Abstract
China’s rapid economic growth is accompanied by increasing energy consumption and severe environmental problems. As sustainable development can only be achieved by reducing energy intensity, new energy and renewable energy investment, as well as improving traditional energy efficiency, is becoming increasingly important. However, past energy efficiency assessments using data envelopment analysis (DEA) models mostly focused on radial and non-radial DEA model analyses. However, traditional radial DEA models ignore non-radial slacks when evaluating efficiency values, and non-radial DEA models ignore the same proportionality as radial DEA when evaluating efficiency value slacks. To balance the radial and non-radial model characteristics and consider undesirable output, this study combines a modified Epsilou-based measure (EBM) DEA and undesirable output and proposes a modified undesirable EBM DEA model to analyze the efficiency of China’s new and traditional energy sources. The empirical results found that (1) most new energy investment in most municipalities/provinces rapidly grew from 2013 to 2016; (2) as the annual efficiency score was only 1 in Beijing, Inner Mongolia, Shanghai, and Tianjin, the other 26 municipalities/provinces need significant improvements; (3) traditional energy efficiency scores were higher than new energy efficiency; and (4) NO2 efficiencies are slightly better than CO2 and SO2 efficiencies.
1. Introduction
Energy drove the rapid economic growth in China, most of which was supplied from low-efficiency fossil energy sources. However, because fossil energy sources are limited and their use for power generation causes excessive carbon emissions that aggravate the greenhouse effect, the sustainable development of both natural and human environments is endangered. Therefore, in the past few decades, there was increased attention paid to new and renewable energies as a core alternative, as they are more environmentally friendly and sustainable than fossil fuels. Reducing energy use and improving energy efficiency by actively developing green and environmentally friendly new energy sources can guarantee a better life for future generations.
As China became the world’s leading energy consumer and the country that emits the highest carbon emissions, the Chinese government stated that, by 2030, the proportion of non-fossil fuels for energy consumption should rise to above 20%. China is also actively promoting a low-carbon economy that has high-efficiency and low-carbon emissions to improve the deteriorating environmental quality and ensure sustainable development. To reduce energy use and accelerate the generation of new energy, today’s new energy technologies are characterized by high performance, high efficiency, low cost, and low pollution.
Past energy research tended to focus more on energy efficiency than energy diversity [1,2,3,4,5,6,7,8,9,10,11,12]. However, in more recent years, there was a greater focus on the benefits of renewable energy and sustainable energy development [13,14,15,16,17,18,19,20,21,22,23,24,25,26,27,28] using data envelopment analysis (DEA) analysis models such as the radial CCR (Charnes, Cooper and Rhodes) and BCC (Banker, Charnes and Cooper) models or the non-radial slack-based model (SBM) or directional distance function (DDF) models. Unfortunately, because traditional radial DEA models ignore non-radial slacks and non-radial DEA models ignore the same proportionality as the radial DEA, they are not suitable for gaining a true picture of energy efficiency. To solve this problem, Tone and Tsutsui [29] suggested an Epsilou-based measure (EBM) variable range that was not limited and added an undesirable variable factor, which they called the modified undesirable SBM model. Therefore, this model was used in this paper to assess the energy efficiency of four Chinese municipalities and 26 provinces from 2013–2016 to avoid underestimating or overestimating the efficiency values and needed improvements.
Furthermore, although there were a number of new energy efficiency assessments suggested, there is a lack of general discussion about new energy and traditional energy efficiency. Therefore, to evaluate and analyze the environmental efficiency of new energy and traditional energy sources in four Chinese municipalities and 26 provinces from 2013–2016, this study used a modified undesirable EBM DEA model that had labor, fixed assets, new energy, and energy consumption as the input indicators, gross domestic product (GDP) as the output indicator, and CO2, SO2, and NO2 as the undesirable variable output indicators.
2. Literature Review
Data envelopment analysis (DEA) is a widely used linear programming technique. It evaluates the relative efficiency of a decision-making unit (DMU) based primarily on the concept of the Pareto optimal solution. DEA is an effective method to evaluate the priority of multiple decision-making schemes in a multi-oriented environment. Its main function is to establish an efficiency index by a set of evaluated decision-making units by measuring more than two attributes. This efficiency index forms the frontier of an efficiency boundary through the linear programming method by the input and output variable data of each DMU, and determines the relative efficiency of individual DMUs according to the distance between each DMU and the efficiency boundary. DEA uses a mathematical model to determine the production frontier. DEA differs from the stochastic frontier approach (SFA) in that it requires a preset production function. It is also different from multi-criteria decision analysis (MDA) when evaluating performance. The objectivity of weight is limited. DEA is considered to be more suitable for assessing company or industry performance than other methods (such as SFA) [30,31,32], and because of DEA requires very few assumptions and opened up possibilities for its use in many cases [33], the scope of DEA application was expanded to many industries. In recent years, DEA was widely used in energy efficiency [34,35,36,37,38].
As early research tended to be focused on environmental protection, it mainly discussed the impact of excessive greenhouse gas emissions on the global ecological environment, and any analyses were generally focused on energy efficiency. For example, Hu and Wang [1] used a modified radial DEA model to analyze China’s energy and found that economic growth boosted China’s energy efficiency. Yeh et al. [2] used a radial DEA model to analyze the energy efficiency of China and Taiwan, and found that Taiwan’s energy efficiency was higher than that of eastern China. Shi et al. [3] used a radial DEA model to analyze China’s energy efficiency, and found that energy efficiency in eastern China was the best. Choi et al. [4] used a slack-based DEA to analyze China’s energy efficiency, finding that China’s carbon dioxide efficiency was poor. Wu et al. [5] used radial DEA and Malmquist methods to explore energy efficiency in eastern, western, and central regions of China, and found that the average energy efficiency in eastern and central China was higher. In more recent research, Chang [6] used radial DEA to explore European Union (EU) energy efficiency and found that the main reason for the increase in energy intensity was whether the needed improvements were made. Wang and Wei [7] used a DDF model to analyze China’s energy efficiency and found that there was a significant growth in carbon dioxide emissions. Cui et al. [8] used radial DEA and Malmquist methods to analyze the relationship between management, technical indicators, and energy efficiency. Wu et al. [9] used a Russell measure model to explore China’s energy efficiency and found that excess energy was the main cause of poor energy efficiency. Pang et al. [10] used an SBM DEA to analyze the efficiency of 87 countries and found that European countries were more efficient in reducing emissions and had better energy efficiency. Guo et al. [11] also used SBM dynamic DEA to analyze the energy efficiency of 27 countries and found that all improved their energy efficiencies. Feng et al. [12] used a meta-frontier DEA to study the energy efficiency of 30 provinces in China and found that CO2 efficiency was generally low.
