The Effect of Perioral Scan and Artificial Skin Markers on the Accuracy of Virtual Dentofacial Integration: Stereophotogrammetry Versus Smartphone Three-Dimensional Face-Scanning
Abstract
1. Introduction
2. Materials and Methods
2.1. Study Design
2.2. Facial Image Acquisition
2.3. Dental Image Acquisition
2.4. Dentofacial Image Integration
Construction of the Reference Image and the 3D Coordinate System
2.5. Evaluation of the Spatial Position of the Integrated Dental Images
2.6. Statistical Analyses
3. Results
4. Discussion
5. Conclusions
Author Contributions
Funding
Institutional Review Board Statement
Informed Consent Statement
Data Availability Statement
Conflicts of Interest
References
- Hasanreisoglu, U.; Berksun, S.; Aras, K.; Arslan, I. An analysis of maxillary anterior teeth: Facial and dental proportions. J. Prosthet. Dent. 2005, 94, 530–538. [Google Scholar] [CrossRef] [PubMed]
- Ngoc, V.T.N.; Tran, D.-K.; Dung, T.M.; Anh, N.V.; Nga, V.B.; Anh, L.Q.; Hanh, N.T.T.; Linh, N.P.; Quynh, H.N.; Chu, D.-T.; et al. Perceptions of Dentists and Non-Professionals on Some Dental Factors Affecting Smile Aesthetics: A Study from Vietnam. Int. J. Environ. Res. Public Health 2020, 17, 1638. [Google Scholar] [CrossRef] [PubMed]
- Pimentel, W.; Teixeira, M.L.; Costa, P.P.; Jorge, M.Z.; Tiossi, R. Predictable Outcomes with Porcelain Laminate Veneers: A Clinical Report. J. Prosthodont. 2016, 25, 335–340. [Google Scholar] [CrossRef] [PubMed]
- Berssenbrügge, P.; Berlin, N.F.; Kebeck, G.; Runte, C.; Jung, S.; Kleinheinz, J.; Dirksen, D. 2D and 3D analysis methods of facial asymmetry in comparison. J. Cranio-Maxillofac. Surg. 2014, 42, e327–e334. [Google Scholar] [CrossRef]
- Cattoni, F.; Mastrangelo, F.; Gherlone, E.F.; Gastaldi, G. A New Total Digital Smile Planning Technique (3D-DSP) to Fabricate CAD-CAM Mockups for Esthetic Crowns and Veneers. Int. J. Dent. 2016, 2016, 1–5. [Google Scholar] [CrossRef]
- Lin, W.-S.; Harris, B.T.; Phasuk, K.; Llop, D.R.; Morton, D. Integrating a facial scan, virtual smile design, and 3D virtual patient for treatment with CAD-CAM ceramic veneers: A clinical report. J. Prosthet. Dent. 2017, 119, 200–205. [Google Scholar] [CrossRef]
- Galibourg, A.; Brenes, C. Virtual smile design tip: From 2D to 3D design with free software. J. Prosthet. Dent. 2019, 121, 863–864. [Google Scholar] [CrossRef]
- Pozzi, A.; Arcuri, L.; Moy, P.K. The smiling scan technique: Facially driven guided surgery and prosthetics. J. Prosthodont. Res. 2018, 62, 514–517. [Google Scholar] [CrossRef]
- Lavorgna, L.; Cervino, G.; Fiorillo, L.; Di Leo, G.; Troiano, G.; Ortensi, M.; Galantucci, L.M.; Cicciù, M. Reliability of a Virtual Prosthodontic Project Realized through a 2D and 3D Photographic Acquisition: An Experimental Study on the Accuracy of Different Digital Systems. Int. J. Environ. Res. Public Health 2019, 16, 5139. [Google Scholar] [CrossRef]
