Physical Conditions Prevailing in the Nasal and Maxillary Sinus Cavities Based on Numerical Simulation
Abstract
1. Introduction
2. Material and Methods
3. Numerical Simulation Methods
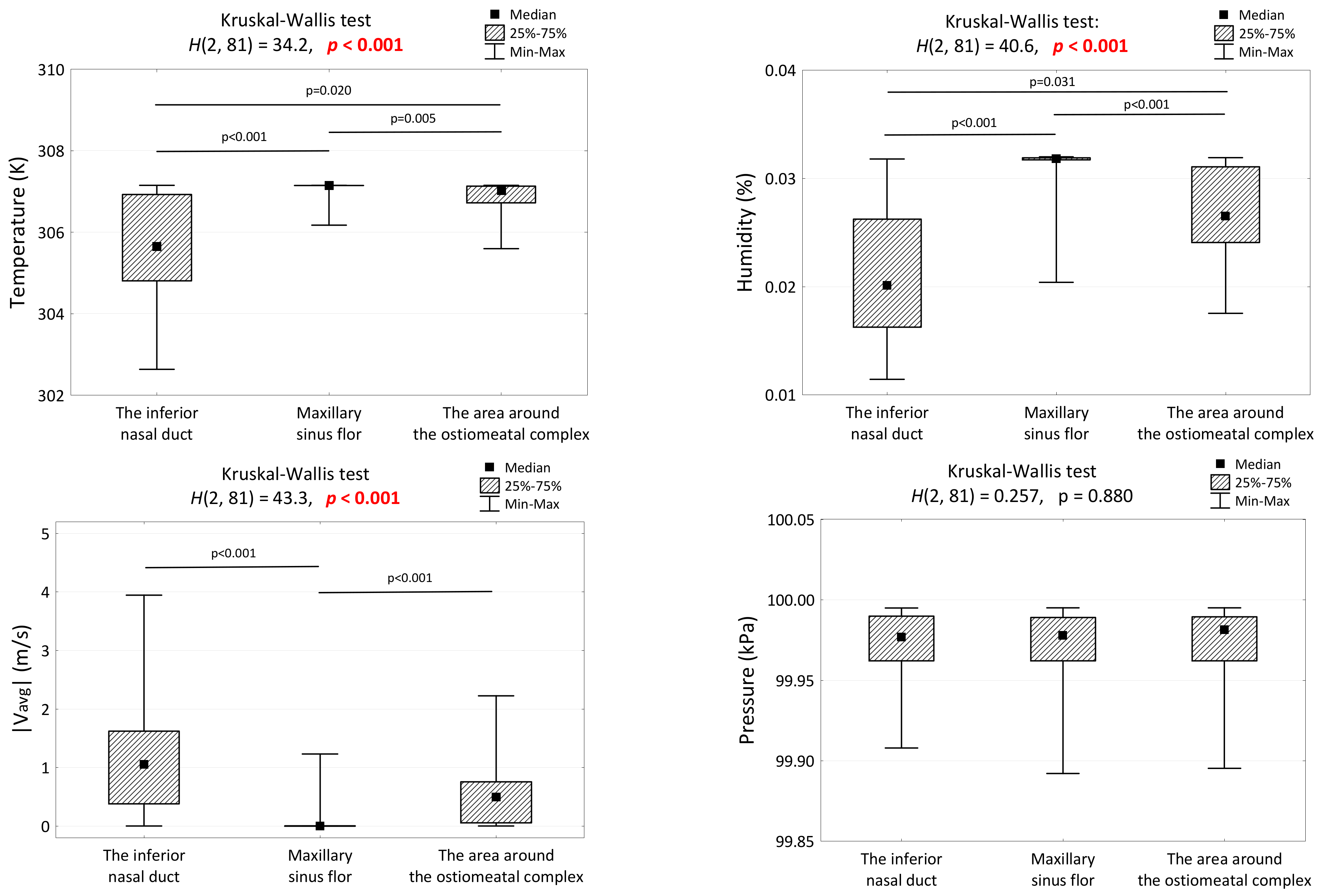
4. Results
5. Discussion
6. Conclusions
- Physical conditions may promote the colonisation of the mucous membrane by various bacterial strains.
