Cellulamides: A New Family of Marine-Sourced Linear Peptides from the Underexplored Cellulosimicrobium Genus
Abstract
1. Introduction
2. Results and Discussion
2.1. Isolation and Taxonomy of Strain CT-R177
2.2. Bioactivity Screening and Dereplication of C. funkei CT-R177 Crude Extract
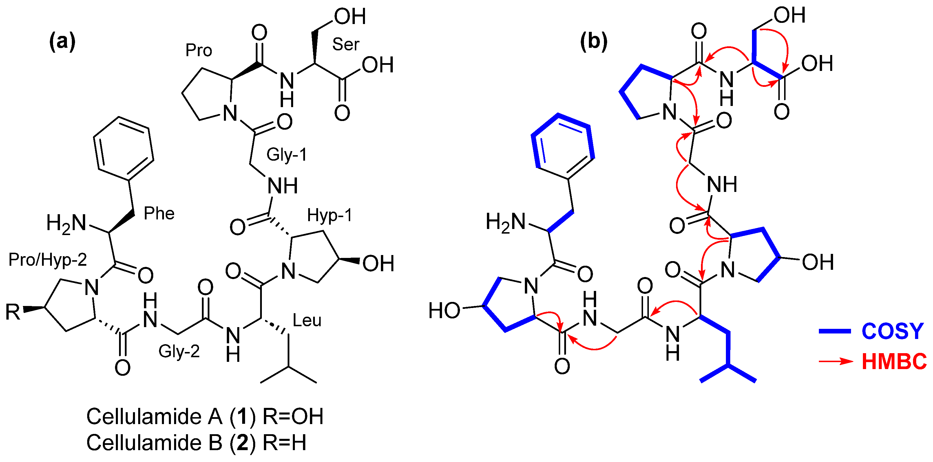
2.3. Mass Spectrometry-Guided Isolation and Structural Elucidation of Cellulamides
2.4. Genomic Analysis
2.5. Bioactivity Screening of Cellulamide A
3. Materials and Methods
3.1. Isolation of Strain CT-R177
3.2. Taxonomic and Phylogenetic Analysis of CT-R177
3.3. Fermentation and Organic Extraction of CT-R177 Culture
3.4. Initial Bioactivity Screening and Dereplication of CT-R177 Crude Extract
3.5. Mass Spectrometry-Guided Isolation and Structure Elucidation of Cellulamides
3.6. Marfey’s Analysis of Cellulamide A
3.7. General Experimental Procedures
3.8. Genome Sequencing and Analysis
3.9. Biological Activity
4. Conclusions
Supplementary Materials
Author Contributions
Funding
Institutional Review Board Statement
Data Availability Statement
Acknowledgments
Conflicts of Interest
References
- Oren, A.; Garrity, G.M. Valid publication of the names of forty-two phyla of prokaryotes. Int. J. Syst. Evol. Microbiol. 2021, 71, 005056. [Google Scholar] [CrossRef] [PubMed]
- Hutchings, M.I.; Truman, A.W.; Wilkinson, B. Antibiotics: Past, present and future. Curr. Opin. Microbiol. 2019, 51, 72–80. [Google Scholar] [CrossRef] [PubMed]
- Gavriilidou, A.; Kautsar, S.A.; Zaburannyi, N.; Krug, D.; Müller, R.; Medema, M.H.; Ziemert, N. Compendium of specialized metabolite biosynthetic diversity encoded in bacterial genomes. Nat. Microbiol. 2022, 7, 726–735. [Google Scholar] [CrossRef] [PubMed]
- Jagannathan, S.V.; Manemann, E.M.; Rowe, S.E.; Callender, M.C.; Soto, W. Marine actinomycetes, new sources of biotechnological products. Mar. Drugs 2021, 19, 365. [Google Scholar] [CrossRef] [PubMed]
- Caesar, L.K.; Montaser, R.; Keller, N.P.; Kelleher, N.L. Metabolomics and genomics in natural products research: Complementary tools for targeting new chemical entities. Nat. Prod. Rep. 2021, 38, 2041–2065. [Google Scholar] [CrossRef] [PubMed]
- Parra, J.; Beaton, A.; Seipke, R.F.; Wilkinson, B.; Hutchings, M.I.; Duncan, K.R. Antibiotics from rare actinomycetes, beyond the genus Streptomyces. Curr. Opin. Microbiol. 2023, 76, 102385. [Google Scholar] [CrossRef] [PubMed]
- Schumann, P.; Weiss, N.; Stackebrandt, E. Reclassification of Cellulomonas cellulans (Stackebrandt and Keddie 1986) as Cellulosimicrobium cellulans gen. nov., comb. nov. Int. J. Syst. Evol. Microbiol. 2001, 51, 1007–1010. [Google Scholar] [CrossRef] [PubMed]
- Schumann, P.; Stackebrandt, E. Cellulosimicrobium. In Bergey’s Manual of Systematics of Archaea and Bacteria; Wiley: Hoboken, NJ, USA, 2015; pp. 1–9. [Google Scholar]
- Yoon, J.-H.; Kang, S.-J.; Schumann, P.; Oh, T.-K. Cellulosimicrobium terreum sp. nov., isolated from soil. Int. J. Syst. Evol. Microbiol. 2007, 57, 2493–2497. [Google Scholar] [CrossRef] [PubMed]
