Abstract
Four actinomycete strains isolated from the coral Acropora austera and coral sand samples from the South China Sea, were found to produce a series of halogenated compounds baring similar ultraviolet absorption based on the analysis of HPLC and LC-MS. The production titers of halogenated compounds from Streptomyces diacarni SCSIO 64983 exceeded those of other similar strains leading us to focus on SCSIO 64983. Four new thiocarbazomycins A–B (1–2), chlocarbazomycin E (3), and brocarbazomycin A (4), together with three known chlocarbazomycins A–C (5–7) containing a carbazole core were identified, and their structures were determined using a combination of spectroscopic analysis including HRESIMS, 1D and 2D NMR. Structurally speaking, compounds 1 and 2 have the rare sulfur-containing carbazole nuclei, and 3 and 4 contain Cl and Br atoms, respectively. Although these compounds have not yet been found to have obvious biological activity, their discovery highlights the role of molecular libraries in subsequent drug discovery campaigns.
1. Introduction
In marine environments symbiotic relationships between corals and coral-associated bacteria (CAB) are essential for host organism homeostasis. Many CABs can prevent coral diseases and protect corals from pathogens by producing defensive agents with antiviral, anti-bacterial, anti-fouling, and anti-parasitic activities [1,2,3]. Coral-derived actinomycetes have the potential to produce polyketides [4,5,6,7,8], alkaloids [9], and terpenes [10], etc.; all are important sources for drug discovery and development [11]. In particular, carbazole compounds have a wide range of biological activities, including but not limited to antibacterial, anti-platelet aggregation, anti-inflammatory, anti-tumor, and neuroprotective activities [12,13]. Graebe and Glaser first discovered compounds possessing a carbazole nucleus from coal tar in 1872; subsequent efforts found that some carbazole-derived compounds could be isolated from roots, root barks, cow urine, and cyanobacteria of higher plants [12,13]. There are, however, very few reports of carbazole compounds being produced by marine microorganisms.
Four strains—SCSIO 64983, SCSIO 68034, SCSIO 68036, and SCSIO 68060—were identified as Streptomyces diacarni by 16S rRNA sequence analyses following their isolation from Acropora austera and coral reef sand samples. Strain fermentation/growth conditions were optimized using a variety of media, their fermentation products were analyzed by HPLC and LC-MS, and a class of small molecules with similar ultraviolet absorption was discovered. In light of these early findings, we chose to focus on S. diacarni SCSIO 64983. This strain demonstrated optimum titers of seven compounds with sulfur or halogen substitutions including chlocarbazomycins A–C (5–7) [13]; four of the seven SCSIO 64983 products were new compounds: the thiocarbazomycins A–B (1–2), chlocarbazomycin E (3), and brocarbazomycin A (4). Moreover, once in hand, we evaluated the antibacterial activities of the SCSIO 64983-derived agents against 14 different pathogenic bacteria using a disk diffusion method.
2. Results
2.1. Strain Isolation and Identification
The coral Acropora austera and coral reef sand samples were collected at a water depth of 20 meters in the Zhongsha Islands, South China Sea. The collected samples were surface-disinfected, and then aseptically ground to obtain the original solution, which was diluted 100 times and spread onto ISP2 and 2216E media, respectively. Following incubation at 28 °C for one week, the colonies were picked and purified continuously. The obtained strains were fermented to eliminate duplication, and the metabolite analyses of N4 medium revealed that strains SCSIO 64983, SCSIO 68034, SCSIO 68036, and SCSIO 68060 produced a class of compounds with the same UV absorption at 254 nm (Figure 1). These strains were all identified as Streptomyces diacarni on the basis of 16S rRNA sequencing and morphological analysis [14]. We then employed the neighbor-joining method to construct a phylogenetic tree using MEGA7.0.14 software (Figure 2). S. diacarni SCSIO 64983, because of its relatively high yields and rich varieties of compounds, was selected as the primary focus of the current study.
Figure 1.
