Carbon Storage Change Analysis and Emission Reduction Suggestions under Land Use Transition: A Case Study of Henan Province, China
Abstract
1. Introduction
2. Materials and Methods
2.1. Study Area
2.2. Data Sources
2.3. Methods
2.3.1. Land-Use Change Analysis
2.3.2. Computation of Carbon Storage Change Caused by LUCC
3. Results
3.1. Spatio-Temporal Variation of LUCC from 1990 to 2018
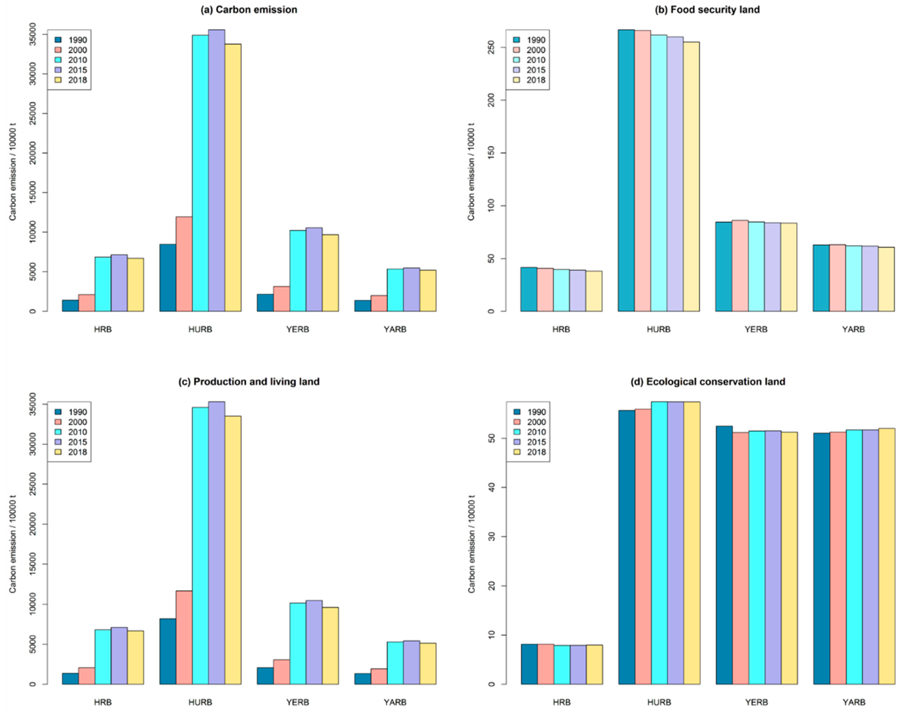
3.2. Spatio-Temporal Variation of Land-Use-Related Carbon Storage Change from 1990 to 2018
4. Discussion
4.1. Advantages to Investigating Land-Use Change in Provincial Administrative Regions by Taking a River Basin Perspective
4.2. Analysis of Carbon Storage Changes Caused by Land-Use Changes
4.3. Suggestions for Carbon Emission Reduction under Land Use Transition
5. Conclusions
Supplementary Materials
Author Contributions
Funding
Institutional Review Board Statement
Informed Consent Statement
Data Availability Statement
Conflicts of Interest
References
- Hu, M.; Li, Z.; Wang, Y.; Jiao, M.; Li, M.; Xia, B. Spatio-temporal chan ges in ecosystem service value in response to land-use/cover changes in the Pearl River Delta. Resour. Conserv. Recycl. 2019, 149, 106–114. [Google Scholar] [CrossRef]
- Marina, M.S.; Cabral-Pinto, M.I.; Orquídia, N.; Almeida, A.A.; Pinto, E.; Oliveiros, B.; Ferreira da Silva, E.A. Human health risk assessment due to agricultural activities and crop consumption in the surroundings of an industrial area. Expo. Health 2020, 12, 629–640. [Google Scholar]
- Cabral-Pinto, M.M.S.; Ferreira da Silva, E.A. Heavy Metals of Santiago Island (Cape Verde) alluvial deposits: Baseline value maps and human health risk assessment. Int. J. Environ. Res. Public Health 2019, 16, 2. [Google Scholar] [CrossRef] [PubMed]
- Alkimim, A.; Clarke, K.C. Land use change and the carbon debt for sugarcane ethanol production in Brazil. Land Use Policy 2018, 72, 65–73. [Google Scholar] [CrossRef]
- Cao, W.; Yuan, X. Region-county characteristic of spatial-temporal evolution and influencing factor on land use-related CO2 emissions in Chongqing of China, 1997–2015. J. Clean. Prod. 2019, 231, 619–632. [Google Scholar] [CrossRef]
- Zhu, E.; Deng, J.; Zhou, M.; Gan, M.; Jiang, R.; Wang, K.; Shahtahmassebi, A. Carbon emissions induced by land-use and land-cover change from 1970 to 2010 in Zhejiang, China. Sci. Total Environ. 2019, 646, 930–939. [Google Scholar] [CrossRef]
- Houghton, R.A.; House, J.I.; Pongratz, J.; van der Werf, G.R.; DeFries, R.S.; Hansen, M.C.; Le Quere, C.; Ramankuttyet, N. Carbon emissions from land use and land-cover change. Biogeosciences 2012, 12, 5125–5142. [Google Scholar] [CrossRef]
- Rounsevell, M.D.A.; Reay, D.S. Land use and climate change in the UK. Land Use Policy 2009, 26, 160–169. [Google Scholar] [CrossRef]