- The CFD method enables the determination of airflow, heat exchange, and humidity values in the nose and sinuses, and the results are consistent with other in vivo studies.
- These findings highlight the variations in air temperature, humidity, and airflow patterns within the nasal cavity, specifically emphasizing the distinct characteristics of the maxillary sinus and the inferior nasal meatus.
- Our study may initiate further exploration of the relationship between nasal and sinus conditions and the requirements of colonising bacteria.
Author Contributions
Funding
Institutional Review Board Statement
Informed Consent Statement
Data Availability Statement
Conflicts of Interest
References
- Amorosa, L.; Latini, G. Maxillary Sinus: The Role of the Otolaryngologist. In Computer-Guided Applications for Dental Implants, Bone Grafting, and Reconstructive Surgery; Elsevier: Amsterdam, The Netherlands, 2016; pp. 124–134. [Google Scholar]
- Havel, M.; Kornes, T.; Weitzberg, E.; Lundberg, J.O.; Sundberg, J. Eliminating Paranasal Sinus Resonance and Its Effects on Acoustic Properties of the Nasal Tract. Logop. Phoniatr. Vocol. 2016, 41, 33–40. [Google Scholar] [CrossRef] [PubMed]
- Koo, S.K.; Kwon, S.B.; Chon, K.M.; Kim, Y.J.; Kim, Y.J. The Role of the Maxillary Sinus on the Voice. Eur. Arch. Oto-Rhino-Laryngol. 2014, 272, 2347–2350. [Google Scholar] [CrossRef] [PubMed]
- Ahmed, S.; Naik, P. Physiology of the Nose and Paranasal Sinuses. In Scott-Brown’s Essential Otorhinolaryngology; Taylor & Francis: Abingdon, UK, 2022; pp. 145–147. [Google Scholar]
- Noback, M.L.; Harvati, K.; Spoor, F. Climate-Related Variation of the Human Nasal Cavity. Am. J. Phys. Anthropol. 2011, 145, 599–614. [Google Scholar] [CrossRef] [PubMed]
- Qiu, Y.; Zhou, Y.; Chang, Y.; Liang, X.; Zhang, H.; Lin, X.; Qing, K.; Zhou, X.; Luo, Z. The Effects of Ventilation, Humidity, and Temperature on Bacterial Growth and Bacterial Genera Distribution. Int. J. Environ. Res. Public Health 2022, 19, 15345. [Google Scholar] [CrossRef] [PubMed]
- Burgos, M.A.; Sanmiguel-Rojas, E.; Martín-Alcántara, A.; Hidalgo-Martínez, M. Effects of the Ambient Temperature on the Airflow across a Caucasian Nasal Cavity. Int. J. Numer. Method Biomed. Eng. 2014, 30, 430–445. [Google Scholar] [CrossRef] [PubMed]
- Guo, Y.; Yu, S.; Wang, J.; Jin, W.; Yang, Y.I. A Numerical Model of the Inuence of Maxillary Sinus Ostium Size on the Distribution of Nitric Oxide Concentration in the Nasal Cavity and Sinuses. Res. Sq. 2021. [Google Scholar] [CrossRef]
- Kumahata, K.; Mori, F.; Ishikawa, S.; Matsuzawa, T. Nasal Flow Simulation Using Heat and Humidity Models. J. Biomech. Sci. Eng. 2010, 5, 565–577. [Google Scholar] [CrossRef]