In addition to the above energy efficiency research, with the growth in pollution and carbon dioxide emissions, there was increased attention paid to new energy issues, renewable energy, and sustainable development. For example, Hoang and Rao [15] used a non-radial DEA to analyze the total efficiency of 29 OECD countries, and found that the sustainable efficiency varied enormously. Shiau and Jhang [16] used radial DEA to analyze the efficiency of Taiwan’s transportation system, and observed that, when the three core indicators (service impact, cost efficiency, and service reduction) were excellent, the transportation system could continue to develop. Camioto et al. [24] used an SBM DEA to analyze the overall efficiency of various industries in Brazil, finding that the textile industry was the most efficient industry in Brazil, and the metallurgical industry was the least efficient. Wang [25] used an SBM DEA to analyze the efficiency of 109 countries, finding that high-income countries performed best in terms of sustainable energy.
There are two major research directions for new energy issues: the impact of new energy on GDP or CO2, and new energy policy and efficiency assessments. Research on the impact of new energy on GDP or CO2 was mainly based on OLS (ordinary least square), VECM (vector error correction model), Panel, ECM (Error correction mechanism), ARDL (Autoregressive Distributed Lag), and VAR (vector autroregession) regression analyses [39,40,41,42,43,44,45,46,47]. Research also mainly explored new energy efficiencies and recommended the adoption of new energy policies. For example, Chien and Ho [13] used a radial DEA to analyze the total efficiency of 45 OECD (Economic Co-operation and Development) economies, and found that an increase in renewable energy improved technical efficiency. Honma and Hu [14] studied energy efficiency indicator structures in 47 metropolitan areas in Japan from 1993 to 2003, and found that renewable energy development was difficult to promote due to its excessive costs, which suggested that the government should encourage inefficient regions to change their industrial structures to reduce energy consumption. Blokhuis et al. [17] also used radial DEA to analyze the efficiency of new energy in the Netherlands and found that wind energy was able to improve technical efficiency. Boubaker [18] used radial DEA to analyze the energy efficiency of Morocco, Algeria, and Tunisia, and found that energy diversification was a common interest. Sueyoshi et al. [21] studied United States environmental efficiency and observed that a clean air act (CAA) was needed to improve carbon dioxide emissions. Fagiani et al. [20] explored the role played by renewable energy in power generation portfolios to reduce emissions in the power sector. Menegaki and Gurluk [19] compared renewable energy performances in Turkey and Greece, finding that Greece delayed its renewable energy development due to its economic crisis. Azande et al. [23] used fuzzy DEA to study Iranian wind power plants, concluding that consumer proximity was important to wind farm siting. Sueyoshi and Goto [22] used radial DEA to assess the efficacy of 160 photovoltaic power plants in Germany and the United States, finding that photovoltaic power plants in Germany were more efficient. Kim et al. [26] used a radial DEA method for an energy assessment and found that wind power was the most efficient renewable energy source for Korean government investment. Zhang and Xie [27] used a non-radial DDF method to explore renewable energy and sustainable development in China, concluding that China’s environmental supervision costs increased significantly from 1991 to 2005. Guo et al. [28] used a modified SBM model to explore energy savings and pollutant reductions in China, and came to the conclusion that the government needed to introduce new technologies to maintain economic development, and that all regions needed to pay attention to energy and pollution issues.
Therefore, while there were many previous papers that employed DEA for new energy efficiency assessments, there were few that jointly evaluated new energy and traditional energy efficiency. Furthermore, the main evaluation methods were radial or non-radial DEA models, both of which were shown to be prone to efficiency underestimations or overestimations. To solve this problem, in this paper, an undesirable variable factor was added to Tone and Tsutsui’s [29] EBM to propose a modified undesirable SBM Model to evaluate the energy efficiency of four municipalities and 26 provinces in China.
3. Research Method
Based on Farrell’s [48] concept of “boundary” in data envelopment analysis, Charnes et al. [49] developed the CCR DEA model with a fixed-scale returns assumption, after which Banker et al. [50] extended these assumptions to propose a BCC model that measured technical efficiency (TE) and scale efficiency (SE). However, as both CCR and BCC were radial DEA models that ignore non-radial slacks when evaluating efficiency values, Tone [51] proposed a slack-based measure (SBM) in 2001 that used a difference variable as the basis for measurement, considering the slack in the input and output items and a scalar variable in the non-radial estimation methods to present SBM DMU (decision-making unit) efficiency values between 0 and 1, for which an efficiency value of 1 indicated that the DMU had no slack on the production boundary regardless of the input or output items. However, as the SBM was a non-radial DEA model, it failed to consider the radial characteristics; that is, it ignored the characteristics that had the same radial proportions. To address the shortcomings in both the radial and non-radial models, Tone and Tsutsui [29] then proposed the EBM (Epsilou-based measure) DEA model, that was input-oriented, output-oriented, and non-oriented, and was able to resolve the shortcomings in radial and non-radial DEA models.
Tone and Tsutsui’s [29] EBM DEA description for the input-oriented, output-oriented, and non-oriented model and solution is outlined below.
In the input-oriented EBM Model, the situation of resource inputs at the same output level is compared.
In the output-oriented EBM Model, the situation of output achievements at the same input level is compared.
3.1. Non-Oriented EBM: Simultaneous Assessment of Inefficiency from Both Input and Output Perspectives
Suppose there are DMUs, , that have type inputs , that produce an type output ; then, the efficiency of the DMU is:
where Y is the DMU output, X is the DMU input, is the slack variable, is the surplus variable, is the weight of input , , is the weight of output S, , is a combination of radial and non-radial slack, and is a combination of radial and non-radial slack.
If DMU0 is the best efficiency for a non-oriented EBM, then if an inefficient DMU wants to achieve an appropriate efficiency goal, the following adjustments are needed:
3.2. Empirical Model in This Study: A Modified Undesirable EBM DEA Model
Because Tone and Tsutsui’s [29] EBM had no restrictions for the range of θ and η variables and did not consider any undesirable factors, this paper combines the modified EBM DEA and an undesirable factor for the evaluation of the energy efficiency of 30 mainland Chinese municipalities/provinces so as to avoid underestimating or overestimating the efficiency values.
In the modified undesirable EBM DEA model, the objective is to expand desirable outputs while simultaneously reducing inputs and undesirable output. The modified undesirable EBM DEA Model is described below.
Suppose there are DMUs, , using type inputs and producing type outputs ; then, the DMU efficiency is as follows
where Y is the DMU output, X is the DMU input, is the slack variable, is the desirable slack variable, is the undesirable slack variable, is the weight of input , , is the weight of output S, is the combination of radial and non-radial slack, and is the combination of radial and non-radial slack.
If = 1 is the best efficiency for the non-oriented EBM, then an inefficient DMU needs the following adjustments to achieve the most appropriate efficiency goal:
3.3. New Energy, Energy Consumption, and CO2, SO2, and NO2 Efficiency Indices
Hu and Wang’s [1]’s total-factor energy efficiency index is used in this paper to overcome any possible bias in the traditional energy efficiency indicators. For each specific evaluated municipality or province, the GDP, energy consumption (ENG), new energy (NENG), and CO2, SO2, and NO2 efficiencies were calculated using Equations (3)–(8).