- Park, J.-M.; Oh, K.C.; Shim, J.-S. Integration of intraoral digital scans with a 3D facial scan for anterior tooth rehabilitation. J. Prosthet. Dent. 2019, 121, 394–397. [Google Scholar] [CrossRef]
- Granata, S.; Giberti, L.; Vigolo, P.; Stellini, E.; Di Fiore, A. Incorporating a facial scanner into the digital workflow: A dental technique. J. Prosthet. Dent. 2020, 123, 781–785. [Google Scholar] [CrossRef] [PubMed]
- Rangel, F.A.; Maal, T.J.; Bergé, S.J.; Van Vlijmen, O.J.; Plooij, J.M.; Schutyser, F.; Kuijpers-Jagtman, A.M. Integration of digital dental casts in 3-dimensional facial photographs. Am. J. Orthod. Dentofac. Orthop. 2008, 134, 820–826. [Google Scholar] [CrossRef] [PubMed]
- Gibelli, D.; Dolci, C.; Cappella, A.; Sforza, C. Reliability of optical devices for three-dimensional facial anatomy description: A systematic review and meta-analysis. Int. J. Oral Maxillofac. Surg. 2020, 49, 1092–1106. [Google Scholar] [CrossRef] [PubMed]
- Sawyer, A.R.; See, M.; Nduka, C. Quantitative analysis of normal smile with 3D stereophotogrammetry—An aid to facial reanimation. J. Plast. Reconstr. Aesthetic Surg. 2010, 63, 65–72. [Google Scholar] [CrossRef]
- Knoops, P.G.; Beaumont, C.; Caroline, A.; Borghi, A.; Rodriguez-Florez, N.; Breakey, R.W.; Rodgers, W.; Angullia, F.; Jeelani, N.O.; Schievano, S.; et al. Comparison of three-dimensional scanner systems for craniomaxillofacial imaging. J. Plast. Reconstr. Aesthet. Surg. 2017, 70, 441–449. [Google Scholar] [CrossRef]
- Tzou, C.-H.; Artner, N.M.; Pona, I.; Hold, A.; Placheta, E.; Kropatsch, W.G.; Frey, M. Comparison of three-dimensional surface-imaging systems. J. Plast. Reconstr. Aesthet. Surg. 2014, 67, 489–497. [Google Scholar] [CrossRef]
- Hong, S.-J.; Noh, K. Setting the sagittal condylar inclination on a virtual articulator by using a facial and intraoral scan of the protrusive interocclusal position: A dental technique. J. Prosthet. Dent. 2020. [Google Scholar] [CrossRef]
- Russo, L.L.; Salamini, A.; Troiano, G.; Guida, L. Digital dentures: A protocol based on intraoral scans. J. Prosthet. Dent. 2020. [Google Scholar] [CrossRef]
- Revilla-León, M.; Raney, L.; Piedra-Cascón, W.; Barrington, J.; Zandinejad, A.; Özcan, M. Digital workflow for an esthetic rehabilitation using a facial and intraoral scanner and an additive manufactured silicone index: A dental technique. J. Prosthet. Dent. 2020, 123, 564–570. [Google Scholar] [CrossRef]
- Elbashti, M.; Sumita, Y.; Aswehlee, A.; Seelaus, R. Smartphone Application as a Low-Cost Alternative for Digitizing Facial Defects: Is It Accurate Enough for Clinical Application? Int. J. Prosthodont. 2019, 32, 541–543. [Google Scholar] [CrossRef]
