Weekly Variations in the Workload of Turkish National Youth Wrestlers: A Season of Complete Preparation
Abstract
1. Introduction
2. Materials and Methods
2.1. Participants
2.2. Sample Size
2.3. Study Design
2.4. Tests and Outcomes
2.5. Statistical Analysis
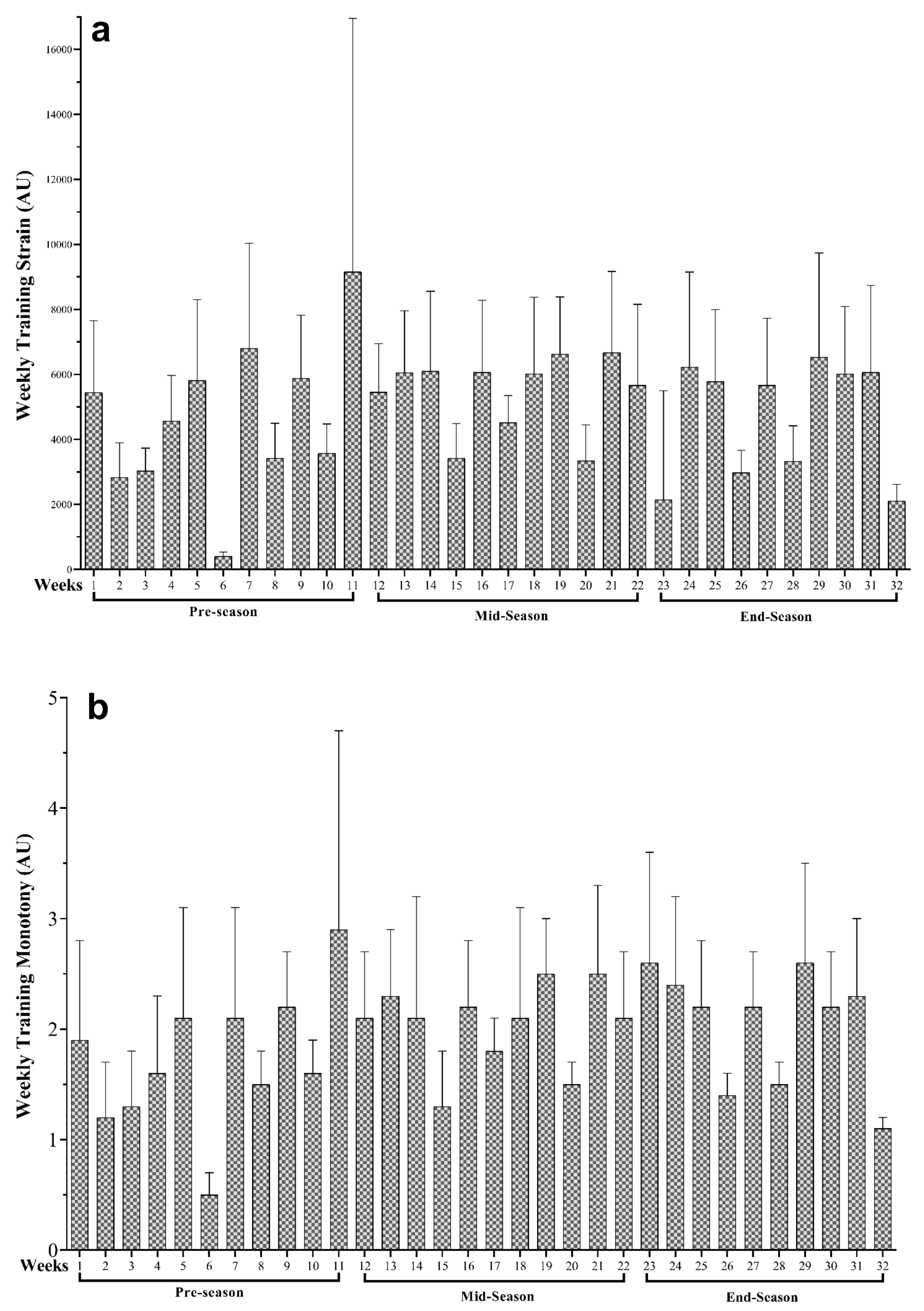
3. Results
4. Discussion
5. Conclusions
Author Contributions
Funding
Institutional Review Board Statement
Informed Consent Statement
Data Availability Statement
Acknowledgments
Conflicts of Interest
References
- Gabbett, T.J. The training-performance puzzle: How can the past inform future training directions? J. Athl. Train. 2020, 55, 874–884. [Google Scholar] [CrossRef]
- Gabbett, T.J. How Much? How Fast? How Soon? Three Simple Concepts for Progressing Training Loads to Minimize Injury Risk and Enhance Performance. J. Orthop. Sport. Phys. Ther. 2019, 50, 570–573. [Google Scholar] [CrossRef] [PubMed]
- Foster, C. Monitoring training in athletes with reference to overtraining syndrome. Med. Sci. Sports Exerc. 1998, 30, 1164–1168. [Google Scholar] [CrossRef]
- Maupin, D.; Schram, B.; Canetti, E.; Orr, R. The Relationship Between Acute: Chronic Workload Ratios and Injury Risk in Sports: A Systematic Review. Open Access J. Sport. Med. 2020, 11, 51–75. [Google Scholar] [CrossRef]
- Mujika, I. Quantification of Training and Competition Loads in Endurance Sports: Methods and Applications. Int. J. Sports Physiol. Perform. 2017, 12, S2-9–S2-17. [Google Scholar] [CrossRef] [PubMed]
- Kraemer, W.J.; Vescovi, J.D.; Dixon, P. The physiological basis of wrestling: Implications for conditioning programs. Strength Cond. J. 2004, 26, 10–15. [Google Scholar] [CrossRef]
- Ian Lambert, M.; Borresen, J. Measuring training load in sports. Int. J. Sports Physiol. Perform. 2010, 5, 406–411. [Google Scholar] [CrossRef]
- Haddad, M.; Stylianides, G.; Djaoui, L.; Dellal, A.; Chamari, K. Session-RPE Method for Training Load Monitoring: Validity, Ecological Usefulness, and Influencing Factors. Front. Neurosci. 2017, 11, 612. [Google Scholar] [CrossRef]
- Bromley, S.J.; Drew, M.K.; McIntosh, A.; Talpey, S. Rating of perceived exertion is a stable and appropriate measure of workload in judo. J. Sci. Med. Sport 2018, 21, 1008–1012. [Google Scholar] [CrossRef] [PubMed]
- Nobari, H.; Silva, A.F.; Clemente, F.M.; Siahkouhian, M.; García-Gordillo, M.Á.; Adsuar, J.C.; Pérez-Gómez, J. Analysis of Fitness Status Variations of Under-16 Soccer Players Over a Season and Their Relationships with Maturational Status and Training Load. Front. Physiol. 2021, 11, 1840. [Google Scholar] [CrossRef]
- Nobari, H.; Alves, A.R.; Clemente, F.M.; Pérez-Gómez, J.; Clark, C.C.T.; Granacher, U.; Zouhal, H. Associations Between Variations in Accumulated Workload and Physiological Variables in Young Male Soccer Players Over the Course of a Season. Front. Physiol. 2021, 12, 233. [Google Scholar] [CrossRef]