- Finck, M.; Hänel, D.; Wlokas, I. Simulation of Nasal Flow by Lattice Boltzmann Methods. Comput. Biol. Med. 2007, 37, 739–749. [Google Scholar] [CrossRef]
- Lee, J.H.; Na, Y.; Kim, S.K.; Chung, S.K. Unsteady Flow Characteristics through a Human Nasal Airway. Respir. Physiol. Neurobiol. 2010, 172, 136–146. [Google Scholar] [CrossRef]
- Larimi, M.M.; Babamiri, A.; Biglarian, M.; Ramiar, A.; Tabe, R.; Inthavong, K.; Farnoud, A. Numerical and Experimental Analysis of Drug Inhalation in Realistic Human Upper Airway Model. Pharmaceuticals 2023, 16, 406. [Google Scholar] [CrossRef]
- Hisagai, S.; Li, K.K.; Iwasaki, T.; Tsujii, T.; Sakoda-Iwata, R.; Oku, Y.; Ban, Y.; Sato, H.; Yamasaki, Y. Exploring the Widespread Effectiveness of Maxillomandibular Advancement. J. Oral Health Biosci. 2023, 35, 71–79. [Google Scholar]
- Karbowski, K.; Kopiczak, B.; Chrzan, R.; Gawlik, J.; Szaleniec, J. Accuracy of Virtual Rhinomanometry. Pol. J. Med. Phys. Eng. 2023, 29, 59–72. [Google Scholar] [CrossRef]
- Bailie, N.; Hanna, B.; Watterson, J.; Gallagher, G. An Overview of Numerical Modelling of Nasal Airflow. Rhinology 2006, 44, 53–57. [Google Scholar]
- Leite, S.H.P.; Jain, R.; Douglas, R.G. The Clinical Implications of Computerised Fluid Dynamic Modelling in Rhinology. Rhinology 2019, 57, 2–9. [Google Scholar] [CrossRef]
- Kepler, G.M.; Richardson, R.B.; Morgan, K.T.; Kimbell, J.S. Computer Simulation of Inspiratory Nasal Airflow and Inhaled Gas Uptake in a Rhesus Monkey. Toxicol. Appl. Pharmacol. 1998, 150, 1–11. [Google Scholar] [CrossRef]
- Xi, J.; Kim, J.; Si, X.A. Computational Fluid Dynamics Modelling of Nasal Cavity Heat and Moisture Exchange: Toward Treatment Planning for Sinonasal Diseases. Ann. Biomed. Eng. 2010, 38, 3804–3820. [Google Scholar]
- Chen, X.B.; Lee, H.P.; Chong, V.F.H.; Wang, D.Y. Drug Delivery in the Nasal Cavity after Functional Endoscopic Sinus Surgery: A Computational Fluid Dynamics Study. J. Laryngol. Otol. 2012, 126, 487–494. [Google Scholar] [CrossRef]
- Xiong, G.X.; Li, J.F.; Jiang, G.L.; Zhan, J.M.; Rong, L.W.; Xu, G. Effect of Endoscopic Sinus Surgery on Airflow of the Nasal Cavity and Paranasal Sinuses: A Computational Fluid Dynamics Study. Chin. J. Otorhinolaryngol. Head Neck Surg. 2009, 44, 911–917. [Google Scholar]
- Saibene, A.M.; Felisati, G.; Pipolo, C.; Bulfamante, A.M.; Quadrio, M.; Covello, V. Partial Preservation of the Inferior Turbinate in Endoscopic Medial Maxillectomy: A Computational Fluid Dynamics Study. Am. J. Rhinol. Allergy 2020, 34, 409–416. [Google Scholar] [CrossRef]
- Khatri, H.; Salati, H.; Wong, E.; Bradshaw, K.; Inthavong, K.; Sacks, R.; Singh, N. Modelling the Effects of Post-FESS Middle Turbinate Synechiae on Sinonasal Physiology: A Computational Fluid Dynamics Study. Auris Nasus Larynx 2023, in press. [CrossRef]
