Relative Handgrip Strength as Marker of Cardiometabolic Risk in Women with Systemic Lupus Erythematosus
Abstract
1. Introduction
2. Materials and Methods
2.1. Design and Participants
2.2. Measurement of Relative Handgrip Strength
2.3. Measurement of Cardiometabolic Risk Factors
2.4. Other Measurements
2.5. Sample Size
2.6. Statistical Analysis
3. Results
4. Discussion
5. Conclusions
Author Contributions
Funding
Institutional Review Board Statement
Informed Consent Statement
Acknowledgments
Conflicts of Interest
References
- Rees, F.; Doherty, M.; Grainge, M.J.; Lanyon, P.; Zhang, W. The worldwide incidence and prevalence of systemic lupus erythematosus: A systematic review of epidemiological studies. Rheumatology 2012, 56, 1945–1961. [Google Scholar] [CrossRef]
- Fatoye, F.; Gebrye, T.; Svenson, L.W. Real-world incidence and prevalence of systemic lupus erythematosus in Alberta, Canada. Rheumatol. Int. 2018, 38, 1721–1726. [Google Scholar] [CrossRef]
- Somers, E.C.; Marder, W.; Cagnoli, P.; Lewis, E.E.; DeGuire, P.; Gordon, C.; Helmick, C.G.; Wang, L.; Wing, J.J.; Dhar, J.P.; et al. Population-based incidence and prevalence of systemic lupus erythematosus: The Michigan Lupus Epidemology and Surveillance program. Arthritis Rheum. 2014, 66, 369–378. [Google Scholar] [CrossRef] [PubMed]
- Renau, A.I.; Isenberg, D.A. Male versus female lupus: A comparison of ethnicity, clinical features, serology and outcome over a 30 year period. Lupus 2012, 21, 1041–1048. [Google Scholar] [CrossRef] [PubMed]
- Kiriakidou, M.; Ching, C.L. Systemic Lupus Erythematosus. Ann. Intern. Med. 2020, 172, ITC81–ITC96. [Google Scholar] [CrossRef] [PubMed]
- Fors Nieves, C.E.; Izmirly, P.M. Mortality in Sistemic Lupus Erythematosus: An Updated Review. Curr. Rheumatol. Rep. 2016, 18, 121–128. [Google Scholar] [CrossRef]
- Esdaile, J.M.; Abrahamowicz, M.; Grodzicky, T.; Li, Y.; Panaritis, C.; Berger, R.D.; Côté, R.; Grover, S.A.; Fortin, P.R.; Clarke, A.E.; et al. Traditional Framingham risk factors fail to fully account for accelerated atherosclerosis in systemic lupus erythematosus. Arthritis Rheum. 2011, 44, 2331–2337. [Google Scholar] [CrossRef]
- Chatterjee, A.; Harris, S.B.; Leiter, L.A.; Fitchett, D.H.; Teoh, H.; Bhattacharyya, O.K. Cardiometabolic Risk Working Group (Canadian). Managing cardiometabolic risk in primary care: Summary of the 2011 consensus statement. Can. Fam. Physician 2012, 58, 389–393. [Google Scholar]
- Mikolasevic, I.; Milic, S.; Racki, S.; Zaputovic, L.; Stimac, D.; Radic, M.; Markic, D.; Orlic, L. Nonalcoholic Fatty Liver Disease (NAFLD). A New Cardiovascular Risk Factor in Peritoneal Dialysis Patients. Perit. Dial. Int. 2016, 36, 427–432. [Google Scholar] [CrossRef]
- Ridker, P.M.; Koenig, W.; Kastelein, J.J.; Mach, F.; Lüscher, T.F. Has the time finally come to measure hsCRP universally in primary and secondary cardiovascular prevention? Eur. Heart J. 2018, 39, 4109–4111. [Google Scholar] [CrossRef]
- Musunuru, K.; Kral, B.G.; Blumenthal, R.S.; Fuster, V.; Campbell, C.Y.; Gluckman, T.J.; Lange, R.A.; Topol, E.J.; Willerson, J.T.; Desai, M.Y.; et al. The use of high sensitivity C-reactive protein in clinical practice. Nat. Clin. Pr. Cardiovasc. Med. 2008, 5, 621–635. [Google Scholar] [CrossRef]
- Soriano-Maldonado, A.; Aparicio, V.A.; Félix-Redondo, F.J.; Fernández-Bergés, D. Severity of obesity and cardiometabolic risk factors in adults: Sex differences and role of physical activity. The HERMEX study. Int. J. Cardiol. 2016, 223, 352–359. [Google Scholar] [CrossRef]