- Su, M.; Jiang, R.; Li, R. Investigating Low-Carbon Agriculture: Case Study of China’s Henan Province. Sustainability 2017, 9, 2295. [Google Scholar] [CrossRef]
- Yang, S.; Jiang, Z.; Sun, X.; Ding, J.; Xu, J. Effects of biochar amendment on CO2 emissions from paddy fields under water-saving irrigation. Int. J. Environ. Res. Public Health 2018, 15, 2580. [Google Scholar] [CrossRef]
- Dixon, R.K.; Solomon, A.M.; Brown, S.; Houghton, R.A.; Wisniewski, J. Carbon pools and flux of global forest ecosystems. Science 1994, 263, 185–190. [Google Scholar] [CrossRef]
- Wang, Y.; Liu, L.; Shangguan, Z. Carbon storage and carbon sequestration potential under the Grain for Green Program in Henan Province, China. Ecol. Eng. 2017, 100, 147–156. [Google Scholar] [CrossRef]
- Li, P.; Zhou, G.; Du, H.; Lu, D.; Guomo, Z.; Xu, X.; Shi, Y.; Zhou, Y. Current and potential carbon stocks in Moso bamboo forests in China. J. Environ. Manag. 2015, 156, 89–96. [Google Scholar] [CrossRef]
- Heimann, M.; Reichstein, M. Terrestrial ecosystem carbon dynamics and climate feedbacks. Nature 2008, 451, 289–292. [Google Scholar] [CrossRef] [PubMed]
- Zeng, Y.; Chen, X.; Jin, W. Land use/cover change and its impact on soil carbon in eastern part of Qinghai Plateau in near 10 years. Trans. Chin. Soc. Agric. Eng. 2014, 30, 275–282. (In Chinese) [Google Scholar]
- He, Z.; Xu, S.; Shen, W.; Long, R.; Chen, H. Impact of urbanization on energy related CO2 emission at different development levels: Regional difference in China based on panel estimation. J. Clean. Prod. 2017, 140, 1719–1730. [Google Scholar] [CrossRef]
- Han, D.; Qiao, R.; Ma, X. Optimization of Land-Use Structure Based on the Trade-Off Between Carbon Emission Targets and Economic Development in Shenzhen, China. Sustainability 2019, 11, 11. [Google Scholar] [CrossRef]
- Sun, Y.; Cheng, Y.; Zhang, H. Study on the Impact of Intensive Use of Urban Industrial Land on Carbon Emission Efficiency in China’ s 15 Sub-provincial Cities. Resour. Environ. Yangtze Basin 2020, 29, 1703–1712. (In Chinese) [Google Scholar]
- Sharma, P.; Rai, S.C. Carbon sequestration with land-use cover change in a Himalayan watershed. Geoderma 2007, 139, 371–378. [Google Scholar] [CrossRef]
- Kumar, J.I.N.; Patel, K.; Kumar, R.N.; Bhoi, R. An assessment of carbon stock for various land use system in Aravally mountains, Western India. Mitig. Adapt. Strateg. Glob. Chang. 2010, 15, 811–824. [Google Scholar] [CrossRef]
- Lai, L.; Huang, X.; Yang, H.; Chuai, X.; Zhang, M.; Zhong, T.; Chen, Z.; Chen, Y.; Wang, X.; Thompson, J.R. Carbon emissions from land-use change and management in China between 1990 and 2010. Sci. Adv. 2016, 2, e1601063. [Google Scholar] [CrossRef]