- Liu, C.-H.; Lin, I.-C.; Lu, J.-J.; Cai, D.; Housbane, S.; Yano, T. A Smartphone App for Improving Clinical Photography in Emergency Departments: Comparative Study. JMIR mHealth uHealth 2019, 7, e14531. [Google Scholar] [CrossRef] [PubMed]
- Russo, L.L.; Di Gioia, C.; Salamini, A.; Guida, L. Integrating intraoral, perioral, and facial scans into the design of digital dentures. J. Prosthet. Dent. 2020, 123, 584–588. [Google Scholar] [CrossRef] [PubMed]
- Kniffin, K.M.; Shimizu, M. Sounds that make you smile and share: A phonetic key to prosociality and engagement. Mark. Lett. 2014, 27, 273–283. [Google Scholar] [CrossRef]
- Artopoulos, A.; Buytaert, J.; Dirckx, J.; Coward, T.J. Comparison of the accuracy of digital stereophotogrammetry and projection moiré profilometry for three-dimensional imaging of the face. Int. J. Oral Maxillofac. Surg. 2014, 43, 654–662. [Google Scholar] [CrossRef]
- Piedra-Cascón, W.; Meyer, M.J.; Methani, M.M.; Revilla-León, M. Accuracy (trueness and precision) of a dual-structured light facial scanner and interexaminer reliability. J. Prosthet. Dent. 2020, 124, 567–574. [Google Scholar] [CrossRef]
- Imburgia, M.; Logozzo, S.; Hauschild, U.; Veronesi, G.; Mangano, F.; Mangano, F. Accuracy of four intraoral scanners in oral implantology: A comparative in vitro study. BMC Oral Health 2017, 17, 1–13. [Google Scholar] [CrossRef]
- Xiao, Z.; Liu, Z.; Gu, Y. Integration of digital maxillary dental casts with 3D facial images in orthodontic patients: A three-dimensional validation study. Angle. Orthod. 2019, 90, 397–404. [Google Scholar] [CrossRef]
- Zhao, Y.-J.; Xiong, Y.-X.; Wang, Y. Three-Dimensional Accuracy of Facial Scan for Facial Deformities in Clinics: A New Evaluation Method for Facial Scanner Accuracy. PLoS ONE 2017, 12, e0169402. [Google Scholar] [CrossRef]
- Volonghi, P.; Baronio, G.; Signoroni, A. 3D scanning and geometry processing techniques for customised hand orthotics: An experimental assessment. Virtual Phys. Prototyp. 2018, 13, 105–116. [Google Scholar] [CrossRef]
- Lane, C.; Harrell, W., Jr. Completing the 3-dimensional picture. Am. J. Orthod. Dentofac. Orthop. 2008, 133, 612–620. [Google Scholar] [CrossRef]
- Mai, H.-N.; Lee, D.-H. Accuracy of Mobile Device–Compatible 3D Scanners for Facial Digitization: Systematic Review and Meta-Analysis. J. Med. Internet Res. 2020, 22, e22228. [Google Scholar] [CrossRef] [PubMed]
- Alfaro-Santafé, J.; Gómez-Bernal, A.; Lanuza-Cerzócimo, C.; Alfaro-Santafé, J.V.; Pérez-Morcillo, A.; Almenar-Arasanz, A.J. Three-axis measurements with a novel system for 3D plantar foot scanning: iPhone X. Footwear Sci. 2020, 12, 123–131. [Google Scholar] [CrossRef]
- Amornvit, P.; Sanohkan, S. The Accuracy of Digital Face Scans Obtained from 3D Scanners: An In Vitro Study. Int. J. Environ. Res. Public Health 2019, 16, 5061. [Google Scholar] [CrossRef] [PubMed]