Metabolite analyses of the N4 medium fermentation products of four coral-related Actinomycetes (the ratio of the peak area of compound 5 in the above four strains is about 1:44%:11%:9%).
Figure 2.
The phylogenetic tree of the four coral- and coral reef sand-derived Actinomycetes.
2.2. Structure Elucidation
Comparisons of the NMR and HRESIMS data sets reported in the literature [13] to the data generated herein revealed that compounds 5, 6, and 7 are the previously known compounds chlocarbazomycin A, chlocarbazomycin B, and chlocarbazomycin C, respectively.
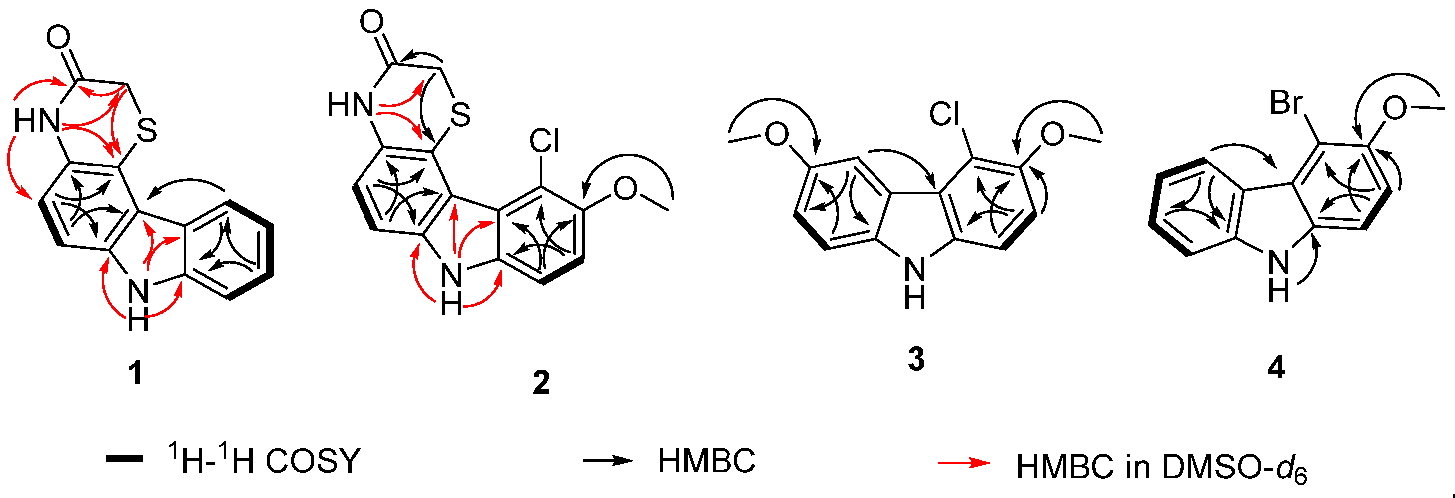
With respect to SCSIO 64983-derived compounds not clearly assignable as established agents, thiocarbazomycin A (1) was identified as a light brown powder with molecular formula C14H10N2OS and 11 degrees of unsaturation as deduced from HRESIMS data (Figure S11). The 13C NMR and DEPT135 spectra of 1 revealed 14 carbon signals which were assigned to seven quaternary carbons (δC 130.6, 115.2, 120.9, 123.8, 142.1, 138.2, and 167.1), six methine carbons (δC 110.1, 117.0, 123.6, 119.7, 126.8, and 111.8), and one methylene group (δC 30.6) (Table 1 and Table S1). The 1H NMR spectrum indicated the presence of six aromatic protons, and 1H-1H COSY spectrum of 1 revealed the presence of two spin systems: H-7 (δH 7.07)/ H-8 (δH 7.30) and H-1 (δH 7.45)/ H-2 (δH 7. 39) / H-3 (δH 7.17) / H-4 (δH 8.36), indicating that 1 contained at least two benzene rings. The HMBC correlations of H-8 (δH 7.30)/C-6 (δC 130.6, C), C-4b (δC 120.9, C) and H-7 (δH 7. 07)/C-5 (δC 115.2, C), C-8a (δC 138.2, C) suggested the presence of a 1,2,3,4-tetrasubstituted benzene ring (C ring). In addition, HMBC correlations of H-4 (δH 8.36) /C-9a (δC 142.1, C), and H-1 (δH 7.45) /C-3 (δC 119.7, CH), C-4a (δC 123.8, C) indicated the existence of a 1,2-disubstituted benzene ring (A ring). Two parts (A and C rings) appeared to be connected via C4a-C4b and C8a-NH-C9a, as suggested by HMBC correlations of H-4 (δH 8.36) /C-4b (δC 120.9, C), and 9-NH (δH 11.37) /C-4b (δC 118.8, C), C-4a (δC 121.9, C), C-9a (δC 140.2, C) and C-8a (δC 135.9, C); these findings were consistent with the presence of a pyrrole ring (B ring). HMBC correlations of 10-NH (δH 10.52)/ C-1” (δC 164.3, C) and C-2” (δC 29.0, CH) and the chemical shift of C-1” indicated the existence of a -CH2-CO-NH- linkage as well. HMBC correlations of H-2” (δH 3.59) to C-5 (δC 112.6, C), and 10-NH (δH 10.52)/ C-7 (δC 115.9, CH) and C-5 (δC 112.6, C), in conjunction with the remaining point of unsaturation and S atom indicated identity of the D ring. Therefore, the structure of compound 1, hitherto named thiocarbazomycin A (1), was established (Figure 3 and Figure 4).