- Nobari, H.; Aquino, R.; Clemente, F.M.; Khalafi, M.; Adsuar, J.C.; Pérez-Gómez, J. Description of acute and chronic load, training monotony and strain over a season and its relationships with well-being status: A study in elite under-16 soccer players. Physiol. Behav. 2020, 225, 113117. [Google Scholar] [CrossRef]
- Nobari, H.; Tubagi Polito, L.F.; Clemente, F.M.; Pérez-Gómez, J.; Ahmadi, M.; Garcia-Gordillo, M.Á.; Silva, A.F.; Adsuar, J.C. Relationships Between Training Workload Parameters with Variations in Anaerobic Power and Change of Direction Status in Elite Youth Soccer Players. Int. J. Environ. Res. Public Health 2020, 17, 7934. [Google Scholar] [CrossRef]
- Lu, D.; Howle, K.; Waterson, A.; Duncan, C.; Duffield, R. Workload profiles prior to injury in professional soccer players. Sci. Med. Footb. 2017, 1, 237–243. [Google Scholar] [CrossRef]
- Clemente, F.M.; Mendes, B.; Bredt, S.T.; Praça, G.M.; Silvério, A.; Carriço, S.; Duarte, E. Perceived Training Load, Muscle Soreness, Stress, Fatigue, and Sleep Quality in Professional Basketball. J. Hum. Kinet. 2019, 67, 199–207. [Google Scholar] [CrossRef] [PubMed]
- Slimani, M.; Davis, P.; Franchini, E.; Moalla, W. Rating of Perceived Exertion for Quantification of Training and Combat Loads During Combat Sport-Specific Activities. J. Strength Cond. Res. 2017, 31, 2889–2902. [Google Scholar] [CrossRef]
- Nakamura, F.Y.; Pereira, L.A.; Cal Abad, C.C.; Franchini, E.; Loturco, I. Cardiac autonomic and neuromuscular responses during a karate training camp before the 2015 pan American games: A case study with the Brazilian national team. Int. J. Sports Physiol. Perform. 2016, 11, 833–837. [Google Scholar] [CrossRef]
- Milanez, V.F.; Spiguel Lima, M.C.; Gobatto, C.A.; Perandini, L.A.; Nakamura, F.Y.; Ribeiro, L.F.P. Relations entre perception de l’effort (RPE) et intensité de l’exercice durant une séance d’entraînement en karaté. Sci. Sport. 2011, 26, 38–43. [Google Scholar] [CrossRef]
- Casolino, E.; Cortis, C.; Lupo, C.; Chiodo, S.; Minganti, C.; Capranica, L. Physiological versus psychological evaluation in taekwondo elite athletes. Int. J. Sports Physiol. Perform. 2012, 7, 322–331. [Google Scholar] [CrossRef] [PubMed][Green Version]
- Gabbett, T.J. The training—injury prevention paradox: Should athletes be training smarter and harder? Br. J. Sports Med. 2016, 50, 273–280. [Google Scholar] [CrossRef]
- Agostinho, M.F.; Moreira, A.; Julio, U.F.; Marcolino, G.S.; Antunes, B.M.M.; Lira, F.S.; Franchini, E. Monitoring internal training load and salivary immune-endocrine responses during an annual judo training periodization. J. Exerc. Rehabil. 2017, 13, 68–75. [Google Scholar] [CrossRef] [PubMed]
- Arazi, H.; Mirzaei, B.; Nobari, H. Anthropometric profile, body composition and somatotyping of national Iranian cross-country runners. Turkish J. Sport Exerc. 2015, 17, 35–41. [Google Scholar] [CrossRef]
- Norton, K.I. Standards for anthropometry assessment. In Kinanthropometry and Exercise Physiology; Routledge: London, UK, 2019; pp. 68–137. [Google Scholar]
