Short-Term Effects of Atmospheric Pollution on Daily Mortality and Their Modification by Increased Temperatures Associated with a Climatic Change Scenario in Northern Mexico
Abstract
1. Introduction
2. Materials and Methods
2.1. Study Area
2.2. Health Data
2.3. Air Pollution Measurements
2.4. Confounding Variables Considered in the Study Cases
2.5. Estimation of the Association between Atmospheric Pollution and Daily Mortality
- (a)
- Response variables: Number of deaths registered for each municipality during the study period.
- (b)
- Explanatory variables: Criteria Air Pollutants (daily average concentrations of SO2, CO, NO2, O3 and PM10 for each municipality during the study period) and Meteorological variables (daily average values of temperature and relative humidity for each municipality during the study period).
- (c)
- Control variables: This was carried out by introducing seasonality indicator variables considering two strata: cold months and warm months.
- (d)
- Confounding variables: Average daily values of relative humidity and temperature.
3. Results
3.1. Health Impact Assessment
3.1.1. Health Database
3.1.2. Exposure Database
3.2. Association between Atmospheric Pollutants and Daily Mortality
3.2.1. Multivariate Analysis and Multiple Linear Regression
3.2.2. Estimation of Relative Risk Index (RRI)
3.3. Modification of the Effects by Extreme Temperatures
Estimation of Relative Risk Index (RRI)
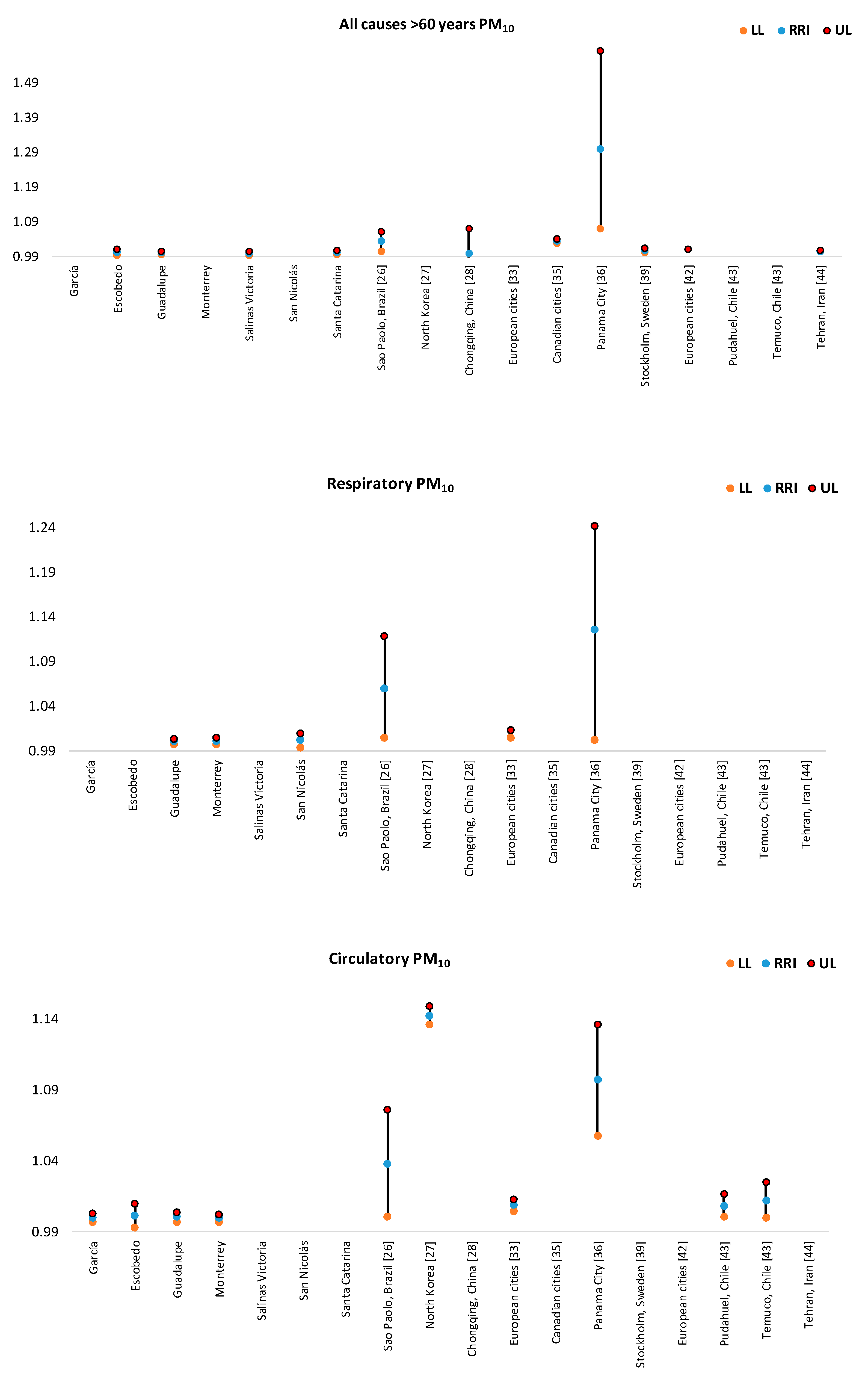
4. Discussion
Comparison with Other Epidemiological Studies
5. Conclusions
Author Contributions
Funding
Acknowledgments
Conflicts of Interest
References
- Thurnston, G.D.; Ahn, J.; Cromar, K.R.; Yangzhao, S.; Reynolds, H.R.; Jerrett, M.; Lim, C.C.; Shanley, R.; Park, Y.; Hayes, R.B. Ambient particulate matter air pollution exposure and mortality in the NIH-AARD Diet and Health Cohort. Environ. Health Perspect. 2016, 124, 484–490. [Google Scholar] [CrossRef] [PubMed]
- Khaniabadi, Y.O.; Polosa, R.; Chuturkova, R.Z. Human health risk assessment due to ambient PM10 and SO2 by an air quality modeling technique. Process Saf. Environ. Prot. 2017, 111, 346–354. [Google Scholar] [CrossRef]