- Zhang, M.; Huang, X.; Chuai, X.; Yang, H.; Lai, L.; Tan, J. Impact of land use type conversion on carbon storage in terrestrial ecosystems of China: A spatial-temporal perspective. Sci. Rep. 2015, 5, 10233. [Google Scholar] [CrossRef]
- Jiang, L.; Zhang, Y. Modeling urban expansion and agricultural land conversion in Henan Province, China: An integration of land use and socioeconomic data. Sustainability 2016, 8, 920. [Google Scholar] [CrossRef]
- He, J.; Zhang, P. Evaluating the coordination of Industrial-Economic development based on anthropogenic carbon emissions in Henan Province, China. Int. J. Environ. Res. Public Health 2018, 15, 1815. [Google Scholar] [CrossRef] [PubMed]
- Jiang, L.; Li, Z. Urbanization and the change of fertilizer use intensity for agricultural production in Henan Province. Sustainability 2016, 8, 186. [Google Scholar] [CrossRef]
- Liu, Y.; Bi, J.; Lv, J. Classification of ecosystem services and a reclassification framework of watershed ecosystem services. Resour. Sci. 2019, 41, 1189–1200. (In Chinese) [Google Scholar]
- Ye, J.; Liu, S.; Sheng, F.; Liu, Z.; Yang, M.; Li, J.; Ye, J.; Liu, S.; Sheng, F.; Liu, Z.; et al. Landscape pattern evolution and ecological environment effect of Xunwu watershed. Acta Ecol. Sin. 2020, 40, 1–12. (In Chinese) [Google Scholar]
- Xiao, D.; Niu, H.; Yan, H.; Fan, L.; Zhao, S. Spatio-temperal evolution of land use pattern in the Yellow River Basin (Henan section) from 1990 to 2018. Trans. CSAE 2020, 36, 271–281. [Google Scholar]
- Song, J.; Cai, D.; Deng, J.; Wang, K.; Shen, Z. Dynamics of paddy field patterns in response to urbanization: A case study of the Hang-Jia-Hu Plain. Sustainability 2015, 7, 13813–13835. [Google Scholar] [CrossRef]
- Zhang, B.; Miao, C. Spatiotemporal changes and driving forces of land use in the Yellow River Basin. Resour. Sci. 2020, 42, 460–473. [Google Scholar]
- Gu, Z.; Gu, L.; Eils, R.; Schlesner, M.; Brors, B. Circlize implements and enhances circular visualization in R. Bioinformatics 2014, 30, 2811–2812. [Google Scholar] [CrossRef] [PubMed]
- Cheng, Y.; Wang, Z.; Ye, X.; Wei, Y.D. Spatiotemporal dynamics of carbon intensity from energy consumption in China. J. Geogr. Sci. 2014, 24, 631–650. [Google Scholar] [CrossRef]
- Ma, H.; Ding, Y.; Pang, Q. Utilization Change of Lake and Its Carbon Emission in Wuhan City. Resour. Environ. Yangtze Basin 2020, 29, 369–375. (In Chinese) [Google Scholar]
- Xu, J.; Pan, H.; Huang, P. Carbon emission and ecological compensation of main functional areas in Sichuan Province based on LUCC. Chin. J. Eco-Agric. 2019, 27, 142–152. (In Chinese) [Google Scholar]
- Li, Y.; Huang, X.; Zhen, F. Effects of land use patterns on carbon emission in Jiangsu Province. Trans. CSAE 2008, 24 (Suppl. 2), 102–107. (In Chinese) [Google Scholar]
