Evaluating Therapy and Growth in Children with Phenylketonuria: A Retrospective Longitudinal Study from Two Romanian Centers
Abstract
1. Introduction
2. Materials and Methods
2.1. Study Protocol
2.2. Data Collection
2.2.1. Anthropometric Measurements
2.2.2. Phe Blood Measurements
2.2.3. Dietary Intake
2.3. Use of OpenAI ChatGPT-3.5
2.4. Statistical Analyses
3. Results
3.1. General Characteristics of the Study Population
3.2. Dietary Intake
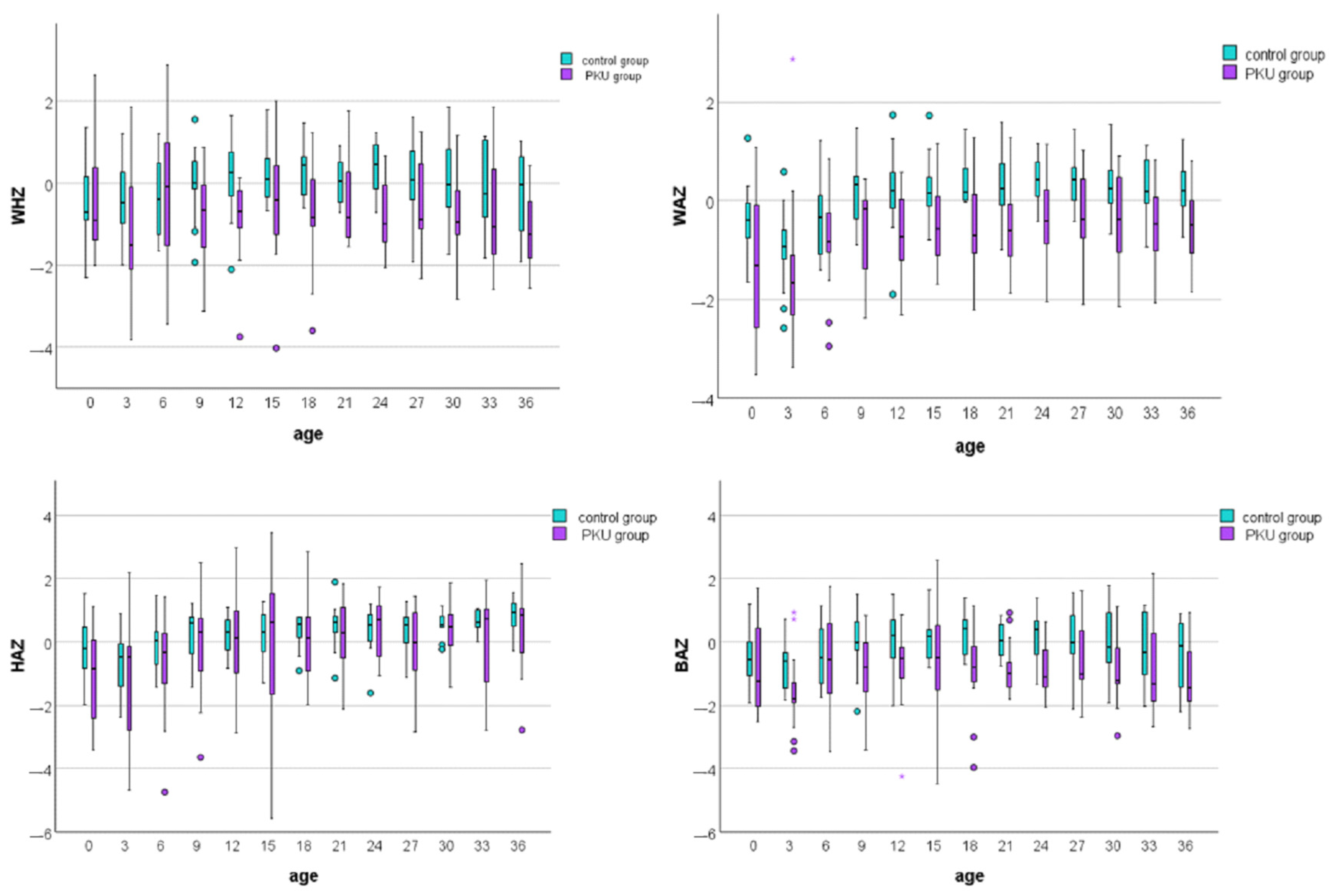
3.3. Changes in Anthropometric Characteristics
4. Discussion
5. Conclusions
Supplementary Materials
Author Contributions
Funding
Institutional Review Board Statement
Informed Consent Statement
Data Availability Statement
Acknowledgments
Conflicts of Interest
References
- Hillert, A.; Anikster, Y.; Belanger-Quintana, A.; Burlina, A.; Burton, B.K.; Carducci, C.; Chiesa, A.E.; Christodoulou, J.; Đorđević, M.; Desviat, L.R.; et al. The Genetic Landscape and Epidemiology of Phenylketonuria. Am. J. Hum. Genet. 2020, 107, 234–250. [Google Scholar] [CrossRef] [PubMed]
- Dobbelaere, D.; Michaud, L.; Debrabander, A.; Vanderbecken, S.; Gottrand, F.; Turck, D.; Farriaux, J.P. Evaluation of nutritional status and pathophysiology of growth retardation in patients with phenylketonuria. J. Inherit. Metab. Dis. 2003, 26, 1–11. [Google Scholar] [CrossRef] [PubMed]
- Yi, S.H.; Singh, R.H. Protein substitute for children and adults with phenylketonuria. Cochrane Database Syst. Rev. 2015, CD004731. [Google Scholar] [CrossRef] [PubMed]
- Van Spronsen, F.J.; van Wegberg, A.M.; Ahring, K.; Bélanger-Quintana, A.; Blau, N.; Bosch, A.M.; Burlina, A.; Campistol, J.; Feillet, F.; Giżewska, M.; et al. Key European guidelines for the diagnosis and management of patients with phenylketonuria. Lancet Diabetes Endocrinol. 2017, 5, 743–756. [Google Scholar] [CrossRef] [PubMed]
- Pinto, A.; Adams, S.; Ahring, K.K.; Allen, H.; Almeida, M.F.; Garcia-Arenas, D.; Arslan, N.; Assoun, M.; Atik Altınok, Y.; Barrio-Carreras, D.; et al. Early feeding practices in infants with phenylketonuria across Europe. Mol. Genet. Metab. Rep. 2018, 16, 82–89. [Google Scholar] [CrossRef] [PubMed]
- Luengo-Pérez, L.M.; Fernández-Bueso, M.; Guzmán-Carmona, C.; López-Navia, A.; García-Lobato, C. Morphofunctional Assessment beyond Malnutrition: Fat Mass Assessment in Adult Patients with Phenylketonuria—Systematic Review. Nutrients 2024, 16, 1833. [Google Scholar] [CrossRef] [PubMed]
- Vockley, J.; Andersson, H.C.; Antshel, K.M.; Braverman, N.E.; Burton, B.K.; Frazier, D.M.; Mitchell, J.; Smith, W.E.; Thompson, B.H.; Berry, S.A.; et al. Phenylalanine hydroxylase deficiency: Diagnosis and management guideline. Genet. Med. 2014, 16, 188–200. [Google Scholar] [CrossRef] [PubMed]
- Blau, N.; van Spronsen, F.J.; Levy, H.L. Phenylketonuria. Lancet 2010, 376, 1417–1427. [Google Scholar] [CrossRef] [PubMed]
- Giovannini, M.; Riva, E.; Salvatici, E.; Fiori, L.; Paci, S.; Verduci, E.; Agostoni, C. Treating phenylketonuria: A single centre experience. J. Int. Med. Res. 2007, 35, 742–752. [Google Scholar] [CrossRef]
- Upadia, J.; Crivelly, K.; Noh, G.; Cunningham, A.; Cerminaro, C.; Li, Y.; Mckoin, M.; Chenevert, M.; Andersson, H.C. Maximal dietary responsiveness after tetrahydrobiopterin (BH4) in 19 phenylalanine hydroxylase deficiency patients: What super-responders can expect. Mol. Genet. Metab. Rep. 2024, 38, 101050. [Google Scholar] [CrossRef]