- Khaniabadi, Y.O.; Daryanoosh, M.; Sicard, P.; Takdastan, A.; Hopke, P.K.; Emaeil, S.; De Marco, A.; Rashidi, R. Chronic obstructive pulmonary diseases related to outdoor PM10, O3, SO2 and NO2 in a heavely polluted megacity of Iran. Environ. Sci. Pollut. Res. 2018, 25, 17726–17734. [Google Scholar] [CrossRef] [PubMed]
- Romieu, I.; Ramírez, M.; Moreno, H.; Barraza, A.; Hernández, L.; Carbajal, L. Health Impacts of Air Pollution on Morbidity and Mortality among Children of Ciudad Juárez, Chihuahua, México; Technical Report; Commission for Environmental Cooperation of North America: Montreal, QC, Canada, 2003. [Google Scholar]
- Crouse, D.L.; Peters, P.A.; Van Dunkelaar, A.; Goldberg, M.S.; Villeneuve, P.J.; Brion, O. Risk of nonaccidental and cardiovascular mortality in relation to long-term exposure to low concentrations of fine particulate matter: A Canadian national-level cohort study. Environ. Health Perspect. 2012, 120, 708–714. [Google Scholar] [CrossRef]
- Katsouyanni, K.T.D. The 1987 Athens heat wave. Lancet 1998, 8610, 573. [Google Scholar]
- Ballester, F.; Sáez, M.; Alonso, E.; Taracido, M.; Ordoñez, J.; Aguinaga, I.; Daponte, A.; Bellido, J.; Guillen, J.; Pérez, M.; et al. El proyecto EMECAM: Estudio multicéntrico español sobre la relación entre la contaminación y la mortalidad. Antecedentes, participantes, objetivo y metodología. Rev. Esp. Salud Pública 1999, 73, 165–175. [Google Scholar] [CrossRef]
- Cerón, R.; Cerón, J.; Lara, R.; Espinosa, M.L.; Ramírez, E.; Rangel, M.; Rodríguez, A.; Uc, M. Short-term effects of air pollution health in the Metropolitan Area of Guadalajara using a time-series approach. Aerosol Air Qual. Res. 2018, 18, 2383–2411. [Google Scholar] [CrossRef]
- Lowe, R.; Ballester, J.; Creswick, J.; Robine, J.M.; Herrmann, F.; Rodó, X. Evaluating the performance of a climate-driven mortality model during heat waves and cold spells in Europe. Int. J. Environ. Res. Public Health 2015, 12, 1279–1294. [Google Scholar] [CrossRef]
- IPCC; Stocker, T.F.; Qin, D.; Plattner, G.K.; Tignor, M.; Allen, S.K.; Boschung, J.; Novels, A.; Xia, Y.; Bex, V. (Eds.) Climate Change 2013: The Physical Science Basis; Contribution of working group I to the Fifth Assessment Report of the Intergovernmental Panel on Climate Change; Cambridge University Press: Cambridge, UK; New York, NY, USA.