If the target ENG and NENG input are equal to the actual input and the CO2, SO2, and NO2 are equal to the actual undesirable outputs, then the ENG, NENG, and CO2, SO2, and NO2 efficiencies are equal to 1, indicating overall efficiency. If the target ENG and NENG input is less than the actual input and the CO2, SO2, and NO2 undesirable outputs are less than the actual undesirable outputs, then the ENG, NENG, and CO2, SO2, and NO2 efficiencies are less than 1, indicating overall inefficiency.
If the target GDP desirable output is equal to the actual GDP desirable output, then the GDP efficiency is equal to 1, indicating overall efficiency. If the actual GDP desirable output is less than the target GDP desirable output, then the GDP efficiency is less than 1, indicating overall inefficiency.
4. Empirical Analyses
4.1. Data Sources and Description
This study used 2013 to 2016 panel data from 30 Chinese municipalities/provinces in the most developed areas in China. The socio-economic development data were collected from the Chinese Statistical Yearbooks [52], the Demographics and Employment Statistical Yearbook of China, and the City Statistical Yearbooks [53]. Air pollutant data were collected from the Chinese Environmental and Protection Bureau Annual Reports and the Chinese Environmental Statistical Yearbooks [54].
As the 30 municipalities/provinces have different populations, industries, natural resources, meteorological conditions, and geographical positions, they were fairly representative of the pollution emissions and treatment situations in China.
The input indicator variables used in this study were labor, fixed assets, new energy, and traditional energy consumption, the output indicator was GDP, and CO2, SO2, and NO2 were the undesirable output (Table 1).
Table 1.
Input and output variables. GDP—gross domestic product.
4.1.1. Input Variables
Labor input (lab): this study used the number of employees in each municipality/province at the end of each year (unit = people).
Capital input (assets): the capital stock was calculated based on the fixed asset investments in each municipality/province (unit = 100 million Chinese yuan (CNY)).
Energy consumption (com): this was calculated from the total energy consumption in each municipality/province (unit = 100 million tons).
New energy (new). In October 2012, the State Council issued “China’s energy policy 2012” Chapter 4 [55], developing new and renewable energy, in which nuclear energy is a key project for the development of new energy in the country, aiming to optimize the energy structure and ensure national energy security. Due to the nuclear disaster caused by the 2011 earthquake in Japan, it is still controversial whether countries can summarize nuclear energy into green energy.
For China’s development, because of the continuous improvement of science and technology, new energy generally refers to the development of new technologies including hydropower, wind power, solar energy, biomass energy, nuclear energy, geothermal energy, wave energy, ocean current energy, tidal energy, and combustible ice. Microbial energy, hydrogen energy, and fourth-generation nuclear energy are all important projects for China’s future energy development.
Thus, new energy included solar energy, nuclear energy, and wind power. It was calculated from the total energy consumption in each municipality/province (unit = 100 million tons).
4.1.2. Output Variable
GDP: the GDP in each municipality/province was applied as the output (unit = 100 million CNY). The GDP data were extracted from each province’s statistical yearbook for the given period.
4.1.3. Undesirable Output
The CO2 (carbon dioxide) emissions data for each municipality/province were estimated from the energy consumption. CO2 emissions are a primary cause for the changes being experienced in earth temperatures and the rising sea levels. CO2, unlike other air pollutants, is used as the sole carbon emissions measure for global solutions to climate change. SO2 (sulfur dioxide), which is released naturally by volcanic activity, is also a by-product from the burning of fossil fuels contaminated with sulfur compounds. NO2 (nitrogen dioxide), which is from a group of highly reactive gases known as nitrogen oxides (NX), is an intermediate gas resulting from the industrial synthesis of nitric acid, millions of tons of which are produced each year. At higher temperatures, it is a reddish-brown gas that has a characteristic sharp, biting odor and is one of the most prominent air pollutants.
4.2. Statistical Analysis
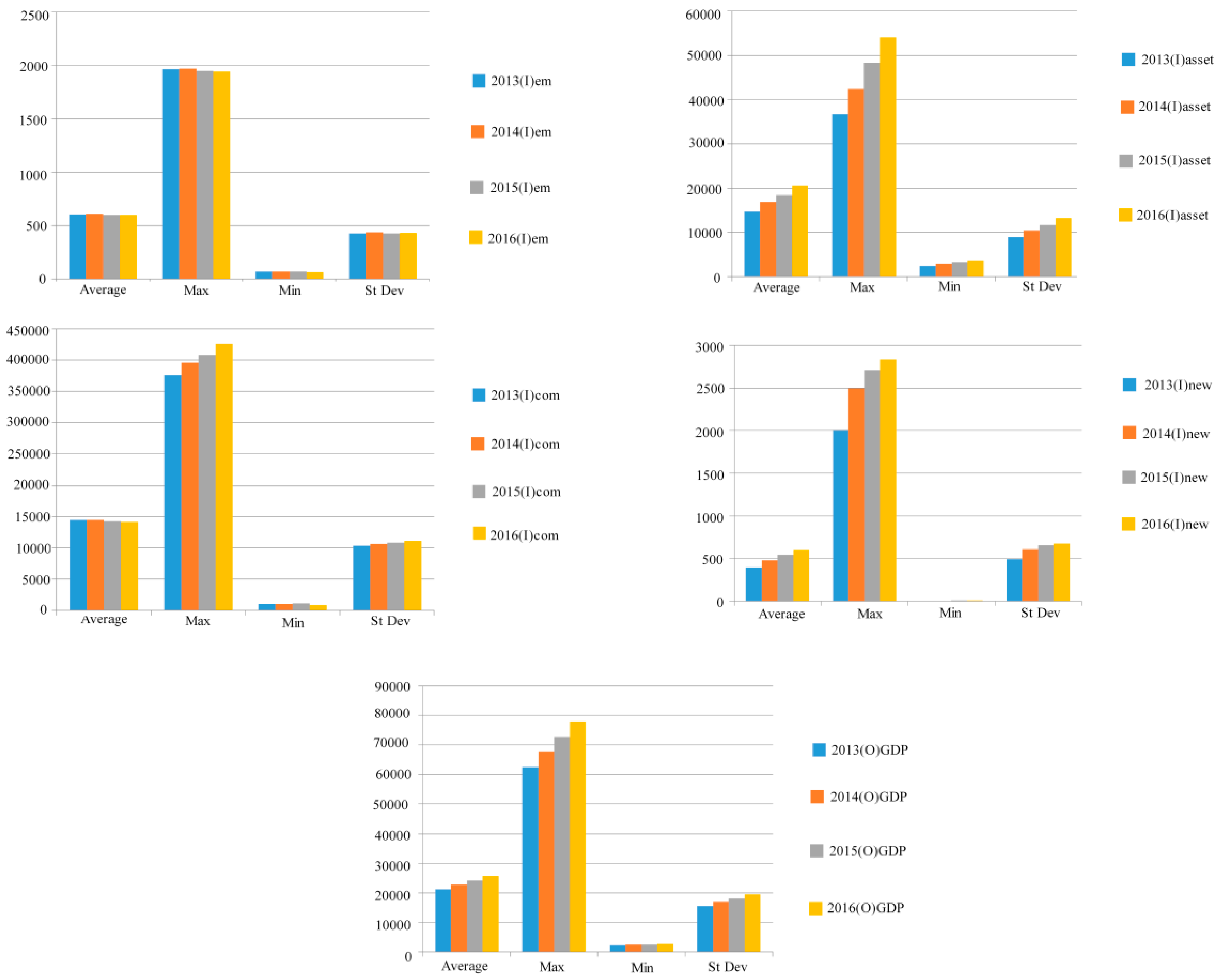
Figure 1 shows the statistical analyses for the employed population, fixed assets, traditional energy consumption inputs, new energy production inputs, and GDP. From the statistical analysis, it can be seen that the maximum and average number of employed people declined from 2014, and investment in fixed assets rose significantly. The average GDP maintained a steady upward trend, where the maximum GDP had a relatively large upward trend, and minimum GDP slowly increased. Although the average value of traditional energy sources continued to decline slightly, the maximum traditional energy consumption continued to rise, and the minimum value experienced only a marginal rise. The total new energy production was smaller than the traditional energy consumption; however, from 2012 to 2013, there was a significant increase from 2000 tons to 2500 tons with a further rise from 2013 to 2016. Therefore, it can be seen from the rapid growth that, under central government guidance, most municipalities and provinces were seriously investing in new energy.