- Arnold, G.L.; Kirby, R.; Preston, C.; Blakely, E. Iron and protein sufficiency and red cell indices in phenylketonuria. J. Am. Coll. Nutr. 2001, 20, 65–70. [Google Scholar] [CrossRef] [PubMed]
- Hoeksma, M.; Van Rijn, M.; Verkerk, P.H.; Bosch, A.M.; Mulder, M.F.; de Klerk, J.B.; de Koning, T.J.; Rubio-Gozalbo, E.; de Vries, M.; Sauer, P.J.; et al. The intake of total protein, natural protein and protein substitute and growth of height and head circumference in Dutch infants with phenylketonuria. J. Inherit. Metab. Dis. 2005, 28, 845–854. [Google Scholar] [CrossRef]
- Portnoi, P.; MacDonald, A.; Watling, R.; Clarke, B.J.; Barnes, J.; Robertson, L.; White, F.; Jarvis, C.; Laing, S.; Weetch, E.; et al. A survey of feeding practices in infants with phenylketonuria. J. Hum. Nutr. Diet. 1999, 12, 287–292. [Google Scholar] [CrossRef]
- Evans, S.; Daly, A.; Wildgoose, J.; Cochrane, B.; Chahal, S.; Ashmore, C.; Loveridge, N.; MacDonald, A. Growth, Protein and Energy Intake in Children with PKU Taking a Weaning Protein Substitute in the First Two Years of Life: A Case-Control Study. Nutrients 2019, 11, 552. [Google Scholar] [CrossRef]
- Bugi, M.-A.; Jugănaru, I.; Isac, R.; Simina, I.E.; Munteanu, A.I.; Mang, N.; Brad, G.F.; Nicoară, D.M.; Cîrnatu, D.; Mărginean. Factors Impacting the Reduction in Neophobia Prevalence in Phenylketonuria Patients. Nutrients 2024, 16, 768. [Google Scholar] [CrossRef] [PubMed]
- MacDonald, A.; van Wegberg, A.; Ahring, K.; Beblo, S.; Bélanger-Quintana, A.; Burlina, A.; Campistol, J.; Coşkun, T.; Feillet, F.; Giżewska, M.; et al. PKU dietary handbook to accompany PKU guidelines. Orphanet J. Rare Dis. 2020, 15, 1–21. [Google Scholar] [CrossRef]
- Yilmaz, O.; Cochrane, B.; Wildgoose, J.; Pinto, A.; Evans, S.; Daly, A.; Ashmore, C.; MacDonald, A. Phenylalanine free infant formula in the dietary management of phenylketonuria. Orphanet J. Rare Dis. 2023, 18, 16. [Google Scholar] [CrossRef]
- MacDonald, A.; Evans, S.; Cochrane, B.; Wildgoose, J. Weaning infants with phenylketonuria: A review. J. Hum. Nutr. Diet. 2012, 25, 103–110. [Google Scholar] [CrossRef]
- Lindegren, M.L.; Krishnaswami, S.; Reimschisel, T.; Fonnesbeck, C.; Sathe, N.A.; McPheeters, M.L. A systematic review of BH4 (Sapropterin) for the adjuvant treatment of phenylketonuria. JIMD Rep. 2013, 8, 109–119. [Google Scholar] [CrossRef] [PubMed]
- Trefz, F.K.; Burton, B.K.; Longo, N.; Casanova, M.M.; Gruskin, D.J.; Dorenbaum, A.; Kakkis, E.D.; Crombez, E.A.; Grange, D.K.; Harmatz, P.; et al. Efficacy of sapropterin dihydrochloride in increasing phenylalanine tolerance in children with phenylketonuria: A phase III, randomized, double-blind, placebo-controlled study. J. Pediatr. 2009, 154, 700–707. [Google Scholar] [CrossRef]
- Feldmann, R.; Och, U.; Beckmann, L.S.; Weglage, J.; Rutsch, F. Children and Adolescents with Early Treated Phenylketonuria: Cognitive Development and Fluctuations of Blood Phenylalanine Levels. Int. J. Environ. Res. Public Health 2024, 21, 431. [Google Scholar] [CrossRef] [PubMed]
- Somaraju, U.R.; Merrin, M. Sapropterin dihydrochloride for phenylketonuria. Cochrane Database Syst. Rev. 2015, CD008005. [Google Scholar] [CrossRef] [PubMed]
