Abstract
This study aimed to provide height, body mass, BMI and waist circumference (WC) growth centile charts for school-children, aged 4–17 years, from central Peru, and to compare Peruvian data with North-American and Argentinean references. The sample consisted of 8753 children and adolescents (4130 boys and 4623 girls) aged 4 to 17 years, from four Peruvian cities: Barranco, La Merced, San Ramón and Junín. Height, body mass and WC were measured according to standardized techniques. Centile curves for height, body mass, BMI and WC were obtained separately for boys and girls using the LMS method. Student t-tests were used to compare mean values. Overall boys have higher median heights than girls, and the 50th percentile for body mass increases curvilinearly from 4 years of age onwards. In boys, the BMI and WC 50th percentiles increase linearly and in girls, the increase presents a curvilinear pattern. Peruvian children are shorter, lighter and have higher BMI than their counterparts in the U.S. and Argentina; in contrast, age and sex-specific WC values are lower. Height, body mass and WC of Peruvian children increased with age and variability was higher at older ages. The growth patterns for height, body mass, BMI and WC among Peruvian children were similar to those observed in North-American and Argentinean peers.
1. Introduction
Growth is a multifaceted process where increases in body size lead to morphological and functional changes. This process is determined by biological factors that show a high degree of sensitivity to environmental stimuli which tempers the expression of genetic potential [1,2]. As a result, sizeable variation across populations in growth patterns exists [3].
There is a general consensus that child growth is a putative health and nutrition marker of quality of life [4,5] and, therefore, monitoring growth is an important public health task. In 2006, the World Health Organization (WHO) published normative centile charts [6] based on data from the multicentre growth reference study including highly selective samples of infants and native children from Davis (United States), Accra (Ghana), Muscat (Oman), Oslo (Norway), Pelotas (Brazil), and Delhi (India). Notwithstanding the importance of international standards, data from local samples seem to be more informative [7,8,9] and centile curves for height and body mass have been published in central and south America, namely in Argentina [10], Bolivia [11], Brazil [12,13,14], Cuba [15] and Venezuela [16].
To the best of our knowledge no national charts for height, body mass, body mass index (BMI) and waist circumference (WC) are available in Peru. Peru is a country on the central western coast of South America facing the Pacific Ocean with a territorial surface of 1.3 million km2, 28 million inhabitants and a population density of 23.5 inhabitants per km2. This large territory represents a wide range of geographic, socio-economic, ethnic and cultural conditions [17]. For simplicity, Peru can be described as having three natural regions: coast, mountain and jungle. The Peruvian population includes descendants of Amerindians, European-Spanish, Afro-Americans, Chinese, and a mixture of these groups. According to the recent classification of the International Monetary Fund, Peru belongs to a class of emerging and developing economies with a Human Development Index (HDI) of 0.74 and a life expectancy at birth of 74.2 years [17,18].
Since there is no proper substitute for a country having its own child growth reference data and no national growth centile charts are available in Peru, the purpose of this study was twofold: (1) to provide centile charts for height, body mass, BMI and WC for school-children, aged 4–17 years, from the central Peruvian region; and (2) to compare Peruvian data with the North-American [19,20] and Argentina [10,21,22] references.
2. Methods
2.1. Sample
The participants came from the ‘Optimal and Healthy Growth Study’ (OHGS), a cross-sectional study carried out in Peru between March 2009 and June 2011. In total, 8753 children and adolescents (4130 boys and 4623 girls) aged 4 to 17 years were randomly selected from 31 public schools belonging to four cities at different altitudes: Barranco (50 m above sea level), La Merced and San Ramón (700 m and 750 m above sea level, respectively) and Junín (4130 m above sea level) (see Figure 1 and Table 1 and Table 2). All schoolchildren enrolled in the 31 schools located in the four cities were invited to participate. The response rate was 98.4%. The ethical committee of the National University of Education Enrique Guzmán y Valle and the school directors approved the OHGS. Informed consent was obtained from parents and/or legal guardians of the participants.
Figure 1.
South America and representation of the region of the Andes. Location of the Peruvian cities indicated in the present study.
Figure 1.
South America and representation of the region of the Andes. Location of the Peruvian cities indicated in the present study.

2.2. Measures
All measurements were made according to standardized techniques [23]. Height was measured to the nearest 0.1 cm with a portable stadiometer (Model ES-2060, Sanny, São Paulo, Brazil). Body mass was measured to the nearest 0.1 kg using a digital scale (Model IP68, Pesacon, Lima, Peru). BMI was obtained by the ratio of body mass to height (kg/m2). WC was measured with a non-stretchable fibreglass tape (model 4010, Sanny, São Paulo, Brazil) at the midpoint between the edge of the lowest rib and the superior iliac crest during shallow breathing.
Table 1.
Geographic, socioeconomic and educational characteristics of Peru.
| Characteristics | Peru | ||
|---|---|---|---|
| Total population | 30135875 | ||
| Official language and co-official | Spanish/Quechua/Aymara | ||
| Ethnic composition | Amerindians, European-Spanish | ||
| Afro-Americans, Asiatic | |||
| Total population of school children (Regular basic education) | |||
| Public | 5467305 (75.8%) | ||
| Private | 1746707 (24.2%) | ||
| Urban | 5709700 (79.2%) | ||
| Rural | 1504312 (20.8%) | ||
| Boys | 3701958 (51.3%) | ||
| Girls | 3512054 (48.7%) | ||
| Geographical characteristics | |||
| Area (km²) | 1,285,216.20 | ||
| Population density (people/km²) | 23.5 | ||
| Altitude (m) | 0–6768 | ||
| Socioeconomic characteristics | |||
| Human Development Index (HDI) | 0.74 | ||
| Life expectancy at birth (years) | 74.2 | ||
| Education (%) 1 | 85.7 | ||
| Literacy (%) 2 | 92.9 | ||
| Per capita family income (NS per month) | 374.1 | ||
| Primary production | Mining/Fishery/Trade/Tourism | ||
| Agriculture/Stockbreeding | |||
Notes: 1 School age population that attends school. 2 Person of 15 or more years who can read and write.
Table 2.
Number of school children in the three areas of central Peru according to age and sex.
| Age | Sea Level | Rainforest Area | High Altitude | Total | ||||
|---|---|---|---|---|---|---|---|---|
| Barranco | Chanchamayo | Junín | ||||||
| (years) | Girls | Boys | Girls | Boys | Girls | Boys | Girls | Boys |
| 4 | 91 | 90 | 123 | 92 | 24 | 23 | 238 | 205 |
| 5 | 84 | 69 | 128 | 139 | 45 | 36 | 257 | 244 |
| 6 | 104 | 91 | 149 | 146 | 45 | 52 | 298 | 289 |
| 7 | 76 | 52 | 140 | 192 | 55 | 47 | 271 | 291 |
| 8 | 82 | 64 | 178 | 174 | 47 | 60 | 307 | 298 |
| 9 | 119 | 76 | 187 | 184 | 65 | 76 | 371 | 336 |
| 10 | 85 | 84 | 218 | 189 | 70 | 71 | 373 | 344 |
| 11 | 111 | 114 | 193 | 189 | 73 | 55 | 377 | 358 |
| 12 | 92 | 119 | 237 | 144 | 134 | 90 | 463 | 353 |
| 13 | 69 | 64 | 212 | 144 | 76 | 92 | 357 | 300 |
| 14 | 125 | 102 | 187 | 120 | 109 | 102 | 421 | 324 |
| 15 | 110 | 142 | 150 | 151 | 98 | 85 | 358 | 378 |
| 16 | 139 | 82 | 132 | 118 | 105 | 84 | 376 | 284 |
| 17 | 60 | 40 | 41 | 44 | 55 | 42 | 156 | 126 |
| Total | 1347 | 1189 | 2275 | 2026 | 1001 | 915 | 4623 | 4130 |
Notes: Age classification in each group was as follows: age 4 is between 4.00–4.99 and the same applies for all ages from 5–17 years.
2.3. Data Quality Control
The field team members were first trained by experienced anthropometrists for accurate anatomical landmarks, subject positioning and measurement techniques. Secondly, a random sample of 211 children and adolescents were re-measured during the first three weeks of data collection. Technical errors of measurement (TEM), and ANOVA-based intraclass correlation coefficients (R) were used to estimate the degree of precision and the proportion of the variation in measurements. TEM and R were as follows: 0.2 cm, 0.92 (height), 0.1 kg, 0.98 (body mass) and 0.9 cm, 0.92 (WC).
2.4. Statistical Analyses
Height, body mass, BMI and WC centiles were obtained for boys and girls separately using the LMS method [24] implemented in the LMSchartmaker Pro version 2.54 software [25]. The LMS method assumes that the outcome variable has a normal distribution after a Box-Cox power transformation is applied. Three smoothing and specific curves for each age were obtained via penalized maximum likelihood, namely: M (median), L (Box-Cox transformation) and S (coefficient of variation). The equation to derive the centiles is the following:
where Zα is the normal equivalent deviate for tail area α, C100α (t) is the centile corresponding to Zα. Equivalent degrees of freedom (edf) for L(t), M(t) and S(t) measure the complexity of each fitted curve. The appropriate number of degrees of freedom was selected on the basis of the deviance, Q-tests and worm plots following the suggestions of Royston and Wright [26], van Buuren and Fredricks [27] and Pan and Cole [25,28]. The 3rd, 10th, 25th, 50th, 75th, 90th, and 97th percentiles were chosen as age- and gender-specific reference values. The proportion of the data in the channels around the seven fitted centiles was compared to the expected values of the normal distribution in each centile, showing their closeness to the expected distribution for each of the four growth characteristics, confirming a good fit (Table 3).