Table 1.
1H NMR (700 MHz) and 13C NMR (175 MHz) data of 1–4.
Figure 3.
Structures of compounds 1–7 isolated from S. diacarni SCSIO 64983.
Figure 4.
1H-1H COSY and key HMBC correlations for compounds 1–4.
Thiocarbazomycin B (2), presented as a light brown solid with a molecular formula of C15H11ClN2O2S based on its 13C NMR and HRESIMS data (Figure S23). The NMR data for 2 are shown in Table 1. The combined HRESIMS and NMR data set suggested that 2 contained one methoxy group, one chlorine atom, one sulfur atom, one carbon-based group, two N-containing active hydrogens, 9 quaternary carbons, 4 methine units, and 1 methylene group. The existence of one chlorine atom in compound 2 could be deduced from its HRESIMS data corresponding to the pseudo-molecular peaks for [M + H]+ at 319.0303 and 321.0275 with a ratio of 3:1 as shown in Figure S23. The signals representing the two N-containing active hydrogens were shown in Table S1. The subunits indicated by 1D and 2D NMR data as shown in Figure 3 revealed that this compound is very similar to compound 1, in that both are carbazole compounds. Compound 2 was found to have one more chlorine atom and one more methoxy group (δH 3.90, s) than compound 1, and HMBC correlations of H-2/C-4 (δC 116.7) and 3-OCH3 /C-3 (δC 150.8) indicated that the chlorine atom and -OCH3 are attached to the C-4 and C-3 positions, respectively. Therefore, the structure of compound 2 was elucidated as thiocarbazomycin B (2).
Chlocarbazomycin E (3), also was found to be a light brown amorphous powder, and was found to have a molecular formula of C14H12ClNO2 by analysis of its HRESIMS data (Figure S31) and 13C NMR data. It was determined that 3 possesses nine degrees of unsaturation. 1H NMR showed that there are five hydrogens in the aromatic region, and detailed interpretation of its 1D NMR data (Table 1) suggested a high degree of structural similarity to chlocarbazomycin C (7) [13]. It was noted that spectroscopy of compound 3 displayed an additional signal of a methoxyl group which is absent in 7. Indeed, the HMBC correlation of 6-OCH3 (δH 3.89, s)/C-6 (δC 153.0) indicated the regiochemistry of the additional methyl group as shown in Figure 3. Thus, the structure of 3 was determined, and named chlocarbazomycin E.