- Macleod, E.L.; Ney, D.M. Nutritional management of phenylketonuria. Ann. Nestle 2010, 68, 58–69. [Google Scholar] [CrossRef] [PubMed]
- Evans, M.; Truby, H.; Boneh, A. The relationship between dietary intake, growth and body composition in phenylketonuria. Mol. Genet. Metab. 2017, 122, 36–42. [Google Scholar] [CrossRef] [PubMed]
- Singh, R.H.; Quirk, M.E.; Douglas, T.D.; Brauchla, M.C. BH4 therapy impacts the nutrition status and intake in children with phenylketonuria: 2-year follow-up. J. Inherit. Metab. Dis. 2010, 33, 689–695. [Google Scholar] [CrossRef] [PubMed]
- Huemer, M.; Huemer, C.; Möslinger, D.; Huter, D.; Stöckler-Ipsiroglu, S. Growth and body composition in children with classical phenylketonuria: Results in 34 patients and review of the literature. J. Inherit. Metab. Dis. 2007, 30, 694–699. [Google Scholar] [CrossRef] [PubMed]
- Rocha, J.C.; van Spronsen, F.J.; Almeida, M.F.; Ramos, E.; Guimarães, J.T.; Borges, N. Early dietary treated patients with phenylketonuria can achieve normal growth and body composition. Mol. Genet. Metab. 2013, 110, S40–S43. [Google Scholar] [CrossRef]
- Weng, H.L.; Yang, F.J.; Chen, P.R.; Hwu, W.L.; Lee, N.C.; Chien, Y.H. Dietary intake and nutritional status of patients with phenylketonuria in Taiwan. Sci. Rep. 2020, 10, 14537. [Google Scholar] [CrossRef]
- Kennedy, J.L.; Wertelecki, W.; Gates, L.; Sperry, B.P.; Cass, V.M. The early treatment of phenylketonuria. Am. J. Dis. Child. 1967, 113, 16–21. [Google Scholar] [CrossRef]
- Verkerk, P.H.; van Spronsen, F.J.; Smit, G.P.; Sengers, R.C. Impaired prenatal and postnatal growth in Dutch patients with phenylketonuria. The National PKU Steering Committee. Arch. Dis. Child. 1994, 71, 114–118. [Google Scholar] [CrossRef]
- Schaefer, F.; Burgard, P.; Batzler, U.; Rupp, A.; Schmidt, H.; Gilli, G.; Bickel, H.; Bremer, H.J. Growth and skeletal maturation in children with phenylketonuria. Acta Paediatr. 1994, 83, 534–541. [Google Scholar] [CrossRef] [PubMed]
- Dhondt, J.L.; Largillière, C.; Moreno, L.; Farriaux, J.P. Physical growth in patients with phenylketonuria. J. Inherit. Metab. Dis. 1995, 18, 135–137. [Google Scholar] [CrossRef]
- Aldámiz-Echevarría, L.; Bueno, M.A.; Couce, M.L. Anthropometric characteristics and nutrition in a cohort of PAH-deficient patients. Clin. Nutr. 2014, 33, 702–717. [Google Scholar] [CrossRef]
- Thiele, A.G.; Gausche, R.; Lindenberg, C.; Beger, C.; Arelin, M.; Rohde, C.; Mütze, U.; Weigel, J.F.; Mohnike, K.; Baerwald, C.; et al. Growth and final height among children with phenylketonuria. Pediatrics 2017, 140, e20170015. [Google Scholar] [CrossRef] [PubMed]
- van der Schot, L.W.; Doesburg, W.H.; Sengers, R.C. The phenylalanine response curve in relation to growth and mental development in the first year of life. Acta Paediatr. Suppl. 1994, 407, 68–69. [Google Scholar] [CrossRef]
- Couce, M.L.; Guler, I.; Anca-Couce, A.; Lojo, M.; Mirás, A.; Leis, R.; Pérez-Muñuzuri, A.; Fraga, J.M.; Gude, F. New insights in growth of phenylketonuric patients. Eur. J. Pediatr. 2015, 174, 651–659. [Google Scholar] [CrossRef]
- Belanger-Quintana, A.; Martínez-Pardo, M. Physical development in patients with phenylketonuria on dietary treatment: A retrospective study. Mol. Genet. Metab. 2011, 104, 480–484. [Google Scholar] [CrossRef]