C100α (t) = M (t) [1 + L (t) S (t) Zα] 1/L (t)
Student t-tests were used to compare the mean values of Peruvian children with North-Americans and Argentinean counterparts. Height, body mass and BMI data from American children come from the report submitted by the Centers for Disease Control and Prevention that provides United States growth charts [19]; WC percentiles values were derived from the combination of NHANES III (1988–1994), NHANES 1999–2006, Bogalusa Heart Study (1992–1994) and Fels Longitudinal Study (1976–1996) samples [20]. The WC was measured just above the uppermost lateral border of the right ilium (NHANES) and in the other studies halfway between the lowest rib and the top edge of the iliac crest.
Height and body mass data from Argentine children came from cross-sectional studies done in La Plata and Cordova cities in 1970, and a national cross-sectional sample of high school students aged 12–19 years old and done in 1985 [10]. BMI information correspond to a cross-sectional study with 4 to 16 year olds attending public and private schools in San Salvador de Jujuy city during 1995–2000 [21]. The WC values come from a cross-sectional study carried out in eight primary schools in Buenos Aires in 2003, and was measured at the umbilicus level [22]. Significance level was set at p < 0.05. These data were analyzed using IBM SPSS 20.
Table 3.
Distribution of Z-score of height, body mass, BMI and waist circumference for the Peru sample compared to expectation assuming normality-area between adjacent centiles (%).
| Centile | Expected (%) | Height (%) | Body mass (%) | BMI (%) | WC (%) | |||||||
|---|---|---|---|---|---|---|---|---|---|---|---|---|
| Girls | Boys | Girls | Boys | Girls | Boys | Girls | Boys | |||||
| (n = 4587) | (n = 4090) | (n = 4586) | (n = 4098) | (n = 4579) | (n = 4090) | (n = 4588) | (n = 4093) | |||||
| 3 | 3 | 3.0 | 2.8 | 2.9 | 3.2 | 2.8 | 2.9 | 3.0 | 3.4 | |||
| 10 | 7 | 7.7 | 7.4 | 7.7 | 6.7 | 7.0 | 7.3 | 7.5 | 6.4 | |||
| 25 | 15 | 14.7 | 15.2 | 14.7 | 15.9 | 15.7 | 14.9 | 15.1 | 15.4 | |||
| 50 | 25 | 24.8 | 24.5 | 24.2 | 24.1 | 24.7 | 25.6 | 24.6 | 25.8 | |||
| 75 | 25 | 24.8 | 25.0 | 24.9 | 24.6 | 24.6 | 24.2 | 24.7 | 24.5 | |||
| 90 | 15 | 14.4 | 14.5 | 14.5 | 14.7 | 14.1 | 13.5 | 13.6 | 13.3 | |||
| 97 | 7 | 7.5 | 7.3 | 7.8 | 7.3 | 7.8 | 8.1 | 7.9 | 7.5 | |||
3. Results
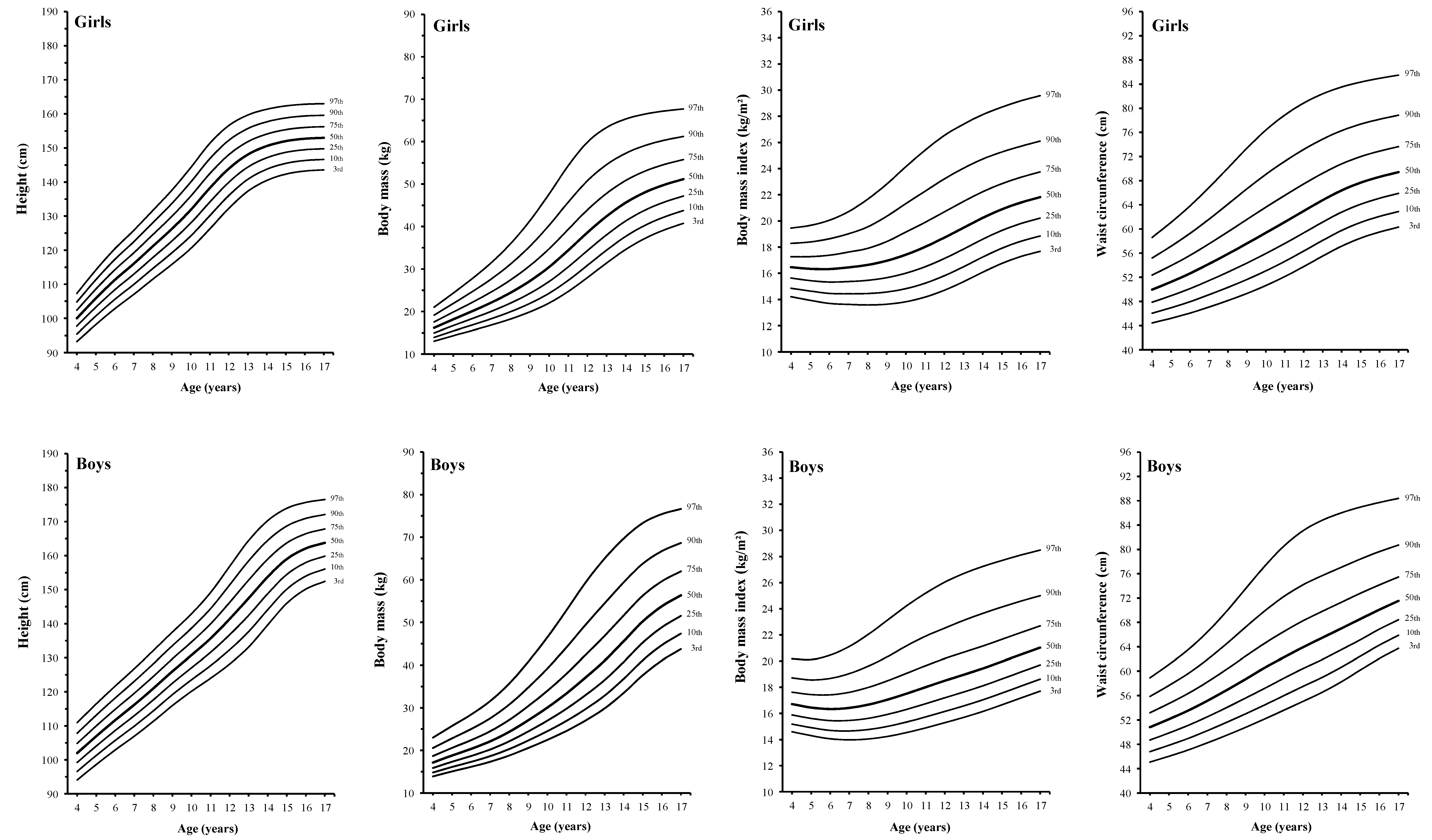
Age- and gender-specific values for the 3rd, 10th, 25th, 50th, 75th, 90th, and 97th centiles are presented in Figure 2 and Table 4 and Table 5. The medians for height increase linearly from 4 to 14 years in boys and from 4 to 11 years in girls, and gradually level off, reaching a value of 165 cm in boys and 153 cm in girls. The increase is higher in boys than in girls. The P50 values for body mass increase curvilinearly from 4 years of age onward; the increase is stepper from 11 to 14 years in boys and from 9 to 11 years in girls. Maximum values are achieved at 17 years for girls (52.3 kg) and boys (58.5 kg).
Smoothed centiles for BMI and WC are presented in Figure 2 and Table 5. The BMI shows a decline from 4 to 6 years of age and then increases linearly in boys and curvilinearly in girls. At 17 years of age, the BMI of boys and girls are 22.2 kg/m2 and 21.5 kg/m2, respectively. The variability increases with increasing age. As for the BMI, the P50 values for WC increase linearly in boys and curvilinearly in girls through 4 to 17 years of age. The median for WC at 17 years old is 72.8 cm in boys and 70.1 cm in girls. Variability of WC also increases with age and is higher at 17 years old.