Figure 1.
Input and output indicators. Sources: the Chinese Statistical Yearbooks [52], the Demographics and Employment Statistical Yearbook of China, and the City Statistical Yearbooks [53]. Air pollutant data were collected from the Chinese Environmental and Protection Bureau Annual Reports and the Chinese Environmental Statistical Yearbooks [54].
4.3. Empirical Analysis of the Modified Undesirable EBM DEA
This study used a modified Undesirable EBM DEA model to analyze the energy efficiencies in 30 Chinese municipalities/provinces.
4.3.1. Epsilon Score Analysis
The sample Epsilon score in this study compared the radial DEA and the non-radial DEA. The main radial analysis was close to 0 and the main non-radial analysis was close to 1. Table 2 indicates that the radial DEA model was more appropriate for this analysis.
Table 2.
Epsilon score. EBM—Epsilou-based measure.
4.3.2. Annual Efficiency
Table 3 shows the total efficiency scores for the four municipalities (Beijing, Shanghai, Tianjin, and Chongqing) and the 26 provinces from 2013 to 2016. It can be seen that total efficiencies of 1 were achieved by Beijing, Inner Mongolia, Shanghai, and Tianjin, with the other municipalities/provinces having relatively high total annual efficiencies. The areas with a full four-year efficiency score below 0.6 include Gansu, Guizhou, Xinjiang, and Yunnan, where Gansu is the worst of the 30 cities with an efficiency score below 0.5 in the full four years, and the efficiency score continually dropped to 0.41 in 2016, suggesting very large room of improvement. In addition to the four regions with an efficiency score of 1, the four-year efficiency scores of the other 26 regions showed different trends. It can be seen that only four regions had a total efficiency score that continued to rise or fluctuate including Guizhou, Heilongjiang, Liaoning, and Sichuan. The biggest increase was in Liaoning, rising from 0.74 in 2013 to 1 in 2016, and the efficiency improvement was significant. The overall efficiency scores of the other 22 regions continued to decline or fluctuate. In most areas, the decline was less than 0.1. Hebei had the highest decline, from 0.79 in 2013 to 0.66 in 2016.
Table 3.
Efficiency in each municipality (m)/province from 2013–2016. DMU—decision-making unit.
4.3.3. Comparison of Radial and Non-Radial Inefficiency Analysis for the Input and Output Indicators
Table 4 shows the 2013 input indicator inefficiency scores, radial inefficiency scores, and non-radial inefficiency scores. Gansu (0.35), Guizhou (0.31), Shanxi (0.31), Xinjiang (0.32), and Heilongjiang, Henan, Ningxia, and Qinghai provinces with inefficiencies of around 0.25 had the highest input indicator inefficiencies, followed by Chongqing and Jiangxi at around 0.2, with most other municipalities/provinces being between 0.1 and 0.2. From the comparison of the input indicator radial inefficiency and the non-radial inefficiency scores, it can be seen that most municipalities/provinces had higher radial inefficiency scores than non-radial inefficiency scores. However, the input indicator non-radial inefficiency scores in seven provinces (Fujian, Guangdong, Hainan, Hebei, Jiangsu, Shandong, and Zhejiang) were still slightly higher than the radial inefficiency scores. The input indicator inefficiency scores were mainly caused by the non-radial inefficiency scores, or were partly caused by the radial inefficiency scores and partly caused by the non-radial inefficiency scores.
Table 4.
2013 input and output indicator radial and non-radial inefficiency scores.
The output indicator inefficiency scores, the radial inefficiency scores, and the non-radial inefficiency scores were above 0.2 in nine provinces or municipalities: Gansu, Guizhou, Heilongjiang, Henan, Qinghai, Shanxi, Shaanxi, Xinjiang, and Yunnan. Moreover, the radial inefficiency scores were higher than the non-radial inefficiency scores, which indicated that the output inefficiency scores in these nine provinces were mainly caused by radial inefficiencies. Other municipalities/provinces had inefficiencies ranging from 0 to 0.2, with all scores being dominated by the radial inefficiency scores, as the non-radial inefficiency scores were smaller. Table 5 shows that there were only four provinces/municipalities with an inefficiency score of 0. These four regions are Beijing, Inner Mongolia, Shanghai, and Tianjin. There were four regions with the highest inefficiency scores, all with scores above 0.3, including Gansu, Guizhou, Shanxi, and Xinjiang. The lowest inefficiency score was in Guangdong, only about 0.11; the second lowest was in Shandong, with an inefficiency score around 0.13. In addition to the lowest inefficiency scores in the above two regions, there were other 11 regions with an inefficiency score below 0.2. The inefficiency scores for the remaining 13 regions ranged from 0.2 to 0.3. The data in the table analyzed the inefficiency scores for each region and were affected by radial and non-radial inefficiency scores. The output inefficiency scores of all regions were mainly affected by the radial inefficiency score.
Table 5.
2014 input and output indicator radial and non-radial inefficiency scores.
