Abstract
Thraustochytrids are well-known unicellular heterotrophic marine protists because of their promising ability to accumulate docosahexaenoic acid (DHA). However, the implications of their unique genomic and metabolic features on DHA production remain poorly understood. Here, the effects of chemical and physical culture conditions on the cell mass and DHA production were investigated for a unique thraustochytrid strain, PKU#SW8, isolated from the seawater of Pearl River Estuary. All the tested fermentation parameters showed a significant influence on the cell mass and concentration and yield of DHA. The addition of monosaccharides (fructose, mannose, glucose, or galactose) or glycerol to the culture medium yielded much higher cell mass and DHA concentrations than that of disaccharides and starch. Similarly, organic nitrogen sources (peptone, yeast extract, tryptone, and sodium glutamate) proved to be beneficial in achieving a higher cell mass and DHA concentration. PKU#SW8 was found to grow and accumulate a considerable amount of DHA over wide ranges of KH2PO4 (0.125–1.0 g/L), salinity (0–140% seawater), pH (3–9), temperature (16–36 °C), and agitation (140–230 rpm). With the optimal culture conditions (glycerol, 20 g/L; peptone, 2.5 g/L; 80% seawater; pH 4.0; 28 °C; and 200 rpm) determined based on the shake-flask experiments, the cell mass and concentration and yield of DHA were improved up to 7.5 ± 0.05 g/L, 2.14 ± 0.03 g/L, and 282.9 ± 3.0 mg/g, respectively, on a 5-L scale fermentation. This study provides valuable information about the fermentation conditions of the PKU#SW8 strain and its unique physiological features, which could be beneficial for strain development and large-scale DHA production.
1. Introduction
Thraustochytrids are marine unicellular heterotrophic protists that have attracted considerable attention from researchers due to their biotechnological significance in the production of docosahexaenoic acid (DHA, 22:6) and terpenoids [1]. DHA, an omega-3 polyunsaturated fatty acid (PUFA), plays an important role in the brain in terms of visual and neural development and immunity in humans, and therefore has high commercial value [2]. As one of the potential alternative sources of DHA, certain thraustochytrid genera, namely Aurantiochytrium and Schizochytrium, have shown promising DHA production on an industrial scale. Furthermore, the major advantages of the bioprocess for DHA production by thraustochytrids include the utilization of low-cost substrates, sustainability, possibilities of culture optimization, genetic manipulations, and scaling up [3].
Although a large number of thraustochytrids, isolated from a range of marine habitats, have been reported recently [4,5,6,7,8], the culture conditions of only some of these isolates have been optimized so far for their biotechnological potential. Indeed, to improve the cell mass and DHA content, the optimization of culture conditions is imperative. In particular, the chemical (carbon, nitrogen, salts, potassium, and pH) and physical (temperature, agitation, and dissolved oxygen) culture conditions have a strong bearing on DHA biosynthesis in thraustochytrids [9]. Moreover, because genetic manipulation is cumbersome and may pose public health risks [10], efforts towards the optimization of fermentation conditions are desirable.
Furthermore, previous studies have suggested that the responses of thraustochytrid strains/isolates to culture conditions can be inconsistent [11], and every strain has a unique metabolic potential [2]. In our recent study, the thraustochytrid strain PKU#SW8 was found to possess a novel PUFA synthase subunit B (pfaB gene), identified from its genome [12]. The functionality of this subunit was confirmed in a heterologous host and the carbon and nitrogen sources were found to differentially influence the expression of the pfaB gene and DHA production in PKU#SW8 culture. Furthermore, the pathways for fatty acids or polyketides in PKU#SW8 are incompletely known, suggesting the existence of an unknown but novel mechanism for DHA production [13]. Altogether, these results revealed the unique genomic and metabolic characteristics of PKU#SW8, including its adaptability to different environmental conditions, regulation of pfaB, and DHA accumulation. Moreover, with the availability of its high-quality genome map [13], this strain holds the unique advantages of being developed into a model thraustochytrid strain for DHA production.
In this study, we have elucidated the unique characteristics of PKU#SW8 from a biotechnological perspective and determined the effects of various chemical and physical culture conditions on its DHA production. Through a one-factor-at-a-time (OFAT) experimental design, this study demonstrates how culture conditions can influence the cell mass and DHA production of PKU#SW8. In addition, the optimal conditions determined from the flask experiments were further validated on a 5-L scale fermenter. This study aims to provide valuable information about the fermentation conditions of strain PKU#SW8 for the development of optimization strategies towards the improvement of DHA production on a larger scale.
2. Results
2.1. Growth Characteristics and Fatty Acid Composition
The stationary phase of growth was observed after 60 h when the PKU#SW8 strain was grown in M4 medium at 28 °C with an agitation speed of 170 rpm (Figure 1). The culture started to accumulate lipids in the exponential phase and showed the maximum accumulation in the stationary phase. The maximum DHA concentration (0.84 ± 0.05 g/L) and total fatty acids (TFA) concentration (2.10 ± 0.13 g/L) were noted at 108 h of growth. The intracellular fatty acids that constituted ≥1% of the TFA were myristic acid (C14:0), pentadecanoic acid (C15:0), palmitic acid (C16:0), eicosapentaenoic acid (C20:5, n-3), docosapentaenoic acid (C22:5, n-6), and DHA (C22:6, n-3) (Table 1). Among these fatty acids, DHA and palmitic acid constituted 40% and 39.7% of the TFA, respectively.