Brocarbazomycin A (4) was isolated as a light brown solid and combined HRESIMS data (Figure S39) and NMR data revealed its molecular formula to be C13H10BrNO. The 1H and 13C NMR spectroscopic data of compound 4 were very similar to those of chlocarbazomycin A (5) [13], but the chemical shift for C-4 (δC 106.3) was found to be significantly up-field shifted in 4 (δC 117.1 in 5). Combined with our knowledge of its molecular composition and origins, we proposed that a Cl-atom in 5 may simply, in 4, be replaced by a Br-atom. This speculation was secured by the HMBC correlation of H-2/C-4 and HRESIMS profiling with a ratio of 1:1 between 79Br:81Br. Thus, the structure of 4 was readily determined, and named brocarbazomycin A.
2.3. Antibacterial Activity
Compounds 1–7 were evaluated for antibacterial activity using a disk diffusion method. The test pathogens used in this experiment were: 7 Gram-positive pathogens including Staphylococcus aureus ATCC 29213, Staphylococcus aureus Sau 1862, Bacillus thuringiensis, Enterococcus faecalis ATCC 29212, MRSA/methicillin-resistant Staphylococcus aureus, Micrococcus luteus, and Bacillus subtilis; and 7 Gram-negative bacteria including Escherichia coli, Escherichia coli ATCC 25922, Klebsiella pneumoniae ATCC 13883, MRPA/Pseudomonas aeruginosa pae 1873, Vibrio alginolyticus XSBZ14, Acinetobacter baumannii ADR-2, and Acinetobacter baumannii ATCC 19606. Unfortunately, we found that these compounds have no obvious inhibitory activity against the above pathogens. The diameter of their inhibition zone is about 7 mm, but the diameter of the filter paper is 6.5 mm. Therefore, we did not carry out the MIC (minimum inhibitory concentration) experiment.
3. Discussion
In this study, we demonstrated that a variety of coral-associated actinomycetes have ability to produce halocarbazomycins which may act as regulatory or other active molecules for these microorganisms or corals. Finally, seven halo- and thiocarbazomycins were isolated from S. diacarni SCSIO 64983, among which thiocarbazomycins A–B (1–2), chlocarbazomycins E (3), and brocarbazomycin A (4) were novel compounds. Comparisons with chlocarbazomycins A–D first reported by Lin [13], reveal that compounds 5–7 have the same structure as chlocarbazomycins A–C, respectively. Particularly noteworthy is that compounds 1 and 2 are S-substituted nitrogen heterocycles, the first of their kind to our knowledge. In addition, 4 has a bromide substitution; thus, 1, 2, and 4 are substantively different from previously reported tricyclic carbazoles [13]. In addition, we have to point out that, thus far, we have been unable to establish what kind of biological activities these agents may express. We have found however, that these compounds do not appear to express any significant antibacterial activities against the organisms employed herein. The chemical structures of halo- and thiocarbazomycins from S. diacarni SCSIO 64983 are unusual and may express interesting biological activities, though we have not yet identified them.