- World Health Organization. WHO Child Growth Standards: Length/Height-for-Age, Weight-for-Age, Weight-for-Length, Weight-for-Height and Body Mass In-Dex-for-Age: Methods and Development; World Health Organization: Geneva, Switzerland, 2006. [Google Scholar]
- Allen, J.R.; Baur, L.A.; Waters, D.L.; Humphries, I.R.; Allen, B.J.; Roberts, D.C.; Gaskin, K.J. Body protein in prepubertal children with phenylketonuria. Eur. J. Clin. Nutr. 1996, 50, 178–186. [Google Scholar] [PubMed]
- WHO/FAO/UNU. Protein and Amino Acid Requirements in Human Nutrition: Report of a Joint WHO/FAO/UNU Expert Consultation; WHO/FAO/UNU: Geneva, Switzerland, 2007. [Google Scholar]
- Pinto, A.; Almeida, M.F.; MacDonald, A.; Ramos, P.C.; Rocha, S.; Guimas, A.; Ribeiro, R.; Martins, E.; Bandeira, A.; Jackson, R.; et al. Over restriction of dietary protein allowance: The importance of ongoing reassessment of natural protein tolerance in phenylketonuria. Nutrients 2019, 11, 995. [Google Scholar] [CrossRef]
- Pinto, A.; Daly, A.; Rocha, J.C.; Ashmore, C.; Evans, S.; Jackson, R.; Payne, A.; Hickson, M.; MacDonald, A. Impact of Fruit and Vegetable Protein vs. Milk Protein on Metabolic Control of Children with Phenylketonuria: A Randomized Crossover Controlled Trial. Nutrients 2022, 14, 4268. [Google Scholar] [CrossRef]
- Stockler-Ipsiroglu, S.; Yuskiv, N.; Salvarinova, R.; Apatean, D.; Ho, G.; Cheng, B.; Giezen, A.; Lillquist, Y.; Ueda, K. Individualized long-term outcomes in blood phenylalanine concentrations and dietary phenylalanine tolerance in 11 patients with primary phenylalanine hydroxylase (PAH) deficiency treated with sapropterin dihydrochloride. Mol. Genet. Metab. 2015, 114, 409–414. [Google Scholar] [CrossRef] [PubMed]
- WHO Anthro for Personal Computers. Software for Assessing Growth and Development of the World’s Children; Department of Nutrition for Health and Development, WHO: Geneva, Switzerland, 2011. [Google Scholar]
- Mazur, A.; Jarochowicz, S.; Sykut-Cegielska, J.; Gradowska, W.; Kwolek, A.; Ołtarzewski, M. Evaluation of somatic development in adult patients with previously undiagnosed and/or untreated phenylketonuria. Med. Princ. Pract. 2010, 19, 46–50. [Google Scholar] [CrossRef] [PubMed]
- Hoeks, M.P.; den Heijer, M.; Janssen, M.C. Adult issues in phenylketonuria. Neth. J. Med. 2009, 67, 2–7. [Google Scholar]
- Hanley, W.B. Adult phenylketonuria. Am. J. Med. 2004, 116, 590–595. [Google Scholar] [CrossRef]
- Waisbren, S.; Burton, B.K.; Feigenbaum, A.; Konczal, L.L.; Lilienstein, J.; McCandless, S.E.; Rowell, R.; Sanchez-Valle, A.; Whitehall, K.B.; Longo, N. Long-term preservation of intellectual functioning in sapropterin-treated infants and young children with phenylketonuria: A seven-year analysis. Mol. Genet. Metab. 2021, 132, 119–127. [Google Scholar] [CrossRef] [PubMed]
- Surtees, R.; Blau, N. The neurochemistry of phenylketonuria. Eur. J. Pediatr. 2000, 159 (Suppl. S2), S109–S113. [Google Scholar] [CrossRef] [PubMed]
- Ashe, K.; Kelso, W.; Farrand, S.; Panetta, J.; Fazio, T.; De Jong, G.; Walterfang, M. Psychiatric and cognitive aspects of phenylketonuria: The limitations of diet and promise of new treatments. Front. Psychiatry 2019, 10, 561. [Google Scholar] [CrossRef]
- Pinto, A.; Daly, A.; Rocha, J.C.; Ashmore, C.; Evans, S.; Ilgaz, F.; Hickson, M.; MacDonald, A. Natural Protein Intake in Children with Phenylketonuria: Prescription vs. Actual Intakes. Nutrients 2023, 15, 4903. [Google Scholar] [CrossRef]