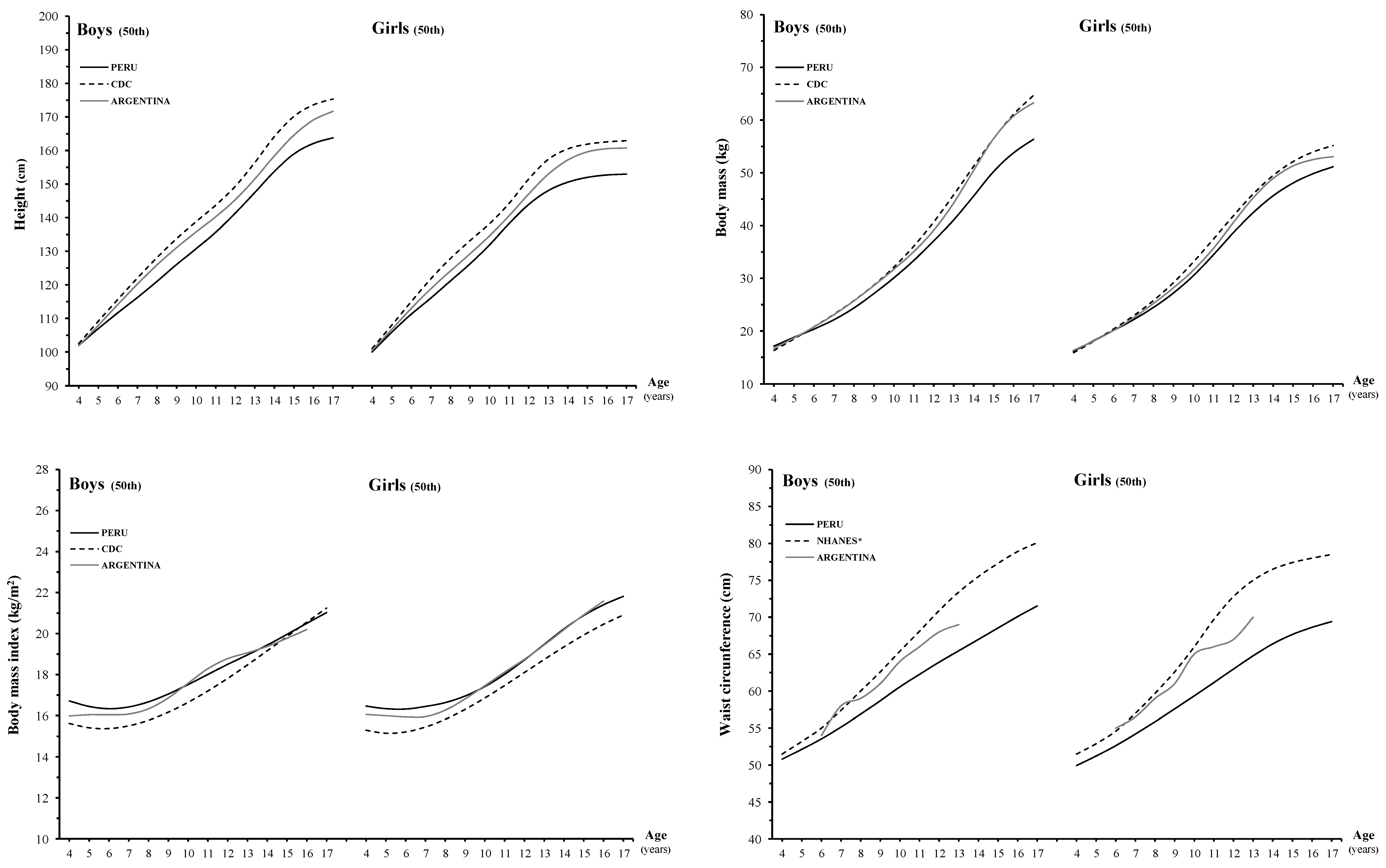
Figure 3 displays the 50th centiles for height, body mass, BMI and WC of Peruvian children against North-American [19,20], and Argentinean [10,21,22] counterparts. Table 6 and Table 7 provides means, mean differences and p values for these growth characteristics. The Peruvian boys are shorter than North-American and Argentinean peers. The average difference between Peruvian and North-American boys is ~7.8 cm and between Peruvian and Argentinean is ~4.5 cm. Corresponding values for girls are ~7.0 cm and ~4.1 cm. For body mass, Peruvian boys and girls are lighter than North-American and Argentinean counterparts. The differences between Peruvian and North-American children are ~4.1 kg in boys and ~2.8 kg in girls. The differential between Peruvian and Argentinean children is ~3.4 kg (boys) and 1.6 kg (girls). For BMI, Peruvian boys have higher mean values than North-American peers and the difference is ~0.8 kg/m2. In girls, the difference is ~0.9 kg/m2 in the age interval 4–17 years. The differential between Peruvian and Argentinean boys and girls is ~0.4 kg/m2 between 4 and 9 years of age. The WC of Peruvian children is lower than North-Americans and Argentinean peers in all age intervals. Differences between Peruvian and North-American children are ~5.4 cm in boys and ~6.6 cm in girls. The same differential between Peruvian and Argentinean children is ~2.8 cm in boys and ~3.9 cm in girls between 6 and 13 years of age.
Figure 2.
Smoothed reference curves for the 3rd, 10th, 25th, 50th, 75th, 90th and 97th percentiles for height, body mass, body mass index and waist circumference in 4 to 17 year-old Peruvian boys and girls.
Figure 2.
Smoothed reference curves for the 3rd, 10th, 25th, 50th, 75th, 90th and 97th percentiles for height, body mass, body mass index and waist circumference in 4 to 17 year-old Peruvian boys and girls.

Table 4.
Age- and sex-specific percentiles of height (cm) and body mass (kg) for school-aged Peruvian children and adolescents.
| Age | Centiles: Height (cm) | Centiles: Body Mass (kg) | |||||||||||||||||||
|---|---|---|---|---|---|---|---|---|---|---|---|---|---|---|---|---|---|---|---|---|---|
| 3rd | 10th | 25th | 50th (M) | 75th | 90th | 97th | 3rd | 10th | 25th | 50th (M) | 75th | 90th | 97th | ||||||||
| Boys | |||||||||||||||||||||
| 4 | −0.5772 | 0.0412 | 94.1 | 96.6 | 99.2 | 102.0 | 104.8 | 107.8 | 111.0 | −1.3460 | 0.1214 | 13.9 | 14.8 | 15.9 | 17.1 | 18.7 | 20.6 | 23.0 | |||
| 5 | −0.5772 | 0.0415 | 98.6 | 101.3 | 104.1 | 107.0 | 110.0 | 113.1 | 116.5 | −1.3184 | 0.1286 | 15.1 | 16.1 | 17.3 | 18.8 | 20.6 | 22.8 | 25.7 | |||
| 6 | −0.5772 | 0.0419 | 102.9 | 105.7 | 108.6 | 111.7 | 114.9 | 118.2 | 121.7 | −1.2921 | 0.1356 | 16.1 | 17.3 | 18.7 | 20.3 | 22.4 | 25.0 | 28.4 | |||
| 7 | −0.5772 | 0.0425 | 107.0 | 109.9 | 113.0 | 116.2 | 119.6 | 123.1 | 126.8 | −1.2623 | 0.1433 | 17.3 | 18.6 | 20.2 | 22.1 | 24.5 | 27.5 | 31.6 | |||
| 8 | −0.5772 | 0.0428 | 111.3 | 114.4 | 117.6 | 121.0 | 124.6 | 128.2 | 132.1 | −1.2256 | 0.1525 | 18.8 | 20.3 | 22.1 | 24.3 | 27.1 | 30.8 | 35.7 | |||
| 9 | −0.5772 | 0.0426 | 116.0 | 119.2 | 122.5 | 126.0 | 129.7 | 133.5 | 137.5 | −1.1817 | 0.1625 | 20.6 | 22.3 | 24.5 | 27.1 | 30.4 | 34.8 | 40.8 | |||
| 10 | −0.5772 | 0.0433 | 120.2 | 123.5 | 127.1 | 130.8 | 134.6 | 138.7 | 142.9 | −1.1326 | 0.1724 | 22.5 | 24.5 | 27.0 | 30.1 | 34.0 | 39.2 | 46.5 | |||
| 11 | −0.5772 | 0.0461 | 124.0 | 127.7 | 131.6 | 135.6 | 139.9 | 144.4 | 149.1 | −1.0777 | 0.1813 | 24.6 | 26.9 | 29.8 | 33.4 | 38.0 | 44.1 | 52.8 | |||
| 12 | −0.5772 | 0.0504 | 128.2 | 132.3 | 136.7 | 141.3 | 146.2 | 151.4 | 156.8 | −1.0165 | 0.1870 | 27.0 | 29.7 | 33.0 | 37.1 | 42.4 | 49.4 | 59.4 | |||
| 13 | −0.5772 | 0.0527 | 133.1 | 137.7 | 142.4 | 147.5 | 152.8 | 158.5 | 164.4 | −0.9506 | 0.1861 | 29.8 | 32.9 | 36.5 | 41.1 | 46.8 | 54.5 | 65.0 | |||
| 14 | −0.5772 | 0.0496 | 139.6 | 144.1 | 148.8 | 153.8 | 159.0 | 164.5 | 170.3 | −0.8806 | 0.1771 | 33.5 | 36.8 | 40.7 | 45.6 | 51.6 | 59.4 | 69.7 | |||
| 15 | −0.5772 | 0.0438 | 146.0 | 150.1 | 154.4 | 159.0 | 163.7 | 168.7 | 173.9 | −0.8112 | 0.1628 | 37.6 | 41.1 | 45.3 | 50.2 | 56.3 | 63.8 | 73.3 | |||
| 16 | −0.5772 | 0.0392 | 150.1 | 154.0 | 158.0 | 162.1 | 166.4 | 170.9 | 175.6 | −0.7498 | 0.1493 | 41.1 | 44.7 | 48.9 | 53.8 | 59.6 | 66.7 | 75.4 | |||
| 17 | −0.5772 | 0.0366 | 152.4 | 156.1 | 159.8 | 163.8 | 167.9 | 172.1 | 176.5 | −0.6968 | 0.1383 | 43.8 | 47.4 | 51.5 | 56.4 | 62.0 | 68.7 | 76.6 | |||
| Girls | |||||||||||||||||||||
| 4 | 0.0064 | 0.0352 | 93.2 | 95.4 | 97.7 | 100.0 | 102.4 | 104.8 | 107.3 | −0.8235 | 0.1180 | 13.0 | 13.9 | 15.0 | 16.2 | 17.5 | 19.1 | 21.0 | |||
| 5 | 0.0064 | 0.0377 | 98.2 | 100.7 | 103.2 | 105.9 | 108.6 | 111.3 | 114.2 | −0.8235 | 0.1303 | 14.3 | 15.4 | 16.7 | 18.1 | 19.9 | 21.9 | 24.3 | |||
| 6 | 0.0064 | 0.0395 | 102.8 | 105.6 | 108.4 | 111.3 | 114.2 | 117.3 | 120.4 | −0.8235 | 0.1422 | 15.6 | 16.8 | 18.3 | 20.1 | 22.2 | 24.7 | 27.8 | |||
| 7 | 0.0064 | 0.0405 | 107.0 | 109.9 | 112.9 | 116.0 | 119.2 | 122.5 | 125.8 | −0.8235 | 0.1539 | 16.8 | 18.3 | 20.1 | 22.1 | 24.6 | 27.7 | 31.6 | |||
| 8 | 0.0064 | 0.0416 | 111.5 | 114.6 | 117.8 | 121.1 | 124.5 | 128.0 | 131.6 | −0.8235 | 0.1659 | 18.2 | 20.0 | 22.0 | 24.5 | 27.5 | 31.2 | 36.0 | |||