- Bravo, M.A.; Son, J.; Umbelino, C.; Gouveia, N.; Bell, M. Air pollution and mortality in Sao Paulo, Brazil: Effects of multiple pollutants and analysis of susceptible populations. J. Expo Sci. Environ. Epidemiol. 2016, 26, 150–161. [Google Scholar] [CrossRef]
- Li, J.; Woodward, A.; Hou, X.Y.; Zhu, T.; Zhang, J.; Brown, H.; Yang, J.; Qin, R.; Gao, J.; Gu, S. Modification of the effects of air pollutants on mortality by temperature: A systematic review and meta-analysis. Sci. Total Environ. 2017, 575, 1556–1570. [Google Scholar] [CrossRef]
- Chen, F.; Fan, Z.; Qiao, Z.; Cui, Y.; Zhang, M.; Zhao, X.; Li, X. Does temperature modify the effect of PM10 on mortality? A systematic review and meta-analysis. Environ. Pollut. 2017, 224, 326–331. [Google Scholar] [CrossRef] [PubMed]
- Scortichini, M.; De Sario, M.; De Donato, F.K.; Davoli, M.; Michelozzi, P.; Stafoggia, M. Short-term effects of heat on mortality and effect modification by air pollution in 25 Italian cities. Int. J. Environ. Res. Public Health 2018, 15, 1771. [Google Scholar] [CrossRef] [PubMed]
- Han, J.; Liu, S.; Zhang, J.; Zhou, L.; Fang, Q.; Zhang, J.; Zhang, Y. The impact of temperature extremes on mortality: A time-series study in Jinan, China. BMJ Open 2017, 7, e014741. [Google Scholar] [CrossRef] [PubMed]
- Bunker, A.; Wildenhain, J.; Vanndenbergh, A.; Henschke, N.; Rocklov, J.; Hajat, S.; Sauerborn, R. Effects of air temperature on climate-sensitive mortality and morbidity outcomes in the elderly; a systematic review and meta-analysis of epidemiological evidence. EBiomedicine 2016, 6, 29–30. [Google Scholar] [CrossRef]
- Yu, W.; Yu, W.; Mengersen, K. Daily average temperature and mortality among the elderly: A meta-analysis, and systematic review of epidemiological evidence. Int. J. Biometeorol. 2012, 56, 569–581. [Google Scholar] [CrossRef]
- Köppen, W.; Geiger, R. Handbuch der klimatologie; Gebrüder Borntraeger: Berlin, Germany, 1936. [Google Scholar]
- SEMARNAT. National Inventory of Emissions in Mexico 1999, 1st ed.; Semarnat-INE: Mexico City, Mexico, 2006. [Google Scholar]
- Ballester, F.; Sáez, M.; Pérez-Hoyos, S.; Iñiquez, C.; Gandarillas, A.; Tobías, A.; Bellido, J.; Taracido, M.; Arribas, F.; Daponte, A.; et al. The EMECAM Project: A multicentre study on air pollution and mortality in Spain: Combined results for particulates and for sulfur dioxide. Occup. Environ. Med. 2002, 59, 300–308. [Google Scholar] [CrossRef]
- Uriel, E. Análisis de Series Temporales. Modelos ARIMA; Para-ninfo: Madrid, Spain, 1985. [Google Scholar]
- Zmirou, D.; Barumandzadeh, T.; Balducci, F.; Ritter, P.; Laham, G.; Ghilardi, J. Short term effects of air pollution on mortality in the city of Lyon, France, 1985–1990. J. Epidemiol. Community Health 1996, 50, S30–S35. [Google Scholar] [CrossRef]
- Ballester, F.; Iñiguez, C.; Sáez, M.; Pérez-Hoyos, S.; Daponte, A.; Ordóñez, J.; Barceló, M.; Taracido, M.; Arribas, F.; Cambra, K.; et al. Short-term relationship between air pollution and mortality in 13 Spanish cities. Med. Clin. 2003, 121, 684–689. [Google Scholar] [CrossRef]
- Arribas-Monzón, F.; Rabanaque, M.J.; Martos, M.C.; Abad, J.M.; Alcalá-Nalvaiz, T.; Navarro-Elipoe, M. Efectos de la contaminación atmosférica sobre la mortalidad diaria en la Ciudad de Zaragoza, España 1991–1995. Salud Publica Mex. 2001, 43, 289–297. [Google Scholar] [CrossRef]
- Gouveia, N.; Fletcher, T. Time series analysis of air pollution and mortality: Effects by cause, age and socioeconomic status. J. Epidemiol. Community Health 2000, 54, 750–755. [Google Scholar] [CrossRef]