- Chen, Y.; Medioni, G. Object modelling by registration of multiple range images. Image Vis. Comput. 1992, 10, 145–155. [Google Scholar] [CrossRef]
- Kim, J.-E.; Amelya, A.; Shin, Y.; Shim, J.-S. Accuracy of intraoral digital impressions using an artificial landmark. J. Prosthet. Dent. 2017, 117, 755–761. [Google Scholar] [CrossRef] [PubMed]
- Cicciù, M.; Fiorillo, L.; D’Amico, C.; Gambino, D.; Amantia, E.M.; Laino, L.; Crimi, S.; Campagna, P.; Bianchi, A.; Herford, A.S.; et al. 3D Digital Impression Systems Compared with Traditional Techniques in Dentistry: A Recent Data Systematic Review. Materials 2020, 13, 1982. [Google Scholar] [CrossRef] [PubMed]
- Abduo, J.; Elseyoufi, M. Accuracy of Intraoral Scanners: A Systematic Review of Influencing Factors. Eur. J. Prosthodont. Restor. Dent. 2018, 26, 101–121. [Google Scholar]
- Kihara, H.; Hatakeyama, W.; Komine, F.; Takafuji, K.; Takahashi, T.; Yokota, J.; Oriso, K.; Kondo, H. Accuracy and practicality of intraoral scanner in dentistry: A literature review. J. Prosthodont. Res. 2020, 64, 109–113. [Google Scholar] [CrossRef]
- Ballo, A.; Nguyen, C.T.; Lee, V.S. Digital Workflow of Auricular Rehabilitation: A Technical Report Using an Intraoral Scanner. J. Prosthodont. 2019, 28, 596–600. [Google Scholar] [CrossRef]
- Hayama, H.; Fueki, K.; Wadachi, J.; Wakabayashi, N. Trueness and precision of digital impressions obtained using an intraoral scanner with different head size in the partially edentulous mandible. J. Prosthodont. Res. 2018, 62, 347–352. [Google Scholar] [CrossRef]
- Medina-Sotomayor, P.; Pascual, M.A.; Camps, A.I. Accuracy of four digital scanners according to scanning strategy in complete-arch impressions. PLoS ONE 2018, 13, e0202916. [Google Scholar] [CrossRef] [PubMed]
- Haddadi, Y.; Bahrami, G.; Isidor, F. Effect of Software Version on the Accuracy of an Intraoral Scanning Device. Int. J. Prosthodont. 2018, 31, 375–376. [Google Scholar] [CrossRef] [PubMed]
- Park, S.-W.; Ms, Y.C.; Lee, D.-H. The effect of the improperly scanned scan body images on the accuracy of virtual implant positioning in computer-aided design software. J. Adv. Prosthodont. 2020, 12, 107–113. [Google Scholar] [CrossRef] [PubMed]
- Rotundo, R.; Nieri, M.; Bonaccini, D.; Mori, M.; Lamberti, E.; Massironi, D.; Giachetti, L.; Franchi, L.; Venezia, P.; Cavalcanti, R.; et al. The Smile Esthetic Index (SEI): A method to measure the esthetics of the smile. An intra-rater and inter-rater agreement study. Eur. J. Oral Implant. 2015, 8, 397–403. [Google Scholar]
- Silva, B.P.; Jiménez-Castellanos, E.; Martinez-De-Fuentes, R.; Greenberg, J.R.; Chu, S. Laypersons’ perception of facial and dental asymmetries. Int. J. Periodontics Restor. Dent. 2013, 33, e162–e171. [Google Scholar] [CrossRef] [PubMed]