- Buchheit, M. The 30–15 Intermittent Fitness Test: 10 year review. Myorobie J. 2010, 1, 1–9. [Google Scholar]
- Borg, G. Perceived exertion as an indicator of somatic stress. Scand. J. Rehabil. Med. 1970, 2, 92–98. [Google Scholar]
- Clemente, F.M.; Silva, A.F.; Clark, C.C.T.; Conte, D.; Ribeiro, J.; Mendes, B.; Lima, R. Analyzing the Seasonal Changes and Relationships in Training Load and Wellness in Elite Volleyball Players. Int. J. Sports Physiol. Perform. 2020, 15, 731–740. [Google Scholar] [CrossRef]
- Hulin, B.T.; Gabbett, T.J.; Lawson, D.W.; Caputi, P.; Sampson, J.A. The acute:chronic workload ratio predicts injury: High chronic workload may decrease injury risk in elite rugby league players. Br. J. Sports Med. 2016, 50, 231–236. [Google Scholar] [CrossRef] [PubMed]
- Malone, S.; Owen, A.; Newton, M.; Mendes, B.; Collins, K.D.; Gabbett, T.J. The acute:chonic workload ratio in relation to injury risk in professional soccer. J. Sci. Med. Sport 2017, 20, 561–565. [Google Scholar] [CrossRef] [PubMed]
- Hedges, L.V.; Olkin, I. Statistical Methods for Meta-Analysis; Academic Press: San Diego, CA, USA, 1985. [Google Scholar]
- Kline, R.B. Beyond Significance Testing: Reforming Data Analysis Methods in Behavioral Research; American Psychological Association: Washington, USA, 2004; ISBN 1-59147-118-4. [Google Scholar]
- Lakens, D. Calculating and Reporting Effect Sizes to Facilitate Cumulative Science: A Practical Primer for t-tests and ANOVAs Article type: Received on: Accepted on: Citation: RUNNING HEAD: Calculating and Reporting Effect Sizes Calculating and Reporting Effect. Front. Psychol. 2013, 4, 1–12. [Google Scholar] [CrossRef]
- Batterham, A.M.; Hopkins, W.G. Making Meaningful Inferences about Magnitudes. Int. J. Sports Physiol. Perform. 2006, 1, 50–57. [Google Scholar] [CrossRef]
- Foster, C.; Florhaug, J.A.; Franklin, J.; Gottschall, L.; Hrovatin, L.A.; Parker, S.; Doleshal, P.; Dodge, C. A new approach to monitoring exercise training. J. Strength Cond. Res. 2001, 15, 109–115. [Google Scholar]
- Foster, C.; Rodriguez-Marroyo, J.A.; de Koning, J.J. Monitoring Training Loads: The Past, the Present, and the Future. Int. J. Sports Physiol. Perform. 2017, 12, S2-2–S2-8. [Google Scholar] [CrossRef] [PubMed]
- Gabbett, T.J. Debunking the myths about training load, injury and performance: Empirical evidence, hot topics and recommendations for practitioners. Br. J. Sports Med. 2020, 54, 58–66. [Google Scholar] [CrossRef] [PubMed]
- Branco, B.H.M.; Massuça, L.M.; Andreato, L.V.; Marinho, B.F.; Miarka, B.; Monteiro, L.; Franchini, E. Association between the rating perceived exertion, heart rate and blood lactate in successive judo fights (Randori). Asian J. Sports Med. 2013, 4, 125–130. [Google Scholar] [CrossRef] [PubMed]
- Agostinho, M.F.; Philippe, A.G.; Marcolino, G.S.; Pereira, E.R.; Busso, T.; Candau, R.B.; Franchini, E. Perceived training intensity and performance changes quantification in judo. J. Strength Cond. Res. 2015, 29, 1570–1577. [Google Scholar] [CrossRef] [PubMed]
