Short Term Real-Time Rolling Forecast of Urban River Water Levels Based on LSTM: A Case Study in Fuzhou City, China
Abstract
:1. Introduction
2. Methods
2.1. Study Area and Data
2.2. Method and Implementation
2.2.1. LSTM (Long Short-Term Memory)
2.2.2. Real-Time Rolling Forecast Method and Implementation
2.2.3. Forecast Performance Evaluation Method
3. Results
3.1. Data Sets for Training and Testing
3.2. The Performance of the LSTM Forecast Model in the Whole Test Period
3.3. Error Analysis of Different Simulation Time
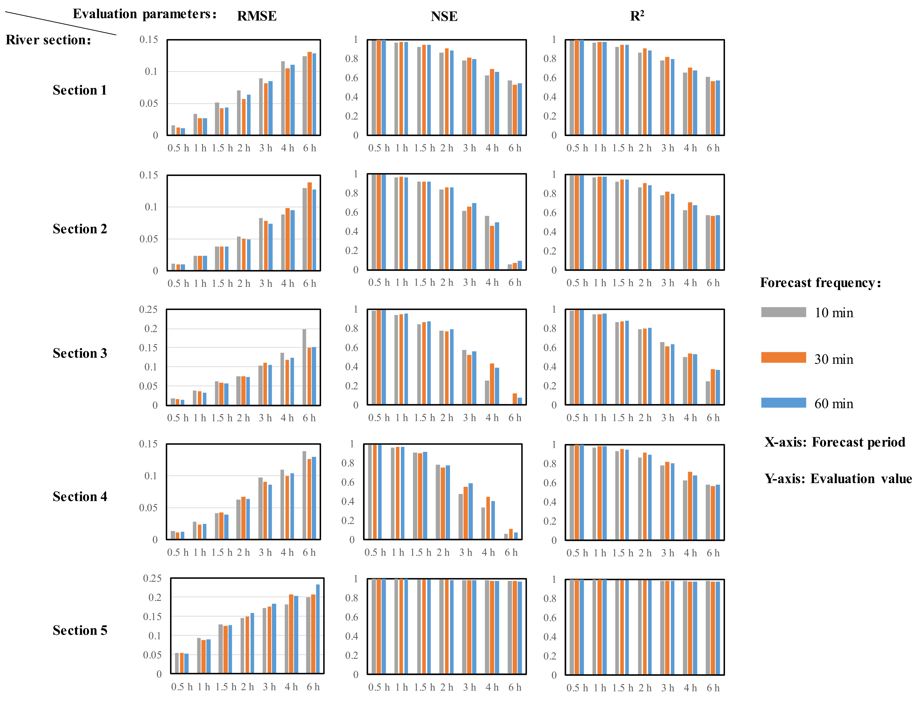
3.4. Performance of LSTM in Different Forecast Periods and Rolling Intervals
4. Discussion
4.1. Impact of River Section Characteristics on LSTM Performance
4.2. Necessity of Real-Time Rolling Forecast Method
4.3. Value Recommendation of Rolling Interval and Forecast Period
4.4. Future Development of the System
5. Conclusions
- (1)
- LSTM can effectively forecast the short-term trend of urban river water levels in the study area. Under the conditions of a rolling interval of 30 min and a forecast period of 2 h, the model performs well in the forecast of five sections. Its highest RMSE is only 0.149, and its lowest NSE and R2 are 0.751 and 0.757, respectively.
- (2)
- The absolute error at the beginning of each forecast is the smallest, and the longer the forecast starts, the greater the absolute error is. Through the real-time rolling forecast method, the forecast water level is corrected to the observed value at the beginning of each simulation, which avoids the error accumulation of long-time simulations.
- (3)
- The forecast period has a significant impact on the performance of the model. Among the five selected river sections in the study area, the forecast system can still perform well for the external river when the forecast period is 6 h, but for the internal river, the forecast performance will deteriorate rapidly when the forecast period is more than 3 h. The rolling interval will not affect the overall accuracy of the model, but it means updating the speed of the model results, which determines whether the model can update the water level trend in time.
- (4)
- In this study, only the water level was considered as the model input. In further studies, with the improvement of the local monitoring system, hydraulic control engineering and natural conditions should be considered as added input factors for the model. In addition, the model and optimization algorithm can be combined to develop an intelligent decision-making system.
