Effects of El Niño/La Niña on the Number of Imported Shigellosis Cases in the Republic of Korea, 2004–2017
Abstract
1. Introduction
2. Materials and Methods
2.1. Data Sources: Shigellosis Cases and Outbound Travellers
2.2. Data Sources: Climate Indices
2.3. Data Analysis
2.4. Ethical Statement
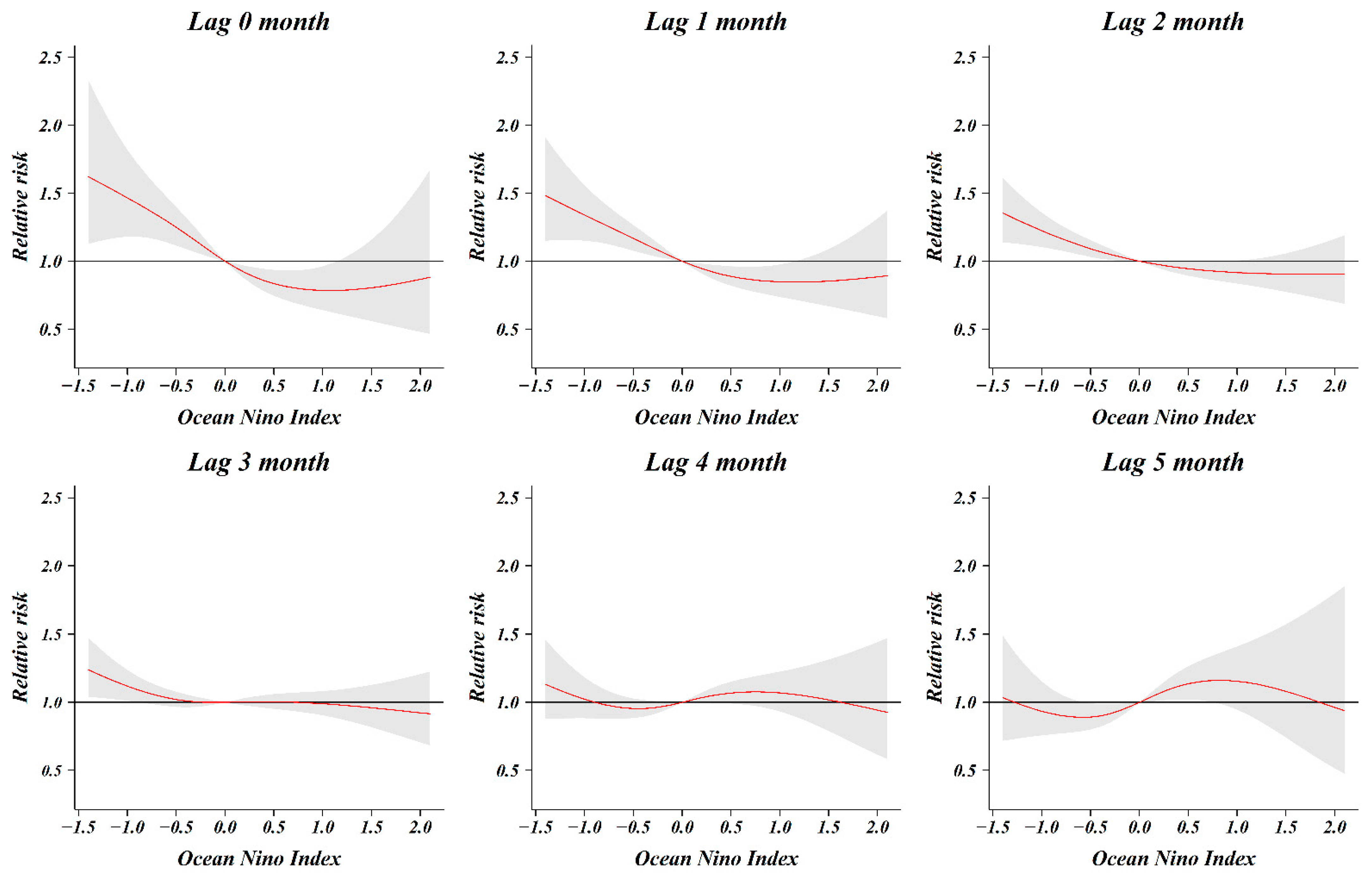
3. Results
4. Discussion
5. Conclusions
Supplementary Materials
Author Contributions
Funding
Institutional Review Board Statement
Informed Consent Statement
Data Availability Statement
Conflicts of Interest
References
- Kotloff, K.L.; Riddle, M.S.; Platts-Mills, J.A.; Pavlinac, P.; Zaidi, A.K.M. Shigellosis. Lancet 2018, 391, 801–812. [Google Scholar] [CrossRef]
- Toro, C.; Arroyo, A.; Sarria, A.; Iglesias, N.; Enriquez, A.; Baquero, M.; de Guevara, C.L. Shigellosis in Subjects with Traveler’s Diarrhea Versus Domestically Acquired Diarrhea: Implications for Antimicrobial Therapy and Human Immunodeficiency Virus Surveillance. Am. J. Trop. Med. Hyg. 2015, 93, 491–496. [Google Scholar] [CrossRef] [PubMed]
- Okhuysen, P.C. Current concepts in travelers’ diarrhea: Epidemiology, antimicrobial resistance and treatment. Curr. Opin. Infect. Dis. 2005, 18, 522–526. [Google Scholar] [CrossRef] [PubMed]
- Von Seidlein, L.; Kim, D.R.; Ali, M.; Lee, H.; Wang, X.; Thiem, V.D.; Canh, D.G.; Chaicumpa, W.; Agtini, M.D.; Hossain, A.; et al. A multicentre study of Shigella diarrhoea in six Asian countries: Disease burden, clinical manifestations, and microbiology. PLoS Med. 2006, 3, e353. [Google Scholar] [CrossRef]
- Leung, A.K.C.; Leung, A.A.M.; Wong, A.H.C.; Hon, K.L. Travelers’ Diarrhea: A Clinical Review. Recent Pat. Inflamm. Allergy Drug Discov. 2019, 13, 38–48. [Google Scholar] [CrossRef]
- Shah, N.; DuPont, H.L.; Ramsey, D.J. Global etiology of travelers’ diarrhea: Systematic review from 1973 to the present. Am. J. Trop. Med. Hyg. 2009, 80, 609–614. [Google Scholar] [CrossRef]
- Kovats, R.S.; Bouma, M.J.; Hajat, S.; Worrall, E.; Haines, A. El Niño and health. Lancet 2003, 362, 1481–1489. [Google Scholar] [CrossRef]