- Andreato, L.V.; Franzói de Moraes, S.M.; Esteves, J.V.C.; Pereira, R.R.d.A.; Gomes, T.L.d.M.; Andreato, T.V.; Franchini, E. Physiological responses and rate of perceived exertion in brazilian jiu-jitsu athletes. Kinesiology 2012, 44, 173–181. [Google Scholar]


| Variables | Mean ± SD | Confidence Interval 95% |
|---|---|---|
| Height (cm) | 163.0 ± 4.8 | (162.7 to 163.3) |
| Body mass (kg) | 57.7 ± 9.0 | (52.1 to 63.3) |
| VO2max (ml.kg−1.min−1) | 48.7 ± 1.4 | (47.8 to 49.6) |
| Age (years) | 16.0 ± 0.7 | (15.6 to 16.4) |
| Days | Morning | Evening |
|---|---|---|
| Saturday | Light exercise—flexibility + complementary movements (pulling—rope) General structure I. Starting Practice: Flexibility and Conditioning Exercises (10 to 15 min) A. Neck circles and four-way neck exercises; B. Arm circles; C. Wrist and ankle circles; D. Belly circles; E. Leg stretches; F. Ankle circles; G. Bridging (side to side and backward and forward); H. Push-ups; I. Run and front roll intervals II. Wrestling Drill Work (15 min) A. Penetration drill; B. Push-pull drill; C. Spin drill to snap-down drill; D. Hip-heist drill * General warm-up in all wrestling training. Aerobic Training 30 min of low-intensity cardio. Heart rate in the 140–150 range | Weight training with maximum strength method (For heavyweights) and (For lightweight) 1. Bench Press 3 × 12−15 2. Deadlift 3 × 12−15 3. Overhead Barbell Press: 3 sets × 8−10 reps 4. Weighted Decline Sit-up: 3 sets × 20 reps 5. Hanging Leg/knee raise: 3 sets × 10−15 reps 6. Plank: 3 sets × 60 s |
| Sunday | Paired strength exercises that mimic wrestling moves (partner drills). Review of the technique with emphasis on general and local endurance 8–10 min in total (40–45 min)—around the anaerobic threshold Wrestling Drill Work A. Penetration drill; B. Push–pull drill; C. Spin drill to snap-down drill; D. Hip-heist drill | Combat practice with times longer than the actual match time in total (20–25 min) Teach New Move or Review Move A. Use step-by-step analysis of moves so wrestlers understand why and how they work. 1. Fireman’s carry instruction 2. Standing Peterson roll |
| Monday | OFF | Upper Body Plyometric Workout Plyometric Pushup: 3 × 5−10 Overhead Throw: 3 × 5−10 Medicine Ball slam: 3 × 5−10 Squat throws: 3 × 5−10 High İntensity Cardio Light jog for 5 min 5 × 50 m sprints (rest 2–3 min in between sprints) |
| Tuesday | Weight training with maximum strength method for (heavyweights) and for (lightweight) 1. Bentover Row 3 × 12 2. Bench Press 3 × 12 3. Squat 3 × 12 4. Rope climbing 7 m rope × 5 max speed 5. Romanian Deadlift 3 × 12 | Wrestling Workout Session A. Neutral position (60% of wrestling workout session) B. Starting in referee’s position: offensive and defensive position (40% of wrestling workout session) Paired strength exercises that mimic wrestling moves (partner drills). A. Sprawl drill; B. Ankle–waist drill on whistle; C. Spin drill to snap-down drill; D. Stand-up (hand control) drill Finishing Practice: Conditioning Exercises (10 to 15 min) A. Run for 10 min (sprint and jog intervals) or jump rope; B. Strength exercises (such as sit-ups, push-ups, pull-ups on bar); C. Chalk talk as wrestlers cool down |