- Hamada, M.; Shibata, C.; Tamura, T.; Nurkanto, A.; Ratnakomala, S.; Lisdiyanti, P.; Suzuki, K.-i. Cellulosimicrobium marinum sp. nov., an actinobacterium isolated from sea sediment. Arch. Microbiol. 2016, 198, 439–444. [Google Scholar] [CrossRef] [PubMed]
- Hu, L.; Xia, M.; Gao, X.; Huo, Y.-X.; Yang, Y. Cellulosimicrobium composti sp. nov., a thermophilic bacterium isolated from compost. Int. J. Syst. Evol. Microbiol. 2021, 71, 004905. [Google Scholar] [CrossRef] [PubMed]
- Le Han, H.; Nguyen, T.T.; Li, Z.; Shin, N.-R.; Kim, S.-G. Cellulosimicrobium protaetiae sp. nov., isolated from the gut of the larva of Protaetia brevitarsis seulensis. Int. J. Syst. Evol. Microbiol. 2022, 72, 005296. [Google Scholar] [CrossRef] [PubMed]
- Brown, J.M.; Steigerwalt, A.G.; Morey, R.E.; Daneshvar, M.I.; Romero, L.-J.; McNeil, M.M. Characterization of clinical isolates previously identified as Oerskovia turbata: Proposal of Cellulosimicrobium funkei sp. nov. and emended description of the genus Cellulosimicrobium. Int. J. Syst. Evol. Microbiol. 2006, 56, 801–804. [Google Scholar] [CrossRef] [PubMed]
- Ferrer, P. Revisiting the Cellulosimicrobium cellulans yeast-lytic β-1, 3-glucanases toolbox: A review. Microb. Cell Factories 2006, 5, 1–8. [Google Scholar] [CrossRef] [PubMed]
- Ham, S.-J.; Lee, H.J.; Cho, H.-Y.; Kim, J.-H.; Kim, Y.-J.; Shin, D.-H.; Rhee, Y.H.; Son, K.-H.; Park, H.-Y. Cloning and characterization of a modular GH5 β-1, 4-mannanase with high specific activity from the fibrolytic bacterium Cellulosimicrobium sp. strain HY-13. Bioresour. Technol. 2011, 102, 9185–9192. [Google Scholar]
- Kim, D.Y.; Han, M.K.; Park, D.-S.; Lee, J.S.; Oh, H.-W.; Shin, D.-H.; Jeong, T.-S.; Kim, S.U.; Bae, K.S.; Son, K.-H. Novel GH10 xylanase, with a fibronectin type 3 domain, from Cellulosimicrobium sp. strain HY-13, a bacterium in the gut of Eisenia fetida. Appl. Environ. Microbiol. 2009, 75, 7275–7279. [Google Scholar] [CrossRef] [PubMed]
- Liu, W.; Zhao, C.; Jiang, J.; Lu, Q.; Hao, Y.; Wang, L.; Liu, C. Bioflocculant production from untreated corn stover using Cellulosimicrobium cellulans L804 isolate and its application to harvesting microalgae. Biotechnol. Biofuels 2015, 8, 1–12. [Google Scholar] [CrossRef] [PubMed]
- Bharagava, R.N.; Mishra, S. Hexavalent chromium reduction potential of Cellulosimicrobium sp. isolated from common effluent treatment plant of tannery industries. Ecotoxicol. Environ. Saf. 2018, 147, 102–109. [Google Scholar] [CrossRef] [PubMed]
- Petkar, H.; Li, A.; Bunce, N.; Duffy, K.; Malnick, H.; Shah, J.J. Cellulosimicrobium funkei: First report of infection in a nonimmunocompromised patient and useful phenotypic tests for differentiation from Cellulosimicrobium cellulans and Cellulosimicrobium terreum. J. Clin. Microbiol. 2011, 49, 1175–1178. [Google Scholar] [CrossRef] [PubMed]
- Rivero, M.; Alonso, J.; Ramón, M.F.; Gonzales, N.; Pozo, A.; Marín, I.; Navascués, A.; Juanbeltz, R. Infections due to Cellulosimicrobium species: Case report and literature review. BMC Infect. Dis. 2019, 19, 1–9. [Google Scholar] [CrossRef] [PubMed]