Table 6 shows that, in 2015, only Beijing, Inner Mongolia, Shanghai, and Tianjin had inefficiency scores of 0. The radial and non-radial inefficiency scores for the remaining 26 municipalities/provinces were generally higher than in 2014, with the inefficiency score for the Gansu input index being 0.4 or higher, followed by Shanxi and Xinjiang with an increase of 0.37. The inefficiency score in Shaanxi was 0.29, while that in Yunnan and Ningxia was 0.28, that in Qinghai was 0.27, and that in Guizhou and Henan was around 0.22. The input indicator inefficiency scores in the other nine municipalities/provinces were between 0.1 and 0.2. Gansu, Shanxi, and Xinjiang provinces had output indicator inefficiency scores above 0.3, whereas the output indicator inefficiency scores in Guizhou, Henan, Jiangxi, Ningxia, Qinghai, Shaanxi, and Yunnan ranged from 0.3 to 0.2. Anhui, Chongqing, Guangxi, Hebei, Heilongjiang, Hubei, Jilin, and Sichuan had inefficiency scores of between 0.1 to 0.2, and Fujian, Guangdong, Hainan, Hunan, Liaoning, Shandong, and Zhejiang had output indicator inefficiency scores from 0 to 0.1. Only Hainan, Hebei, Hunan, and Jiangsu were mainly affected by the non-radial inefficiency scores, with the scores in the other municipalities/provinces being mainly caused by the radial inefficiency scores. The output indicators indicated that, except for Liaoning, the output inefficiency in the other municipalities/provinces was mainly because of the radial inefficiency scores.
Table 6.
2015 input and output indicator radial and non-radial inefficiency scores.
Table 7 shows that, in 2016, only Beijing, Liaoning, Inner Mongolia, Shanghai, and Tianjin had inefficiency scores of 0. The radial and non-radial inefficiency scores for the remaining 25 municipalities/provinces were generally higher than in 2015. The input indicator inefficiency scores in Xinjiang, Shaanxi, Shanxi, Ningxia, Guizhou, and Gansu were above 0.3, and those in Yunnan, Qinghai, Jilin, Jiangxi, Henan, Heilongjiang, Hebei, Chongqing, and Anhui were between 0.2 and 0.3. Some municipalities/provinces had output indicator inefficiency scores exceeding 0.2, with Xinjiang, Shaanxi, and Gansu having output indicator inefficiency scores higher than 0.3. Except for Hainan, Hunan, Jiangsu, and Shandong, which were affected by the non-radial inefficiency scores, the input indicator inefficiency scores in most municipalities/provinces were generated from the radial inefficiency scores. Only the output indicator inefficiency scores in Shandong were mainly affected by the non-radial inefficiency scores, with all other municipalities/provinces being mainly affected by the non-radial efficiency scores.
Table 7.
2016 input and output indicator radial and non-radial inefficiency scores.
4.3.4. Efficiency of the Input and Output Indicators: Fixed Assets, Employees, GDP, Energy, New Energy, and CO2, SO2, and NO2
Table 8 shows the fixed asset and employment efficiencies in the municipalities/provinces from 2013 to 2016. As can be seen, there were significant fluctuations in the input indicator efficiencies across the municipalities/provinces. All municipalities/provinces had large fixed asset efficiency fluctuations, with only Beijing, Inner Mongolia, Shanghai, and Tianjin achieving fixed asset efficiency scores of 1. All other municipalities/provinces need significant improvement. The areas where the efficiency scores of fixed assets continued to rise or fluctuate include Guangdong, Guizhou, Hainan, Heilongjiang, Liaoning, Shandong, Sichuan, and Zhejiang. The efficiency scores of fixed assets in the other 18 regions showed sustained or fluctuating decline.
Table 8.
2013–2016 asset and employment (em) efficiencies.
The employment efficiency scores in all municipalities/provinces were higher, with those in Beijing, Inner Mongolia, Shanghai, and Tianjin achieving 1, while all others scored above 0.6. In most regions, this indicator fluctuated or continued to decline.
Table 9 shows the new energy, traditional energy consumption, and GDP efficiency scores in the municipalities/provinces. From the traditional energy consumption efficiency score, it can be seen that only the efficiency scores of Beijing, Inner Mongolia, Shanghai, and Tianjin were all 1. There is significant room for improvement in the efficiency of this indicator in other regions. The areas with a four-year efficiency score below or equal to 0.5 include Anhui, Gansu, Hebei, Heilongjiang, Jilin, Ningxia, Shanxi, Shaanxi, and Xinjiang. Among them, the least efficient was Shanxi, as its four-year efficiency score was only about 0.14, suggesting much room for improvement. It can be seen from the changes that the annual difference in the efficiency scores of each region was also large and presented different trends. Only seven regions, such as Guangxi, Guizhou, Liaoning, Qinghai, Sichuan, and Yunnan, had scores that fluctuated or continued to rise. The efficiency scores of the other 19 regions fluctuated or continued to decline.
Table 9.
2013–2016 new energy (New), energy (Con), and GDP efficiencies.
Compared with the traditional energy and other indicator efficiencies, the new energy efficiencies were generally very low, and had obvious fluctuations. In addition to Beijing, Inner Mongolia, Shanghai, and Tianjin had new energy efficiencies of 1 for four consecutive years, whereas most other areas have much room for improvement. Only Henan’s new energy efficiency scores ranged from 0.11 to 0.15 for all four years. Anhui, Jiangsu, and Shandong had a new energy efficiency score of 0.1 to 0.2 for one or two years.
The other 23 regions had new energy efficiency scores below 0.1, which suggests great room for improvement. New energy efficiency scores in all 26 regions suggest room for improvement, as they continued to decline or fluctuated.
The GDP efficiency scores in all municipalities/provinces were high, with most being over 0.8. However, there were few fluctuations and the efficiencies generally remained around the same or slightly declined over the four years, with only Guizou, Heilongjiang, Hunan, and Liaoning showing a small increase in efficiency and volatility, whereas the efficiency of the other 22 regions continued to decline or fluctuated slightly.
Table 10 shows the 2013–2016 CO2, SO2, and NO2 efficiency scores in the municipalities/provinces.
Table 10.
2013–2016 CO2, SO2, and NO2 efficiencies.
The CO2 efficiencies varied significantly across the municipalities/provinces. The CO2 efficiency scores in Beijing, Inner Mongolia, Shanghai, and Tianjin were 1 for all four years, and the CO2 efficiency scores in other regions varied widely. For example, Anhui, Gansu, Guizhou, Hebei, Heilongjiang, Ningxia, Shanxi, Shaanxi, and Xinjiang all had scores lower than 0.4. Among them, Ningxia and Shanxi’s CO2 emission efficiency was very poor for all four years, with the highest only being 0.13 and 0.14, suggesting much room for improvement. Only the efficiency scores of seven regions including Guizhou, Qinghai, Sichuan, and Yunnan showed a small fluctuation or continued increase. The efficiency scores of the other 19 regions fluctuated or continued to decline, and the decline was significant.