- Zhou, J.; Wang, Y.; Liu, X.; Shi, X.; Cai, C. Spatial Temporal Differences of Carbon Emissions and Carbon Compensation in China Based on Land Use Change. Sci. Geogr. Sin. 2019, 39, 1955–1961. (In Chinese) [Google Scholar]
- Wang, X.; Lu, F.; Qin, Y.; Sun, Y. Spatial and temporal changes of carbon sources and sinks in Henan Province. Prog. Geogr. 2016, 35, 941–951. (In Chinese) [Google Scholar]
- Liu, R.; Zhu, D. Methods for Detecting Land Use Changes Based on the Land Use Transition Matrix. Resour. Sci. 2010, 32, 1544–1550. (In Chinese) [Google Scholar]
- Duan, Z.; Zhang, F.; Kong, X. Method for information mining of land- use change and its applicaion. Trans. CSAE 2005, 21, 60–66. (In Chinese) [Google Scholar]
- Niu, H.; Fan, L.; Zhang, X. Land Use and Transformation in Henan Province During the Period of Economic and Social Transition; Science Press: Beijing, China, 2017; pp. 1–273. (In Chinese) [Google Scholar]
- Xie, H.; He, Y.; Choi, Y.; Chen, Q.; Cheng, H. Warning of negative effects of land-use changes on ecological security based on GIS. Sci. Total Environ. 2020, 704, 135427. [Google Scholar] [CrossRef]
- Zhang, Y.; Cheng, W.; Liu, H. Analysis on Changes in Land Use Structure in Henan Province from 2005 to 2010. Res. Soil Water Conserv. 2015, 22, 258–263. (In Chinese) [Google Scholar]
- Wen, Y.; Gao, J.; Liang, D. Social and Economic Driving Factors for the Expansion of Construction Land in Henan Province: Based on STIRPAT Model. Areal Res. Dev. 2016, 35, 121–126. (In Chinese) [Google Scholar]
- Su, Y. Dynamic security assessment and the countermeasures analysis of land ecology in Henan province from 2007 to 2017. RSC Adv. 2019, 9, 32414–32424. [Google Scholar] [CrossRef]
- Yin, S.; Zhang, X.; Lyu, J.; Zhi, Y.; Chen, F.; Wang, L.; Liu, C.; Zhou, S. Carbon sequestration and emissions mitigation in paddy fields based on the DNDC model: A review. Artif. Intell. Agric. 2020, 4, 140–149. [Google Scholar] [CrossRef]
- Xie, H.; Zhai, Q.; Wang, W.; Yu, J.; Lu, F.; Chen, Q. Does intensive land use promote a reduction in carbon emissions? Evidence from the Chinese industrial sector. Resour. Conserv. Recycl. 2018, 137, 167–176. [Google Scholar] [CrossRef]
- Meng, Q. Urban Green Space Remote Sensing; Science Press: Beijing, China, 2020; pp. 1–195. (In Chinese) [Google Scholar]







| Land-Use Types | Emission (Absorption) Coefficient | Unit |
|---|---|---|
| Woodland | −0.00578 | kt/(km2·a) |
| Grassland | −0.00021 | kt/(km2·a) |
| Water | −0.00252 | kt/(km2·a) |
| Unused land | −0.00005 | kt/(km2·a) |
| Farmland | 0.00422 | kt/(km2·a) |
| Item | Coal | Coke | Gasoline | Kerosene | Diesel Oil | Fuel Oil | Liquefied Petroleum Gas | Natural Gas |
|---|---|---|---|---|---|---|---|---|
| Net heat value (TJ/kt) | 20.93 | 28.47 | 43.12 | 44.10 | 42.71 | 41.87 | 47.47 | 38.90 |