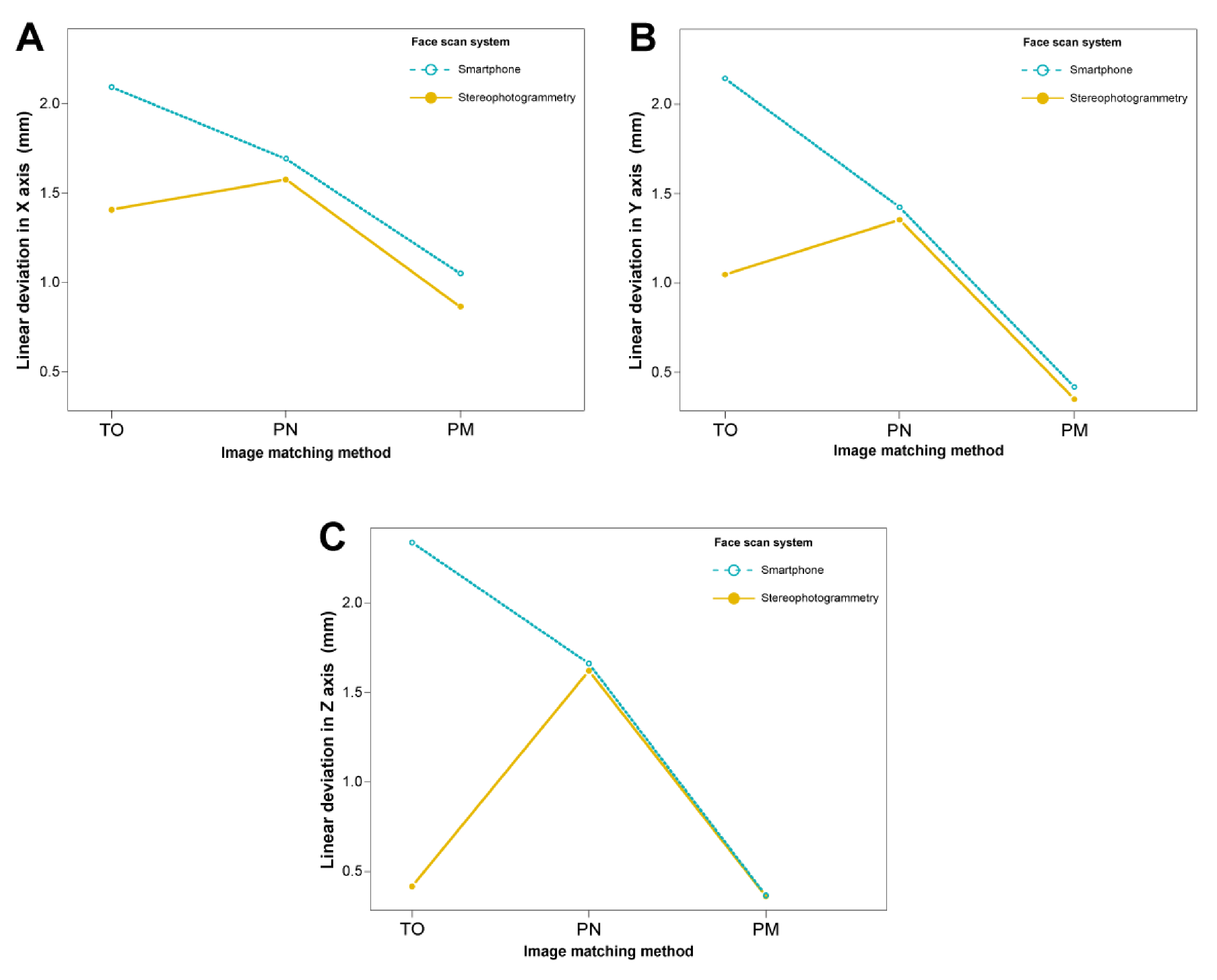
| Axis | Face Scan System | TO | PN | PM | p-Value |
|---|---|---|---|---|---|
| X | Stereophotogrammetry | 1.409 (0.291) a,1 | 1.577 (0.365) a,1 | 0.865 (0.215) b,1 | 0.027 |
| Smartphone | 2.091 (0.750) a,1 | 1.691 (0.084) a,1 | 1.051 (0.341) b,1 | 0.027 | |
| p-value | 0.151 | 0.69 | 0.421 | ||
| Y | Stereophotogrammetry | 1.045 (0.074) a,1 | 1.351 (0.027) b,1 | 0.351 (0.047) c,1 | 0.002 |
| Smartphone | 2.139 (0.162) a,2 | 1.420 (0.348) b,1 | 0.418 (0.094) c,1 | 0.002 | |
| p-value | 0.008 | 0.151 | 0.31 | ||
| Z | Stereophotogrammetry | 0.417 (0.406) a,1 | 1.623 (0.026) b,1 | 0.363 (0.071) a,1 | 0.006 |
| Smartphone | 2.340 (0.333) a,2 | 1.663 (0.143) b,1 | 0.367 (0.040) c,1 | 0.002 | |
| p-value | 0.008 | 0.151 | 0.548 |
| Face Scan System | TO | PN | PM | p-Value |
|---|---|---|---|---|
| Stereophotogrammetry | 3.652 (0.531) a,1 | 5.722 (1.678) b,1 | 2.926 (0.159) a,1 | 0.004 |
| Smartphone | 6.490 (0.739) a,2 | 9.441 (3.339) b,1 | 1.578 (0.718) a,2 | 0.005 |
| p-value | 0.008 | 0.151 | 0.008 |
Publisher’s Note: MDPI stays neutral with regard to jurisdictional claims in published maps and institutional affiliations. |
© 2020 by the authors. Licensee MDPI, Basel, Switzerland. This article is an open access article distributed under the terms and conditions of the Creative Commons Attribution (CC BY) license (http://creativecommons.org/licenses/by/4.0/).
Share and Cite
Mai, H.-N.; Lee, D.-H. The Effect of Perioral Scan and Artificial Skin Markers on the Accuracy of Virtual Dentofacial Integration: Stereophotogrammetry Versus Smartphone Three-Dimensional Face-Scanning. Int. J. Environ. Res. Public Health 2021, 18, 229. https://doi.org/10.3390/ijerph18010229
Mai H-N, Lee D-H. The Effect of Perioral Scan and Artificial Skin Markers on the Accuracy of Virtual Dentofacial Integration: Stereophotogrammetry Versus Smartphone Three-Dimensional Face-Scanning. International Journal of Environmental Research and Public Health. 2021; 18(1):229. https://doi.org/10.3390/ijerph18010229
Chicago/Turabian StyleMai, Hang-Nga, and Du-Hyeong Lee. 2021. "The Effect of Perioral Scan and Artificial Skin Markers on the Accuracy of Virtual Dentofacial Integration: Stereophotogrammetry Versus Smartphone Three-Dimensional Face-Scanning" International Journal of Environmental Research and Public Health 18, no. 1: 229. https://doi.org/10.3390/ijerph18010229
APA StyleMai, H.-N., & Lee, D.-H. (2021). The Effect of Perioral Scan and Artificial Skin Markers on the Accuracy of Virtual Dentofacial Integration: Stereophotogrammetry Versus Smartphone Three-Dimensional Face-Scanning. International Journal of Environmental Research and Public Health, 18(1), 229. https://doi.org/10.3390/ijerph18010229