- Ebrahimi, A.; Andishmand, H.; Huo, C.; Amjadi, S.; Khezri, S.; Hamishehkar, H.; Mahmoudzadeh, M.; Kim, K.H. Glycomacropeptide: A comprehensive understanding of its major biological characteristics and purification methodologies. Compr. Rev. Food Sci. Food Saf. 2024, 23, e13370. [Google Scholar] [CrossRef]
- Sailer, M.; Elizondo, G.; Martin, J.; Harding, C.O.; Gillingham, M.B. Nutrient intake, body composition, and blood phenylalanine control in children with phenylketonuria compared to healthy controls. Mol. Genet. Metab. Rep. 2020, 23, 100599. [Google Scholar] [CrossRef]
- Pena, M.J.; de Almeida, M.F.; van Dam, E.; Ahring, K.; Bélanger-Quintana, A.; Dokoupil, K.; Gokmen-Ozel, H.; Lammardo, A.M.; MacDonald, A.; Robert, M.; et al. Protein substitutes for phenylketonuria in Europe: Access and nutritional composition. Eur. J. Clin. Nutr. 2016, 70, 785–789. [Google Scholar] [CrossRef]
- Newby, C. Introducing a granule based protein substitute to the diet of a child with phenylketonuria to address reluctance to ingest phenylalanine-free protein substitute: A case report. Nutr. Health 2024, 30, 35–38. [Google Scholar] [CrossRef]
- MacDonald, A.; Smith, T.A.; de Silva, S.; Alam, V.; van Loon, J.M. The personal burden for caregivers of children with phenylketonuria: A cross-sectional study investigating time burden and costs in the UK. Mol. Genet. Metab. Rep. 2016, 9, 1–5. [Google Scholar] [CrossRef] [PubMed]
- Cazzorla, C.; Bensi, G.; Biasucci, G.; Leuzzi, V.; Manti, F.; Musumeci, A.; Papadia, F.; Stoppioni, V.; Tummolo, A.; Vendemiale, M.; et al. Living with phenylketonuria in adulthood: The PKU ATTITUDE study. Mol. Genet. Metab. Rep. 2018, 16, 39–45. [Google Scholar] [CrossRef]
- Jurecki, E.R.; Cederbaum, S.; Kopesky, J.; Perry, K.; Rohr, F.; Sanchez-Valle, A.; Viau, K.S.; Sheinin, M.Y.; Cohen-Pfeffer, J.L. Adherence to clinic recommendations among patients with phenylketonuria in the United States. Mol. Genet. Metab. 2017, 120, 190–197. [Google Scholar] [CrossRef]
- Shyam, R.; Panda, H.S.; Mishra, J.; Jyoti Panda, J.; Kour, A. Emerging biosensors in phenylketonuria. Clin. Chim. Acta 2024, 559, 119725. [Google Scholar] [CrossRef]
- Mahan, K.C.; Gandhi, M.A.; Anand, S. Pegvaliase: A novel treatment option for adults with phenylketonuria. Curr. Med. Res. Opin. 2019, 35, 647–651. [Google Scholar] [CrossRef]
- Baek, R.; Coughlan, K.; Jiang, L.; Liang, M.; Ci, L.; Singh, H.; Zhang, H.; Kaushal, N.; Rajlic, I.L.; Van, L.; et al. Characterizing the mechanism of action for mRNA therapeutics for the treatment of propionic acidemia, methylmalonic acidemia, and phenylketonuria. Nat. Commun. 2024, 15, 3804. [Google Scholar] [CrossRef]
- Holm, V.A.; Knox, W.E. Physical growth in phenylketonuria: I. A retrospective study. Pediatrics 1979, 63, 694–699. [Google Scholar] [CrossRef] [PubMed]
- McBurnie, M.A.; Kronmal, R.A.; Schuett, V.E.; Koch, R.; Azeng, C.G. Physical growth of children treated for phenylketonuria. Ann. Hum. Biol. 1991, 18, 357–368. [Google Scholar] [CrossRef] [PubMed]
- van Spronsen, F.J.; Verkerk, P.H.; van Houten, M. Does impaired growth of PKU patients correlate with the strictness of dietary treatment? National Dutch PKU Steering Committee. Acta Paediatr. 1997, 86, 816–818. [Google Scholar] [CrossRef]