| Carbon emission coefficient (t/TJ) | 26.80 | 29.41 | 18.90 | 19.60 | 20.17 | 21.09 | 17.20 | 15.32 |
| Oxidation coefficient (%) | 91.50 | 92.80 | 98.00 | 98.60 | 98.20 | 98.50 | 98.50 | 99.00 |
| Region | Land Use Type | 1990 | 2000 | 2010 | 2015 | 2018 | |||||
|---|---|---|---|---|---|---|---|---|---|---|---|
| AR (km2) | PR (%) | AR (km2) | PR (%) | AR (km2) | PR (%) | AR (km2) | PR (%) | AR (km2) | PR (%) | ||
| HRB | FS | 9861.13 | 66.03 | 9674.89 | 64.78 | 9388.57 | 62.87 | 9251.77 | 61.95 | 9033.73 | 60.49 |
| EC | 3361.42 | 22.51 | 3354.03 | 22.46 | 3242.63 | 21.71 | 3247.96 | 21.75 | 3262.80 | 21.85 | |
| PL | 1711.79 | 11.46 | 1905.44 | 12.76 | 2303.14 | 15.42 | 2434.61 | 16.30 | 2637.79 | 17.66 | |
| Total | 14,934.34 | 100 | 14,934.36 | 100 | 14,934.34 | 100 | 14,934.34 | 100 | 14,934.32 | 100 | |
| HURB | FS | 63,195.49 | 73.19 | 63,030.26 | 73.00 | 62,009.76 | 71.81 | 61,609.66 | 71.35 | 60,434.00 | 69.99 |
| EC | 12,987.47 | 15.04 | 12,532.53 | 14.51 | 12,636.28 | 14.63 | 12,639.31 | 14.64 | 12,670.76 | 14.67 | |
| PL | 10,162.57 | 11.77 | 10,783.99 | 12.49 | 11,700.71 | 13.55 | 12,097.76 | 14.01 | 13,241.73 | 15.34 | |
| Total | 86,345.53 | 100 | 86,346.78 | 100 | 86,346.75 | 99.99 | 86,346.73 | 100 | 86,346.49 | 100 | |
| YERB | FS | 20,043.68 | 54.86 | 20,438.80 | 55.94 | 20,082.97 | 54.96 | 19,917.28 | 54.51 | 19,786.92 | 54.15 |
| EC | 13,920.89 | 38.10 | 13,279.31 | 36.34 | 13,025.69 | 35.65 | 13,033.42 | 35.67 | 12,953.67 | 35.45 | |
| PL | 2573.08 | 7.04 | 2819.59 | 7.72 | 3429.09 | 9.39 | 3587.05 | 9.82 | 3797.14 | 10.39 | |
| Total | 36,537.65 | 100 | 36,537.7 | 100 | 36,537.75 | 100 | 36,537.75 | 100 | 36,537.73 | 99.99 | |
| YARB | FS | 14,914.11 | 54.05 | 14,958.95 | 54.22 | 14,734.26 | 53.40 | 14,665.78 | 53.15 | 14,390.52 | 52.16 |
| EC | 11,019.25 | 39.94 | 10,842.98 | 39.30 | 11,066.52 | 40.11 | 11,068.38 | 40.11 | 11,169.71 | 40.48 | |
| PL | 1658.46 | 6.01 | 1789.89 | 6.49 | 1791.03 | 6.49 | 1857.65 | 6.73 | 2031.55 | 7.36 | |
| Total | 27,591.82 | 100 | 27,591.82 | 100 | 27,591.81 | 100 | 27,591.81 | 99.99 | 27,591.78 | 100 | |
| Region | Land Use Type | 1990–2000 | 2000–2010 | 2010–2015 | 2015–2018 | 1990–2018 | |||||
|---|---|---|---|---|---|---|---|---|---|---|---|
| AR (km2) | PR (%) | AR (km2) | PR (%) | AR (km2) | PR (%) | AR (km2) | PR (%) | AR (km2) | PR (%) | ||
| HRB | FS | −186.23 | −1.25 | −286.32 | −1.92 | −136.80 | −0.92 | −218.04 | −1.46 | −827.39 | −5.54 |
| EC | −7.39 | −0.05 | −111.41 | −0.75 | 5.33 | 0.04 | 14.84 | 0.10 | −98.63 | −0.66 | |
| PL | 193.65 | 1.30 | 397.71 | 2.66 | 131.47 | 0.59 | 203.18 | 1.36 | 926.00 | 6.20 | |
| HURB | FS | −165.23 | −0.19 | −1020.51 | −1.18 | −400.09 | −0.46 | −1175.66 | −1.36 | −2761.50 | −3.20 |