- Sharma, A.; Gilbert, J.A.; Lal, R. (Meta) genomic insights into the pathogenome of Cellulosimicrobium cellulans. Sci. Rep. 2016, 6, 25527. [Google Scholar] [CrossRef] [PubMed]
- Girão, M.; Ribeiro, I.; Carvalho, M.d.F. Actinobacteria from Marine Environments: A Unique Source of Natural Products. In Natural Products from Actinomycetes: Diversity, Ecology and Drug Discovery; Springer: Berlin/Heidelberg, Germany, 2022; pp. 1–45. [Google Scholar]
- Xiong, Z.; Wang, R.; Xia, T.; Zhang, S.; Ma, S.; Guo, Z. Natural products and biological activity from actinomycetes associated with marine algae. Molecules 2023, 28, 5138. [Google Scholar] [CrossRef] [PubMed]
- Kumar, P.; Verma, A.; Sundharam, S.S.; Ojha, A.K.; Krishnamurthi, S. Exploring diversity and polymer degrading potential of epiphytic bacteria isolated from marine macroalgae. Microorganisms 2022, 10, 2513. [Google Scholar] [CrossRef] [PubMed]
- Mahajan, G.; Chauhan, V.; Sharma, V.; Gupta, R. Combining in vitro and in silico studies to unravel the antifungal potential of chitinase from a marine bacterial isolate Cellulosimicrobium cellulans RS7. Process Biochem. 2023, 134, 88–100. [Google Scholar] [CrossRef]
- Tanveer, F.; Shehroz, M.; Ali, M.; Xie, Y.; Abbasi, R.; Shinwari, Z.K.; Yasmin, A. Genome sequence analysis and bioactivity profiling of marine-derived actinobacteria, Brevibacterium luteolum, and Cellulosimicrobium funkei. Arch. Microbiol. 2021, 203, 2491–2500. [Google Scholar] [CrossRef] [PubMed]
- Girão, M.; Alexandrino, D.A.; Cao, W.; Costa, I.; Jia, Z.; Carvalho, M.F. Unveiling the culturable and non-culturable actinobacterial diversity in two macroalgae species from the northern Portuguese coast. Environ. Microbiol. 2024, 26, e16620. [Google Scholar] [CrossRef] [PubMed]
- Van Santen, J.A.; Jacob, G.; Singh, A.L.; Aniebok, V.; Balunas, M.J.; Bunsko, D.; Neto, F.C.; Castaño-Espriu, L.; Chang, C.; Clark, T.N. The natural products atlas: An open access knowledge base for microbial natural products discovery. ACS Cent. Sci. 2019, 5, 1824–1833. [Google Scholar] [CrossRef] [PubMed]
- Pérez-Victoria, I.; Martín, J.; Reyes, F. Combined LC/UV/MS and NMR strategies for the dereplication of marine natural products. Planta Medica 2016, 82, 857–871. [Google Scholar] [CrossRef] [PubMed]
- Marfey, P. Determination of D-amino acids. II. Use of a bifunctional reagent, 1, 5-difluoro-2, 4-dinitrobenzene. Carlsberg Res. Commun. 1984, 49, 591–596. [Google Scholar] [CrossRef]
- Pérez-Victoria, I. Co-occurring Congeners Reveal the Position of Enantiomeric Amino Acids in Nonribosomal Peptides. ChemBioChem 2021, 22, 2087–2092. [Google Scholar] [CrossRef] [PubMed]
- Chaumeil, P.-A.; Mussig, A.J.; Hugenholtz, P.; Parks, D.H. GTDB-Tk: A Toolkit to Classify Genomes with the Genome Taxonomy Database; Oxford University Press: Oxford, UK, 2020. [Google Scholar]