| 9 | 0.0064 | 0.0430 | 115.8 | 119.2 | 122.7 | 126.2 | 129.9 | 133.7 | 137.6 | −0.8235 | 0.1777 | 19.9 | 21.9 | 24.3 | 27.2 | 30.8 | 35.4 | 41.4 | |||
| 10 | 0.0064 | 0.0450 | 120.5 | 124.2 | 128.0 | 131.8 | 135.9 | 140.0 | 144.3 | −0.8235 | 0.1872 | 22.0 | 24.3 | 27.1 | 30.5 | 34.8 | 40.3 | 47.7 | |||
| 11 | 0.0064 | 0.0453 | 126.2 | 130.1 | 134.1 | 138.2 | 142.5 | 146.8 | 151.4 | −0.8235 | 0.1904 | 24.7 | 27.3 | 30.5 | 34.4 | 39.4 | 45.8 | 54.4 | |||
| 12 | 0.0064 | 0.0422 | 132.3 | 136.0 | 139.9 | 143.9 | 148.0 | 152.2 | 156.6 | −0.8235 | 0.1843 | 28.0 | 30.9 | 34.3 | 38.6 | 44.0 | 50.8 | 59.9 | |||
| 13 | 0.0064 | 0.0378 | 137.3 | 140.8 | 144.4 | 148.1 | 151.8 | 155.7 | 159.7 | −0.8235 | 0.1706 | 31.4 | 34.5 | 38.1 | 42.4 | 47.8 | 54.6 | 63.3 | |||
| 14 | 0.0064 | 0.0347 | 140.5 | 143.8 | 147.1 | 150.6 | 154.1 | 157.7 | 161.4 | −0.8235 | 0.1553 | 34.6 | 37.7 | 41.3 | 45.6 | 50.9 | 57.3 | 65.3 | |||
| 15 | 0.0064 | 0.0329 | 142.3 | 145.5 | 148.7 | 152.0 | 155.4 | 158.8 | 162.3 | −0.8235 | 0.1424 | 37.2 | 40.3 | 43.9 | 48.1 | 53.1 | 59.1 | 66.5 | |||
| 16 | 0.0064 | 0.0321 | 143.2 | 146.3 | 149.5 | 152.7 | 156.0 | 159.4 | 162.8 | −0.8235 | 0.1326 | 39.2 | 42.2 | 45.7 | 49.8 | 54.6 | 60.3 | 67.2 | |||
| 17 | 0.0064 | 0.0318 | 143.6 | 146.6 | 149.8 | 153.0 | 156.2 | 159.6 | 163.0 | −0.8235 | 0.1251 | 40.7 | 43.8 | 47.2 | 51.2 | 55.8 | 61.2 | 67.7 | |||
Notes: Age: completed age, e.g., 4 years = 4.00–4.99 years.
Table 5.
Age- and sex-specific percentiles of body mass index (kg/m²) and waist circumference (cm) for school-aged Peruvian children and adolescents.
| Age | Centiles: Body Mass Index (kg/m²) | Centiles: Waist Circumference (cm) | |||||||||||||||||||
|---|---|---|---|---|---|---|---|---|---|---|---|---|---|---|---|---|---|---|---|---|---|
| 3rd | 10th | 25th | 50th (M) | 75th | 90th | 97th | 3rd | 10th | 25th | 50th (M) | 75th | 90th | 97th | ||||||||
| Boys | |||||||||||||||||||||
| 4 | −2.2535 | 0.0753 | 14.6 | 15.2 | 15.8 | 16.7 | 17.6 | 18.7 | 20.2 | −1.5809 | 0.0660 | 45.1 | 46.8 | 48.7 | 50.8 | 53.2 | 55.9 | 58.9 | |||
| 5 | −2.2535 | 0.0824 | 14.3 | 14.9 | 15.6 | 16.4 | 17.4 | 18.6 | 20.1 | −1.7335 | 0.0694 | 46.0 | 47.8 | 49.9 | 52.1 | 54.7 | 57.7 | 61.1 | |||
| 6 | −2.2535 | 0.0896 | 14.1 | 14.7 | 15.4 | 16.3 | 17.4 | 18.7 | 20.5 | −1.8922 | 0.0730 | 47.1 | 49.0 | 51.1 | 53.5 | 56.3 | 59.6 | 63.5 | |||
| 7 | −2.2535 | 0.0972 | 14.0 | 14.7 | 15.5 | 16.4 | 17.6 | 19.0 | 21.1 | −2.0652 | 0.0772 | 48.2 | 50.2 | 52.5 | 55.1 | 58.2 | 61.9 | 66.4 | |||
| 8 | −2.2535 | 0.1048 | 14.0 | 14.8 | 15.6 | 16.7 | 18.0 | 19.6 | 22.0 | −2.2483 | 0.0820 | 49.5 | 51.6 | 54.0 | 56.9 | 60.3 | 64.5 | 69.8 | |||
| 9 | −2.2535 | 0.1113 | 14.2 | 15.0 | 15.9 | 17.1 | 18.5 | 20.3 | 23.1 | −2.4370 | 0.0867 | 50.8 | 53.0 | 55.6 | 58.7 | 62.5 | 67.2 | 73.5 | |||
| 10 | −2.2535 | 0.1160 | 14.5 | 15.3 | 16.3 | 17.5 | 19.1 | 21.2 | 24.2 | −2.6247 | 0.0903 | 52.2 | 54.5 | 57.2 | 60.6 | 64.6 | 69.9 | 77.2 | |||
| 11 | −2.2535 | 0.1186 | 14.9 | 15.7 | 16.7 | 18.0 | 19.6 | 21.9 | 25.2 | −2.8058 | 0.0920 | 53.6 | 56.0 | 58.8 | 62.3 | 66.5 | 72.2 | 80.5 | |||
| 12 | −2.2535 | 0.1191 | 15.3 | 16.2 | 17.2 | 18.5 | 20.2 | 22.5 | 26.0 | −2.9769 | 0.0917 | 55.0 | 57.5 | 60.4 | 63.9 | 68.3 | 74.2 | 83.0 | |||
| 13 | −2.2535 | 0.1177 | 15.7 | 16.6 | 17.6 | 19.0 | 20.7 | 23.1 | 26.7 | −3.1406 | 0.0895 | 56.5 | 59.0 | 61.9 | 65.5 | 69.8 | 75.7 | 84.8 | |||
| 14 | −2.2535 | 0.1150 | 16.2 | 17.0 | 18.1 | 19.4 | 21.1 | 23.6 | 27.2 | −3.3097 | 0.0859 | 58.2 | 60.6 | 63.5 | 67.0 | 71.3 | 77.0 | 86.0 | |||
| 15 | −2.2535 | 0.1117 | 16.7 | 17.6 | 18.6 | 20.0 | 21.7 | 24.1 | 27.7 | −3.4879 | 0.0811 | 60.2 | 62.4 | 65.1 | 68.5 | 72.8 | 78.4 | 86.9 | |||
| 16 | −2.2535 | 0.1083 | 17.2 | 18.1 | 19.2 | 20.5 | 22.2 | 24.6 | 28.1 | −3.6608 | 0.0765 | 62.1 | 64.3 | 66.9 | 70.1 | 74.2 | 79.6 | 87.7 | |||
| 17 | −2.2535 | 0.1049 | 17.7 | 18.6 | 19.7 | 21.0 | 22.7 | 25.0 | 28.5 | −3.8214 | 0.0725 | 63.7 | 65.9 | 68.4 | 71.5 | 75.5 | 80.7 | 88.4 | |||
| Girls | |||||||||||||||||||||
| 4 | −1.2523 | 0.0784 | 14.2 | 14.9 | 15.6 | 16.5 | 17.3 | 18.3 | 19.5 | −2.2787 | 0.0670 | 44.4 | 46.0 | 47.9 | 49.9 | 52.3 | 55.2 | 58.6 | |||
| 5 | −1.2523 | 0.0889 | 13.9 | 14.6 | 15.4 | 16.3 | 17.3 | 18.4 | 19.7 | −2.2787 | 0.0725 | 45.2 | 46.9 | 48.9 | 51.2 | 53.9 | 57.1 | 61.1 | |||
| 6 | −1.2523 | 0.0982 | 13.7 | 14.5 | 15.3 | 16.3 | 17.4 | 18.6 | 20.0 | −2.2787 | 0.0780 | 46.1 | 47.9 | 50.1 | 52.6 | 55.6 | 59.3 | 63.8 | |||
| 7 | −1.2523 | 0.1066 | 13.6 | 14.4 | 15.4 | 16.4 | 17.6 | 19.0 | 20.7 | −2.2787 | 0.0834 | 47.1 | 49.1 | 51.4 | 54.2 | 57.5 | 61.6 | 66.9 | |||
| 8 | −1.2523 | 0.1156 | 13.6 | 14.5 | 15.5 | 16.6 | 17.9 | 19.5 | 21.7 | −2.2787 | 0.0886 | 48.1 | 50.3 | 52.8 | 55.9 | 59.5 | 64.1 | 70.1 | |||
| 9 | −1.2523 | 0.1255 | 13.6 | 14.6 | 15.7 | 17.0 | 18.4 | 20.4 | 22.8 | −2.2787 | 0.0931 | 49.3 | 51.6 | 54.3 | 57.6 | 61.6 | 66.6 | 73.4 | |||
| 10 | −1.2523 | 0.1341 | 13.8 | 14.8 | 16.0 | 17.4 | 19.2 | 21.3 | 24.2 | −2.2787 | 0.0959 | 50.6 | 53.1 | 55.9 | 59.4 | 63.6 | 69.0 | 76.4 | |||
| 11 | −1.2523 | 0.1397 | 14.2 | 15.2 | 16.5 | 18.0 | 19.9 | 22.3 | 25.4 | −2.2787 | 0.0965 | 52.1 | 54.6 | 57.6 | 61.2 | 65.6 | 71.2 | 78.9 | |||