Figure 1.
Time course of DCW and concentrations of TFA and DHA with basic (M4) medium in flask culture. The data are expressed as mean ± SD of triplicate experiments.
Table 1.
Major intracellular fatty acid composition of strain PKU#SW8 in basic (M4) medium.
2.2. Effects of Carbon Source
The means of dry cell weight (DCW) (g/L, F = 8156, p < 0.001), DHA concentration (g/L, F = 3276.8, p < 0.001), and DHA yield (mg/g, F = 1768.8, p < 0.001) for the nine carbon sources were significantly different. Glycerol and the monosaccharides, namely fructose, mannose, glucose, and galactose, were better carbon sources for achieving a good amount of DCW and DHA compared with the disaccharides (lactose, maltose, and sucrose) and polysaccharides (starch) (Figure 2a–c). Glycerol yielded the maximum DCW (7.40 ± 0.26 g/L), whereas sucrose yielded the lowest DCW (0.30 ± 0.02 g/L) (Figure 2a). The differences in the means of DCW between glucose and mannose, and lactose and maltose were non-significant (p > 0.05, post hoc test).
Figure 2.
Effects of various carbon sources (a–c) and glycerol concentrations (d–f) on DCW and the concentration and yield of DHA in the flask culture. (a–c) The concentration of individual carbon sources was 20 g/L. The data are expressed as mean ± SD of triplicate experiments.
Fructose and mannose yielded the maximum concentration (1.23 ± 0.03 g/L) (Figure 2b) and yield (Y(p/x): 198.6 ± 9.6 mg/g, Y(p/s): 61.6 ± 1.6 mg/g) (Figure 2c) of DHA, respectively. The differences in the means of the DHA concentration between fructose and glycerol, fructose and mannose, galactose and glucose, and mannose and glycerol were non-significant (p > 0.05, post hoc test). Therefore, glycerol was chosen to further study the effect of the carbon source concentration on DHA accumulation. The glycerol concentration showed a significant effect on the DCW (F = 1363.6, p < 0.001), DHA concentration (F = 337.1, p < 0.001), and DHA yield (F = 52.78, p < 0.001). At 20 g/L of glycerol, the DCW (7.4 ± 0.26 g/L) was at the maximum and a further increase in its concentration resulted in a significantly decreased DCW (Figure 2d). The maximum DHA concentration (1.18 ± 0.04 g/L) was obtained at 20–40 g/L of glycerol (Figure 2e), whereas the maximum DHA yield (213.2 ± 20.0 mg/g) was obtained at 80 g/L of glycerol (Figure 2f).
2.3. Effects of Nitrogen Source
The means of the DCW (F = 1976, p < 0.001), DHA concentration (F = 702.8, p < 0.001), and DHA yield (F = 339.2, p < 0.001) for the 11 nitrogen sources were significantly different. The organic nitrogen sources, except urea, yielded much better DCW and DHA concentrations than the inorganic nitrogen sources (Figure 3a–b). Yeast extract yielded the maximum DCW (6.64 ± 0.29 g/L), whereas sodium nitrite yielded the lowest DCW (0.78 ± 0.05 g/L) (Figure 3a). The differences in the means of DCW between tryptone and peptone, yeast extract and peptone, and tryptone and yeast extract were non-significant (p > 0.05, post hoc test). Among the organic nitrogen sources, peptone provided the maximum concentration (1.10 ± 0.08 g/L) (Figure 3b) and yield (174.3 ± 11.2 mg/g) (Figure 3c) of DHA. The differences in the means of the DHA concentration between tryptone and yeast extract were non-significant (p > 0.05, post hoc test). Furthermore, the peptone concentration showed a significant effect on the DCW (F = 31935, p < 0.001), DHA concentration (F = 346.95, p < 0.001), and DHA yield (F = 20.369, p < 0.001). The rise in DCW (R2 = 0.96, p < 0.001) and DHA concentration (R2 = 0.88, p < 0.001) was fairly associated with the increasing concentration of peptone (Figure 3d–e). The best peptone concentration, which provided the maximum DHA yield (128.2 ± 12.1 mg/g), was 2.5 g/L (Figure 3f).
Figure 3.
Effects of various nitrogen sources (a–c) and peptone concentrations (d–f) on DCW and the concentration and yield of DHA in the flask culture. (a–c) The concentration of individual nitrogen sources was 2.5 g/L. The data are expressed as mean ± SD of triplicate experiments.