The SO2 efficiencies in all municipalities/provinces were slightly higher than the CO2 efficiencies; however, there were large differences. While the SO2 efficiency scores in Beijing, Inner Mongolia, Shanghai, and Tianjin were 1, in the other municipalities/provinces, they tended to fluctuate over time. The worst performance was in Ningxia, which had an efficiency score of only 0.11 and below for all four years, followed by Shanxi and Xinjiang, both of which had a four-year efficiency score of less than 0.2 with a lot of room for improvement. There are five regions where all efficiency scores fluctuated or continued to rise, including Chongqing, Guangdong, Guizhou, Liaoning, and Sichuan. The largest increase was in Liaoning, rising from 0.44 in 2013 to 1 in 2016. The efficiency scores of the other 20 provinces/municipalities fluctuated or continued to decline. The largest decline was in Anhui, which fell from 0.64 in 2013 to 0.56 in 2016.
The NO2 efficiencies were relatively higher than the SO2 in most municipalities/provinces; however, there were also large differences. While the NO2 efficiencies in Beijing, Inner Mongolia, Shanghai, and Tianjin were 1 across all years, the NO2 efficiencies in the other municipalities/provinces fluctuated over time. Ningxia had the lowest efficiency for all four years, with the highest score being only 0.15 in 2013. Shanxi and Xinjiang followed, whereby all of its four-year efficiency scores were below 0.28. Gansu and Hebei’s four-year efficiency score was lower than 0.4, suggesting room for improvement. The efficiency scores of various regions also showed a large trend, but there were only five regions that fluctuated or continued to rise, including Guangdong, Guangxi, Guizhou, Henan, and Liaoning. The biggest increase was still in Liaoning, rising from 0.67 in 2013 to 1 in 2016. The other 21 regions experienced a small sustained or volatile decline.
The overall pollution analysis and the rankings for the different pollutants in each municipality/province are shown in Table 11.
Table 11.
Impact and analysis of the contaminant efficiencies.
5. Conclusions and Policy Implications
The rapid economic growth in China led to a significant rise in energy consumption, which in turn led to a rise in pollutant emissions and environmental problems, thereby threatening China’s sustainable development goals. Therefore, China needs to reduce its energy intensity through investment in new energy and renewable energy. This study proposed a modified undesirable EBM DEA model to analyze new and traditional energy efficiencies in 30 municipalities and provinces, the conclusions from which are given below.
- The comparison of the input and output indicator radial DEA and non-radial DEA inefficiency scores found that most input indicator inefficiencies were due to the radial DEA, with only a few municipalities/provinces having inefficiencies resulting from the non-radial DEA.
- The annual efficiency was 1 in Beijing, Inner Mongolia, Shanghai, and Tianjin for all four years from 2013–2016. The other 26 municipalities/provinces had large differences and required significant improvements. The annual total efficiency score changes in most municipalities/provinces had variable trends.
- The various input and output indicator efficiencies for employment, GDP, and fixed assets were generally higher. However, the traditional energy efficiency scores and new energy efficiency scores were generally low, with the new energy efficiency scores being lower than the traditional energy efficiency scores.
- The CO2, SO2, and NO2 efficiency scores varied widely, with the NO2 efficiencies being slightly better than the CO2 and SO2 efficiencies. However, the efficiency scores for these three undesirable outputs varied considerably across the municipalities/provinces.
Policy Implications
- Except for the municipalities/provinces that had efficiency scores of 1, only two or three provinces had overall upward efficiency trends; however, the overall annual efficiency in most other provinces declined, indicating that more effective measures are needed to improve the efficiency of new and traditional energy sources.
- Industrial restructuring needs to be accelerated and medium- and long-term development plans and energy plans need to be developed. In combination with the development and utilization of new technologies for traditional energy, we should actively promote the adjustment of energy structure and industrial structure. Traditional energy consumption plays and will continue to play an important role in urban development and economic growth for decades in the coming future. However, traditional energy consumption also brings problems such as increased CO2 emissions and air pollution, all of which affect sustainable development. Since China joined the Paris Climate Change Agreement on 3 September 2016, the Chinese government adopted a series of measures for domestic greenhouse gas emission reductions. The “13th Five-Year Plan” carbon intensity reduction target aims at controlling both total energy consumption and total energy intensity, strengthening low-carbon city pilot demonstrations, promoting the development of a national carbon trading market, and planning and implementing supporting policies and measures. At the same time, China is seeking to optimize its energy structure, with the proportion of coal being used for power generation dropping from 72% in 2005 to 64% in 2015, with a further drop to 60% expected by 2020. The empirical results suggested that increased CO2 emission reduction efforts are needed in Anhui, Jiangsu, Shandong, Shanxi, and Shaanxi, and further improvements are needed in Chongqing, Fujian, Gansu, Guangdong, Guangxi, Henan, Hubei, Hunan, Jiangxi, Qinghai, Sichuan, Xinjiang, Yunnan, and Zhejiang. NO2 emission reductions are needed in Guizhou and Liaoning, and all undesirable pollutant output indicators need to be improved in Jilin, Hebei, and Ningxia.
- Most regions need to actively strengthen the source control of air pollutant emissions. They need to actively develop and adopt new technologies and clean energy technologies to control the air pollutants of high-polluting manufacturing enterprises at the source and discharge process. The current main governance measure is end-of-pipe governance, whereby once mandatory end-of-pipe governance is not strictly enforced, as emissions of air pollutants from companies that need to recover from economic development still exist. Therefore, effective measures should be to encourage enterprises to adopt new technologies and clean energy use technologies to establish green ecological enterprise production through the production process of enterprises, and fundamentally reduce air pollutant emissions in the long run.
- Actively promoting the research, development, and utilization of clean renewable energy, and actively promoting the use of new energy in production are positive and effective measures to improve environmental efficiency. China’s renewable energy installed equipment capacity currently accounts for 16% to 20% of global capacity. Compared to traditional energy and other indicators, the new energy efficiencies in most municipalities/provinces were very low, except for Beijing, Inner Mongolia, Shanghai, and Tianjin, all of which had efficiencies of 1. Therefore, all municipalities/provinces need to put greater focus on new energy development and improving traditional energy efficiencies.
- Comprehensive governance plans and measures need to be developed to jointly manage carbon dioxide emissions and air pollutant emissions. In most regions, carbon dioxide emissions in recent years not only have room for improvement, but efficiency scores also showed a downward trend. Emissions and inefficiencies in air pollutants exacerbate the pressure on environmental protection efforts. It is necessary to explore and actively promote measures and policies to jointly manage carbon dioxide emissions and air pollutant emissions.