- Kleven, M.; Singh, N.P.; Messina, J.C.; Djupesland, P.G.; Inthavong, K. Development of Computational Fluid Dynamics Methodology for Characterization of Exhalation Delivery System Performance in a Nasal Airway with Draf-III Surgery. J. Aerosol Sci. 2023, 169, 106121. [Google Scholar] [CrossRef]
- Xavier, R.; Menger, D.J.; De Carvalho, H.C.; Spratley, J. An Overview of Computational Fluid Dynamics Preoperative Analysis of the Nasal Airway. Facial Plast. Surg. 2021, 37, 306–316. [Google Scholar] [CrossRef] [PubMed]
- Lloyd-Price, J.; Abu-Ali, G.; Huttenhower, C. The Healthy Human Microbiome. Genome Med. 2016, 8, 51. [Google Scholar] [CrossRef] [PubMed]
- Kumpitsch, C.; Koskinen, K.; Schöpf, V.; Moissl-Eichinger, C. The Microbiome of the Upper Respiratory Tract in Health and Disease. BMC Biol. 2019, 17, 87. [Google Scholar] [CrossRef] [PubMed]
- Araujo, E.; Palombini, B.C.; Cantarelli, V.; Pereira, A.; Mariante, A. Microbiology of Middle Meatus in Chronic Rhinosinusitis. Am. J. Rhinol. 2018, 17, 9–15. [Google Scholar] [CrossRef]
- Vogan, J.C.; Bolger, W.E.; Keyes, A.S. Endoscopically Guided Sinonasal Cultures: A Direct Comparison with Maxillary Sinus Aspirate Cultures. Otolaryngol.-Head Neck Surg. 2000, 122, 370–373. [Google Scholar] [CrossRef]
- Szaleniec, J.; Gibała, A.; Hartwich, P.; Hydzik-Sobocińska, K.; Konior, M.; Gosiewski, T.; Szaleniec, M. Challenging the Gold Standard: Methods of Sampling for Microbial Culture in Patients with Chronic Rhinosinusitis. Eur. Arch. Oto-Rhino-Laryngol. 2021, 278, 4795–4803. [Google Scholar] [CrossRef]
- Ma, J.; Dong, J.; Shang, Y.; Inthavong, K.; Tu, J.; Frank-Ito, D.O. Air Conditioning Analysis among Human Nasal Passages with Anterior Anatomical Variations. Med. Eng. Phys. 2018, 57, 19–28. [Google Scholar] [CrossRef]
- Zhao, K.; Scherer, P.W.; Hajiloo, S.A.; Dalton, P. Effect of Anatomy on Human Nasal Air Flow and Odorant Transport Patterns: Implications for Olfaction. Chem. Senses 2004, 29, 365–379. [Google Scholar] [CrossRef]
- Weinhold, I.; Mlynski, G. Numerical Simulation of Airflow in the Human Nose. Eur. Arch. Oto-Rhino-Laryngol. Head Neck 2004, 261, 452–455. [Google Scholar] [CrossRef]
- Croce, C.; Fodil, R.; Durand, M.; Sbirlea-Apiou, G.; Caillibotte, G.; Papon, J.F.; Blondeau, J.R.; Coste, A.; Isabey, D.; Louis, B. In Vitro Experiments and Numerical Simulations of Airflow in Realistic Nasal Airway Geometry. Ann. Biomed. Eng. 2006, 34, 997–1007. [Google Scholar] [CrossRef]
- Lee, C.Y.; Wilke, C.R. Measurements of Vapor Diffusion Coefficient. Ind. Eng. Chem. 2002, 46, 2381–2387. [Google Scholar] [CrossRef]
- User Guide n.d. Available online: https://www.openfoam.com/documentation/user-guide (accessed on 12 February 2023).