- Belknap, K.C.; Park, C.J.; Barth, B.M.; Andam, C.P. Genome mining of biosynthetic and chemotherapeutic gene clusters in Streptomyces bacteria. Sci. Rep. 2020, 10, 2003. [Google Scholar] [CrossRef] [PubMed]
- Edgar, R.C. MUSCLE: Multiple sequence alignment with high accuracy and high throughput. Nucleic Acids Res. 2004, 32, 1792–1797. [Google Scholar] [CrossRef] [PubMed]
- Kumar, S.; Stecher, G.; Li, M.; Knyaz, C.; Tamura, K. MEGA X: Molecular evolutionary genetics analysis across computing platforms. Mol. Biol. Evol. 2018, 35, 1547. [Google Scholar] [CrossRef] [PubMed]
- Girão, M.; Ribeiro, I.; Ribeiro, T.; Azevedo, I.C.; Pereira, F.; Urbatzka, R.; Leão, P.N.; Carvalho, M.F. Actinobacteria isolated from Laminaria ochroleuca: A source of new bioactive compounds. Front. Microbiol. 2019, 10, 683. [Google Scholar] [CrossRef] [PubMed]
- Gurevich, A.; Mikheenko, A.; Shlemov, A.; Korobeynikov, A.; Mohimani, H.; Pevzner, P.A. Increased diversity of peptidic natural products revealed by modification-tolerant database search of mass spectra. Nat. Microbiol. 2018, 3, 319–327. [Google Scholar] [CrossRef] [PubMed]
- Mohimani, H.; Gurevich, A.; Mikheenko, A.; Garg, N.; Nothias, L.-F.; Ninomiya, A.; Takada, K.; Dorrestein, P.C.; Pevzner, P.A. Dereplication of peptidic natural products through database search of mass spectra. Nat. Chem. Biol. 2017, 13, 30–37. [Google Scholar] [CrossRef] [PubMed]
- Mohimani, H.; Gurevich, A.; Shlemov, A.; Mikheenko, A.; Korobeynikov, A.; Cao, L.; Shcherbin, E.; Nothias, L.-F.; Dorrestein, P.C.; Pevzner, P.A. Dereplication of microbial metabolites through database search of mass spectra. Nat. Commun. 2018, 9, 4035. [Google Scholar] [CrossRef]
- Wang, M.; Carver, J.J.; Phelan, V.V.; Sanchez, L.M.; Garg, N.; Peng, Y.; Nguyen, D.D.; Watrous, J.; Kapono, C.A.; Luzzatto-Knaan, T. Sharing and community curation of mass spectrometry data with Global Natural Products Social Molecular Networking. Nat. Biotechnol. 2016, 34, 828–837. [Google Scholar] [CrossRef] [PubMed]
- Martin, J.; Crespo, G.; Gonzalez-Menendez, V.; Perez-Moreno, G.; Sanchez-Carrasco, P.; Perez-Victoria, I.; Ruiz-Perez, L.M.; Gonzalez-Pacanowska, D.; Vicente, F.; Genilloud, O. MDN-0104, an antiplasmodial betaine lipid from Heterospora Chenopodii. J. Nat. Prod. 2014, 77, 2118–2123. [Google Scholar] [CrossRef] [PubMed]
- Bankevich, A.; Nurk, S.; Antipov, D.; Gurevich, A.A.; Dvorkin, M.; Kulikov, A.S.; Lesin, V.M.; Nikolenko, S.I.; Pham, S.; Prjibelski, A.D. SPAdes: A new genome assembly algorithm and its applications to single-cell sequencing. J. Comput. Biol. 2012, 19, 455–477. [Google Scholar] [CrossRef] [PubMed]
- Tanizawa, Y.; Fujisawa, T.; Nakamura, Y. DFAST: A flexible prokaryotic genome annotation pipeline for faster genome publication. Bioinformatics 2018, 34, 1037–1039. [Google Scholar] [CrossRef] [PubMed]
- Blin, K.; Shaw, S.; Augustijn, H.E.; Reitz, Z.L.; Biermann, F.; Alanjary, M.; Fetter, A.; Terlouw, B.R.; Metcalf, W.W.; Helfrich, E.J. antiSMASH 7.0: New and improved predictions for detection, regulation, chemical structures and visualisation. Nucleic Acids Research 2023, 51, gkad344. [Google Scholar] [CrossRef] [PubMed]