4. Materials and Methods
4.1. General Eexperimental Procedures
Using bacteriological peptone, technical agar powder, malt extract powder (Guangdong Huankai Microbial Technology Co., Ltd., Guangzhou, China), and conventional materials such as glucose, sodium chloride, and magnesium sulfate (Guangzhou Chemical Reagent Factory, Guangzhou, China), sea salt (Guangdong Salt Industry Group Co., Ltd., Guangzhou, China), and other ingredients, strains were fermented and cultivated using an MQD-B1NR Minquan shaking incubator (Guangzhou Hezhong Biotechnology Co., Ltd., Guangzhou, China). Extracts were concentrated with a Laborota 4000 efficient rotary evaporator (Heidolph). Methanol, ethyl acetate, petroleum ether, and other analytically pure conventional chemical reagents (Guangzhou Chemical Reagent Factory, Guangzhou, China) were used for normal phase silica gel column chromatography (CC) with a size of 100–200 mesh silica (Jiangpeng Silica gel development, Inc., Shandong, China). Preparative chromatography grade acetonitrile (Beijing Bailingwei Technology Co., Ltd., Beijing, China ) was used to analyze samples with a high-pressure liquid chromatograph Infinity 1260 (Agilent Company, Palo Alto, CA, USA) on Phenomenex C18 column (150 mm × 4.6 mm), as well as for separation and purification on a Basic C18 semi-preparative column (10 mm × 250 mm, 5 μm) (Beijing Sepreis Technology) Co., Ltd., Beijing, China). A Bruker AVANCE 700/175 superconducting nuclear magnetic resonance spectrometer (Bruker, Bayern, Germany) was used to obtain NMR data. A Bruker maXis high resolution time-of-flight mass spectrometer (Bruker, Bayern, Germany) was used to obtain the HR ESIMS data. The crystal structure of compound 5 was analyzed using an XtaLABPro X-Ray single crystal diffractometer (Rigaku, Tokyo, Japan). UV spectra were obtained in MeOH with a UV-2600 spectrometer (Shimadzu, Shanghai, China).
4.2. Optimization of Fermentation Medium for S. diacarni SCSIO 64983
In this experiment, 14 kinds of culture media were used for fermentation optimization. Spores were inoculated into a 250 mL Erlenmeyer flask containing 50 mL liquid culture medium and cultured in a shaker at 28 °C and 200 rpm. After 7 days, butanone was added for extraction, the crude extract was dissolved in methanol, the volume was adjusted to 500 μL, and samples were then analyzed by HPLC. The resulting data showed that N4 medium, out of all 14 possibilities, was optimal for S. diacarni SCSIO 64983. (The formulas of the 14 media used in this experiment and the HPLC analysis results for fermentation optimization are detailed in Supporting Information)
4.3. Scale-up Fermentation of S. diacarni SCSIO 64983
Strain SCSIO 64983 was activated on an ISP2 plate (yeast extract 4 g/L, glucose 4 g/L, Malt extract 10 g/L, sea salt 30 g/L, agar 20 g/L in purified water, pH 7.2–7.4) at 28 °C for 6 d. About 1 cm2 of spores and mycelium were scraped with bamboo sticks and inoculated into a 250 mL conical flask containing 50 mL N4 medium (pH: 7.2–7.4; starch 15 g/L, fish peptone 8 g/L, bacteriological peptone 5 g/L, glycerol 8 g/L, KBr 0.2 g/L, sea salt 30 g/L, and calcium carbonate 2 g/L), and were cultivated in a shaker at 28 °C 200 rpm for 2 days as seed solution. Subsequently, the seed solution was inoculated into a 1 L conical flask containing 200 mL of N4 medium, and was cultured in a shaker at 28 °C and 200 rpm for 7 days.