- Issa, R.I.; Gosman, A.D.; Watkins, A.P. The Computation of Compressible and Incompressible Recirculating Flows by a Non-Iterative Implicit Scheme. J. Comput. Phys. 1986, 62, 66–82. [Google Scholar] [CrossRef]
- Ferziger, J.H.; Perić, M.; Street, R.L. Computational Methods for Fluid Dynamics, 4th ed.; Springer: Berlin/Heidelberg, Germany, 2019; pp. 1–596. [Google Scholar]
- Lal, D.; Keim, P.; Delisle, J.; Barker, B.; Rank, M.A.; Chia, N.; Schupp, J.M.; Gillece, J.D.; Cope, E.K. Mapping and Comparing Bacterial Microbiota in the Sinonasal Cavity of Healthy, Allergic Rhinitis, and Chronic Rhinosinusitis Subjects. Int. Forum Allergy Rhinol. 2017, 7, 561–569. [Google Scholar] [CrossRef]
- Biswas, K.; Hoggard, M.; Jain, R.; Taylor, M.W.; Douglas, R.G. The Nasal Microbiota in Health and Disease: Variation within and between Subjects. Front. Microbiol. 2015, 6, 134. [Google Scholar] [CrossRef]
- Copeland, E.; Leonard, K.; Carney, R.; Kong, J.; Forer, M.; Naidoo, Y.; Oliver, B.G.G.; Seymour, J.R.; Woodcock, S.; Burke, C.M.; et al. Chronic Rhinosinusitis: Potential Role of Microbial Dysbiosis and Recommendations for Sampling Sites. Front. Cell. Infect. Microbiol. 2018, 8, 57. [Google Scholar] [CrossRef]
- Brook, I. Microbiology of Acute Sinusitis of Odontogenic Origin Presenting with Periorbital Cellulitis in Children. Ann. Otol. Rhinol. Laryngol. 2007, 116, 386–388. [Google Scholar] [CrossRef]
- Morawska-Kochman, M.; Jermakow, K.; Nelke, K.; Zub, K.; Pawlak, W.; Dudek, K.; Bochnia, M. The PH Value as a Factor Modifying Bacterial Colonization of Sinonasal Mucosa in Healthy Persons. Ann. Otol. Rhinol. Laryngol. 2019, 128, 819–828. [Google Scholar] [CrossRef]
- Yan, M.; Pamp, S.J.; Fukuyama, J.; Hwang, P.H.; Cho, D.Y.; Holmes, S.; Relman, D.A. Nasal Microenvironments and Interspecific Interactions Influence Nasal Microbiota Complexity and S. aureus Carriage. Cell Host Microbe 2013, 14, 631–640. [Google Scholar] [CrossRef]
- Paramasivan, S.; Bassiouni, A.; Shiffer, A.; Dillon, M.R.; Cope, E.K.; Cooksley, C.; Ramezanpour, M.; Moraitis, S.; Ali, M.J.; Bleier, B.; et al. The International Sinonasal Microbiome Study: A Multicentre, Multinational Characterization of Sinonasal Bacterial Ecology. Allergy 2020, 75, 2037–2049. [Google Scholar] [CrossRef]
- Morawska-Kochman, M.; Marycz, K.; Jermakow, K.; Nelke, K.; Pawlak, W.; Bochnia, M. The Presence of Bacterial Microcolonies on the Maxillary Sinus Ciliary Epithelium in Healthy Young Individuals. PLoS ONE 2017, 12, e0176776. [Google Scholar] [CrossRef] [PubMed]
- Zang, H.; Liu, Y.; Han, D.; Zhang, L.; Wang, T.; Sun, X.; Li, L. Airflow and Temperature Distribution inside the Maxillary Sinus: A Computational Fluid Dynamics Simulation. Acta Oto-Laryngol. 2012, 132, 637–644. [Google Scholar] [CrossRef] [PubMed]