| 12 | −1.2523 | 0.1413 | 14.7 | 15.8 | 17.1 | 18.7 | 20.7 | 23.2 | 26.5 | −2.2787 | 0.0953 | 53.8 | 56.3 | 59.4 | 63.0 | 67.5 | 73.2 | 80.9 | |||
| 13 | −1.2523 | 0.1386 | 15.4 | 16.5 | 17.8 | 19.5 | 21.5 | 24.0 | 27.4 | −2.2787 | 0.0926 | 55.5 | 58.1 | 61.1 | 64.8 | 69.2 | 74.9 | 82.4 | |||
| 14 | −1.2523 | 0.1332 | 16.1 | 17.2 | 18.6 | 20.2 | 22.2 | 24.7 | 28.1 | −2.2787 | 0.0894 | 57.1 | 59.7 | 62.8 | 66.4 | 70.8 | 76.3 | 83.5 | |||
| 15 | −1.2523 | 0.1271 | 16.7 | 17.9 | 19.3 | 20.9 | 22.8 | 25.3 | 28.7 | −2.2787 | 0.0866 | 58.5 | 61.1 | 64.1 | 67.7 | 72.0 | 77.4 | 84.3 | |||
| 16 | −1.2523 | 0.1227 | 17.3 | 18.4 | 19.8 | 21.4 | 23.3 | 25.7 | 29.2 | −2.2787 | 0.0845 | 59.5 | 62.1 | 65.1 | 68.6 | 72.9 | 78.2 | 85.0 | |||
| 17 | −1.2523 | 0.1205 | 17.7 | 18.8 | 20.2 | 21.8 | 23.7 | 26.1 | 29.6 | −2.2787 | 0.0829 | 60.3 | 62.9 | 65.9 | 69.4 | 73.6 | 78.8 | 85.5 | |||
Note: Age: completed age, e.g., 4 years = 4.00–4.99 years.
Figure 3.
Comparison of the age and sex specific 50th percentile values for height, body mass, body mass index and waist circumference between Peruvian boys and girls and those from North-America and Argentina.
Figure 3.
Comparison of the age and sex specific 50th percentile values for height, body mass, body mass index and waist circumference between Peruvian boys and girls and those from North-America and Argentina.

Table 6.
Results of mean differences between the CDC and Peruvian schoolchildren for height, body mass, body mass index and waist circumference from both sexes aged 4 to 17 years.
| Age(Years) | Height | Body Mass | Body Mass Index | Waist Circumference | ||||||||||||||||
|---|---|---|---|---|---|---|---|---|---|---|---|---|---|---|---|---|---|---|---|---|
| CDC | PERU | Mean | p | CDC | PERU | Mean | p | CDC | PERU | Mean | p | NHNES | PERU | Mean | p | |||||
| Mean | Mean | Difference | Mean | Mean | Difference | Mean | Mean | Difference | Mean | Mean | Difference | |||||||||
| Boys | ||||||||||||||||||||
| 4 | 105.6 | 104.7 | −0.86 | 0.010 | 17.7 | 18.2 | 0.56 | 0.003 | 15.8 | 16.6 | 0.78 | 0.001 | 51.5 | 52.3 | 0.75 | 0.008 | ||||
| 5 | 112.4 | 109.6 | −2.85 | 0.001 | 20.0 | 20.2 | 0.20 | 0.347 | 15.8 | 16.7 | 0.99 | 0.001 | 53.2 | 53.3 | 0.63 | 0.837 | ||||
| 6 | 118.7 | 113.5 | −5.15 | 0.001 | 22.2 | 21.7 | −0.52 | 0.022 | 15.8 | 16.8 | 1.02 | 0.001 | 55.0 | 54.8 | −0.16 | 0.532 | ||||
| 7 | 125.0 | 119.1 | −5.97 | 0.001 | 24.8 | 24.2 | −0.61 | 0.026 | 15.9 | 17.0 | 1.06 | 0.001 | 57.4 | 56.9 | −0.52 | 0.093 | ||||
| 8 | 130.1 | 123.5 | −6.63 | 0.001 | 27.4 | 26.7 | −0.74 | 0.027 | 16.2 | 17.4 | 1.14 | 0.001 | 60.0 | 58.9 | −1.10 | 0.003 | ||||
| 9 | 135.8 | 128.8 | −6.99 | 0.001 | 31.2 | 29.9 | −1.27 | 0.001 | 16.9 | 17.9 | 1.00 | 0.001 | 62.6 | 60.9 | −1.66 | 0.001 | ||||
| 10 | 141.0 | 133.0 | −7.95 | 0.001 | 34.8 | 32.7 | −2.06 | 0.001 | 17.5 | 18.3 | 0.86 | 0.001 | 65.4 | 62.4 | −3.73 | 0.001 | ||||
| 11 | 146.1 | 138.5 | −7.64 | 0.001 | 39.0 | 37.4 | −1.56 | 0.001 | 18.2 | 19.4 | 1.17 | 0.001 | 68.1 | 65.2 | −2.91 | 0.001 | ||||
| 12 | 153.1 | 145.1 | −8.02 | 0.001 | 43.5 | 42.0 | −1.51 | 0.010 | 18.6 | 19.7 | 1.09 | 0.001 | 70.9 | 66.8 | −4.14 | 0.001 | ||||
| 13 | 159.7 | 150.1 | −9.65 | 0.001 | 49.8 | 44.5 | −5.35 | 0.001 | 19.5 | 19.6 | 0.07 | 0.708 | 73.4 | 66.5 | −7.71 | 0.001 | ||||
| 14 | 167.3 | 156.8 | −10.44 | 0.001 | 56.4 | 50.1 | −6.33 | 0.001 | 20.2 | 20.2 | 0.25 | 0.878 | 75.5 | 68.8 | −6.73 | 0.001 | ||||
| 15 | 171.5 | 160.8 | −10.67 | 0.001 | 61.1 | 53.8 | −7.29 | 0.001 | 20.8 | 20.7 | −0.03 | 0.830 | 77.3 | 70.2 | −7.11 | 0.001 | ||||
| 16 | 174.5 | 163.1 | −11.33 | 0.001 | 66.2 | 56.5 | −9.78 | 0.001 | 21.7 | 21.1 | −0.58 | 0.001 | 78.9 | 72.0 | −6.87 | 0.001 | ||||
| 17 | 175.9 | 163.2 | −12.73 | 0.001 | 67.8 | 57.4 | −10.32 | 0.001 | 21.9 | 21.5 | −0.38 | 0.096 | 80.1 | 72.6 | −7.50 | 0.001 | ||||
| Girls | ||||||||||||||||||||
| 4 | 104.5 | 103.5 | −1.01 | 0.002 | 17.2 | 17.5 | 0.30 | 0.067 | 15.7 | 16.3 | 0.63 | 0.001 | 51.5 | 51.1 | −0.44 | 0.103 | ||||
| 5 | 111.8 | 109.3 | −2.50 | 0.001 | 19.8 | 19.9 | 0.12 | 0.580 | 15.7 | 16.6 | 0.84 | 0.001 | 52.9 | 52.2 | −0.65 | 0.028 | ||||
| 6 | 117.9 | 113.0 | −4.86 | 0.001 | 21.6 | 21.3 | −0.29 | 0.190 | 15.5 | 16.6 | 1.14 | 0.001 | 54.6 | 53.9 | −0.67 | 0.013 | ||||
| 7 | 123.9 | 118.5 | −5.38 | 0.001 | 24.3 | 24.0 | −0.28 | 0.313 | 15.8 | 17.0 | 1.20 | 0.001 | 57.0 | 55.8 | −1.20 | 0.001 | ||||
| 8 | 129.9 | 124.3 | −5.55 | 0.001 | 27.6 | 26.7 | −0.95 | 0.002 | 16.4 | 17.2 | 0.79 | 0.001 | 59.7 | 57.4 | −2.26 | 0.001 | ||||
| 9 | 135.6 | 129.8 | −5.79 | 0.001 | 31.7 | 30.4 | −1.26 | 0.001 | 17.2 | 17.9 | 0.66 | 0.001 | 62.6 | 60.0 | −2.64 | 0.001 | ||||
| 10 | 141.4 | 135.2 | −6.19 | 0.001 | 34.9 | 33.2 | −1.71 | 0.001 | 17.4 | 18.0 | 0.54 | 0.001 | 66.0 | 60.7 | −5.34 | 0.001 | ||||
| 11 | 148.3 | 142.0 | −6.24 | 0.001 | 40.8 | 39.1 | −1.75 | 0.001 | 18.6 | 19.2 | 0.61 | 0.001 | 69.7 | 63.4 | −6.31 | 0.001 | ||||
| 12 | 154.7 | 145.9 | −8.88 | 0.001 | 46.4 | 41.8 | −4.58 | 0.010 | 19.3 | 19.5 | 0.21 | 0.140 | 72.8 | 64.4 | −8.37 | 0.001 | ||||
| 13 | 159.0 | 149.6 | −9.41 | 0.001 | 51.1 | 45.7 | −5.32 | 0.001 | 20.2 | 20.4 | 0.21 | 0.198 | 75.0 | 66.8 | −8.25 | 0.001 | ||||