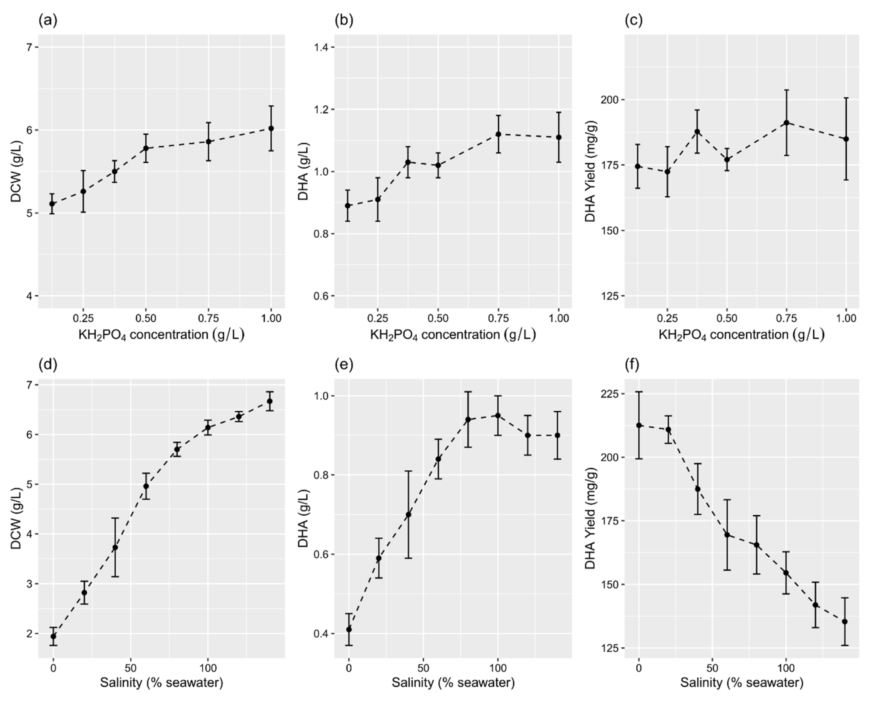
2.4. Effects of KH2PO4 and Salinity
The means of DCW (F = 31.159, p < 0.001) and the concentration (F = 21.393, p < 0.001) and yield (F = 339.2, p < 0.001) of DHA for the various concentrations of KH2PO4 were significantly different. With an increasing concentration of KH2PO4, the DCW was generally found to increase (Figure 4a–b). A similar pattern was also noted for the DHA concentration, but only within 0.125–0.75 g/L of KH2PO4. The maximum yield of DHA (191.1 ± 12.5 mg/g) was achieved at 0.75 g/L of KH2PO4 (Figure 4c).
Figure 4.
Effects of KH2PO4 (a–c) and salinity (d–f) levels on DCW and the concentration and yield of DHA in flask culture. The data are expressed as mean ± SD of triplicate experiments.
The PKU#SW8 strain tolerated a wide range (0–140%) of salinity and accumulated DHA simultaneously. At the same time, the means of DCW (F = 747.66, p < 0.001) and the concentration (F = 86.61, p < 0.001) and yield (F = 71.67, p < 0.001) of DHA for the various levels of salinity were significantly different. Up to 80% seawater, the DCW and DHA concentration increased linearly with the level of salinity (Figure 3d–e). The maximum yield of DHA (212.6 ± 13.2 mg/g) was achieved at 0% seawater (Figure 4f).
2.5. Effects of Environmental Variables
The PKU#SW8 strain showed pH tolerance and accumulated a considerable amount of DHA within pH 3–9 (Figure 5a–b). However, the means of DCW (F = 4803.9, p < 0.001) and the concentration (F = 1287.1, p < 0.001) and yield (F = 461.45, p < 0.001) of DHA for the various pH levels were significantly different. The highest DCW (6.49 ± 0.13 g/L) and DHA concentration (1.0 ± 0.13 g/L) were achieved at pH 4.0 (Figure 5a–b), whereas the maximum yield of DHA (184.2 ± 14.3 mg/g) was attained at pH 6.47 (Figure 5c).
Figure 5.
Effects of environmental variables on DCW and the concentration and yield of DHA in flask culture. (a–c) pH, (d–f) temperature, and (g–i) agitation speed. The data are expressed as mean ± SD of triplicate experiments.
The PKU#SW8 strain was able to grow well between 16 °C and 36 °C and accumulate DHA (Figure 5d–e). Although the change in DHA concentration was not remarkable between 16 °C and 36 °C, the increase in the DCW between 24 °C and 28 °C was significantly greater than that between 16 °C and 24 °C. The maximum DCW (7.33 ± 0.12 g/L), concentration (0.84 ± 0.07 g/L) and yield of DHA (158.4 ± 7.8 mg/g) were attained at 36 °C, 28 °C, and 16 °C, respectively (Figure 5d–f).
The DCW (6.07–6.89 g/L) and DHA concentration (0.83–1.18 g/L) were considerable between the agitation speeds of 140 and 230 rpm (Figure 5g–h). Between the agitation speeds of 110 and 200 rpm, the DHA concentration and yield were generally found to increase linearly (Figure 4a–b). The maximum DCW and concentration and yield of DHA were attained at 200 rpm (Figure 5g–i).
2.6. DHA Production in a 5-L Fermenter
With the optimal fermentation conditions (20 g/L glycerol, 2.5 g/L peptone, 80% ASW, pH 4.0, 28 °C, and 200 rpm) determined from the OFAT experiments, the production of DHA was studied in a 5-L fermenter for 168 h (Figure 6). The peak DCW (7.5 ± 0.05 g/L) and DHA concentration (2.14 ± 0.03 g/L) were achieved at 132 h of fermentation. At the same time point, the yield of DHA (282.9 ± 3.0 mg/g) was also the maximum. The concentration of DHA achieved with the optimal fermentation conditions in the 5-L fermenter was 2.5-fold, which was achieved with the basic (M4) medium in flask culture.
Figure 6.
Time course of DCW and the concentration and yield of DHA during fermentation with optimal conditions in a 5-L fermenter. The data are expressed as mean ± SD of triplicate experiments.