- Lindemann, J.; Keck, T.; Scheithauer, M.O.; Leiacker, R.; Wiesmiller, K. Nasal Mucosal Temperature in Relation to Nasal Airflow as Measured by Rhinomanometry. Am. J. Rhinol. 2007, 21, 46–49. [Google Scholar] [CrossRef] [PubMed]
- Keck, T.; Leiacker, R.; Riechelmann, H.; Rettinger, G. Temperature Profile in the Nasal Cavity. Laryngoscope 2000, 110, 651–654. [Google Scholar] [CrossRef]
- Tóthpál, A.; Desobry, K.; Joshi, S.S.; Wyllie, A.L.; Weinberger, D.M. Variation of Growth Characteristics of Pneumococcus with Environmental Conditions. BMC Microbiol. 2019, 19, 304. [Google Scholar] [CrossRef]
- Shah, S.J.; Hawn, V.S.; Zhu, N.; Fang, C.H.; Gao, Q.; Akbar, N.A.; Abuzeid, W.M. Postoperative Infection Rate and Associated Factors Following Endoscopic Sinus Surgery. Ann. Otol. Rhinol. Laryngol. 2022, 131, 5–11. [Google Scholar] [CrossRef]
- Xiong, G.X.; Zhan, J.M.; Jiang, H.Y.; Li, J.F.; Rong, L.W.; Xu, G. Computational Fluid Dynamics Simulation of Airflow in the Normal Nasal Cavity and Paranasal Sinuses. Am. J. Rhinol. 2008, 22, 477–482. [Google Scholar] [CrossRef]
- Li, L.; Zang, H.; Han, D.; London, N.R. Impact of Varying Types of Nasal Septal Deviation on Nasal Airflow Pattern and Warming Function: A Computational Fluid Dynamics Analysis. Ear Nose Throat J. 2021, 100, NP283–NP289. [Google Scholar] [CrossRef]
- Bomar, L.; Brugger, S.D.; Yost, B.H.; Davies, S.S.; Lemon, K.P. Corynebacterium Accolens Releases Antipneumococcal Free Fatty Acids from Human Nostril and Skin Surface Triacylglycerols. mBio 2016, 7, e01725-15. [Google Scholar] [CrossRef]
- Yang, R.; Dong, C.; Chen, Y.; Liu, H.; Zhang, C.; Lai, Y.; Zha, D.; Han, Y. Analysis of the Clinical Features and Surgical Outcomes of First Branchial Cleft Anomalies. Laryngoscope 2022, 132, 1008–1014. [Google Scholar] [CrossRef]




| Physical Conditions | Inlet | Outlet | Nasal Wall | Box Walls |
|---|---|---|---|---|
| Velocity, l/min | 15 | 15 | No-slip | slip |
| Temperature, °C | 25 | 36.6 | 34 | 25 |
| Vapour, % | 0.007 | Equation (5) | 0.007 | |
| Pressure, Pa | 100,000 |
| Number of Mesh Cells and Their Shape | Min Volume of Cell | Max Volume of Cell | ||
|---|---|---|---|---|
| hexahedra | polyhedra | total number | m3 | m3 |
| ~4 million | ~2 million | ~6 million | ||
| Location | Side | Temperature (°C) | Humidity (%) |
|---|---|---|---|
| Inferior nasal meatus | Right | 33.15 (32.35 ÷ 33.95) | 0.022 (0.018 ÷ 0.031) |
| Left | 32.05 (31.05 ÷ 33.75) | 0.019 (0.015 ÷ 0.024) | |
| R vs. L | p-value = 0.126 | p-value = 0.094 | |
| Ostiomeatal complex | Right | 33.85 (33.55 ÷ 33.95) | 0.027 (0.026 ÷ 0.031) |
| Left | 33.65 (33.65 ÷ 33.95) | 0.026 (0.022 ÷ 0.028) | |
| R vs. L | p-value = 0.827 | p-value = 0.275 | |
| Maxillary sinus floor | Right | 34.05 (34.05 ÷ 34.05) | 0.032 (0.032 ÷ 0.032) |
| Left | 34.05 (34.05 ÷ 34.05) | 0.032 (0.032 ÷ 0.032) | |
| R vs. L | p-value = 0.827 | p-value = 0.716 |
| Location | Side | |Vavg|(m/s) | Pressure (Pa) |
|---|---|---|---|