Author Contributions
Funding
Institutional Review Board Statement
Informed Consent Statement
Data Availability Statement
Conflicts of Interest
References
- Liu, W.; Zhang, Q.; Liu, G. Influences of watershed landscape composition and configuration on lake-water quality in the Yangtze River basin of China. Hydrol. Process. 2011, 26, 570–578. [Google Scholar] [CrossRef]
- Ferguson, C.R.; Fenner, R.A. The potential for natural flood management to maintain free discharge at urban drainage outfalls. J. Flood Risk Manag. 2020, 13, e12617. [Google Scholar] [CrossRef]
- Balica, S.; Popescu, I.; Beevers, L.; Wright, N. Parametric and physically based modelling techniques for flood risk and vulnerability assessment: A comparison. Environ. Model. Softw. 2013, 41, 84–92. [Google Scholar] [CrossRef]
- Carsell, K.M.; Pingel, N.D.; Ford, D.T. Quantifying the Benefit of a Flood Warning System. Nat. Hazards Rev. 2004, 5, 131–140. [Google Scholar] [CrossRef] [Green Version]
- Keum, H.J.; Han, K.Y.; Kim, H.I. Real-Time Flood Disaster Prediction System by Applying Machine Learning Technique. KSCE J. Civ. Eng. 2020, 24, 2835–2848. [Google Scholar] [CrossRef]
- Flack, D.L.A.; Skinner, C.J.; Hawkness-Smith, L.; O’Donnell, G.; Thompson, R.J.; Waller, J.A.; Chen, A.S.; Moloney, J.; Largeron, C.; Xia, X.; et al. Recommendations for Improving Integration in National End-to-End Flood Forecasting Systems: An Overview of the FFIR (Flooding from Intense Rainfall) Programme. Water 2019, 11, 725. [Google Scholar] [CrossRef] [Green Version]
- Imhoff, R.O.; Brauer, C.C.; Overeem, A.; Weerts, A.H.; Uijlenhoet, R. Spatial and Temporal Evaluation of Radar Rainfall Nowcasting Techniques on 1533 Events. Water Resour. Res. 2020, 56, e2019WR026723. [Google Scholar] [CrossRef]
- Saleh, F.; Ramaswamy, V.; Wang, Y.; Georgas, N.; Blumberg, A.; Pullen, J. A multi-scale ensemble-based framework for forecasting compound coastal-riverine flooding: The Hackensack-Passaic watershed and Newark Bay. Adv. Water Resour. 2017, 110, 371–386. [Google Scholar] [CrossRef]
- Kim, J.; Warnock, A.; Ivanov, V.Y.; Katopodes, N.D. Coupled modeling of hydrologic and hydrodynamic processes including overland and channel flow. Adv. Water Resour. 2012, 37, 104–126. [Google Scholar] [CrossRef]
- Kaya, C.M.; Tayfur, G.; Gungor, O. Predicting flood plain inundation for natural channels having no upstream gauged stations. J. Water Clim. Chang. 2017, 10, 360–372. [Google Scholar] [CrossRef]
- Paiva, R.C.; Collischonn, W.; Tucci, C.E. Large scale hydrologic and hydrodynamic modeling using limited data and a GIS based approach. J. Hydrol. 2011, 406, 170–181. [Google Scholar] [CrossRef]
- Gu, H.; Xu, Y.-P.; Ma, D.; Xie, J.; Liu, L.; Bai, Z. A surrogate model for the Variable Infiltration Capacity model using deep learning artificial neural network. J. Hydrol. 2020, 588, 125019. [Google Scholar] [CrossRef]
- Yang, T.; Asanjan, A.A.; Welles, E.; Gao, X.; Sorooshian, S.; Liu, X. Developing reservoir monthly inflow forecasts using artificial intelligence and climate phenomenon information. Water Resour. Res. 2017, 53, 2786–2812. [Google Scholar] [CrossRef]
- Zhang, J.; Zhu, Y.; Zhang, X.; Ye, M.; Yang, J. Developing a Long Short-Term Memory (LSTM) based model for predicting water table depth in agricultural areas. J. Hydrol. 2018, 561, 918–929. [Google Scholar] [CrossRef]
- Mosavi, A.; Ozturk, P.; Chau, K.-W. Flood Prediction Using Machine Learning Models: Literature Review. Water 2018, 10, 1536. [Google Scholar] [CrossRef] [Green Version]
- Jeong, J.; Park, E.; Chen, H.; Kim, K.-Y.; Han, W.S.; Suk, H. Estimation of groundwater level based on the robust training of recurrent neural networks using corrupted data. J. Hydrol. 2019, 582, 124512. [Google Scholar] [CrossRef]