Author Contributions
Conceptualization, Y.L. and Y.-H.C.; Methodology, Y.L.; Software, Y.-H.C.; Validation, Y.L., Y.-H.C. and L.C.L.; Formal Analysis, Y.L.; Investigation, Y.-H.C.; Resources, L.C.L.; Data Curation, Y.L.; Writing-Original Draft Preparation, Y.L.; Writing-Review & Editing, Y.L.; Visualization, L.C.L.; Supervision, Y.-H.C.; Project Administration, Y.L.; Funding Acquisition, Y.L.
Funding
This study was financially supported by the National Natural Science Foundation of China (No. 71773082) and Sichuan Science Project (No. 2017ZR0033).
Conflicts of Interest
The authors declare no conflict of interest.
References
- Hu, J.L.; Wang, S.C. Total-factor energy efficiency of regions in China. Energy Policy 2006, 34, 3206–3217. [Google Scholar] [CrossRef]
- Yeh, T.-L.; Chen, T.-Y.; Lai, P.-Y. A comparative study of energy utilization efficiency between Taiwan and China. Energy Policy 2010, 38, 2386–2394. [Google Scholar] [CrossRef]
- Shi, G.-M.; Bi, J.; Wang, J.-N. Chinese regional industrial energy efficiency evaluation based on a DEA model of fixing non-energy inputs. Energy Policy 2010, 38, 6172–6179. [Google Scholar] [CrossRef]
- Choi, Y.; Zhang, N.; Zhou, P. Efficiency and abatement costs of energy-related CO2 emissions in China: A slacks-based efficiency measure. Appl. Energy 2012, 98, 198–208. [Google Scholar] [CrossRef]
- Wu, A.-H.; Cao, Y.-Y.; Liu, B. Energy efficiency evaluation for regions in China: An application of DEA and Malmquist indices. Energy Effic. 2014, 7, 429–439. [Google Scholar] [CrossRef]
- Chang, M.-C. Energy intensity, target level of energy intensity, and room for improvement in energy intensity: An application to the study of regions in the EU. Energy Policy 2014, 67, 648–655. [Google Scholar] [CrossRef]
- Wang, K.; Wei, Y.-M. China’s regional industrial energy efficiency and carbon emissions abatement costs. Appl. Energy 2014, 130, 617–631. [Google Scholar] [CrossRef]
- Cui, Q.; Kuang, H.-B.; Wu, C.-Y.; Li, Y. The changing trend and influencing factors of energy efficiency: The case of nine countries. Energy 2014, 64, 1026–1034. [Google Scholar] [CrossRef]
- Wu, J.; Lv, L.; Sun, J. A comprehensive analysis of China’s regional energy saving and emission reduction efficiency: From production and treatment perspectives. Energy Policy 2015, 84, 166–176. [Google Scholar] [CrossRef]
- Pang, R.-Z.; Deng, Z.-Q.; Hu, J.-L. Clean energy use and total-factor efficiencies: An international comparison. Renew. Sustain. Energy Rev. 2015, 52, 1158–1171. [Google Scholar] [CrossRef]
- Guo, X.; Lu, C.-C.; Lee, J.-H.; Chiu, Y.-H. Applying the dynamic DEA model to evaluate the energy efficiency of OECD countries and China Energy. Energy 2017, 134, 392–399. [Google Scholar] [CrossRef]
- Feng, C.; Zhang, H.; Huang, J.-B. The Approach to realizing the potential of emissions reduction in China: An implication from data envelopment analysis. Renew. Sustain. Energy Rev. 2017, 71, 859–872. [Google Scholar] [CrossRef]
- Chien, T.; Hu, J.-L. Renewable energy and macroeconomic efficiency of OECD and non-OECD economies. Energy Policy 2007, 35, 3606–3615. [Google Scholar] [CrossRef]
- Honma, S.; Hu, J.-L. Total-factor energy efficiency of regions in Japan. Energy Policy 2008, 36, 821–833. [Google Scholar] [CrossRef]
- Hoang, V.-N.; Rao, D.S.P. Measuring and decomposing sustainable efficiency in agricultural production: A cumulative exergy balance approach. Ecol. Econ. 2010, 69, 1765–1776. [Google Scholar] [CrossRef]
- Shiau, T.-A.; Jhang, J.-S. An integration model of DEA and RST for measuring transport sustainability. Int. J. Sustain. Dev. World Econ. 2010, 17, 76–83. [Google Scholar] [CrossRef]
- Blokhuis, E.; Advokaat, B.; Schaefer, W. Assessing the performance of Dutch local energy companies. Energy Policy 2012, 45, 680–690. [Google Scholar] [CrossRef]
- Boubaker, K. A review on renewable energy conceptual perspectives in North Africa using a polynomial optimization scheme. Renew. Sustain. Energy Rev. 2012, 16, 4298–4302. [Google Scholar] [CrossRef]
- Menegaki, A.N.; Gurluk, S. Greece and Turkey: Assessment and Comparison of Their Renewable Energy Performance. Int. J. Energy Econ. Policy 2013, 3, 367–383. [Google Scholar]
- Fagiani, R.; Barquin, J.; Hakvoort, R. Risk-Based Assessment of the Cost-Efficiency and the Effectivity of Renewable Energy Support Schemes: Certificate Markets versus Feed-In Tariffs. Energy Policy 2013, 55, 648–661. [Google Scholar] [CrossRef]
- Sueyoshi, T.; Goto, M.; Sugiyama, M. DEA window analysis for environmental assessment in a dynamic time shift: Performance assessment of U.S. coal-fired power plants. Energy Econ. 2013, 40, 845–857. [Google Scholar] [CrossRef]
- Sueyoshi, T.; Goto, M. Environmental assessment for corporate sustainability by resource utilization and technology innovation: DEA radial measurement on Japanese industrial sectors. Energy Econ. 2014, 46, 295–307. [Google Scholar] [CrossRef]
- Azlina, A.A.; Law, S.H.; Mustapha, N.H.N. Dynamic linkages among transport energy consumption, income and CO2 emission in Malaysia. Energy Policy 2014, 73, 598–606. [Google Scholar] [CrossRef]
- de Castro Camioto, F.; Mariano, E.B.; do Nascimento Rebelatto, D.A. Efficiency in Brazil’s industrial sectors in terms of energy and sustainable development. Environ. Sci. Policy 2014, 37, 50–60. [Google Scholar] [CrossRef]
- Wang, H. A generalized MCDA–DEA (multi-criterion decision analysis–data envelopment analysis) approach to construct slacks-based composite indicator. Energy 2015, 80, 114–122. [Google Scholar] [CrossRef]
- Kim, K.-T.; Lee, D.J.; Park, S.-J.; Zhang, Y.; Sultanov, A. Measuring the efficiency of the investment for renewable energy in Korea using data envelopment analysis. Renew. Sustain. Energy Rev 2015, 47, 694–702. [Google Scholar] [CrossRef]