- Ilgaz, F.; Pinto, A.; Gökmen-Özel, H.; Rocha, J.C.; van Dam, E.; Ahring, K.; Bélanger-Quintana, A.; Dokoupil, K.; Karabulut, E.; MacDonald, A. Long-term growth in phenylketonuria: A systematic review and meta-analysis. Nutrients 2019, 11, 2070. [Google Scholar] [CrossRef]
- Van Wegberg, A.; MacDonald, A.; Ahring, K.; Bélanger-Quintana, A.; Blau, N.; Bosch, A.M.; Burlina, A.; Campistol, J.; Feillet, F.; Giżewska, M.; et al. The complete European guidelines on phenylketonuria: Diagnosis and treatment. Orphanet J. Rare Dis. 2017, 12, 162. [Google Scholar] [CrossRef]
- Daly, A.; Evans, S.; Pinto, A.; Ashmore, C.; MacDonald, A. Protein substitutes in PKU; their historical evolution. Nutrients 2021, 13, 484. [Google Scholar] [CrossRef]
- Acosta, P.B.; Yannicelli, S.; Singh, R.; Mofidi, S.; Steiner, R.; DeVincentis, E.; Jurecki, E.; Bernstein, L.; Gleason, S.; Chetty, M.; et al. Nutrient intakes and physical growth of children with phenylketonuria undergoing nutrition therapy. J. Am. Diet. Assoc. 2003, 103, 1167–1173. [Google Scholar] [CrossRef]
- Acosta, P.B.; Yannicelli, S.; Marriage, B.; Mantia, C.; Gaffield, B.; Porterfield, M.; Hunt, M.; McMaster, N.; Bernstein, L.; Parton, P.; et al. Nutrient intake and growth of infants with phenylketonuria undergoing therapy. J. Pediatr. Gastroenterol. Nutr. 1998, 27, 287–291. [Google Scholar] [CrossRef]
- Acosta, P.; Yannicelli, S. Protein intake affects phenylalanine requirements and growth of infants with phenylketonuria. Acta Paediatr. 1994, 83, 66–67. [Google Scholar] [CrossRef]
- Acosta, P.; Yannicelli, S.; Marriage, B.; Steiner, R.; Gaffield, B.; Arnold, G.; Lewis, V.; Cho, S.; Berstein, L.; Parton, P.; et al. Protein intake and growth of infants with phenylketonuria undergoing nutrition therapy. J. Pediatr. Gastroenterol. Nutr. 1998, 27, 287–291. [Google Scholar]
- Weglage, J.; Brämswig, J.; Koch, H.; Karassalidou, S.; Ullrich, K. Growth in patients with phenylketonuria. Eur. J. Pediatr. 1994, 153, 537–538. [Google Scholar] [CrossRef] [PubMed]
- López-Mejía, L.A.; Fernández-Lainez, C.; Vela-Amieva, M.; Ibarra-González, I.; Guillén-López, S. The BMI Z-Score and Protein Energy Ratio in Early- and Late-Diagnosed PKU Patients from a Single Reference Center in Mexico. Nutrients 2023, 15, 957. [Google Scholar] [CrossRef] [PubMed]
- Aldámiz-Echevarría, L.; Bueno, M.A.; Couce, M.L.; Lage, S.; Dalmau, J.; Vitoria, I.; Llarena, M.; Andrade, F.; Blasco, J.; Alcalde, C.; et al. 6R-tetrahydrobiopterin treated PKU patients below 4 years of age: Physical outcomes, nutrition and genotype. Mol. Genet. Metab. 2015, 115, 10–16. [Google Scholar] [CrossRef] [PubMed]
- Aldámiz-Echevarría, L.; Bueno, M.A.; Couce, M.L.; Lage, S.; Dalmau, J.; Vitoria, I.; Andrade, F.; Llarena, M.; Blasco, J.; Alcalde, C.; et al. Tetrahydrobiopterin therapy vs phenylalanine-restricted diet: Impact on growth in PKU. Mol. Genet. Metab. 2013, 109, 331–338. [Google Scholar] [CrossRef] [PubMed]
- Daly, A.; Högler, W.; Crabtree, N.; Shaw, N.; Evans, S.; Pinto, A.; Jackson, R.; Strauss, B.J.; Wilcox, G.; Rocha, J.C.; et al. Growth and Body Composition in PKU Children-A Three-Year Prospective Study Comparing the Effects of L-Amino Acid to Glycomacropeptide Protein Substitutes. Nutrients 2021, 13, 1323. [Google Scholar] [CrossRef] [PubMed]