| Wednesday | Fighting practice With longer times than real race time Wrestling Workout Session (30 min) A. Neutral position (60% of wrestling workout session); B. Starting in referee’s position: offensive and defensive position (40% of wrestling workout session) A. Sprawl drill; B. Ankle–waist drill on whistle; C. Spin drill to snap-down drill; D. Stand-up (hand control) drill | Lower Body Plyometrics and High-Intensity Cardio 1. Squat Jumps: 3 × 5 × 10 2. Side to Side Lateral Hop: 3 × 5 × 10 3. Standing Long Jump: 3 × 5−10 High-Intensity Cardio – Light jog for 5 min – 5 × 50-m sprints (Rest 2–3 min between sprints) |
| Thursday | Aerobic Exercise In the range of 4–2 heart rate (Extensive Endurance) | Wrestling Drill Work A. Sprawl drill; B. Ankle–waist drill on whistle; C. Spin drill to snap-down drill; D. Stand-up (hand control) drill Wrestling Workout Session A. Neutral position (80% of wrestling workout session); B. Starting in referee’s position: offensive and defensive position (70% of wrestling workout session) |
| Friday | Anaerobic Workout (4 sets in total) 20 burpee; 20 horizontal jump; 20 jumping jack; 50 m run; 20 burpee; 20 long jump; 20 push up; 50 m run. There is no rest between movements. 2–3 min rest after all the movements | OFF Pool and sauna |
| Days | Morning | Evening |
|---|---|---|
| Saturday | Light exercise—flexibility + complementary movements (pulling—rope) General structure I. Starting Practice: Flexibility and Conditioning Exercises (10 to 15 min) A. Neck circles and four-way neck exercises; B. Arm circles; C. Wrist and ankle circles; D. Belly circles; E. Leg stretches; F. Ankle circles; G. Bridging (side to side and backward and forward); H. Push-ups; I. Run and front roll intervals II. Wrestling Drill Work (15 min) A. Penetration drill; B. Push-pull drill; C. Spin drill to snap-down drill; D. Hip-heist drill * General warm-up in all wrestling training. Anaerobic Training 5 × 400 m; 4 × 200 m; 2 ×100 m | Hang Clean: 7 × 1 Box Jumps: 7 × 3 Shuffle Pushups: 3 × 20 300 m Shuttle Lateral Wall Walks 3 × 15 m BB Walking Lunge Snatch Pull & Shrug: 3 × 4 Pistol Squats: 3 × 6 Floor Bench: 3 × 6 Lat Pulldowns: 3 × 6 Seated Rows: 3 × 5 Push Press: 3 × 3 |
| Sunday | Review of the technique with emphasis on general and local endurance 8–10 min in total (40–45 min)—around the anaerobic threshold Wrestling Drill Work A. Penetration drill; B. Push–pull drill; C. Spin drill to snap-down drill; D. Hip-heist drill Paired strength exercises that mimic wrestling moves (partner drills). | Combat practice with times longer than the actual match time in total (20–25 min) A. Neutral position (60% of time); B. Starting in referee’s position: offensive and defensive position (70% of time) |