- Zhang, D.; Lindholm, G.; Ratnaweera, H.; Zhang, D.; Lindholm, G.; Ratnaweera, H. Use long short-term memory to enhance Internet of Things for combined sewer overflow monitoring. J. Hydrol. 2018, 556, 409–418. [Google Scholar] [CrossRef]
- Xiang, Z.; Yan, J.; Demir, I. A Rainfall-Runoff Model with LSTM-Based Sequence-to-Sequence Learning. Water Resour. Res. 2020, 56, e2019WR025326. [Google Scholar] [CrossRef]
- Cho, K.; Van Merrienboer, B.; Gulcehre, C.; Bahdanau, D.; Bougares, F.; Schwenk, H.; Bengio, Y. Learning Phrase Representations using RNN Encoder–Decoder for Statistical Machine Translation. arXiv 2014, arXiv:1406.1078v3. [Google Scholar] [CrossRef]
- Morales, Y.; Querales, M.; Rosas, H.; Allende-Cid, H.; Salas, R. A self-identification Neuro-Fuzzy inference framework for modeling rainfall-runoff in a Chilean watershed. J. Hydrol. 2020, 594, 125910. [Google Scholar] [CrossRef]
- Kratzert, F.; Klotz, D.; Herrnegger, M.; Sampson, A.K.; Hochreiter, S.; Nearing, G.S. Toward Improved Predictions in Ungauged Basins: Exploiting the Power of Machine Learning. Water Resour. Res. 2019, 55, 11344–11354. [Google Scholar] [CrossRef] [Green Version]
- Jeong, J.; Park, E. Comparative applications of data-driven models representing water table fluctuations. J. Hydrol. 2019, 572, 261–273. [Google Scholar] [CrossRef]
- Zhang, J.; Chen, X.; Khan, A.; Zhang, Y.-K.; Kuang, X.; Liang, X.; Taccari, M.L.; Nuttall, J. Daily runoff forecasting by deep recursive neural network. J. Hydrol. 2021, 596, 126067. [Google Scholar] [CrossRef]
- Asanjan, A.A.; Yang, T.; Hsu, K.; Sorooshian, S.; Lin, J.; Peng, Q. Short-Term Precipitation Forecast Based on the PERSIANN System and LSTM Recurrent Neural Networks. J. Geophys. Res. Atmos. 2018, 123, 12543–12563. [Google Scholar] [CrossRef]
- Lv, N.; Liang, X.; Chen, C.; Zhou, Y.; Li, J.; Wei, H.; Wang, H. A long Short-Term memory cyclic model with mutual information for hydrology forecasting: A Case study in the xixian basin. Adv. Water Resour. 2020, 141, 103622. [Google Scholar] [CrossRef]
- Feng, D.; Fang, K.; Shen, C. Enhancing Streamflow Forecast and Extracting Insights Using Long-Short Term Memory Networks with Data Integration at Continental Scales. Water Resour. Res. 2020, 56, e2019WR026793. [Google Scholar] [CrossRef]
- Xu, B.; Zhong, P.-A.; Lu, Q.; Zhu, F.; Huang, X.; Ma, Y.; Fu, J. Multiobjective stochastic programming with recourses for real-time flood water conservation of a multireservoir system under uncertain forecasts. J. Hydrol. 2020, 590, 125513. [Google Scholar] [CrossRef]
- Hochreiter, S.; Schmidhuber, J. Long Short-Term Memory. Neural Comput. 1997, 9, 1735–1780. [Google Scholar] [CrossRef] [PubMed]
- Zheng, F.; Maier, H.R.; Wu, W.; Dandy, G.C.; Gupta, H.V.; Zhang, T. On Lack of Robustness in Hydrological Model Development Due to Absence of Guidelines for Selecting Calibration and Evaluation Data: Demonstration for Data-Driven Models. Water Resour. Res. 2018, 54, 1013–1030. [Google Scholar] [CrossRef]
- Mu, B.; Cheng, P.; Yuan, S.; Chen, L. ENSO Forecasting over Multiple Time Horizons Using ConvLSTM Network and Rolling Mechanism. In Proceedings of the 2019 International Joint Conference on Neural Networks (IJCNN), Budapest, Hungary, 14–19 July 2019; pp. 1–8. [Google Scholar] [CrossRef]
- Mu, B.; Li, J.; Yuan, S.; Luo, X.; Dai, G. NAO Index Prediction using LSTM and ConvLSTM Networks Coupled with Discrete Wavelet Transform. In Proceedings of the 2019 International Joint Conference on Neural Networks (IJCNN), Budapest, Hungary, 14–19 July 2019; pp. 1–8. [Google Scholar] [CrossRef]
- Yuan, S.; Luo, X.; Mu, B.; Li, J.; Dai, G. Prediction of North Atlantic Oscillation Index with Convolutional LSTM Based on Ensemble Empirical Mode Decomposition. Atmosphere 2019, 10, 252. [Google Scholar] [CrossRef] [Green Version]