| 14 | 161.0 | 151.0 | −14.00 | 0.001 | 54.4 | 48.2 | −6.21 | 0.001 | 21.0 | 21.1 | 0.13 | 0.397 | 76.5 | 68.1 | −8.39 | 0.001 | ||||
| 15 | 163.0 | 152.3 | −10.66 | 0.001 | 56.1 | 50.1 | −6.02 | 0.001 | 21.0 | 21.5 | 0.50 | 0.001 | 77.4 | 69.0 | −8.39 | 0.001 | ||||
| 16 | 162.6 | 153.0 | −9.54 | 0.001 | 57.5 | 51.6 | −5.94 | 0.001 | 21.8 | 22.0 | 0.23 | 0.120 | 78.0 | 69.8 | −8.21 | 0.001 | ||||
| 17 | 163.0 | 152.9 | −10.03 | 0.001 | 59.0 | 52.5 | −6.53 | 0.001 | 22.3 | 22.4 | 0.16 | 0.543 | 78.5 | 70.5 | −7.95 | 0.001 | ||||
Table 7.
Results of mean differences between Argentina and Peruvian schoolchildren for height, body mass, body mass index and waist circumference from both sexes aged 4 to 17 years.
| Age(Years) | Height | Body Mass | Body Mass Index | Waist Circumference | ||||||||||||||||
|---|---|---|---|---|---|---|---|---|---|---|---|---|---|---|---|---|---|---|---|---|
| Argentina | Peru | Mean | p | Argentina | Peru | Mean | p | Argentina | Peru | Mean | p | Argentina | Peru | Mean | p | |||||
| Mean | Mean | Difference | Mean | Mean | Difference | Mean | Mean | Difference | Mean | Mean | Difference | |||||||||
| Boys | ||||||||||||||||||||
| 4 | 101.9 | 104.7 | 2.84 | 0.001 | 16.7 | 18.2 | 1.49 | 0.001 | 16.0 | 16.6 | 0.59 | 0.001 | ||||||||
| 5 | 107.9 | 109.6 | 1.64 | 0.001 | 18.7 | 20.2 | 1.52 | 0.001 | 16.0 | 16.7 | 0.70 | 0.001 | ||||||||
| 6 | 114.2 | 113.5 | −0.60 | 0.056 | 20.7 | 21.7 | 0.98 | 0.001 | 16.0 | 16.8 | 0.73 | 0.001 | 54.0 | 54.8 | 0.84 | 0.001 | ||||
| 7 | 120.2 | 119.1 | −1.17 | 0.001 | 23.1 | 24.2 | 1.14 | 0.001 | 16.1 | 17.0 | 0.88 | 0.001 | 58.0 | 56.9 | −1.12 | 0.001 | ||||
| 8 | 125.9 | 123.5 | −2.44 | 0.001 | 25.7 | 26.7 | 1.02 | 0.002 | 16.3 | 17.4 | 1.05 | 0.001 | 59.0 | 58.9 | −0.10 | 0.785 | ||||
| 9 | 131.1 | 128.8 | −2.25 | 0.001 | 28.6 | 29.9 | 1.35 | 0.001 | 16.9 | 17.9 | 1.07 | 0.001 | 61.0 | 60.9 | −0.06 | 0.876 | ||||
| 10 | 135.8 | 133.0 | −2.75 | 0.001 | 31.7 | 32.7 | 1.03 | 0.011 | 17.6 | 18.3 | 0.76 | 0.001 | 64.0 | 62.4 | −1.57 | 0.001 | ||||
| 11 | 140.3 | 138.5 | −1.80 | 0.001 | 35.0 | 37.4 | 2.40 | 0.001 | 18.3 | 19.4 | 1.06 | 0.001 | 66.0 | 65.2 | −0.81 | 0.056 | ||||
| 12 | 145.4 | 145.1 | −0.26 | 0.572 | 39.1 | 42.0 | 2.88 | 0.001 | 18.8 | 19.7 | 0.90 | 0.001 | 68.0 | 66.8 | −1.24 | 0.006 | ||||
| 13 | 151.5 | 150.1 | −1.44 | 0.006 | 44.3 | 44.5 | 0.19 | 0.745 | 19.1 | 19.6 | 0.50 | 0.005 | 69.0 | 66.5 | −2.48 | 0.001 | ||||
| 14 | 158.4 | 156.8 | −1.56 | 0.001 | 50.5 | 50.1 | −0.36 | 0.540 | 19.4 | 20.2 | 0.84 | 0.001 | ||||||||
| 15 | 164.6 | 160.8 | −3.74 | 0.001 | 56.5 | 53.8 | −2.71 | 0.001 | 19.8 | 20.7 | 0.95 | 0.001 | ||||||||
| 16 | 169.1 | 163.1 | −5.96 | 0.001 | 60.8 | 56.5 | −4.31 | 0.001 | 20.2 | 21.1 | 0.95 | 0.001 | ||||||||
| 17 | 171.7 | 163.2 | −8.48 | 0.001 | 63.3 | 57.4 | −5.86 | 0.001 | ||||||||||||
| Girls | ||||||||||||||||||||
| 4 | 100.5 | 103.5 | 3.00 | 0.001 | 16.3 | 17.5 | 1.19 | 0.001 | 16.1 | 16.3 | 0.24 | 0.022 | ||||||||
| 5 | 106.7 | 109.3 | 2.62 | 0.001 | 18.1 | 19.9 | 1.79 | 0.001 | 16.0 | 16.6 | 0.55 | 0.001 | ||||||||
| 6 | 113.0 | 113.0 | 0.04 | 0.896 | 20.1 | 21.3 | 1.27 | 0.001 | 15.9 | 16.6 | 0.69 | 0.001 | 55.0 | 53.9 | −1.07 | 0.001 | ||||
| 7 | 118.8 | 118.5 | −0.27 | 0.426 | 22.5 | 24.0 | 1.56 | 0.001 | 16.0 | 17.0 | 1.04 | 0.001 | 56.5 | 55.8 | −0.70 | 0.025 | ||||
| 8 | 124.1 | 124.3 | 0.20 | 0.571 | 25.2 | 26.7 | 1.46 | 0.001 | 16.3 | 17.2 | 0.89 | 0.001 | 59.0 | 57.4 | −1.56 | 0.001 | ||||
| 9 | 129.2 | 129.8 | 0.55 | 0.116 | 28.2 | 30.4 | 2.25 | 0.001 | 16.8 | 17.9 | 1.06 | 0.001 | 61.0 | 60.0 | −1.04 | 0.005 | ||||
| 10 | 134.6 | 135.2 | 0.62 | 0.109 | 31.5 | 33.2 | 1.64 | 0.001 | 17.5 | 18.0 | 0.51 | 0.001 | 65.0 | 60.7 | −4.34 | 0.001 | ||||
| 11 | 140.6 | 142.0 | 1.47 | 0.001 | 35.6 | 39.1 | 3.45 | 0.001 | 18.1 | 19.2 | 1.06 | 0.001 | 66.0 | 63.4 | −2.61 | 0.001 | ||||
| 12 | 147.0 | 145.9 | −1.18 | 0.001 | 40.5 | 41.8 | 1.28 | 0.002 | 18.8 | 19.5 | 0.77 | 0.001 | 67.0 | 64.4 | −2.57 | 0.001 | ||||
| 13 | 152.9 | 149.6 | −3.29 | 0.001 | 45.2 | 45.7 | 0.49 | 0.251 | 19.4 | 20.4 | 0.93 | 0.001 | 70.0 | 66.8 | −3.25 | 0.001 | ||||
| 14 | 157.2 | 151.0 | −6.17 | 0.001 | 48.9 | 48.2 | −0.71 | 0.089 | 20.2 | 21.1 | 0.90 | 0.001 | ||||||||
| 15 | 159.6 | 152.3 | −7.26 | 0.001 | 51.3 | 50.1 | −1.23 | 0.002 | 20.9 | 21.5 | 0.63 | 0.001 | ||||||||
| 16 | 160.5 | 153.0 | −7.53 | 0.001 | 52.5 | 51.6 | −0.91 | 0.091 | 21.6 | 22.0 | 0.43 | 0.004 | ||||||||
| 17 | 160.7 | 152.9 | −7.80 | 0.001 | 53.1 | 52.5 | −0.59 | 0.394 | ||||||||||||
4. Discussion
Since the last century, Peru, as well as other Latin American countries, are experiencing epidemiological and nutritional transitions with not only dramatic decreases in malnutrition and stunting, but also increases in obesity [29]. Furthermore, over the last decade the Peruvian population has undergone significant changes in living conditions that are highly related to the overall improvement in their economy and general health status [18]. In this context, the use of simple, reliable and valid anthropometric indicators such as height, body mass, BMI, and WC, as well as their respective centile charts, are highly valuable tools in public health surveillance and epidemiology [9].