| Monday | OFF | Power workout Plyometric Push up: 3 × 10; Plyometric Box Jump: 3 × 5–8 Hang Clean: 3 × 3; Split Jerk: 3 × 4; Shrugs: 3 × 6; Push Jerk: 3 × 5 |
| Tuesday | Weight training with maximum strength method For (heavyweights) and for (lightweight) 1. Bentover Row 3 × 12 2. Bench Press 3 × 12 3. Squat 3 × 12 4. Rope climbing 7 m rope × 5 max speed 5. Romanian Deadlift 3 × 12 | Wrestling Workout Session A. Neutral position (60% of wrestling workout session); B. Starting in referee’s position: offensive and defensive position (40% of wrestling workout session) Standing shooting moves with 70% intensity. Finishing Practice: Conditioning Exercises (10 to 15 min) A. Run for 10 min (sprint and jog intervals) or jump rope; B. Strength exercises (such as sit-ups, push-ups, pull-ups on bar); C. Chalk talk as wrestlers cool down |
| Wednesday | Fighting practice With longer times than real race time Wrestling Workout Session (30 min) A. Neutral position (60% of wrestling workout session); B. Starting in referee’s position: offensive and defensive position (40% of wrestling workout session) Movements made on the ground (80%). | Clean Pulls + Shrugs: 4 × 2–6 Lat Pulldowns: 3 × 6 Seated Rows: 3 × 5 Split Jerk: 3 × 4 Wave Pushups: 3 × 5 Kettlebell Lunges: 3 × 10 Floor Bench: 3 × 6 Kettlebell Swings: 4 × 10 |
| Thursday | Anaerobic Exercise (5 sets in total) Horizontal Jump; Clean Pulls; 50 m run; Kettlebell Swings; Lat Pulldowns; Split Jerk; 50 m run; Kettlebell Swings; Wave Pushups; Kettlebell Lunges; 50 m run; Kettlebell Swings. There is no rest between movements. 2–3 min rest after all the movements. | Wrestling Drill Work A. Sprawl drill B; Ankle–waist drill on whistle; C. Spin drill to snap-down drill D; Stand-up (hand control) drill Wrestling Workout Session A. Neutral position (80% of wrestling workout session); B. Starting in referee’s position: offensive and defensive position (70% of wrestling workout session) Both the ground and standing movements are 70% intensity. |
| Friday | Aerobic Exercise In the range of 4–2 heart rate (Extensive Endurance) | OFF Pool and sauna |
| Days | Morning | Evening |
|---|---|---|
| Saturday | Light exercise—flexibility + complementary movements (pulling—rope) General structure I. Starting Practice: Flexibility and Conditioning Exercises (10 to 15 min) A. Neck circles and four-way neck exercises; B. Arm circles; C. Wrist and ankle circles; D. Belly circles; E. Leg stretches; F. Ankle circles; G. Bridging (side to side and backward and forward); H. Push-ups; I. Run and front roll intervals II. Wrestling Drill Work (15 min) A. Penetration drill; B. Push–pull drill; C. Spin drill to snap-down drill; D. Hip-heist drill * General warm-up in all wrestling training. Aerobic Training In the heart rate range of 140–150 Between 45 min and 60 min | Wave Squat: 3 × 8 Front Lunges: 3 × 6 Shuffle Pushups: 3 × 20 Kneeling Leg Curls: 3 × 8 Pistol Squats: 3 × 6 Floor Bench: 3 × 6 Lat Pulldowns: 3 × 6 Seated Rows: 3 × 5 Push Press: 3 × 3 |