3. Discussion
3.1. Influence of Chemical Culture Conditions
This study provided valuable information for improving the cell mass and DHA accumulation in the PKU#SW8 strain through the evaluation of various culture conditions. The results of testing nine different carbon sources to examine their effects on the cell mass and DHA production revealed that glycerol and monosaccharides such as fructose and mannose are the best substrates for DHA fermentation using PKU#SW8. Previous studies on thraustochytrid isolates have mostly used glucose or glycerol as the preferred carbon sources for DHA production [5,11,14,15,16,17,18,19,20,21]. Our study demonstrated that fructose and mannose are also suitable carbon sources and can yield more than 1 g/L of DHA in PKU#SW8 culture. On the other hand, starch did not prove to be a suitable carbon source for PKU#SW8, which was contrary to a previous report that showed high DCW (14.05 g/L) and a considerable amount of DHA with potato powder [22]. Overall, our study suggests that carbon source utilization patterns can vary markedly among different strains of thraustochytrids, resulting in a wide range of DHA production.
Quantitatively, nitrogen is one of the most important elements contributing to the cell mass of thraustochytrid cells, accounting for up to 2% of cell dry weight [23]. Previous studies have shown that nitrogen sources can significantly affect the DHA accumulation in thraustochytrid strains, such as PKU#SW8 [12], Aurantiochytrium sp. KRS101 [16], and Thraustochytrium sp. KK17-3 [14]. Higher levels of DHA were obtained when beef extract, corn steep solids, malt extract, or peptone was used as the organic nitrogen source for strain KRS101 [16]. Similarly, peptone and tryptone were the best among the tested organic and inorganic nitrogen sources for strains PKU#SW8 and KK17-3, yielding up to 1.1 g/L [12] and 0.23 g/L [14] of DHA, respectively. In the present study, 11 different nitrogen sources, including six inorganic and five organic sources, were evaluated for their suitability to support DHA production in PKU#SW8 culture (Figure 3). The findings of our study suggest that organic nitrogen sources are much better in improving the DHA production in PKU#SW8 compared with inorganic nitrogen sources, and demonstrated that DHA concentration has a linear relationship with the peptone concentration.
Sodium (as seawater) and potassium (in the form of KH2PO4) are important factors affecting the growth and fatty acid composition in thraustochytrids [11,24,25,26,27]. In our recent study, we demonstrated that through a sodium-induced mechanism, thraustochytrids shift their energy metabolism from carbohydrate to lipid oxidation for enhanced ATP production [28]. The enhanced ATP production then provides a strong thermodynamic driving force for efficient terpene biosynthesis. Although most thraustochytrid strains show the ability to tolerate a wide range (0–100% seawater) of salinity, the cell mass and fatty acid content are reported to differ among strains [18,22,24,26,29,30,31]. The present study demonstrated that strain PKU#SW8 can grow and accumulate DHA over wide gradients of KH2PO4 and salinity, between 0.125 and 1.0 g/L and 0 and 140%, respectively. These findings suggest that PKU#SW8 is a potential strain for further investigation towards large-scale DHA production and exploring the role of sodium and potassium in providing a thermodynamic driving force for enhanced DHA biosynthesis.
The pH of the culture medium has profound effects on both the cell growth and fatty acid composition of thraustochytrids [21], perhaps because it is known to affect the absorption of compounds from the culture environment [32]. The experimental results indicated that a pH range of 3–9 is optimal for the growth and DHA production of strain PKU#SW8 (Figure 5a–c). However, although pH between 4.0 and 8.0 has been reported as optimal for the growth of Schizochytrium strains, the maximal DHA content can differ among strains [33,34,35,36]. For PKU#SW8, pH 4.0 and pH 6.47 were the best for achieving the maximal content and yield of DHA, respectively. By testing a wide range of pH values, our study revealed that not only a natural pH but a wide pH range (pH 4–9) is suitable for producing DHA in flask culture of PKU#SW8.
3.2. Influence of Physical Culture Conditions
The temperature of the culture environment is also one of the important physical conditions influencing the growth and lipid accumulation of thraustochytrids [27,32]. Although thraustochytrid strains are reported to grow over a wide range (15 °C–37 °C) of temperatures [15,18,22,37], temperatures between 25 °C and 30 °C are optimal for biomass production, whereas ~15 °C is optimal for DHA production [27]. For strain PKU#SW8, the biomass production was relatively much higher between 28 °C and 36 °C than between 16 °C and 24 °C, which was in agreement with the previous findings [26]. Furthermore, low temperatures are known to promote the syntheses of DHA and other PUFAs to alter cell membrane fluidity, an adaptation to endure low temperatures [27]. Interestingly, the DHA content of strain PKU#SW8 did not change remarkably between 16 °C and 36 °C, suggesting consistent lipid biosynthesis over a wide temperature range. A similar lipid profile was reported previously for another thraustochytrid strain, PKU#Mn16 [26]. Notably, the unique temperature-dependent lipid profile of PKU#SW8 can be useful in circumventing the need for staged temperature control during fermentation, therefore making it a potential strain for large-scale DHA production.