The trends in height, body mass, BMI and WC of Peruvian children and adolescents were similar to other international data. In height and body mass, the individual variation expressed in terms of the range between the 3rd and 97th percentiles increased progressively with age through childhood and adolescence. Furthermore, there is high inter-individual variation starting at an early age and clearly expressed in the upper centiles. Additionally, the adiposity rebound starting at age 6–7 years was noted in Peruvian children and parallels the study of Rolland-Cachera et al. [30].
Peruvian children were shorter and lighter than North-American and Argentinean peers. One possible explanation may be rooted in genetic potential which has been previously suggested by several authors [3,10,15]. Another additional factor relies on the fact that children who were born and live in high altitudes and/or subjected to chronic environmental stress, such as those living in the forest areas, had lower height and body mass values when compared to sea level standards [31,32]. Furthermore, nutritional stress, particularly in rural populations, plays an important role in co-regulating the growth process [33], although some growth delay may be expected even when socio-economic and nutritional factors have been optimized [34,35]. It is widely accepted that BMI is a suitable anthropometric marker when assessing obesity in clinical and epidemiological settings [36], while the WC is used as a relatively consistent indicator of cardio metabolic risk [37]. The Peruvian 50th BMI centile was slightly higher than the North-American [19] and similar to Argentinean [21] reference. On the contrary, the 50th WC centile of Peruvian children was below the 50th WC centiles of North-Americans and Argentineans [20,22]. The interpretation of these results requires taking into account the morphological characteristics of the population. For example, Peruvian children have a lower relative leg length in comparison to their American peers, which directly influences their stature. This condition partly explains their higher BMI values. On the other hand, in the updating of the 2000 CDC centile charts body mass that corresponded to NHANES III was excluded in order to avoid significant modifications of BMI-for-age and body mass-for-age [19]. Children and adolescents below the 5th centile may involve those with growth delay, genetically low stature, a phenotype or thrifty genotype or a complex mixture of all these factors [38]. In the opposite, those above the 75th centile may be explained by the presence of a high prevalence of overweight and obesity in the studied population [39]. For WC, comparisons are difficult because there are no international references accepted by the scientific community. The use of different WC measurement protocols limits comparisons between countries which may affect, for example, the estimations of obesity and cardio metabolic risk factors prevalence [40]. The differences found when making comparisons with Argentine and American children can be partly explained by the use of different anatomical locations to measure WC. However, the WC increase in the preschool years may be a sign that this age is crucial for the emergence of central obesity [22].
The lower stature and body mass of Peruvian children and adolescents in relation to North-American and Argentinean counterparts may be a result of genetic, geographical, cultural and socio-economic factors [33,34,35]. However, socio-economic factors deserve further attention. It is well known that the economic situation in Peru has gradually improved in the last decade, which possibly gave rise to better life conditions to important sectors of the population [17]. However, a sustained economic growth may not be enough to quench the poverty. In 2011, 17.8% of children under the age of 5 years suffered from chronic malnutrition, 7.8% suffered from global malnutrition and 1.5% suffered from acute malnutrition; in addition, 27.6% of pregnant women suffered from anemia [41]. Notwithstanding, these rates have decreased in recent years. A 2012 report of the INS revealed a prevalence of overweight and obesity of 6.4% and 1.8%, respectively, in children less than 5 years of age [42]. It was also reported that 34.4% of pregnant women were overweight, while 12.7% had shortfalls of weight, affecting in 2011 to nearly one of every eight women [41]. Furthermore, the prevalence of overweight and obesity in Peruvian children, aged 6–11 years, was 21.7% and 7%, respectively [43].
Height, body mass, BMI and WC centile charts provided in this article are based on data from a cross-sectional study of children and adolescents who attended public schools in Peru central region. In very general terms, they provide novel and useful information for monitoring the growth of children, as well as for the identification of children that maybe at risk of obesity, stunting and wasting, and maybe related to high central obesity given WC upper centiles. It represents an advance in the perspective of having national references. Notwithstanding the relevance of the present information, at least four limitations have to be stated: (1) despite the size of our sample, it is not representative of the total children and adolescents´ Peruvian population; (2) the cross-sectional outline of this study does not allow to dynamically analyze intra-individual changes that occur throughout the growing period as a result of complex biological and environmental interactions; (3) no information is presently available about the racial/ethnic composition of Peruvian schoolchildren, and so we were not able to stratify our sample according to this condition. Yet, we are confident that the present charts reflect Peruvian children and adolescent physical growth and will be useful to clinicians and educators throughout the country; (4) although the Argentinian data are 30–45 years old, they were recently (5 years ago) updated using LMS to provide growth charts. In addition, WC is frequently measured at different anatomical landmarks which cause problems with comparisons. We ask the readers to bear this information in mind.
5. Conclusions
In summary, the P50 of height, body mass and WC of Peruvian children increased with age and variability was higher in the older age intervals. BMI showed a decline from 4 years to 6 years of age and then increased through 17 years. Growth patterns of Peruvian children in height, body mass, BMI and WC were similar to those observed in North-American and Argentinean peers, but differences in values were observed. Peruvian children were shorter, lighter and had higher BMI values than North-American and Argentinean counterparts. In contrast, the WC of Peruvian children was lower than North-American and Argentinean age- and sex-specific peers.
Acknowledgments
The authors are grateful to the Portuguese Foundation for science and technology by the child support grant (SFRH/BD/43305/2008). The authors thank all the schoolchildren of Barranco, Junín, San Ramon and La Merced who participated in this study. Also thank all the students and teachers of the UNE’s Physical Education who contributed in the data collection. Finally, a recognition to Gaston Beunen† who was one of the promoters of the Healthy and Optimistic Growth Study.
Author Contributions
Alcibiades Bustamante collected the data, undertook the data analysis and interpretation, and led the writing of the article. Duarte Freitas, Huiqi Pan and Peter T. Katzmarzyk contributed to drafting the paper and interpreting data analyses. José Maia conceptualized and designed the study, organized and supervised data collection and management, and contributed to drafting the paper. All authors read and approved the final manuscript.
Conflicts of Interest
The authors report no conflicts of interest. The authors alone are responsible for the content and writing of the paper.