- Wu, X.; Liu, J.; Li, C.; Yin, J. Impact of climate change on dysentery: Scientific evidences, uncertainty, modeling and projections. Sci. Total Environ. 2020, 714, 136702. [Google Scholar] [CrossRef]
- Rodo, X.; Pascual, M.; Fuchs, G.; Faruque, A.S. ENSO and cholera: A nonstationary link related to climate change? Proc. Natl. Acad. Sci. USA 2002, 99, 12901–12906. [Google Scholar] [CrossRef]
- Martinez, P.P.; Reiner, R.C., Jr.; Cash, B.A.; Rodó, X.; Mondal, M.S.; Roy, M.; Yunus, M.; Faruque, A.S.; Huq, S.; King, A.A. Cholera forecast for Dhaka, Bangladesh, with the 2015–2016 El Nino: Lessons learned. PLoS ONE 2017, 12, e0172355. [Google Scholar] [CrossRef]
- Ohtomo, K.; Kobayashi, N.; Sumi, A.; Ohtomo, N. Relationship of cholera incidence to El Nino and solar activity elucidated by time-series analysis. Epidemiol. Infect. 2010, 138, 99–107. [Google Scholar] [CrossRef] [PubMed]
- Pascual, M.; Rodo, X.; Ellner, S.P.; Colwell, R.; Bouma, M.J. Cholera dynamics and El Nino-Southern Oscillation. Science 2000, 289, 1766–1769. [Google Scholar] [CrossRef]
- Cash, B.A.; Rodo, X.; Emch, M.; Yunus, M.; Faruque, A.S.; Pascual, M. Cholera and shigellosis: Different epidemiology but similar responses to climate variability. PLoS ONE 2014, 9, e107223. [Google Scholar] [CrossRef]
- Zhang, Y.; Bi, P.; Wang, G.; Hiller, J.E. El Nino Southern Oscillation (ENSO) and dysentery in Shandong province, China. Environ. Res. 2007, 103, 117–120. [Google Scholar] [CrossRef]
- Colston, J.; Paredes Olortegui, M.; Zaitchik, B.; Penataro Yori, P.; Kang, G.; Ahmed, T.; Bessong, P.; Mduma, E.; Bhutta, Z.; Shrestha, P.S.; et al. Pathogen-Specific Impacts of the 2011–2012 La Nina-Associated Floods on Enteric Infections in the MAL-ED Peru Cohort: A Comparative Interrupted Time Series Analysis. Int. J. Environ. Res. Public Health 2020, 17, 487. [Google Scholar] [CrossRef] [PubMed]
- Korea Tourism Organization. Statistics of Major Destinations for National Overseas Tourists. Available online: https://kto.visitkorea.or.kr/kor/notice/data/statis/profit/board/view.kto?id=430985&isNotice=false&instanceId=294&rnum=46 (accessed on 10 May 2020).