The agitation speed of the culture flask is known to modulate the mass transfer rates of oxygen, thereby influencing the product yield [38]. Especially for thraustochytrids, oxygen is an essential influencing factor for the synthesis of fatty acids because of the involvement of oxygen-dependent respiratory electron transport and enzymes [39]. In the present study, the biomass production of PKU#SW8 was high at higher agitation speeds (140–230 rpm) and the DHA content was at the maximum between 200 and 230 rpm. These results suggest that a high oxygen mass transfer rate is critical for improving the cell mass and DHA content of PKU#SW8.
4. Conclusions
The findings of the present study provide useful information about the chemical and physical culture conditions of strain PKU#SW8 and form the basis for developing strategies towards strain optimization and scaling-up to further improve DHA production. The PKU#SW8 strain, exhibiting typical profiles of salinity, pH, and temperature, seems to be beneficial in large-scale DHA production. Furthermore, PKU#SW8 could serve as a model thraustochytrid strain for investigating the role of various ions (e.g., sodium, potassium, and hydrogen) and temperatures on the bioenergetics of the DHA accumulation process.
5. Materials and Methods
5.1. Strain and Seed Culture
The thraustochytrid strain PKU#SW8 (CGMCC No. 20069) was previously isolated from seawater in the Delta region of Pearl River, China [8]. The 18S rRNA gene sequence (GenBank accession number: JX847378.1) of this isolate showed 98.7% homology with the 18S rRNA gene sequence of the type strain Aurantiochytrium limacinum ATCC MYA-1381. Based on our previous phylogenetic analysis [13] and 18S rRNA full-length sequence identity >97% with Aurantiochytrium limacinum ATCC MYA-1381, the strain PKU#SW8 was named the Aurantiochytrium limacinum strain PKU#SW8. The genome sequencing data for this strain were deposited in NCBI under BioProject PRJNA419716.
The pure strain was maintained on 2% modified Vishniac’s (MV) [40] agar plates prepared with 100% artificial seawater (ASW, 33 g/L sea salt) at 28 °C and was sub-cultured every four weeks. The MV medium constituted glucose (10 g/L), peptone (1.5 g/L), yeast extract (0.1 g/L), ASW (33 g/L), and agar powder (20 g/L). The artificial seawater was procured commercially (Guangzhou Yier Biological Engineering Co., Ltd., Guangdong, China), which contained Na+, Mg2+, Ca2+, K+, Sr2+, Cl−, SO42−, HCO3−, Br−, and other trace minerals such as Cu, Mo, Rb, Be, Co, Ni, I, As, W, Se, Cr, and Mn. The seed culture was prepared by cultivating a single colony from the agar plate in M4 medium (20 g/L glucose, 1.5 g/L peptone, 1.0 g/L yeast extract, 0.25 g/L KH2PO4, 100% ASW, and pH 7.0) [41] at 28 °C on an orbital shaker at 170 rpm for 36 h.
5.2. Batch Experiments
Experiments were performed in shake flasks to evaluate the growth characteristics and DHA accumulation under different culture conditions. The seed culture (5% w/v) was transferred to a 100 mL shake flask containing 50 mL of fresh medium. The effects of nine different carbon sources (glucose, glycerol, fructose, sucrose, mannose, galactose, maltose, lactose, and soluble starch) and 11 different nitrogen sources (tryptone, yeast extract, peptone, sodium glutamate, urea, ammonium sulfate, ammonium nitrate, ammonium oxalate, sodium nitrate, and sodium nitrite), and various levels of KH2PO4 (0.125–1.0 g/L), salinity (0–140%), pH (1–9), temperature (16 °C–32 °C) and agitation speed (110–230 rpm) were investigated. The pH of the culture medium was adjusted to the desired pH with 1 M NaOH or 1 M HCl. In addition, experiments were carried out to study the effects of the various concentrations of the best carbon and nitrogen sources. Except for the variable component, the concentrations of other components of the fermentation medium were the same as that of the M4 medium. All the experiments were performed in triplicate.
With the determined optimal conditions, a batch fermentation was performed in a 5-L fermenter (model: SY-9000-V9, Shanghai Dong Ming Industrial Co. Ltd, Shanghai, China) equipped with DO and pH electrodes, a temperature sensor, impeller, and an air pump. About 300 mL of seed culture, as prepared in Section 5.1, was transferred to the fermentation medium (20 g/L glycerol, 2.5 g/L peptone, 80% ASW, pH 6.5) to bring the final volume to 3 L. The fermentation was carried out at 28 °C with an agitation speed of 200 rpm for 7 days. The dissolved oxygen level was maintained at 30% during fermentation.
5.3. Biochemical Analyses
The DCW and DHA were quantified following the methods described in our previous study [26]. Briefly, the cells were harvested by means of centrifugation (Eppendorf 5180R, Eppendorf AG, Germany) at 4000 rpm (2057 g) for 10 min, washed twice with sterile distilled water, and then lyophilized for 48 h in a freeze dryer (Christ, Gefriertrocknungsanlagen, Osterode am Harz, Germany). The freeze-dried cells were stored at −80 °C until further processing. The DCW was measured using the gravimetric method. The fatty acid methyl esters were prepared using the direct transesterification method [42] and analyzed following the procedures described in our previous study [43]. The DHA yield, denoted as Y(p/x), is the ratio of DHA (g/L) and DCW (g/L), whereas that denoted as Y(p/s) is the ratio of DHA (g/L) and mannose (g/L). Unless otherwise stated, the DHA yield denotes Y(p/x).