| Sunday | OFF | |
| Monday | OFF | Combat practice with times longer than the actual match time in total (20–25 min) A. Neutral position (40% of time); B. Starting in referee’s position: offensive and defensive position (40% of time); C. Repetition of light standing movements. Both the ground and standing movements are 60% intensity. |
| Tuesday | OFF | Weight training with maximum strength method for (heavyweights) and for (lightweight) Bentover Row 3 × 8−10 Bench Press 3 × 8−10 Squat 3 × 8−10 Incline Bench Press 3 × 8−10 Romanian Deadlift 3 × 12 Upright Rows 3 × 8−10 |
| Wednesday | Fighting practice With longer times than real race time Wrestling Workout Session (30 min) A. Neutral position (60% of wrestling workout session); B. Starting in referee’s position: offensive and defensive position (40% of wrestling workout session) Focusing on the wrong techniques of athletes. Correction of faulty techniques. | Clean Pulls + Shrugs: 4 × 2−6 Lat Pulldowns 3 × 6 Seated Rows: 3 × 5 Split Jerk: 3 × 4 Wave Pushups: 3 × 5 Kettlebell Lunges: 3 × 10 Floor Bench: 3 × 6 Kettlebell Swings: 4 × 10 |
| Thursday | Anaerobic Exercises (5 sets in total) Horizontal Jump; Clean Pulls; 50 m run; Kettlebell Swings; Lat Pulldowns; Split Jerk; 50 m run Kettlebell Swings; Wave Pushups; Kettlebell Lunges; 50 m run; Kettlebell Swings There is no rest between all movements, with a 2–3 min rest after all the movements. | Wrestling Drill Work A. Sprawl drill; B. Ankle–waist drill on whistle; C. Spin drill to snap-down drill; D. Stand-up (hand control) drill Wrestling Workout Session A. Neutral position (60% of wrestling workout session); B. Starting in referee’s position: offensive and defensive position (70% of wrestling workout session) Understanding escape and defense logic drills. |
| Friday | OFF Evaluate the status of competitors | OFF Pool and sauna |
| W (n) | 1 | 2 | 3 | 4 | 5 | 6 | 7 | 8 | 9 | 10 | 11 | 12 | 13 | 14 | 15 | 16 | 17 | 18 | 19 | 20 | 21 | 22 | 23 | 24 | 25 | 26 | 27 | 28 | 29 | 30 | 31 | 32 |
|---|---|---|---|---|---|---|---|---|---|---|---|---|---|---|---|---|---|---|---|---|---|---|---|---|---|---|---|---|---|---|---|---|
| TS (n) | 7 | 6 | 6 | 7 | 7 | 3 | 7 | 6 | 7 | 6 | 7 | 7 | 7 | 7 | 6 | 7 | 7 | 7 | 7 | 6 | 7 | 7 | 7 | 7 | 7 | 6 | 7 | 6 | 7 | 7 | 7 | 5 |
| Months | July | August | September | October | November | December | January | February | ||||||||||||||||||||||||
| Periods | Early preparation season | Mid preparation season | End preparation season | |||||||||||||||||||||||||||||
| Variables | Season Period | Comparative | Mean Difference (95% CI) | p | Hedge’s g (95% CI) |
|---|---|---|---|---|---|
| wAW (AU) | EarPS: 2269.6 (729.9) | EarPS vs. MidPS | 228 (−356.2 to 812.2) | 0.004 | 0.34 (−0.5 to 1.2), S |
| MidPS: 2497.5 (490.4) | EarPS vs. EndPS | 145 (−365.0 to 655.5) | 0.566 | 0.25 (−0.6 to 1.1), S | |