- Asia-Pacific Economic Cooperation (APEC) Climate Center. Climate Indices. Available online: https://www.apcc21.org/ser/indic.do?lang=en (accessed on 10 May 2020).
- Gasparrini, A. Modeling exposure-lag-response associations with distributed lag non-linear models. Stat. Med. 2014, 33, 881–899. [Google Scholar] [CrossRef] [PubMed]
- Gasparrini, A. Distributed Lag Linear and Non-Linear Models in R: The Package dlnm. J. Stat. Softw. 2011, 43, 1–20. [Google Scholar] [CrossRef]
- Saji, N.H.; Goswami, B.N.; Vinayachandran, P.N.; Yamagata, T. A dipole mode in the tropical Indian Ocean. Nature 1999, 401, 360–363. [Google Scholar] [CrossRef]
- McPhaden, M.J.; Zebiak, S.E.; Glantz, M.H. ENSO as an integrating concept in Earth science. Science 2006, 314, 1740–1745. [Google Scholar] [CrossRef]
- Hrudya, P.H.; Varikoden, H.; Vishnu, R. A review on the Indian summer monsoon rainfall, variability and its association with ENSO and IOD. Meteorol. Atmos. Phys. 2020. [Google Scholar] [CrossRef]
- Banu, S.; Guo, Y.; Hu, W.; Dale, P.; Mackenzie, J.S.; Mengersen, K.; Tong, S. Impacts of El Nino Southern Oscillation and Indian Ocean Dipole on dengue incidence in Bangladesh. Sci. Rep. 2015, 5, 16105. [Google Scholar] [CrossRef] [PubMed]
- Hashizume, M.; Chaves, L.F.; Faruque, A.S.; Yunus, M.; Streatfield, K.; Moji, K. A differential effect of Indian Ocean dipole and El Nino on cholera dynamics in Bangladesh. PLoS ONE 2013, 8, e60001. [Google Scholar] [CrossRef]
- Heaney, A.K.; Shaman, J.; Alexander, K.A. El Nino-Southern oscillation and under-5 diarrhea in Botswana. Nat. Commun. 2019, 10, 5798. [Google Scholar] [CrossRef] [PubMed]
- Lee, H.S.; Ha Hoang, T.T.; Pham-Duc, P.; Lee, M.; Grace, D.; Phung, D.C.; Thuc, V.M.; Nguyen-Viet, H. Seasonal and geographical distribution of bacillary dysentery (shigellosis) and associated climate risk factors in Kon Tam Province in Vietnam from 1999 to 2013. Infect. Dis. Poverty 2017, 6, 113. [Google Scholar] [CrossRef] [PubMed]
- Taniguchi, H.; Nakano, T.; Katayama, Y.; Harada, F.; Arai, Y.; Mori, K.; Hirata, K.; Kamiya, K.; Maruyama, H.; Sano, K. Sentinel surveillance for international Shigella by a quarantine station in Japan. Epidemiol. Infect. 2005, 133, 611–615. [Google Scholar] [CrossRef] [PubMed]
- Leder, K. Travelers as a sentinel population: Use of sentinel networks to inform pretravel and posttravel evaluation. Curr. Infect. Dis. Rep. 2009, 11, 51–58. [Google Scholar] [CrossRef] [PubMed]
- Harvey, K.; Esposito, D.H.; Han, P.; Kozarsky, P.; Freedman, D.O.; Plier, D.A.; Sotir, M.J. Surveillance for travel-related disease—GeoSentinel Surveillance System, United States, 1997–2011. Morb. Mortal. Wkly. Rep. Surveill. Summ. 2013, 62, 1–23. [Google Scholar]
- Fukusumi, M.; Arashiro, T.; Arima, Y.; Matsui, T.; Shimada, T.; Kinoshita, H.; Arashiro, A.; Takasaki, T.; Sunagawa, T.; Oishi, K. Dengue Sentinel Traveler Surveillance: Monthly and Yearly Notification Trends among Japanese Travelers, 2006–2014. PLoS Negl. Trop. Dis. 2016, 19, e0004924. [Google Scholar] [CrossRef]
- Wendling, Z.A.; Emerson, J.W.; de Sherbinin, A.; Esty, D.C.; Levy, M.A. 2018 Environmental Performance Index. Available online: https://epi.envirocenter.yale.edu/epi-indicator-report/H2O (accessed on 10 May 2020).