5.4. Statistical Analyses
The data are expressed as a mean ± standard deviation (SD). Levene’s test for the homogeneity of variance, the Shapiro–Wilk test of normality, the test of significance (one-way ANOVA), post hoc tests, and regression analysis were performed in R software (version 4.0.0, https://www.r-project.org/). The F statistic is the value obtained from the ANOVA test. The data were plotted using Origin 9.0 software (Origin Lab Corporation, Northampton, MA, USA) and R package ggplot2 (https://ggplot2.tidyverse.org).
Author Contributions
Conceptualization, X.C., B.S. and G.W.; methodology, X.C., B.S. and S.Z.; validation, X.C., S.Z. and B.S.; formal analysis, X.C. and B.S.; investigation, X.C. and S.Z.; resources, Y.H. and M.B.; data curation, B.S. and X.C.; writing—original draft preparation, B.S. and X.C.; writing—review and editing, B.S. and G.W.; visualization, B.S. and X.C.; supervision, G.W.; project administration, Y.H. and M.B.; funding acquisition, G.W. All authors have read and agreed to the published version of the manuscript.
Funding
This research was partially funded by National Natural Science Foundation NSFC (32170063) (GW) and Think Tank United Foundation of Qingdao Marine Engineering and Technology (201707071001) (GW).
Institutional Review Board Statement
Not applicable.
Data Availability Statement
The genome sequencing data for strain PKU#SW8 are available in NCBI BioProject under the PRJNA419716 accession.
Conflicts of Interest
The authors declare no conflict of interest. The funders had no role in the design of the study; in the collection, analyses, or interpretation of data; in the writing of the manuscript, or in the decision to publish the results.
References
- Du, F.; Wang, Y.Z.; Xu, Y.S.; Shi, T.Q.; Liu, W.Z.; Sun, X.M.; Huang, H. Biotechnological production of lipid and terpenoid from thraustochytrids. Biotechnol. Adv. 2021, 48, 107725. [Google Scholar] [CrossRef] [PubMed]
- Patel, A.; Karageorgou, D.; Katapodis, P.; Sharma, A.; Rova, U.; Christakopoulos, P.; Matsakas, L. Bioprospecting of thraustochytrids for omega-3 fatty acids: A sustainable approach to reduce dependency on animal sources. Trends Food Sci. Technol. 2021, 115, 433–444. [Google Scholar] [CrossRef]
- Aasen, I.M.; Ertesvåg, H.; Heggeset, T.M.B.; Liu, B.; Brautaset, T.; Vadstein, O.; Ellingsen, T.E. Thraustochytrids as production organisms for docosahexaenoic acid (DHA), squalene, and carotenoids. Appl. Microbiol. Biotechnol. 2016, 100, 4309–4321. [Google Scholar] [CrossRef] [PubMed]
- Lyu, L.; Wang, Q.; Wang, G. Cultivation and diversity analysis of novel marine thraustochytrids. Mar. Life Sci. Technol. 2020, 3, 263–275. [Google Scholar] [CrossRef]
- Marchan, L.F.; Chang, K.J.L.; Nichols, P.D.; Polglase, J.L.; Mitchell, W.J.; Gutierrez, T. Screening of new British thraustochytrids isolates for docosahexaenoic acid (DHA) production. J. Appl. Phycol. 2017, 29, 2831–2843. [Google Scholar] [CrossRef] [PubMed] [Green Version]
- Lee Chang, K.J.; Paul, H.; Nichols, P.D.; Koutoulis, A.; Blackburn, S.I. Australian thraustochytrids: Potential production of dietary long-chain omega-3 oils using crude glycerol. J. Funct. Foods 2015, 19, 810–820. [Google Scholar] [CrossRef]
- Leyton, A.; Flores, L.; Shene, C.; Chisti, Y.; Larama, G.; Asenjo, J.A.; Armenta, R.E. Antarctic thraustochytrids as sources of carotenoids and high-value fatty acids. Mar. Drugs 2021, 19, 386. [Google Scholar] [CrossRef]
- Liu, Y.; Singh, P.; Sun, Y.; Luan, S.; Wang, G. Culturable diversity and biochemical features of thraustochytrids from coastal waters of southern China. Appl. Microbiol. Biotechnol. 2014, 98, 3241–3255. [Google Scholar] [CrossRef]
- Sohedein, M.N.A.; Wan-Mohtar, W.A.A.Q.I.; Ilham, Z.; Babadi, A.A.; Hui-Yin, Y.; Siew-Moi, P. Vital parameters for biomass, lipid, and carotenoid production of thraustochytrids. J. Appl. Phycol. 2020, 32, 1003–1016. [Google Scholar] [CrossRef]
- Paparini, A.; Romano-Spica, V. Public health issues related with the consumption of food obtained from genetically modified organisms. Biotechnol. Ann. Rev. 2004, 10, 85–122. [Google Scholar]