- Hwang, A.C.; Liu, L.K.; Lee, W.J.; Chen, L.Y.; Peng, L.N.; Lin, M.H.; Chen, L.K. Association of Frailty and Cardiometabolic Risk Among Community-Dwelling Middle-Aged and Older People: Results from the I-Lan Longitudinal Aging Study. Rejuvenation Res. 2015, 18, 564–572. [Google Scholar] [CrossRef]
- Kupusinac, A.; Doroslovački, R.; Malbaški, D.; Srdić, B.; Stokić, E. A primary estimation of the cardiometabolic risk by using artificial neural networks. Comput. Biol. Med. 2013, 43, 751–757. [Google Scholar] [CrossRef]
- Ammirati, E.; Bozzolo, E.P.; Contri, R.; Baragetti, A.; Palini, A.G.; Cianflone, D.; Banfi, M.; Uboldi, P.; Bottoni, G.; Scotti, I.; et al. Cardiometabolic and immune factors associated with increased common carotid artery intima-media thickness and cardiovascular disease in patients with systemic lupus erythematosus. Nutr. Metab. Cardiovasc. Dis. 2014, 24, 751–759. [Google Scholar] [CrossRef] [PubMed]
- Stockton, K.A.; Kandiah, D.A.; Paratz, J.D.; Bennell, K.L. Fatigue, muscle strength and vitamin D status, in women with systemic lupus erythematosus compared with healthy controls. Lupus 2012, 21, 271–278. [Google Scholar] [CrossRef]
- Sola-Rodríguez, S.; Gavilán-Carrera, B.; Vargas-Hitos, J.A.; Sabio, J.M.; Morillas-de-Laguno, P.; Soriano-Maldonado, A. Physical Fitness and Body Composition in Women with Sistemic Lupus Erythematosus. Medicina 2019, 55, 57. [Google Scholar] [CrossRef] [PubMed]
- Balsamo, S.; da Mota, L.M.H.; de Carvalho, J.F.; da Cunha Nascimento, D.; Tibana, R.A.; de Santana, F.S.; Moreno, R.L.; Gualano, B.; dos Santos-Neto, L. Low dynamic muscle strength and its associations with fatigue, functional performance, and quality of life in premenopausal patients with systemic lupus erythematosus and low disease activity: A case-control study. BMC Musculoskelet. Disord. 2013, 14, 1–7. [Google Scholar] [CrossRef] [PubMed]
- Artero, E.G.; Lee, D.C.; Lavie, C.J.; España-Romero, V.; Sui, X.; Church, T.S.; Blair, S.N. Effects of muscular strength on cardiovascular risk factors and prognosis. J. Cardiopulm. Rehabil. Prev. 2012, 32, 351–358. [Google Scholar] [CrossRef]
- Farias, D.L.; Tibana, R.A.; Teixeira, T.G.; Vieira, D.C.L.; Tarja, V.; Nascimento, D.D.C.; Silva, A.D.O.; Funghetto, S.S.; Coura, M.A.D.S.; Valduga, R.; et al. Elderly women with metabolic syndrome present higher cardiovascular risk and lower relative muscle strength. Einstein 2013, 11, 174–179. [Google Scholar] [CrossRef][Green Version]
- Leong, D.P.; Teo, K.K.; Rangarajan, S.; Lopez-Jaramillo, P.; Avezum Jr, A.; Orlandini, A.; Seron, P.; Ahmed, S.H.; Rosengren, A.; Kelishadi, R.; et al. Prognostic value of grip strength: Findings from the Prospective Urban Rural Epidemiology (PURE) study. Lancet 2015, 386, 266–273. [Google Scholar] [CrossRef]
- Hsu, F.C.; Kritchevsky, S.B.; Liu, Y.; Kanaya, A.; Newman, A.B.; Perry, S.E.; Visser, M.; Pahor, M.; Harris, T.B.; Nicklas, B.J.; et al. Association between inflammatory components and physical function in the health, aging, and body composition study: A principal component analysis approach. J. Gerontol. A Biol. Sci. Med. Sci. 2009, 64, 581–589. [Google Scholar] [CrossRef]
- Sasaki, H.; Kasagi, F.; Yamada, M.; Fujita, S. Grip strength predicts cause-specific mortality in middle-aged and elderly persons. Am. J. Med. 2007, 120, 337–342. [Google Scholar] [CrossRef]
- Gavilán-Carrera, B.; Garcia da Silva, J.; Vargas-Hitos, J.A.; Sabio, J.M.; Morillas-de-Laguno, P.; Rios-Fernández, R.; Delgado-Fernández, M.; Soriano-Maldonado, A. Association of physical fitness components and health-related quality of life in women with systemic lupus erythematosus with mild disease activity. PLoS ONE 2019, 14, 1–17. [Google Scholar] [CrossRef] [PubMed]