- MacDonald, A.; Gokmen-Ozel, H.; van Rijn, M.; Burgard, P. The reality of dietary compliance in the management of phenylketonuria. J. Inherit. Metab. Dis. 2010, 33, 665–670. [Google Scholar] [CrossRef] [PubMed]
- Fisberg, R.M.; da Silva-Fernandes, M.E.; Schmidt, B.J.; Fisberg, M. Nutritional evaluation of children with phenylketonuria. Sao Paulo Med. J. 1999, 117, 185–191. [Google Scholar] [CrossRef] [PubMed][Green Version]
- Shakiba, M.; Alaei, M.; Saneifard, H.; Mosallanejad, A. Assessment of Anthropometric Indices in Patients with Phenylketonuria. Iran. J. Child Neurol. 2020, 14, 27–39. [Google Scholar] [PubMed]
- Silveira, A.M.; Lima, P.L.; Alves, M.R.A.; Soares, R.D.L.; Kanufre, V.C.; Rodrigues, V.M.; Starling, A.L.P.; Norton, R.C.; Aguiar, M.J.B. Overweight/Obesity in Adolescents with Phenylketonuria: Protective and Predisposing Factors. J. Pediatr. 2022, 98, 104–110. [Google Scholar] [CrossRef] [PubMed]
- Leal-Witt, M.J.; Salazar, M.F.; Peñaloza, F.; Castro, G.; Hamilton, V.; Arias, C.; Peredo, P.; Valiente, A.; De la Parra, A.; Cabello, J.F.; et al. Update on Dietary Compliance, Nutritional Status, and Neuropsychological Functioning in the Chilean Phenylketonuria Cohort. J. Inborn Errors Metab. Screen. 2021, 9, e20210003. [Google Scholar] [CrossRef]
- de Almeida, B.N.F.; Laufer, J.A.; Mezzomo, T.R.; Shimada, N.C.; Furtado, I.H.F.; Dias, M.R.M.G.; Pereira, R.M. Nutritional and Metabolic Parameters of Children and Adolescents with Phenylketonuria. Clin. Nutr. ESPEN 2020, 37, 44–49. [Google Scholar] [CrossRef]
- Sena, B.D.S.; Andrade, M.I.S.; Silva, A.P.F.D.; Dourado, K.F.; Silva, A.L.F. Overweight and Associated Factors in Children and Adolescents with Phenylketonuria: A Systematic Review. Rev. Paul. Pediatr. 2020, 38, e2018201. [Google Scholar] [CrossRef]
- Walkowiak, D.; Kaluzny, L.; Bukowska-Posadzy, A.; Oltarzewski, M.; Staszewski, R.; Moczko, J.A.; Musielak, M.; Walkowiak, J. Overweight in Classical Phenylketonuria Children: A Retrospective Cohort Study. Adv. Med. Sci. 2019, 64, 409–414. [Google Scholar] [CrossRef] [PubMed]



| Variables | PKU Group | Control Group | p-Value |
|---|---|---|---|
| Current age (months) | 29.7 ± 10.2 | 32 ± 7.4 | 0.461 |
| Males n (%) | 9 (50) | 9 (50) | 1 |
| Mother’s education level n (%) | |||
| 9 (50) | ||
| 4 (22) | ||
| 5 (27.8) | ||
| Breastfed n (%) | 15 (83.3) | ||
| Birth weight (grams) | 3184 ± 527 | 3297 ± 381 | 0.327 |
| Birth height (cm) | 49.4 ± 2.1 | 50.6 ± 1.2 | 0.04 |
| Diagnosis type n (%) | |||
| 17 (94.4) | ||
| 1 (5.6) | ||
| Untreated Phe level µmol/L | 1280 (542, 1816) | ||
| PKU type n (%) | |||
| 13 (72.2) | ||
| 1 (5.6) | ||
| 4 (22.2) | ||
| Diet type n (%) | |||
| 14 (77.8) | ||
| 4 (22.2) |
| Age (Months) | Total Protein g/kg/day | Natural Protein g/kg/day | AAF g/kg/day | Dietary Phe Tolerance mg/day | kcal /kg/day | Glucides /kg/day | Lipids /kg/day | P:E Ratio |
|---|---|---|---|---|---|---|---|---|
| 3 | 2.55 ± 0.38 | 1.19 ± 0.49 | 1.51 ± 0.33 | 264 ± 118 | 103 ± 6.8 | 16.6 ± 1.34 | 3.16 ± 0.25 | 2.48 ± 0.37 |
| 6 | 2.02 ± 0.33 | 1.02 ± 0.61 | 1.17 ± 0.35 | 245 ± 43 | 90.8 ± 10.8 | 14.7 ± 2.2 | 2.81 ± 0.41 | 2.30 ± 0.36 |
| 9 | 2.04 ± 0.24 | 0.96 ± 0.61 | 1.21 ± 0.39 | 273 ± 75 | 91 ± 9.9 | 14.7 ± 1.94 | 2.81 ± 0.37 | 2.30 ± 0.36 |
| 12 | 2.23 ± 0.24 | 0.77 ± 0.36 | 1.55 ± 0.33 | 296 ± 90 | 88.8 ± 10.6 | 14.1 ± 2.04 | 2.68 ± 0.38 | 2.58 ± 0.51 |