- Wang, Q.; Ye, H.; Sen, B.; Xie, Y.; He, Y.; Park, S.; Wang, G. Improved production of docosahexaenoic acid in batch fermentation by newly-isolated strains of Schizochytrium sp. and Thraustochytriidae sp. through bioprocess optimization. Synth. Sys. Biotechnol. 2018, 3, 121–129. [Google Scholar] [CrossRef]
- Chen, X.; He, Y.; Ye, H.; Xie, Y.; Sen, B.; Jiao, N.; Wang, G. Different carbon and nitrogen sources regulated docosahexaenoic acid (DHA) production of Thraustochytriidae sp. PKU#SW8 through a fully functional polyunsaturated fatty acid (PUFA) synthase gene (pfaB). Bioresour. Technol. 2020, 318, 124273. [Google Scholar]
- Song, Z.; Stajich, J.E.; Xie, Y.; Liu, X.; He, Y.; Chen, J.; Hicks, G.R.; Wang, G. Comparative analysis reveals unexpected genome features of newly isolated Thraustochytrids strains: On ecological function and PUFAs biosynthesis. BMC Genomics 2018, 19, 541. [Google Scholar] [CrossRef]
- Huang, J.; Aki, T.; Hachida, K.; Yokochi, T.; Kawamoto, S.; Shigeta, S.; Ono, K.; Suzuki, O. Profile of polyunsaturated fatty acids produced by Thraustochytrium sp. KK17-3. J. Am. Oil Chem. Soc. 2001, 78, 605–610. [Google Scholar] [CrossRef]
- Perveen, Z.; Ando, H.; Ueno, A.; Ito, Y.; Yamamoto, Y.; Yamada, Y.; Takagi, T.; Kaneko, T.; Kogame, K.; Okuyama, H. Isolation and characterization of a novel thraustochytrid-like microorganism that efficiently produces docosahexaenoic acid. Biotechnol. Lett. 2006, 28, 197–202. [Google Scholar] [CrossRef] [Green Version]
- Hong, W.K.; Rairakhwada, D.; Seo, P.S.; Park, S.Y.; Hur, B.K.; Kim, C.H.; Seo, J.W. Production of lipids containing high levels of docosahexaenoic acid by a newly isolated microalga, Aurantiochytrium sp. KRS101. Appl. Biochem. Biotechnol. 2011, 164, 1468–1480. [Google Scholar] [CrossRef]
- Gupta, A.; Singh, D.; Barrow, C.J.; Puri, M. Exploring potential use of Australian thraustochytrids for the bioconversion of glycerol to omega-3 and carotenoids production. Biochem. Eng. J. 2013, 78, 11–17. [Google Scholar] [CrossRef]
- Liu, Y.; Tang, J.; Li, J.; Daroch, M.; Cheng, J.J. Efficient production of triacylglycerols rich in docosahexaenoic acid (DHA) by osmo-heterotrophic marine protists. Appl. Microbiol. Biotechnol. 2014, 98, 9643–9652. [Google Scholar] [CrossRef]
- Manikan, V.; Nazir, M.Y.M.; Kalil, M.S.; Isa, M.H.M.; Kader, A.J.A.; Yusoff, W.M.W.; Hamid, A.A. A new strain of docosahexaenoic acid producing microalga from Malaysian coastal waters. Algal Res. 2015, 9, 40–47. [Google Scholar] [CrossRef]
- Quilodran, B.; Cortinez, G.; Bravo, A.; Silva, D. Characterization and comparison of lipid and PUFA production by native thraustochytrid strains using complex carbon sources. Heliyon 2020, 6, e05404. [Google Scholar] [CrossRef]
- Nakahara, T.; Yokochi, T.; Higashihara, T.; Tanaka, S.; Yaguchi, T.; Honda, D. Production of docosahexaenoic and docosapentaenoic acids by Schizochytrium sp. isolated from yap islands. J. Am. Oil Chem. Soc. 1996, 73, 1421–1426. [Google Scholar] [CrossRef]
- Zhu, L.; Zhang, X.; Ren, X.; Zhu, Q. Effects of culture conditions on growth and docosahexaenoic acid production from Schizochytrium limacinum. J. Ocean Univ. China 2008, 7, 83–88. [Google Scholar] [CrossRef]
- Sen, B.; Li, J.; Lu, L.; Bai, M.; He, Y.; Wang, G. Elemental composition and cell mass quantification of cultured thraustochytrids unveil their large contribution to marine carbon pool. Mar. Drugs 2021, 19, 493. [Google Scholar] [CrossRef] [PubMed]
- Chaung, K.C.; Chu, C.Y.; Su, Y.M.; Chen, Y.M. Effect of culture conditions on growth, lipid content, and fatty acid composition of Aurantiochytrium mangrovei strain BL10. AMB Express 2012, 2, 42. [Google Scholar] [CrossRef] [PubMed] [Green Version]
- Taoka, Y.; Nagano, N.; Okita, Y.; Izumida, H.; Sugimoto, S.; Hayashi, M. Effect of addition of Tween 80 and potassium dihydrogenphosphate to basal medium on the isolation of marine eukaryotes, thraustochytrids. J. Biosci. Bioeng. 2008, 105, 562–565. [Google Scholar] [CrossRef] [PubMed]
- Wang, Q.; Sen, B.; Liu, X.; He, Y.; Xie, Y.; Wang, G. Enhanced saturated fatty acids accumulation in cultures of newly-isolated strains of Schizochytrium sp. and Thraustochytriidae sp. for large-scale biodiesel production. Sci. Total Environ. 2018, 631–632, 994–1004. [Google Scholar] [CrossRef] [PubMed]
- Raghukumar, S. Thraustochytrid marine protists: Production of PUFAs and other emerging technologies. Mar. Biotechnol. 2008, 10, 631–640. [Google Scholar] [CrossRef]