- Audoin, C.; Bonhomme, D.; Ivanisevic, J.; de la Cruz, M.; Cautain, B.; Monteiro, M.C.; Reyes, F.; Rios, L.; Perez, T.; Thomas, O.P. Balibalosides, an original family of glucosylated sesterterpenes produced by the Mediterranean sponge Oscarella balibaloi. Mar. Drugs 2013, 11, 1477–1489. [Google Scholar] [CrossRef]
- Monteiro, M.C.; de la Cruz, M.; Cantizani, J.; Moreno, C.; Tormo, J.R.; Mellado, E.; De Lucas, J.R.; Asensio, F.; Valiante, V.; Brakhage, A.A. A new approach to drug discovery: High-throughput screening of microbial natural extracts against Aspergillus fumigatus using resazurin. J. Biomol. Screen. 2012, 17, 542–549. [Google Scholar] [CrossRef] [PubMed]
- Mackenzie, T.A.; Reyes, F.; Martínez, M.; González-Menéndez, V.; Sánchez, I.; Genilloud, O.; Tormo, J.R.; Ramos, M.C. Naphthoquinone Derivatives from Angustimassarina populi CF-097565 Display Anti-Tumour Activity in 3D Cultures of Breast Cancer Cells. Molecules 2024, 29, 425. [Google Scholar] [CrossRef] [PubMed]
- Bundale, S.; Singh, J.; Begde, D.; Nashikkar, N.; Upadhyay, A. Rare actinobacteria: A potential source of bioactive polyketides and peptides. World J. Microbiol. Biotechnol. 2019, 35, 1–11. [Google Scholar] [CrossRef] [PubMed]
- Zhao, P.; Xue, Y.; Gao, W.; Li, J.; Zu, X.; Fu, D.; Feng, S.; Bai, X.; Zuo, Y.; Li, P. Actinobacteria–derived peptide antibiotics since 2000. Peptides 2018, 103, 48–59. [Google Scholar] [CrossRef] [PubMed]




| 1 | 2 | ||||
|---|---|---|---|---|---|
| Amino Acid | Position | δH, m, J (Hz) | δC, Type | δH, m, J (Hz) | δC, Type |
| Ser | α | 4.22, m | 58.6, CH | 4.23, m | 58.5, CH |
| β | 3.82, m, 2H | 64.1, CH2 | 3.82, m, 2H | 64.2, CH2 | |
| CO | 176.5, C | 176.5, C | |||
| Pro | α | 4.46, m | 62.3, CH | 4.46, m | 62.3, CH |
| β | 2.17, m; 2.09, m | 30.5, CH | 2.17, m; 2.09, m | 30.5, CH | |
| γ | 2.07, m; 1.99, m | 25.8, CH2 | 2.07, m; 1.99, m | 25.7, CH2 | |
| δ | 3.67, m; 3.57, m | 48.0, CH2 | 3.67, m; 3.57, m | 47.9, CH2 | |
| CO | 173.9, C | 173.9, C | |||
| Gly-1 | α | 4.13 m; 4.05, m | 42.9 CH2 | 4.09 m; 4.02, m | 43.0 CH2 |
| CO | 170.0, C | 169.7, C | |||
| Hyp-1 | α | 4.58, m | 60.9, CH | 4.57, m | 60.7, CH |
| β | 2.25, m; 2.08, m | 38.7, CH2 | 2.23, m; 2.08, m | 39.0, CH2 | |
| γ | 4.51, m | 71.2, CH | 4.51, m | 71.2, CH | |
| δ | 3.79, m, 2H | 56.8, CH | 3.78, m, 2H | 56.7, CH | |
| CO | 174.7, C | 174.7, C | |||
| Leu | α | 4.80, m | 51.2, CH | 4.80, m | 51.1, CH |
| β | 1.62, m, 2H | 41.5, CH2 | 1.62, m, 2H | 41.6, CH2 | |
| γ | 1.69, m | 25.8, CH2 | 1.69, m | 25.7, CH2 | |
| δ | 0.93, m | 23.8, CH3 | 0.94, m | 23.7, CH3 | |
| δ‘ | 0.94, m | 22.3, CH3 | 0.95, m | 22.3, CH3 | |
| CO | 173.4, C | 173.2, C | |||
| Gly-2 | α | 4.13, m, 3.72 m | 43.7, CH2 | 4.09, m, 3.74 m | 43.7, CH2 |
| CO | 171.6, C | 171.5, C | |||
| Pro/ Hyp-2 | α | 4.56, m | 61.4, CH | 4.37, m | 62.5, CH |