4.4. Extraction and Isolation of Compound 1–7
S. diacarni SCSIO 64983 was fermented in N4 medium at 28 ℃, 200 rpm for 7 days. The fermentation broth (28 L) was centrifuged at a speed of 3900 rpm to separate the supernatant and mycelium; the mycelium was extracted with acetone, the supernatant was extracted with butanone, and the two extracts were then analyzed by HPLC. The two extracts were found to be similar and were accordingly combined. The combined extract was chromatographed on silica gel column with chloroform-methanol solvent (100:0, 98:2, 96:4, 94:6, 92:8, 9:1, 8:2, 7:3, 6: 4, 5:5, 0:100, v/v) gradient elution to afford fractions A1~A11 (Fr. A1~Fr. A11). Subsequent HPLC analysis of each fraction revealed that target compounds were concentrated in Fr. A1~Fr. A2. Accordingly, Fr. A1~Fr. A2 were combined and subjected to silica gel column chromatography using gradient elution with petroleum ether-ethyl acetate (95:5, 9:1, 8:2, 7:3, 6:4), 5:5, 3:7, 1:9, v/v); the resulting fractions were divided into Fr. B1~Fr. B10. Fr. B2 was eluted by HPLC semi-preparative column chromatography with MeCN-H2O (60:40) isocratic elution at a flow rate of 2.0 mL/min to afford compound 5 (tR = 16.3 min, 72.0 mg). Fr. B1 was chromatographed on a semi-preparative HPLC column and eluted with MeCN-H2O (60:40) at a flow rate of 2.0 mL/min to render compound 4 (tR = 20.3 min, 2.8 mg). Combined Fr. B5~Fr. B10, was then subjected to column chromatography, eluting with chloroform–methanol (50:50), to afford fractions Fr. C1~Fr. C15. TLC and HPLC analyses revealed that remaining target compounds were concentrated in fractions Fr. C4 and Fr. C12. Accordingly, Fr. C4 was subjected to semi-preparative HPLC purification using MeCN-H2O (55:45) as eluent to yield compound 3 (tR = 22.0 min, 0.8 mg). Similarly, Fr. C12 was purified by semi-preparive HPLC [eluted with MeCN-H2O (40:60) at a flow rate of 2.0 mL/min] to render 2 (tR = 20.0 min, 1 mg) and compound 1 (tR = 23.6 min, 0.8 mg). Fr. A8 was eluted with a chloroform–methanol solvent gradient (100:0, 98:2, 96:4, 94:6, 92:8, 9:1, 8:2, 7:3, 6:4, 5: 5, 0:100, v/v) and fractions Fr. D1~Fr. D10 were obtained. HPLC analyses revealed that the remaining target compounds were concentrated in Fr. D2. Consequently, Fr. D2 was chromatographed using a semi-preparative HPLC column and elution with MeCN-H2O (60:40) at a flow rate of 2.0 mL/min to generate compound 7 (tR = 11.0 min, 1.8 mg) and compound 6 (tR = 9.0 min, 1.1 mg).
Thiocarbazomycin A (1), light brown powder; UV (MeOH) λmax (log ε) 219 (4.46), 246 (4.32), 270 (4.33), and 291 (4.32) nm; HRESIMS date, see Figure S11. 1H and 13C NMR data, see Table 1 and Table S1.
Thiocarbazomycin B (2) was also isolated as a light brown solid; UV (MeOH) λmax (log ε) 222 (4.03), 282 (3.83), 370 (3.08) nm; HRESIMS date, see Figure S23. 1H and 13C NMR data, see Table 1 and Table S1.
Chlocarbazomycin E (3), isolated as light brown amorphous powder; UV (MeOH) λmax (log ε) 223 (3.86), 305 (3.54), 356 (2.85) nm; HRESIMS date, see Figure S31. 1H and 13C NMR data, see Table 1.
Brocarbazomycin A (4), was also isolated as a light brown solid. UV (MeOH) λmax (log ε) 219 (3.85), 297 (3.33), and 344 (2.84) nm. HRESIMS date, see Figure S39. 1H and 13C NMR data, see Table 1.
4.5. Activity Test Method
The antibacterial activities of all compounds were assayed using the filter paper method: frozen glycerol stocks (−80 °C) of pathogenic bacteria were activated and transferred with LB liquid medium and then cultured at 37 °C, 200 rpm for 8–12 h; 100 μL of pathogenic bacteria liquid was spread with a sterile spreading rod and a sterile filter paper was placed in the center of each small square, respectively. At the center of each filter paper was placed 5 μL (10 μg) of test compound dissolved in DMSO, and then each plate was placed upside down in a 37 °C incubator for 16 h. Afterwards, zones of inhibited bacterial growth were observed and, if possible, measured.