| Inferior nasal meatus | Right | 0.512 (0.127 ÷ 1.140) | 99,978 (99,946 ÷ 99,990) |
| Left | 1.258 (1.056 ÷ 2.165) | 99,975 (99,973 ÷ 99,990) | |
| R vs. L | p-value = 0.062 | p-value = 0.846 | |
| Ostiomeatal complex | Right | 0.491 (0.031 ÷ 0.646) | 99,981 (99,962 ÷ 99,989) |
| Left | 0.542 (0.092 ÷ 0.857) | 99,982 (99,966 ÷ 99,989) | |
| R vs. L | p-value = 0.320 | p-value = 0.903 | |
| Maxillary sinus floor | Right | 0.000 (0.000 ÷ 0.002) | 99,980 (99,961 ÷ 99,989) |
| Left | 0.000 (0.000 ÷ 0.000) | 99,974 (99,963 ÷ 99,988) | |
| R vs. L | p-value = 0.942 | p-value = 0.961 |
| Bacterial Strain | Oxygen Requirements | Optimal Growth Temperature Ranges | Reference(s) |
|---|---|---|---|
| Streptococcus spp. | aerobic | 35–37 °C, maximal grow at low temperatures (~33 °C) | [45,50] |
| Corynebacterium spp. | anaerobic, aerobic, and microaerophilic | 31–37 °C | [46] |
| Propionibacterium spp. | anaerobic to aerotolerant | 25–35 °C thermotolerant | [47] |
| Staphylococcus spp. | aerobic or facultatively anaerobic | 30° to 37 °C | [48] |
| Haemophilus spp. | aerobic or facultatively anaerobic | 35–37 °C | [49] |
| Moraxella spp. | aerobic | 33–35 °C | [51] |
Disclaimer/Publisher’s Note: The statements, opinions and data contained in all publications are solely those of the individual author(s) and contributor(s) and not of MDPI and/or the editor(s). MDPI and/or the editor(s) disclaim responsibility for any injury to people or property resulting from any ideas, methods, instructions or products referred to in the content. |
© 2023 by the authors. Licensee MDPI, Basel, Switzerland. This article is an open access article distributed under the terms and conditions of the Creative Commons Attribution (CC BY) license (https://creativecommons.org/licenses/by/4.0/).
Share and Cite
Morawska-Kochman, M.; Malecha, Z.M.; Zub, K.; Kielar, J.; Dudek, K.; Nelke, K.; Zatonski, T. Physical Conditions Prevailing in the Nasal and Maxillary Sinus Cavities Based on Numerical Simulation. Medicina 2023, 59, 1094. https://doi.org/10.3390/medicina59061094
Morawska-Kochman M, Malecha ZM, Zub K, Kielar J, Dudek K, Nelke K, Zatonski T. Physical Conditions Prevailing in the Nasal and Maxillary Sinus Cavities Based on Numerical Simulation. Medicina. 2023; 59(6):1094. https://doi.org/10.3390/medicina59061094
Chicago/Turabian StyleMorawska-Kochman, Monika, Ziemowit Miłosz Malecha, Krzysztof Zub, Jakub Kielar, Krzysztof Dudek, Kamil Nelke, and Tomasz Zatonski. 2023. "Physical Conditions Prevailing in the Nasal and Maxillary Sinus Cavities Based on Numerical Simulation" Medicina 59, no. 6: 1094. https://doi.org/10.3390/medicina59061094
APA StyleMorawska-Kochman, M., Malecha, Z. M., Zub, K., Kielar, J., Dudek, K., Nelke, K., & Zatonski, T. (2023). Physical Conditions Prevailing in the Nasal and Maxillary Sinus Cavities Based on Numerical Simulation. Medicina, 59(6), 1094. https://doi.org/10.3390/medicina59061094