- Zhang, A.; Mernitz, K.; Wu, C.; Xiong, W.; He, Y.; Wang, G.; Wang, X. ATP drives efficient terpene biosynthesis in marine thraustochytrids. mBio 2021, 12, e0088121. [Google Scholar] [CrossRef]
- Chatdumrong, W.; Yongmanitchail, W.; Limtong, S.; Worawattanamateekul, W. Optimization of docosahexaenoic acid (DHA) production and improvement of astaxanthin content in a mutant Schizochytrium limacinum isolated from mangrove forest in Thailand. Kasetsart J. 2007, 41, 324–334. [Google Scholar]
- Yokochi, T.; Honda, D.; Higashihara, T.; Nakahara, T. Optimization of docosahexaenoic acid production by Schizochytrium limacinum SR21. Appl. Microbiol. Biotechnol. 1998, 49, 72–76. [Google Scholar] [CrossRef]
- Zhu, L.; Zhang, X.; Ji, L.; Song, X.; Kuang, C. Changes of lipid content and fatty acid composition of Schizochytrium limacinum in response to different temperatures and salinities. Process Biochem. 2007, 42, 210–214. [Google Scholar] [CrossRef]
- Półbrat, T.; Konkol, D.; Korczyński, M. Optimization of docosahexaenoic acid production by Schizochytrium sp.—A review. Biocatal. Agric. Biotechnol. 2021, 35, 102076. [Google Scholar] [CrossRef]
- Fan, K.W.; Vrijmoed, L.L.P.; Jones, E.B.G. Physiological studies of subtropical mangrove thraustochytrids. Bot. Mar. 2002, 45, 50–57. [Google Scholar] [CrossRef]
- Wu, S.-T.; Yu, S.-T.; Lin, L.-P. Effect of culture conditions on docosahexaenoic acid production by Schizochytrium sp. S31. Process Biochem. 2005, 40, 3103–3108. [Google Scholar] [CrossRef]
- Yin, F.W.; Zhang, Y.T.; Jiang, J.Y.; Guo, D.S.; Gao, S.; Gao, Z. Efficient docosahexaenoic acid production by Schizochytrium sp. via a two-phase pH control strategy using ammonia and citric acid as pH regulators. Process Biochem. 2019, 77, 1–7. [Google Scholar] [CrossRef]
- Zhao, B.; Li, Y.; Mbifile, M.D.; Li, C.; Yang, H.; Wang, W. Improvement of docosahexaenoic acid fermentation from Schizochytrium sp. AB-610 by staged pH control based on cell morphological changes. Eng. Life Sci. 2017, 17, 981–988. [Google Scholar] [CrossRef] [Green Version]
- Taoka, Y.; Nagano, N.; Okita, Y.; Izumida, H.; Sugimoto, S.; Hayashi, M. Influences of culture temperature on the growth, lipid content and fatty acid composition of Aurantiochytrium sp. strain mh0186. Mar. Biotechnol. 2009, 11, 368–374. [Google Scholar] [CrossRef]
- Zhou, Y.; Han, L.R.; He, H.W.; Sang, B.; Yu, D.L.; Feng, J.T.; Zhang, X. Effects of agitation, aeration and temperature on production of a novel glycoprotein GP-1 by Streptomyces kanasenisi ZX01 and scale-up based on volumetric oxygen transfer coefficient. Molecules 2018, 23, 125. [Google Scholar] [CrossRef] [Green Version]
- Heggeset, T.M.B.; Ertesvåg, H.; Liu, B.; Ellingsen, T.E.; Vadstein, O.; Aasen, I.M. Lipid and DHA-production in Aurantiochytrium sp.—Responses to nitrogen starvation and oxygen limitation revealed by analyses of production kinetics and global transcriptomes. Sci. Rep. 2019, 9, 19470. [Google Scholar] [CrossRef]
- Damare, V.; Raghukumar, S. Morphology and Physiology of the Marine Straminipilan Fungi, the Aplanochytrids Isolated from the Equatorial Indian Ocean. Indian J. Mar. Sci. 2006, 35, 326–340. [Google Scholar]
- Jain, R.; Raghukumar, S.; Tharanathan, R.; Bhosle, N.B. Extracellular polysaccharide production by thraustochytrid protists. Mar. Biotechnol. 2005, 7, 184–192. [Google Scholar] [CrossRef]
- Lepage, G.; Roy, C.C. Improved recovery of fatty acid through direct transesterification without prior extraction or purification. J. Lipid Res. 1984, 25, 1391–1396. [Google Scholar] [CrossRef]
- Zhang, S.; He, Y.; Sen, B.; Chen, X.; Xie, Y.; Keasling, J.D.; Wang, G. Alleviation of reactive oxygen species enhances PUFA accumulation in Schizochytrium sp. through regulating genes involved in lipid metabolism. Metab. Eng. Commun. 2018, 6, 39–48. [Google Scholar] [CrossRef]
Publisher’s Note: MDPI stays neutral with regard to jurisdictional claims in published maps and institutional affiliations. |
© 2021 by the authors. Licensee MDPI, Basel, Switzerland. This article is an open access article distributed under the terms and conditions of the Creative Commons Attribution (CC BY) license (https://creativecommons.org/licenses/by/4.0/).