- Zhang, C.; Quan, Z.; Wu, Q.; Jin, Z.; Lee, J.H.; Li, C.; Zhang, Y.; Cui, L. Association between atmospheric particulate pollutants and mortality for cardio-cerebrovascular diseases in Chinese Korean Population: A Case-crossover study. Int. J. Environ. Res. Public Health 2018, 15, 2835. [Google Scholar] [CrossRef] [PubMed]
- Venners, S.; Wong, B.; Peng, Z.; Xu, Y.; Wang, L.; Yu, X. Particulate matter, sulfur dioxide and daily mortality in Chongqing, China. Environ. Health Perspect. 2003, 11, 562–567. [Google Scholar] [CrossRef]
- Sunyer, J.; Castellsagué, J.; Sáez, M.; Tobías, A.; Antó, J. Air pollution and mortality in Barcelona. J. Epidemiol. Community Health 1996, 50, S76–S80. [Google Scholar] [CrossRef] [PubMed]
- Tsai, S.S.; Huang, C.H.; Goggins, W.B.; Wu, T.N.; Yang, C.Y. Relationship between air pollution and daily mortality in a tropical city: Kaohsiung, Taiwan. J. Toxicol. Environ. Health A 2003, 66, 1341–1349. [Google Scholar] [CrossRef] [PubMed]
- Milojevic, A.; Wilkinson, P.; Armstrong, B.; Bhaskaran, K.; Smeeth, L.; Hajat, S. Short-term effects of air pollution on a range of cardiovascular events in England and Wales: Case-crossover analysis of the MINAP database, hospital admissions and mortality. Heart 2014, 100, 1093–1098. [Google Scholar] [CrossRef]
- Biggeri, A.; Bellini, P.; Terracini, B. Metaanalysis of the Italian Studies on short-term effects of air pollution. Epidemiol. Prev. 2001, 25, 1–71. [Google Scholar]
- Crouse, D.; Peters, P.; Hystad, P.; Brook, J.; Van Donkelaar, A.; Martin, R.; Villeneuve, P.; Jerrett, M.; Goldberg, M.; Pope, C.A., III; et al. Ambient PM2.5, O3 and NO2 exposures and associations with mortality over 16 years of follow-up in the Canadian Census Health and Environment Cohort (CanCHEC). Environ. Perspect. 2015, 123, 1180–1186. [Google Scholar] [CrossRef] [PubMed]
- Zúñiga, J.; Tarajia, M.; Herrera, V.; Urriola, W.; Gómez, B.; Motta, J. Assessment of the possible association of air pollutants PM10, O3, NO2, with an increase in cardiovascular, respiratory and diabetes mortality in Panama City. Medicine 2016, 95, e2464. [Google Scholar] [CrossRef]
- Stieb, D.; Judek, S.; Burnett, R. Meta-analysis of time-series studies of air pollution and mortality: Effects of gases and particles and the influence of cause of death, age and season. J. Air Waste Manag. Assoc. 2002, 52, 470–484. [Google Scholar] [CrossRef]
- Faustini, A.; Rapp, P.; Forastiere, F. Nitrogen dioxide and mortality: Review and meta-analysis of long-term studies. Eur. Respir. J. 2014, 44, 744–753. [Google Scholar] [CrossRef]
- Wang, L.; Liu, C.; Meng, X.; Niu, Y.; Lin, Z.; Liu, Y.; Liu, J.; Qi, J.; You, L.; Tse, L.; et al. Associations between short-term exposure to ambient sulfur dioxide and increased cause-specific mortality in 272 Chinese Cities. Environ. Int. 2018, 117, 33–39. [Google Scholar] [CrossRef] [PubMed]
- Goggins, W.; Chan, E.; Yang, C.h.; Chong, M. Associations between mortality and meteorological and pollutant variables during the cool season in two Asian cities with Sub-tropical climates: Hong Kong and Taipei. Environ. Health 2013, 12, 59. [Google Scholar] [CrossRef] [PubMed]
- Olstrup, H.; Johansson, C.; Fosberg, B.; Astrom, C. Association between mortality and short-term exposure to particles, ozone and nitrogen dioxide in Stockholm, Sweden. Int. J. Environ. Res. Public Health 2019, 16, 1028. [Google Scholar] [CrossRef] [PubMed]
- Bell, M.; Dominic, F.; Samet, J. A metaanalysis of time-series studies of ozone and mortality with comparison to the national morbidity, mortality and air pollution study. Epidemiology 2005, 16, 436–445. [Google Scholar] [CrossRef]
- Lim, C.C.; Hayes, R.B.; Ahn, J.; Shao, Y.; Silvermann, D.T.; Jones, R.R.; García, C.; Bell, M.L.; Thurston, G.P. Long-term exposure to ozone and case-specific mortality risk in the U.S. Am. J. Respir. Crit. Care Med. 2019, 200, 1022–1031. [Google Scholar] [CrossRef]
