Pan Y, Liu L, Sun B, Shi W. Serum Alpha-Fetoprotein as a Predictor of Liver Fibrosis in HBeAg-Positive Chronic Hepatitis B Patients. Medicina. 2023; 59(5):923. https://doi.org/10.3390/medicina59050923
Chicago/Turabian StyleYang, Kai, Ying Pan, Liwei Liu, Beibei Sun, and Wei Shi. 2023. "Serum Alpha-Fetoprotein as a Predictor of Liver Fibrosis in HBeAg-Positive Chronic Hepatitis B Patients" Medicina 59, no. 5: 923. https://doi.org/10.3390/medicina59050923
APA StyleYang, K., Pan, Y., Liu, L., Sun, B., & Shi, W. (2023). Serum Alpha-Fetoprotein as a Predictor of Liver Fibrosis in HBeAg-Positive Chronic Hepatitis B Patients. Medicina, 59(5), 923. https://doi.org/10.3390/medicina59050923