| β | 2.19, m; 2.03, m | 39.0, CH2 | 2.18, m; 1.95, m | 30.3, CH2 | |
| γ | 4.41, m | 71.2, CH | 1.97, m; 1.91, m | 26.2, CH2 | |
| δ | 3.64, m; 3.24, dd (10.7, 2.9) | 56.7, CH2 | 3.64, m; 3.55, m | 48.6, CH2 | |
| CO | 174.7, C | 173.6, C | |||
| Phe | α | 3.98, m | 55.4, CH | 4.02, m | 55.3, CH |
| β | 3.05, dd (13.5, 6.4), 2.83, dd, (13.5, 6.7) | 41.3, CH2 | 3.10, dd (13.8, 6.4), 2.86, dd, (13.8, 6.9) | 41.0, CH2 | |
| γ | 138.0, C | 137.7, C | |||
| δ, δ‘ | 7.30, m | 131.0, CH | 7.30, m | 130.9, CH | |
| ε, ε‘ | 7.32, m | 129.9, CH | 7.32, m | 129.8, CH | |
| ζ | 7.24, m | 128.2, CH | 7.25, m | 128.2, CH | |
| CO | 174.8, C | 173.9, C | |||
| Region | Type of Compound | Most Similar Known Cluster | Similarity (%) | MiBiG Accession | Length (nt) |
|---|---|---|---|---|---|
| 2.1 | NI-siderophore/T3PKS | Alkylresorcinol | 100 | BGC0000282 | 1–23,448 |
| 5.1 | Terpene | 7-deoxypactamycin | 5 | BGC0000119 | 216,873–237,787 |
| 7.1 | Thioamide-NRP | Enteromycin | 12 | BGC000249 | 130,738–176,956 |
| 12.1 | RiPP-like | NH | NH | NH | 123,554–176,956 |
| 16.1 | RiPP-like | NH | NH | NH | 36,580–46,876 |
Disclaimer/Publisher’s Note: The statements, opinions and data contained in all publications are solely those of the individual author(s) and contributor(s) and not of MDPI and/or the editor(s). MDPI and/or the editor(s) disclaim responsibility for any injury to people or property resulting from any ideas, methods, instructions or products referred to in the content. |
© 2024 by the authors. Licensee MDPI, Basel, Switzerland. This article is an open access article distributed under the terms and conditions of the Creative Commons Attribution (CC BY) license (https://creativecommons.org/licenses/by/4.0/).
Share and Cite
Girão, M.; Murillo-Alba, J.; Martín, J.; Pérez-Victoria, I.; Leite, R.B.; Urbatzka, R.; Leão, P.N.; Carvalho, M.F.; Reyes, F. Cellulamides: A New Family of Marine-Sourced Linear Peptides from the Underexplored Cellulosimicrobium Genus. Mar. Drugs 2024, 22, 268. https://doi.org/10.3390/md22060268
Girão M, Murillo-Alba J, Martín J, Pérez-Victoria I, Leite RB, Urbatzka R, Leão PN, Carvalho MF, Reyes F. Cellulamides: A New Family of Marine-Sourced Linear Peptides from the Underexplored Cellulosimicrobium Genus. Marine Drugs. 2024; 22(6):268. https://doi.org/10.3390/md22060268
Chicago/Turabian StyleGirão, Mariana, José Murillo-Alba, Jesús Martín, Ignacio Pérez-Victoria, Ricardo B. Leite, Ralph Urbatzka, Pedro N. Leão, Maria F. Carvalho, and Fernando Reyes. 2024. "Cellulamides: A New Family of Marine-Sourced Linear Peptides from the Underexplored Cellulosimicrobium Genus" Marine Drugs 22, no. 6: 268. https://doi.org/10.3390/md22060268
APA StyleGirão, M., Murillo-Alba, J., Martín, J., Pérez-Victoria, I., Leite, R. B., Urbatzka, R., Leão, P. N., Carvalho, M. F., & Reyes, F. (2024). Cellulamides: A New Family of Marine-Sourced Linear Peptides from the Underexplored Cellulosimicrobium Genus. Marine Drugs, 22(6), 268. https://doi.org/10.3390/md22060268