5. Conclusions
In conclusion, we identified four microbial strains from coral Acropora austera and coral reef sand samples that can produce halocarbazomycins. Of the strains found, the most productive, S. diacarni SCSIO 64983, was fermented and found to generate seven halo- and thiocarbazomycins including chlocarbazomycins A–C (5–7) [13], thiocarbazomycins A–B (1–2), chlocarbazomycins E (3), and brocarbazomycin A (4). Isolation and characterization of the halo- and thiocarbazomycins revealed that compounds 1 and 2 share a 6/5/6/6 tetracyclic skeleton containing an S atom, whereas compound 4 has a rare aryl bromide group. The biological activities displayed by these compounds and their biosynthetic origins have not yet to be extensively explored but clearly warrant future efforts.
Supplementary Materials
The following are available online at https://www.mdpi.com/article/10.3390/md20080537/s1, Figure S1–S61, Table S1: HRESIMS spectra, 1H (700 MHz) and 13C (175 MHz) NMR data for compound 1–7. Figure S62: the HPLC analysis results for fermentation optimization of S. diacarni SCSIO 64983.
Author Contributions
Q.W. performed the experiments and wrote the manuscript. H.Z. elucidated compounds 1–7. C.S. helped to perform the X-ray crystallographic analyses of compound 5. L.Z. and H.W. assisted with fermentation efforts. S.S. aided in the construction of the phylogenetic tree of strains. X.T. contributed to the collection of samples and isolation of strains. J.J. oversaw and supervised the full project and coordinated all efforts needed to complete the story; in addition, he edited initial manuscript drafts. All authors have read and agreed to the published version of the manuscript.
Funding
This research was funded by Southern Marine Science and Engineering Guangdong Laboratory (Guangzhou) (GML2019ZD0406), Key-Area Research and Development Program of Guangdong Province (2020B1111030005), Fundamental Research and Applied Fundamental Research Major Project of Guangdong Province (2019B030302004), the National Natural Science Foundation of China (22037006, U2106207, 82022067, 22177117), Local Innovative and Research Teams Project of Guangdong Pearl River Talents Program (2019BT02Y262), Key Science and Technology project of Hainan Province (ZDKJ202018), Open program of Shenzhen Bay Laboratory (SZBL2021080601006), and the Rising Star Foundation of the South China Sea Institute of Oceanology (NHXX2019SW0101).
Institutional Review Board Statement
Not applicable.
Informed Consent Statement
Not applicable.
Data Availability Statement
The authors declare that all relevant data supporting the findings of this research can be found in the article and its supplementary materials or be obtained from the corresponding author upon request.
Acknowledgments
We thank the analytical facility center (Sun, Zhang, Ma) of SCSIO for helping with the recording of HRESIMS and X-ray data and the analytical facility center (Xiao, Zheng) of SCSIO for helping with the recording NMR data.
Conflicts of Interest
The authors declare no conflict of interest.
References
- Krediet, C.J.; Ritchie, K.B.; Paul, V.J.; Teplitski, M. Coral-associated microorganisms and their roles in promoting coral health and thwarting diseases. Proc. Biol. Sci. 2013, 280, 20122328. [Google Scholar] [PubMed] [Green Version]
- Shnit-Orland, M.; Kushmaro, A. Coral mucus-associated bacteria: A possible first line of defense. FEMS. Microbiol. Ecol. 2009, 67, 371–380. [Google Scholar] [CrossRef] [PubMed]