- United Nations World Tourism Organization. Global and Regional Tourism Performance. Available online: https://www.unwto.org/global-and-regional-tourism-performance (accessed on 10 May 2020).






| Region | Country | Cases | % |
|---|---|---|---|
| Total | 698 | 100.0% | |
| Southeast Asia | Subtotal | 476 | 68.2% |
| Cambodia | 137 | 19.6% | |
| Philippines | 119 | 17.0% | |
| Vietnam | 89 | 12.8% | |
| Thailand | 52 | 7.4% | |
| Indonesia | 46 | 6.6% | |
| Laos | 19 | 2.7% | |
| Myanmar | 5 | 0.7% | |
| Malaysia | 3 | 0.4% | |
| Singapore | 3 | 0.4% | |
| Others | 3 | 0.4% | |
| South Asia | Subtotal | 132 | 18.9% |
| India | 124 | 17.8% | |
| Nepal | 3 | 0.4% | |
| Bangladesh | 3 | 0.4% | |
| Others | 2 | 0.3% | |
| East Asia | Subtotal | 63 | 9.0% |
| China | 48 | 6.9% | |
| Mongolia | 11 | 1.6% | |
| Japan | 3 | 0.4% | |
| Others | 1 | 0.1% | |
| West Asia | 2 | 0.3% | |
| Africa | 12 | 1.7% | |
| Americas | 9 | 1.3% | |
| Oceania | 2 | 0.3% | |
| Europe | 1 | 0.1% | |
| Unknown | 1 | 0.1% |
Publisher’s Note: MDPI stays neutral with regard to jurisdictional claims in published maps and institutional affiliations. |
© 2020 by the authors. Licensee MDPI, Basel, Switzerland. This article is an open access article distributed under the terms and conditions of the Creative Commons Attribution (CC BY) license (http://creativecommons.org/licenses/by/4.0/).
Share and Cite
Kim, J.-H.; Sung, J.; Kwon, H.-J.; Cheong, H.-K. Effects of El Niño/La Niña on the Number of Imported Shigellosis Cases in the Republic of Korea, 2004–2017. Int. J. Environ. Res. Public Health 2021, 18, 211. https://doi.org/10.3390/ijerph18010211
Kim J-H, Sung J, Kwon H-J, Cheong H-K. Effects of El Niño/La Niña on the Number of Imported Shigellosis Cases in the Republic of Korea, 2004–2017. International Journal of Environmental Research and Public Health. 2021; 18(1):211. https://doi.org/10.3390/ijerph18010211
Chicago/Turabian StyleKim, Jong-Hun, Jisun Sung, Ho-Jang Kwon, and Hae-Kwan Cheong. 2021. "Effects of El Niño/La Niña on the Number of Imported Shigellosis Cases in the Republic of Korea, 2004–2017" International Journal of Environmental Research and Public Health 18, no. 1: 211. https://doi.org/10.3390/ijerph18010211
APA StyleKim, J.-H., Sung, J., Kwon, H.-J., & Cheong, H.-K. (2021). Effects of El Niño/La Niña on the Number of Imported Shigellosis Cases in the Republic of Korea, 2004–2017. International Journal of Environmental Research and Public Health, 18(1), 211. https://doi.org/10.3390/ijerph18010211