- Robles, L.; Cortes, S.; Vergara, A.; Ortega, J.C. Short term health effects on particulate matter: A comparison between wood smoke and multi-source polluted urban areas in Chile. Aerosol Air Qual. Res. 2015, 15, 306–318. [Google Scholar] [CrossRef]
- Anderson, R.; Atkinson, R.; Peacock, J.L.; Morston, L.; Konstantinou, K. Meta-Analysis of Time-Series and Panel Studies on Particulate Matter and Ozone; WHO Task Group, WHO Regional Office for Europe: Copenhagen, Denmark, 2004. [Google Scholar]
- Hadei, M.; Hopke, P.; Nazari, S.; Yarahmadi, M.; Shahsavani, A.; Reza, M. Estimation of mortality and hospital admissions attributed to criteria air pollutants in Tehran Metropolis, Iran (2013–2016). Aerosol Air Qual. Res. 2017, 17, 2474–2481. [Google Scholar] [CrossRef]
- McMichael, A.J.; Wilkinson, P.; Kavats, R.S.; Pattenden, S.; Hojat, S.; Armstrong, B.; Vajanapoom, N.; Nicius, E.M.; Mahomed, H.; Kingkeow, C.; et al. International study of temperature, heat, and urban mortality in the ISOTHURM project. Int. J. Epidemiol. 2008, 37, 1121–1131. [Google Scholar] [CrossRef]
- Zanobetti, A.; Schwartz, J. Temperature and Mortality in nine US cities. Epidemiology 2008, 19, 563–570. [Google Scholar] [CrossRef]
- Basu, R.; Dominici, F.; Samet, J. Temperature and mortality among the elderly in the United States: A comparison of Epidemiologic Methods. Epidemiology 2005, 16, 58–66. [Google Scholar] [CrossRef]













Publisher’s Note: MDPI stays neutral with regard to jurisdictional claims in published maps and institutional affiliations. |
© 2020 by the authors. Licensee MDPI, Basel, Switzerland. This article is an open access article distributed under the terms and conditions of the Creative Commons Attribution (CC BY) license (http://creativecommons.org/licenses/by/4.0/).
Share and Cite
Bretón, R.M.C.; Bretón, J.G.C.; Kahl, J.W.D.; Fuentes, M.d.l.L.E.; Lara, E.R.; Marrón, M.R.; Severino, R.d.C.L.; Chi, M.P.U. Short-Term Effects of Atmospheric Pollution on Daily Mortality and Their Modification by Increased Temperatures Associated with a Climatic Change Scenario in Northern Mexico. Int. J. Environ. Res. Public Health 2020, 17, 9219. https://doi.org/10.3390/ijerph17249219
Bretón RMC, Bretón JGC, Kahl JWD, Fuentes MdlLE, Lara ER, Marrón MR, Severino RdCL, Chi MPU. Short-Term Effects of Atmospheric Pollution on Daily Mortality and Their Modification by Increased Temperatures Associated with a Climatic Change Scenario in Northern Mexico. International Journal of Environmental Research and Public Health. 2020; 17(24):9219. https://doi.org/10.3390/ijerph17249219
Chicago/Turabian StyleBretón, Rosa María Cerón, Julia Griselda Cerón Bretón, Jonathan W. D. Kahl, María de la Luz Espinosa Fuentes, Evangelina Ramírez Lara, Marcela Rangel Marrón, Reyna del Carmen Lara Severino, and Martha Patricia Uc Chi. 2020. "Short-Term Effects of Atmospheric Pollution on Daily Mortality and Their Modification by Increased Temperatures Associated with a Climatic Change Scenario in Northern Mexico" International Journal of Environmental Research and Public Health 17, no. 24: 9219. https://doi.org/10.3390/ijerph17249219
APA StyleBretón, R. M. C., Bretón, J. G. C., Kahl, J. W. D., Fuentes, M. d. l. L. E., Lara, E. R., Marrón, M. R., Severino, R. d. C. L., & Chi, M. P. U. (2020). Short-Term Effects of Atmospheric Pollution on Daily Mortality and Their Modification by Increased Temperatures Associated with a Climatic Change Scenario in Northern Mexico. International Journal of Environmental Research and Public Health, 17(24), 9219. https://doi.org/10.3390/ijerph17249219