- Rypien, K.L.; Ward, J.R.; Azam, F. Antagonistic interactions among coral-associate bacteria. Environ. Microbiol. 2010, 12, 28–39. [Google Scholar] [CrossRef] [PubMed]
- Zhang, Z.; Zhou, T.; Harunari, E.; Oku, N.; Igarashi, Y. Iseolides A–C, antifungal macrolides from a coral-derived Actinomycete of the genus Streptomyces. J. Antibiot. 2020, 73, 534–541. [Google Scholar] [CrossRef] [PubMed]
- Sang, V.T.; Dat, T.T.H.; Vinh, L.B.; Cuong, L.C.V.; Oanh, P.T.T.; Ha, H.; Kim, Y.H.; Anh, H.L.T.; Yang, S.Y. Coral and Coral-Associated Microorganisms: A Prolific Source of Potential Bioactive Natural Products. Mar. Drugs 2019, 17, 468. [Google Scholar] [CrossRef] [PubMed] [Green Version]
- Zheng, C.J.; Shao, C.L.; Guo, Z.Y.; Chen, J.F.; Deng, D.S.; Yang, K.L.; Chen, Y.Y.; Fu, X.M.; She, Z.G.; Lin, Y.C.; et al. Bioactive hydroanthraquinones and anthraquinone dimers from a soft coral-derived Alternaria sp.fungus. J. Nat. Prod. 2012, 75, 189–197. [Google Scholar] [CrossRef] [PubMed]
- Sun, W.; Peng, C.; Zhao, Y.; Li, Z. Functional Gene-Guided Discovery of Type II Polyketides from Culturable Actinomycetes Associated with Soft Coral Scleronephthya sp. PLoS ONE 2012, 7, e42847. [Google Scholar] [CrossRef] [PubMed] [Green Version]
- Modolon, F.; Barno, A.R.; Villela, H.D.M.; Peixoto, R.S. Ecological and biotechnological importance of secondary metabolites produced by coral-associated bacteria. J. Appl. Microbiol. 2020, 129, 1441–1457. [Google Scholar] [CrossRef] [PubMed]
- Karim, M.R.U.; Harunari, E.; Sharma, A.R.; Oku, N.; Akasaka, K.; Urabe, D.; Sibero, M.T.; Igarashi, Y. Nocarimidazoles C and D, antimicrobial alkanoylimidazoles from a coral-derived actinomycete Kocuria sp.: Application of 1JC,H coupling constants for the unequivocal determination of substituted imidazoles and stereochemical diversity of anteisoalkyl chains in microbial metabolites. Beilstein J. Org. Chem. 2020, 16, 2719–2727. [Google Scholar] [PubMed]
- Marchbank, D.H.; Ptycia-Lamky, V.C.; Decken, A.; Haltli, B.A.; Kerr, R.G. Guanahanolide A, a Meroterpenoid with a Sesterterpene Skeleton from Coral-Derived Streptomyces sp. Org. Lett. 2020, 22, 6399–6403. [Google Scholar] [CrossRef] [PubMed]
- Hou, X.; Hai, Y.; Gu, Y.; Wang, C.; Shao, C. Chemical and Bioactive Marine Natural Products of Coral-Derived Microorganisms (2015–2017). Curr. Med. Chem. 2019, 26, 6930–6941. [Google Scholar] [CrossRef] [PubMed]
- Schmidt, A.W.; Reddy, K.R.; Knölker, H.J. Occurrence, Biogenesis, and Synthesis of Biologically Active Carbazole Alkaloids. Chem. Rev. 2012, 112, 3193–3328. [Google Scholar] [CrossRef] [PubMed]
- Cheng, Y.J.; Chen, N.N.; Li, J.; Su, J.C.; Yang, J.Y.; Zhang, C.X.; Lin, H.W.; Zhou, Y.J. Antimicrobial Chlorinated Carbazole Alkaloids from the Sponge-Associated Actinomycete Streptomyces diacarni LHW51701. Chin. J. Chem. 2021, 39, 1188–1192. [Google Scholar] [CrossRef]
- Whitman, W.B.; Goodfellow, M.; Kämpfer, P.; Busse, H.J.; Trujillo, M.E.; Ludwig, W.; Suzuki, K.I. Bergey’s Manual of Systematic Bacteriology, 2nd ed.; Springer: New York, NY, USA, 2012; Volume 5, parts A and B; p. 1750. [Google Scholar]
Publisher’s Note: MDPI stays neutral with regard to jurisdictional claims in published maps and institutional affiliations. |
© 2022 by the authors. Licensee MDPI, Basel, Switzerland. This article is an open access article distributed under the terms and conditions of the Creative Commons Attribution (CC BY) license (https://creativecommons.org/licenses/by/4.0/).