| EC | −454.94 | −0.53 | 103.74 | 0.12 | 3.04 | 0.00 | 31.44 | 0.04 | −316.72 | −0.37 | |
| PL | 621.42 | 0.72 | 916.72 | 1.06 | 397.05 | 0.46 | 1143.97 | 1.32 | 3079.16 | 3.57 | |
| YERB | FS | 395.13 | 1.08 | −355.83 | −0.97 | −165.69 | −0.45 | −130.36 | −0.36 | −256.76 | −0.70 |
| EC | −641.57 | −1.76 | −253.62 | −0.69 | 7.73 | 0.02 | −79.75 | −0.22 | −967.22 | −2.65 | |
| PL | 246.51 | 0.67 | 609.49 | 1.67 | 157.96 | 0.43 | 210.09 | 0.58 | 1224.06 | 3.35 | |
| YARB | FS | 44.84 | 0.16 | −224.69 | −0.81 | −68.48 | −0.25 | −275.26 | −1.00 | −523.59 | −1.90 |
| EC | −176.26 | −0.64 | 223.53 | 0.81 | 1.86 | 0.01 | 101.33 | 0.37 | 150.46 | 0.55 | |
| PL | 131.43 | 0.48 | 1.14 | 0.00 | 66.62 | 0.24 | 173.90 | 0.63 | 373.09 | 1.35 | |
| Item | 1990 | 2000 | 2010 | 2015 | 2018 |
|---|---|---|---|---|---|
| Food security land (million tons) | 4.56 | 4.56 | 4.48 | 4.45 | 4.37 |
| Ecological conservation land (million tons) | −1.67 | −1.67 | −1.69 | −1.69 | −1.69 |
| Production and living land (million tons) | 129.91 | 187.23 | 568.57 | 583.00 | 549.21 |
| Carbon source (million tons) | 134.46 | 191.79 | 573.06 | 587.45 | 553.58 |
| Carbon sink (million tons) | −1.67 | −1.67 | −1.69 | −1.69 | −1.69 |
Publisher’s Note: MDPI stays neutral with regard to jurisdictional claims in published maps and institutional affiliations. |
© 2021 by the authors. Licensee MDPI, Basel, Switzerland. This article is an open access article distributed under the terms and conditions of the Creative Commons Attribution (CC BY) license (http://creativecommons.org/licenses/by/4.0/).
Share and Cite
Xiao, D.; Niu, H.; Guo, J.; Zhao, S.; Fan, L. Carbon Storage Change Analysis and Emission Reduction Suggestions under Land Use Transition: A Case Study of Henan Province, China. Int. J. Environ. Res. Public Health 2021, 18, 1844. https://doi.org/10.3390/ijerph18041844
Xiao D, Niu H, Guo J, Zhao S, Fan L. Carbon Storage Change Analysis and Emission Reduction Suggestions under Land Use Transition: A Case Study of Henan Province, China. International Journal of Environmental Research and Public Health. 2021; 18(4):1844. https://doi.org/10.3390/ijerph18041844
Chicago/Turabian StyleXiao, Dongyang, Haipeng Niu, Jin Guo, Suxia Zhao, and Liangxin Fan. 2021. "Carbon Storage Change Analysis and Emission Reduction Suggestions under Land Use Transition: A Case Study of Henan Province, China" International Journal of Environmental Research and Public Health 18, no. 4: 1844. https://doi.org/10.3390/ijerph18041844
APA StyleXiao, D., Niu, H., Guo, J., Zhao, S., & Fan, L. (2021). Carbon Storage Change Analysis and Emission Reduction Suggestions under Land Use Transition: A Case Study of Henan Province, China. International Journal of Environmental Research and Public Health, 18(4), 1844. https://doi.org/10.3390/ijerph18041844