- Yuan, S.; Wang, C.; Mu, B.; Zhou, F.; Duan, W. Typhoon Intensity Forecasting Based on LSTM Using the Rolling Forecast Method. Algorithms 2021, 14, 83. [Google Scholar] [CrossRef]
- Kingma, D.; Ba, J. Adam: A Method for Stochastic Optimization. arXiv 2014, arXiv:1412.6980. [Google Scholar]
- Liu, Y.; Wang, H.; Lei, X. Real-time forecasting of river water level in urban based on radar rainfall: A case study in Fuzhou City. J. Hydrol. 2021, 603, 126820. [Google Scholar] [CrossRef]
- Vermuyten, E.; Meert, P.; Wolfs, V.; Willems, P. Model uncertainty reduction for real-time flood control by means of a flexible data assimilation approach and reduced conceptual models. J. Hydrol. 2018, 564, 490–500. [Google Scholar] [CrossRef]
- Fotovatikhah, F.; Herrera, M.; Shamshirband, S.; Chau, K.-W.; Ardabili, S.F.; Piran, J. Survey of computational intelligence as basis to big flood management: Challenges, research directions and future work. Eng. Appl. Comput. Fluid Mech. 2018, 12, 411–437. [Google Scholar] [CrossRef] [Green Version]






| Forecast River Section | Max Level (m) | Min Level (m) | Average Level (m) | Standard Deviation Level | ||||
|---|---|---|---|---|---|---|---|---|
| Training | Testing | Training | Testing | Training | Testing | Training | Testing | |
| Section 1 | 5.71 | 5.34 | 4.37 | 4.47 | 4.91 | 4.94 | 4.91 | 4.94 |
| Section 2 | 6.02 | 5.95 | 5.09 | 5.09 | 5.64 | 5.67 | 5.64 | 5.67 |
| Section 3 | 4.77 | 4.49 | 2.97 | 3.17 | 3.98 | 4.05 | 3.98 | 4.05 |
| Section 4 | 4.80 | 4.48 | 3.15 | 3.50 | 4.01 | 4.06 | 4.01 | 4.06 |
| Section 5 | 6.47 | 5.86 | 0.42 | 0.49 | 2.96 | 3.01 | 2.96 | 3.01 |
| Forecast River Section | Absolute Error (0~30 min)/m | Absolute Error (30~60 min)/m | Absolute Error (60~90 min)/m | Absolute Error (90~120 min)/m | ||||
|---|---|---|---|---|---|---|---|---|
| Max | Mean | Max | Mean | Max | Mean | Max | Mean | |
| Section 1 | 0.172 | 0.011 | 0.308 | 0.028 | 0.438 | 0.047 | 0.543 | 0.064 |
| Section 2 | 0.166 | 0.017 | 0.319 | 0.036 | 0.458 | 0.058 | 0.599 | 0.080 |
| Section 3 | 0.170 | 0.015 | 0.341 | 0.035 | 0.491 | 0.058 | 0.571 | 0.077 |
| Section 4 | 0.224 | 0.015 | 0.321 | 0.032 | 0.454 | 0.052 | 0.592 | 0.070 |
| Section 5 | 1.299 | 0.046 | 1.378 | 0.076 | 1.799 | 0.103 | 2.137 | 0.128 |
Publisher’s Note: MDPI stays neutral with regard to jurisdictional claims in published maps and institutional affiliations. |
© 2021 by the authors. Licensee MDPI, Basel, Switzerland. This article is an open access article distributed under the terms and conditions of the Creative Commons Attribution (CC BY) license (https://creativecommons.org/licenses/by/4.0/).
Share and Cite
Liu, Y.; Wang, H.; Feng, W.; Huang, H. Short Term Real-Time Rolling Forecast of Urban River Water Levels Based on LSTM: A Case Study in Fuzhou City, China. Int. J. Environ. Res. Public Health 2021, 18, 9287. https://doi.org/10.3390/ijerph18179287
Liu Y, Wang H, Feng W, Huang H. Short Term Real-Time Rolling Forecast of Urban River Water Levels Based on LSTM: A Case Study in Fuzhou City, China. International Journal of Environmental Research and Public Health. 2021; 18(17):9287. https://doi.org/10.3390/ijerph18179287
Chicago/Turabian StyleLiu, Yu, Hao Wang, Wenwen Feng, and Haocheng Huang. 2021. "Short Term Real-Time Rolling Forecast of Urban River Water Levels Based on LSTM: A Case Study in Fuzhou City, China" International Journal of Environmental Research and Public Health 18, no. 17: 9287. https://doi.org/10.3390/ijerph18179287
APA StyleLiu, Y., Wang, H., Feng, W., & Huang, H. (2021). Short Term Real-Time Rolling Forecast of Urban River Water Levels Based on LSTM: A Case Study in Fuzhou City, China. International Journal of Environmental Research and Public Health, 18(17), 9287. https://doi.org/10.3390/ijerph18179287