References
- Ulijaszek, S.J. The international growth standard for children and adolescents project: Environmental influences on preadolescent and adolescent growth in weight and height. Food Nutr. Bull. 2006, 27, S279–S294. [Google Scholar] [PubMed]
- Thomis, M.A.; Towne, B. Genetic determinants of prepubertal and pubertal growth and development. Food Nutr. Bull. 2006, 27, S257–S278. [Google Scholar] [PubMed]
- Eveleth, P.B.; Tanner, J.M. Worldwide Variation in Human Growth, 2nd ed.; Cambridge University Press: Cambridge, UK, 1990. [Google Scholar]
- Molinari, L.; Gasser, T.; Largo, R.H. Tw3 bone age: Rus/cb and gender differences of percentiles for score and score increments. Ann. Hum. Biol. 2004, 31, 421–435. [Google Scholar] [CrossRef] [PubMed]
- Tanner, J.M. Growth as a mirror of the condition of society: Secular trends and class distinctions. Acta Paediatr. Jpn. Overseas Ed. 1987, 29, 96–103. [Google Scholar] [CrossRef]
- Butte, N.E.; Garza, C.; de Onis, M. Evaluation of the feasibility of international growth standards for school-aged children and adolescents. Food Nutr. Bull. 2006, 27, S169–S174. [Google Scholar] [PubMed]
- Goldstein, H.; Tanner, J.M. Ecological considerations in the creation and the use of child growth standars. Lancet 1980, 1, 582–585. [Google Scholar] [CrossRef] [PubMed]
- Kulaga, Z.; Litwin, M.; Tkaczyk, M.; Rozdzynska, A.; Barwicka, K.; Grajda, A.; Swiader, A.; Gurzkowska, B.; Napieralska, E.; Pan, H. The height-, weight-, and bmi-for-age of polish school-aged children and adolescents relative to international and local growth references. BMC Public Health 2010, 10. [Google Scholar] [CrossRef] [PubMed]
- De Onis, M.; Garza, C. Rationale for developing a new international growth standard. In The Who Multicentre Growth Reference Study (Mgrs): Rationale, Planning, and Implementation; de Onis, M., Garza, C., Victora, C.G., Bhan, M.K., Norum, K.R., Eds.; Food and Nutrition Bulletin: Tokyo, Japan, 2004; Volume 25, (Suppl. 1), pp. S5–S14. [Google Scholar]
- Lejarraga, H.; del Pino, M.; Fano, V.; Caino, S.; Cole, T.J. Growth references for weight and height for argentinian girls and boys from birth to maturity: Incorporation of data from the world health organisation from birth to 2 years and calculation of new percentiles and lms values. Arch. Argent. Pediatr. 2009, 107, 126–133. [Google Scholar] [PubMed]
- Baya Botti, A.; Perez-Cueto, F.J.; Vasquez Monllor, P.A.; Kolsteren, P.W. Anthropometry of height, weight, arm, wrist, abdominal circumference and body mass index, for bolivian adolescents 12 to 18 years: Bolivian adolescent percentile values from the mesa study. Nutr. Hosp. 2009, 24, 304–311. [Google Scholar] [PubMed]
- Guedes, D.P.; Guedes, J.R.P. Crescimento Composição Corporal e Desempenho Motor de Crianças e Adolescentes; Balieiro: São Paulo, Brazil, 1997. [Google Scholar]
- Marcondes, E. Crescimento Normal e Deficiente, 3rd ed.; Sarvier: São Paulo, Brazil, 1989. [Google Scholar]
- Silva, S.; Maia, J.; Claessens, A.L.; Beunen, G.; Pan, H. Growth references for brazilian children and adolescents: Healthy growth in cariri study. Ann. Hum. Biol. 2012, 39, 11–18. [Google Scholar] [CrossRef] [PubMed]
- Jordán, J.R. Desarrollo Humano en Cuba; Científico Técnica: La Habana, Cuba, 1979. [Google Scholar]
- FUNDACREDESA. Cartas de Crecimiento. Available online: http://www.fundacredesa.gob.ve (accessed on 14 December 2008).
- Instituto Nacional de Estadística e Informática. Perfil Sociodemográfico del Perú; INEI: Lima, Peru, 2008. [Google Scholar]
- International Monetary Fund. Available online: http://www.imf.org/external/about.htm (accessed on 26 December 2013).
- Kuczmarski, R.J.; Ogden, C.L.; Guo, S.S.; Grummer-Strawn, L.M.; Flegal, K.M.; Mei, Z.; Wei, R.; Curtin, L.R.; Roche, A.F.; Johnson, C.L. 2000 CDC growth charts for the united states: Methods and development. In Vital and Health Statistics. Series 11, Data from the National Health Survey; National Center for Health Statistics: Hyattsville, MD, USA, 2002; pp. 1–190. [Google Scholar]
- Cook, S.; Auinger, P.; Huang, T.T. Growth curves for cardio-metabolic risk factors in children and adolescents. J. Pediatr. 2009, 155, S6.e15–S6.e26. [Google Scholar] [CrossRef] [PubMed]
- Alfaro, E.; Bejarano, I.; Dipierri, J.; Quispe, Y.; Cabrera, G. Percentilos de peso, talla e índice de masa corporal de escolares jujeños calculados por el método lms. Arch. Argent. Pediatr. 2004, 102, 431–439. [Google Scholar]
- Hirschler, V.; Delfino, A.M.; Clemente, G.; Aranda, C.; Calcagno, M.d.L.; Pettinicchio, H.; Jadzinsky, M. ¿Es la circunferencia de cintura un componente del síndrome metabólico en la infancia? Arch. Argent. Pediatr. 2005, 103, 7–13. [Google Scholar]
- Lohman, T.; Roche, A.; Martorell, R. Anthropometric Standardization Reference Manual; Human Kinetics Books: Champaign, IL, USA, 1988. [Google Scholar]
- Cole, T.J.; Green, P.J. Smoothing reference centile curves: The LMS method and penalized likelihood. Stat. Med. 1992, 11, 1305–1319. [Google Scholar] [CrossRef] [PubMed]
- Pan, H.; Cole, T. Lmschartmaker Pro, version 2.54; Medical Research Council: London, UK, 2011.
- Royston, P.; Wright, E.M. Goodness-of-fit statistics for age-specific reference intervals. Stat. Med. 2000, 19, 2943–2962. [Google Scholar] [CrossRef] [PubMed]
- Van Buuren, S.; Fredriks, M. Worm plot: A simple diagnostic device for modelling growth reference curves. Stat. Med. 2001, 20, 1259–1277. [Google Scholar] [CrossRef] [PubMed]
- Pan, H.; Cole, T.J. A comparison of goodness of fit tests for age-related reference ranges. Stat. Med. 2004, 23, 1749–1765. [Google Scholar] [CrossRef] [PubMed]
- Uauy, R.; Albala, C.; Kain, J. Obesity trends in latin america: Transiting from under-to overweight. J. Nutr. 2001, 131, 893S–899S. [Google Scholar] [PubMed]
- Rolland-Cachera, M.F.; Deheeger, M.; Bellisle, F.; Sempe, M.; Guilloud-Bataille, M.; Patois, E. Adiposity rebound in children: A simple indicator for predicting obesity. Am. J. Clin. Nutr. 1984, 39, 129–135. [Google Scholar] [PubMed]
- Frisancho, A.R.; Baker, P.T. Altitude and growth: A study of the patterns of physical growth of a high altitude peruvian quechua population. Am. J. Phys. Anthropol. 1970, 32, 279–292. [Google Scholar] [CrossRef] [PubMed]
- Moore, L.G.; Niermeyer, S.; Zamudio, S. Human adaptation to high altitude: Regional and life-cycle perspectives. Am. J. Phys. Anthropol. 1998, 107, 25–64. [Google Scholar] [CrossRef]
- Greksa, L.P. Growth and development of andean high altitude residents. High Alt. Med. Biol. 2006, 7, 116–124. [Google Scholar] [CrossRef] [PubMed]
- Pawson, I.G.; Huicho, L.; Muro, M.; Pacheco, A. Growth of children in two economically diverse peruvian high-altitude communities. Am. J. Hum. Biol. 2001, 13, 323–340. [Google Scholar] [CrossRef] [PubMed]
- Hartinger, S.; Tapia, V.; Carrillo, C.; Bejarano, L.; Gonzales, G.F. Birth weight at high altitudes in Peru. Int. J. Gynaecol. Obstet. 2006, 93, 275–281. [Google Scholar] [CrossRef]
- Dietz, W.H.; Bellizzi, M.C. Introduction: The use of body mass index to assess obesity in children. Am. J. Clin. Nutr. 1999, 70, 123S–125S. [Google Scholar] [PubMed]
- Janssen, I.; Katzmarzyk, P.T.; Ross, R. Waist circumference and not body mass index explains obesity-related health risk. Am. J. Clin. Nutr. 2004, 79, 379–384. [Google Scholar] [PubMed]
- Hernandez-Diaz, S.; Peterson, K.E.; Dixit, S.; Hernandez, B.; Parra, S.; Barquera, S.; Sepulveda, J.; Rivera, J.A. Association of maternal short stature with stunting in mexican children: Common genes vs common environment. Eur. J. Clin. Nutr. 1999, 53, 938–945. [Google Scholar] [CrossRef] [PubMed]
- Del-Rio-Navarro, B.E.; Velazquez-Monroy, O.; Santos-Preciado, J.I.; Lara-Esqueda, A.; Berber, A.; Loredo-Abdala, A.; Violante-Ortiz, R.; Tapia-Conyer, R. Mexican anthropometric percentiles for ages 10–18. Eur. J. Clin. Nutr. 2007, 61, 963–975. [Google Scholar] [CrossRef] [PubMed]
- Harrington, D.M.; Staiano, A.E.; Broyles, S.T.; Gupta, A.K.; Katzmarzyk, P.T. Waist circumference measurement site does not affect relationships with visceral adiposity and cardiometabolic risk factors in children. Pediatr. Obes. 2013, 8, 199–206. [Google Scholar] [CrossRef] [PubMed]
- Instituto Nacional de Salud. Informe Gerencial Nacional Sien: Estado Nutricional en Niños Menores de 5 Años y Gestantes Que Acuden a los Establecimientos de Salud; INS: Lima, Peru, 2011; p. 27. [Google Scholar]
- Alvarez-Dongo, D.; Sanchez-Abanto, J.; Gomez-Guizado, G.; Tarqui-Mamani, C. Overweight and obesity: Prevalence and determining social factors of overweight in the peruvian population (2009–2010). Rev. Peru. Med. Exp. Salud Publica 2012, 29, 303–313. [Google Scholar] [PubMed]
- Bustamante, A.; Seabra, A.; Garganta, R.; Maia, J. Efectos de la actividad física y del nivel socioeconómico en el sobrepeso y obesidad de escolares, lima este 2005. Rev. Peru. Med. Exp. Salud Publica 2007, 24, 121–128. [Google Scholar]
© 2015 by the authors; licensee MDPI, Basel, Switzerland. This article is an open access article distributed under the terms and conditions of the Creative Commons Attribution license (http://creativecommons.org/licenses/by/4.0/).