| 15 | 2.26 ± 0.34 | 0.69 ± 0.35 | 1.65 ± 0.41 | 292 ± 109 | 87.6 ± 9.1 | 13.8 ± 1.78 | 2.64 ± 0.34 | 2.63 ± 0.57 |
| 18 | 2.19 ± 0.34 | 0.77 ± 0.52 | 1.61 ± 0.46 | 301 ± 107 | 82.1 ± 22.8 | 13 ± 4.25 | 2.47 ± 0.81 | 2.66 (2.2, 3) |
| 21 | 2.17 ± 0.46 | 0.63 ± 0.33 | 1.62 ± 0.52 | 274 ± 130 | 87.5 ± 9.69 | 13.9 ± 1.85 | 2.64 ± 0.35 | 2.53 ± 0.65 |
| 24 | 2.22 ± 0.31 | 0.66 ± 0.43 | 1.71 ± 0.39 | 294 ± 123 | 90.4 ± 10.9 | 14.4 ± 2.08 | 2.75 ± 0.39 | 2.41 ± 0.54 |
| 27 | 2.08 ± 0.36 | 0.76 ± 0.52 | 1.66 ± 0.33 | 292 ± 131 | 90.7 ± 10.3 | 14.3 ± 1.92 | 2.72 ± 0.36 | 2.39 ± 0.55 |
| 30 | 2.05 ± 0.32 | 0.66 ± 0.44 | 1.66 ± 0.28 | 307 ± 121 | 89.6 ± 8.9 | 14.4 ± 1.88 | 2.73 ± 0.35 | 2.36 ± 0.53 |
| 33 | 2.07 ± 0.35 | 0.78 ± 0.50 | 1.69 ± 0.32 | 303 ± 130 | 92.8 ± 8.5 | 14.7 ± 1.91 | 2.80 ± 0.36 | 2.33 ± 0.49 |
| 36 | 2.08 ± 0.33 | 0.58 ± 0.42 | 1.77 ± 0.22 | 270 ± 69 | 94.1 ± 11.2 | 15.2 ± 2.21 | 2.88 ± 0.42 | 2.27 ± 0.49 |
| Age | Underweight | Normal Weight | Overweight | Stunted | Normal Height | Tall Stature |
|---|---|---|---|---|---|---|
| 0–12 months | 2 (11.7) | 15 (88.3) | 0 | 2 (11.7) | 12 (70.6) | 3 (17.7) |
| 13–24 months | 1 (6.6) | 14 (93.4) | 0 | 2 (13.3) | 10 (66.7) | 3 (20) |
| 25–36 months | 2 (15) | 9 (70) | 2 (15) | 2 (15.3) | 9 (69.2) | 2 (15.4) |
Disclaimer/Publisher’s Note: The statements, opinions and data contained in all publications are solely those of the individual author(s) and contributor(s) and not of MDPI and/or the editor(s). MDPI and/or the editor(s) disclaim responsibility for any injury to people or property resulting from any ideas, methods, instructions or products referred to in the content. |
© 2024 by the authors. Licensee MDPI, Basel, Switzerland. This article is an open access article distributed under the terms and conditions of the Creative Commons Attribution (CC BY) license (https://creativecommons.org/licenses/by/4.0/).
Share and Cite
Bugi, M.-A.; Jugănaru, I.; Simina, I.-E.; Nicoară, D.-M.; Cristun, L.-I.; Brad, G.-F.; Huțanu, D.; Isac, R.; Kozma, K.; Cîrnatu, D.; et al. Evaluating Therapy and Growth in Children with Phenylketonuria: A Retrospective Longitudinal Study from Two Romanian Centers. Medicina 2024, 60, 1185. https://doi.org/10.3390/medicina60071185
Bugi M-A, Jugănaru I, Simina I-E, Nicoară D-M, Cristun L-I, Brad G-F, Huțanu D, Isac R, Kozma K, Cîrnatu D, et al. Evaluating Therapy and Growth in Children with Phenylketonuria: A Retrospective Longitudinal Study from Two Romanian Centers. Medicina. 2024; 60(7):1185. https://doi.org/10.3390/medicina60071185
Chicago/Turabian StyleBugi, Meda-Ada, Iulius Jugănaru, Iulia-Elena Simina, Delia-Maria Nicoară, Lucian-Ioan Cristun, Giorgiana-Flavia Brad, Delia Huțanu, Raluca Isac, Kinga Kozma, Daniela Cîrnatu, and et al. 2024. "Evaluating Therapy and Growth in Children with Phenylketonuria: A Retrospective Longitudinal Study from Two Romanian Centers" Medicina 60, no. 7: 1185. https://doi.org/10.3390/medicina60071185
APA StyleBugi, M.-A., Jugănaru, I., Simina, I.-E., Nicoară, D.-M., Cristun, L.-I., Brad, G.-F., Huțanu, D., Isac, R., Kozma, K., Cîrnatu, D., & Mărginean, O. (2024). Evaluating Therapy and Growth in Children with Phenylketonuria: A Retrospective Longitudinal Study from Two Romanian Centers. Medicina, 60(7), 1185. https://doi.org/10.3390/medicina60071185