| EndPS: 2414.8 (238.8) | MidPS vs. EndPS | −83 (−445.1 to 279.7) | >0.999 | −0.20 (−1.1 to 0.7), S | |
| wCW (AU) | EarPS: 2209.6 (359.2) | EarPS vs. MidPS | 298 (9.6 to 586.8) | 0.002 | 0.90 (−0.02 to 1.8), L |
| MidPS: 2507.8 (244.3) | EarPS vs. EndPS | 260 (−26.4 to 546.7) | 0.075 | 0.79 (−0.1 to 1.7), M | |
| EndPS: 2469.7 (238.8) | MidPS vs. EndPS | −38 (−265.1 to 188.9) | >0.999 | −0.15 (−1.0 to 0.7), T | |
| wACWR (AU) | EarPS: 1.11 (0.48) | EarPS vs. MidPS | −0.10 (−0.46 to 0.25) | 0.008 | −0.25 (−1.13 to 0.63), S |
| MidPS: 1.00 (0.24) | EarPS vs. EndPS | −0.12 (−0.47 to 0.23) | ≤0.001 | −0.30 (−1.18 to 0.58), S | |
| EndPS: 0.99 (0.23) | MidPS vs. EndPS | −0.02 (−0.24 to 0.20) | >0.999 | 0.08 (−0.96 to 0.80), T | |
| wTM (AU) | EarPS: 1.73 (0.86) | EarPS vs. MidPS | 0.34 (−0.41 to 1.08) | 0.005 | 0.39 (−0.49 to 1.28), S |
| MidPS: 2.06 (0.71) | EarPS vs. EndPS | 0.32 (−0.44 to 1.09) | 0.256 | 0.37 (−0.51 to 1.25), S | |
| EndPS: 2.05 (0.75) | MidPS vs. EndPS | −0.01 (−0.70 to 0.68) | >0.999 | −0.01 (−0.89 to 0.86), T | |
| wTS (AU) | EarPS: 4633.8 (799.9) | EarPS vs. MidPS | −818.2 (−1443.0 to −193.3) | 0.009 | −1.1(−2.1 to −0.2), L |
| MidPS: 5452.0 (494.6) | EarPS vs. EndPS | −53.1 (−869.8 to 763.7) | >0.999 | −0.1 (−0.9 to 0.8), T | |
| EndPS: 4686.9 (933.6) | MidPS vs. EndPS | 765.1 (63.2 to 1467.0) | 0.222 | 0.9 (0.02 to 1.9), L |
Publisher’s Note: MDPI stays neutral with regard to jurisdictional claims in published maps and institutional affiliations. |
© 2021 by the authors. Licensee MDPI, Basel, Switzerland. This article is an open access article distributed under the terms and conditions of the Creative Commons Attribution (CC BY) license (https://creativecommons.org/licenses/by/4.0/).
Share and Cite
Nobari, H.; Silva, R.; Clemente, F.M.; Akyildiz, Z.; Ardigò, L.P.; Pérez-Gómez, J. Weekly Variations in the Workload of Turkish National Youth Wrestlers: A Season of Complete Preparation. Int. J. Environ. Res. Public Health 2021, 18, 3832. https://doi.org/10.3390/ijerph18073832
Nobari H, Silva R, Clemente FM, Akyildiz Z, Ardigò LP, Pérez-Gómez J. Weekly Variations in the Workload of Turkish National Youth Wrestlers: A Season of Complete Preparation. International Journal of Environmental Research and Public Health. 2021; 18(7):3832. https://doi.org/10.3390/ijerph18073832
Chicago/Turabian StyleNobari, Hadi, Rui Silva, Filipe Manuel Clemente, Zeki Akyildiz, Luca Paolo Ardigò, and Jorge Pérez-Gómez. 2021. "Weekly Variations in the Workload of Turkish National Youth Wrestlers: A Season of Complete Preparation" International Journal of Environmental Research and Public Health 18, no. 7: 3832. https://doi.org/10.3390/ijerph18073832
APA StyleNobari, H., Silva, R., Clemente, F. M., Akyildiz, Z., Ardigò, L. P., & Pérez-Gómez, J. (2021). Weekly Variations in the Workload of Turkish National Youth Wrestlers: A Season of Complete Preparation. International Journal of Environmental Research and Public Health, 18(7), 3832. https://doi.org/10.3390/ijerph18073832