- Zhang, N.; Xie, H. Toward green IT: Modeling sustainable production characteristics for Chinese electronic information industry, 1980–2012. Technol. Forecast. Soc. Chang. 2015, 96, 62–70. [Google Scholar] [CrossRef]
- Guo, X.; Zhu, Q.; Lv, L.; Chu, J.; Wu, J. Efficiency evaluation of regional energy saving and emission reduction in China: A modified slacks-based measure approach. J. Clean. Prod. 2017, 140, 1313–1321. [Google Scholar] [CrossRef]
- Tone, K.; Tsutsui, M. Dynamic DEA: A Slacks-based Measure Approach. Omega 2010, 38, 145–156. [Google Scholar] [CrossRef]
- Zhu, J. Quantitative Models for Performance Evaluation and Benchmarking: Data Envelopment Analysis with Spreadsheets; Springer: Berlin/Heidelberg, Germany, 2014. [Google Scholar]
- Inman, O.L.; Anderson, T.R.; Harmon, R.R. Predicting US jet fighter aircraft introductions from 1944 to 1982: a dogfight between regression and TFDEA. Technol. Forecast. Soc. Chang. 2006, 73, 1178–1187. [Google Scholar] [CrossRef]
- Mardani, A.; Zavadskas, E.K.; Streimikiene, D.; Jusoh, A.; Khoshnoudi, M. A Comprehensive review of data envelopment analysis (DEA) approach in energy efficiency. Renew. Sustain. Energy Rev. 2017, 70, 1298–1322. [Google Scholar] [CrossRef]
- Cook, D.; Zhu, J. Modeling Performance Measurement Applications and Implementation Issues in DEA; Springer: New York, NY, USA, 2005. [Google Scholar]
- Martínez-Molina, A.; Tort-Ausina, I.; Cho, S.; Vivancos, J.-L. Energy efficiency and thermal comfort in historic buildings: A review. Renew. Sustain. Energy Rev. 2016, 61, 70–85. [Google Scholar] [CrossRef]
- Moya, D.; Torres, R.; Stegen, S. Analysis of the Ecuadorian energy audit practices: A review of energy efficiency promotion. Renew. Sustain. Energy Rev. 2016, 62, 289–296. [Google Scholar] [CrossRef]
- Bian, Y.; Hu, M.; Wang, Y.; Xu, H. Energy efficiency analysis of the economic system in China during 1986–2012: A parallel slacks-based measure approach. Renew. Sustain. Energy Rev. 2016, 55, 990–998. [Google Scholar] [CrossRef]
- Balitskiy, S.; Bilan, Y.; Strielkowski, W.; Štreimikienė, D. Energy efficiency and natural gas consumption in the context of economic development in the European Union. Renew. Sustain. Energy Rev. 2016, 55, 156–168. [Google Scholar] [CrossRef]
- Chandel, S.S.; Sharma, A.; Marwaha, B.M. Review of energy efficiency initiatives and regulations for residential buildings in India. Renew. Sustain. Energy Rev. 2016, 54, 1443–1458. [Google Scholar] [CrossRef]
- Apergis, N.; Payne, J.E. Renewable energy consumption and economic growth: Evidence from a panel of OECD countries. Energy Policy 2010, 38, 656–660. [Google Scholar] [CrossRef]
- Menegaki, A.N. Growth and renewable energy in Europe: A random effect model with evidence for neutrality hypothesis. Energy Econ. 2011, 33, 257–263. [Google Scholar] [CrossRef]
- Bildirici, M. The relationship between economic growth and energy consumption. Renew. Sustain. Energy Rev. 2012, 4, 31–35. [Google Scholar] [CrossRef]
- Apergis, N.; Payne, J.E. Renewable energy, Output, CO2 emission and fossil fuel prices in Central America: Evidence from a non-linear Panel Smooth transition vector error correction model. Energy Econ. 2014, 42, 226–232. [Google Scholar] [CrossRef]
- Solarin, S.A.; Ozturk, I. On the causal dynamics between hydroelectricity consumption and economic growth in Latin America countries. Renew. Sustain. Energy Rev. 2015, 52, 1857–1868. [Google Scholar] [CrossRef]
- Chang, T.; Gupta, R.; Inglesi-Lotz, R.; Simo-Kengne, B.; Smithers, D.; Trembling, A. Renewable energy and growth: Evidence from heterogeneous panel of G7countries using Granger causality. Renew. Sustain. Energy Rev. 2015, 52, 1405–1412. [Google Scholar] [CrossRef]
- Ozbugday, F.C.; Erbas, B.C. How effective are energy efficiency and renewable energy in curbing CO2 emissions in the long run? A heterogeneous panel data analysis. Energy 2015, 82, 734–745. [Google Scholar] [CrossRef]
- Jaforullah, M.; King, A. Does the use of renewable energy sources mitigate CO2 emissions? A reassessment of the US evidence. Energy Econ. 2015, 49, 711–717. [Google Scholar] [CrossRef]
- Bilgili, F.; Koçak, E.; Bulut, U. The dynamic impact of renewable energy consumption on CO2 emissions: A revisited environmental Kuznets curve approach. Renew. Sustain. Energy Rev. 2016, 54, 838–845. [Google Scholar] [CrossRef]
- Farrell, M.J. The Measurement of Productive Efficiency. J. R. Stat. Soc. 1957, 120, 253–281. [Google Scholar] [CrossRef]
- Charnes, A.; Cooper, W.W.; Rhodes, E. Measuring the Efficiency of Decision Making Units. Eur. J. Oper. Res. 1978, 2, 429–444. [Google Scholar] [CrossRef]
- Banker, R.D.; Charnes, A.; Cooper, W.W. Some Models for Estimating Technical and Scale Inefficiencies in Data Envelopment Analysis. Manag. Sci. 1984, 30, 1078–1092. [Google Scholar] [CrossRef]
- Tone, K. A Slacks-based Measure of Efficiency in Data Envelopment Analysis. Eur. J. Oper. Res. 2001, 130, 498–509. [Google Scholar] [CrossRef]
- National Bureau of Statistics of China. China Statistical Yearbook. 2017. Available online: http://www.stats.gov.cn/ (accessed on 8 April 2018).
- China Statistical Yearbooks Database. Demographics and the Employment Statistical Yearbook of China, and the Statistical Yearbooks of All Cities; China Academic Journals Electronic Publishing House, 2017. Available online: http://www.stats.gov.cn/ (accessed on 8 April 2018).
- China’s Environmental and Protection Bureau Reports; Ministry of Ecology and Environment of the People’s Republic of China, 2017. Available online: http://www.mep.gov.cn/ (accessed on 26 March 2018).
- China’s Energy Policy 2012; The State Council: Beijing, China, October 2012. Available online: http://www.china.org.cn (accessed on 24 October 2012).
© 2019 by the authors. Licensee MDPI, Basel, Switzerland. This article is an open access article distributed under the terms and conditions of the Creative Commons Attribution (CC BY) license (http://creativecommons.org/licenses/by/4.0/).