- Choquette, S.; Bouchard, D.R.; Doyon, C.Y.; Sénéchal, M.; Brochu, M.; Dionne, I.J. Relative strength as a determinant of mobility in elders 67-84 years of age. A nuage study: Nutrition as a determinant of successful aging. J. Nutr. Health Aging 2010, 14, 190–195. [Google Scholar] [CrossRef] [PubMed]
- Lee, W.J.; Peng, L.N.; Chiou, S.T.; Chen, L.K. Relative Handgrip Strength Is a Simple Indicator of Cardiometabolic Risk among Middle-Aged and Older People: A Nationwide Population-Based Study in Taiwan. PLoS ONE 2016, 25, 1–11. [Google Scholar] [CrossRef]
- Lee, M.R.; Jung, S.M.; Kim, H.S.; Kim, Y.B. Association of muscle strength with cardiovascular risk in Korean adults: Findings from the Korea National Health and Nutrition Examination Survey (KNHANES) VI to VII (2014–2016). Medicina 2018, 97, 1–7. [Google Scholar] [CrossRef]
- Lawman, H.G.; Troaino, R.P.; Perna, F.M.; Wang, C.Y.; Fryar, C.D.; Ogden, C.L. Associations of Relative Handgrip Strength and Cardiovascular Disease Biomarkers in U.S. Adults, 2011-2012. Am. J. Prev. Med. 2016, 50, 677–683. [Google Scholar] [CrossRef] [PubMed]
- Mearns, B.M. Risk factors: Hand grip strength predicts cardiovascular risk. Nat. Rev. Cardiol. 2015, 12, 379. [Google Scholar] [CrossRef]
- Wu, Y.; Wang, W.; Liu, T.; Zhang, D. Association of Grip Strength with Risk of All-Cause Mortality, Cardiovascular Diseases, and Cancer in Community-Dwelling Populations: A Meta-analysis of Prospective Cohort Studies. J. Am. Med. Dir. Assoc. 2017, 18, 17–35. [Google Scholar] [CrossRef] [PubMed]
- Ying, X.; Song, Z.Y.; Zhao, C.J.; Jiang, Y. Body mass index, waist circumference, and cardiometabolic risk factors in young and middle-aged Chinese women. J. Zhejiang Univ. Sci. 2010, 11, 639–646. [Google Scholar] [CrossRef]
- Labraña, A.M.; Duran, E.; Martínez, M.A.; Leiva, A.M.; Garrido-Méndez, A.; Diaz, X.; Salas, C.; Celis-Morales, C. Effects of lower body weight or waist circumference on cardiovascular risk. Rev. Med. Chile 2017, 145, 585–594. [Google Scholar] [CrossRef] [PubMed]
- Hochberg, M.C. Updating the American College of Rheumatology revised criteria for the classification of systemic lupus erythematosus. Arthritis Rheum. 1997, 40, 1725. [Google Scholar] [CrossRef]
- Ruiz-Ruiz, J.; Mesa, J.L.; Gutiérrez, A.; Castillo, M.J. Hand size influences optimal grip span in women but not men. J. Hand Surg. Am. 2002, 27, 897–901. [Google Scholar] [CrossRef] [PubMed]
- Mancia, G.; De Backer, G.; Dominiczak, A.; Cifkova, R.; Fagard, R.; Germano, G.; Grassi, G.; Heagerty, A.M.; Kjeldsen, S.E.; Laurent, S.; et al. 2007 Guidelines for the Management of Arterial Hypertension: The Task Force for the Management of Arterial Hypertension of the European Society of Hypertension (ESH) and of the European Society of Cardiology (ESC). J. Hypertens. 2007, 25, 1105–1187. [Google Scholar] [CrossRef] [PubMed]
- Wei, W.; Tölle, M.; Zidek, W.; van der Giet, M. Validation of the mobil-O-Graph: 24 h-blood pressure measurement device. Blood Press. Monit. 2010, 15, 225–228. [Google Scholar] [CrossRef]
- Grillo, A.; Parati, G.; Rovina, M.; Moretti, F.; Salvi, L.; Gao, L.; Baldi, C.; Sorropago, G.; Faini, A.; Millasseau, S.C.; et al. Short-Term Repeatability of Noninvasive Aortic Pulse Wave Velocity Assessment: Comparison between Methods and Devices. Am. J. Hypertens. 2017, 31, 80–88. [Google Scholar] [CrossRef] [PubMed]
- Levey, A.S.; Coresh, J.; Greene, T.; Stevens, L.A.; Zhang, Y.; Hendriksen, S.; Kusek, J.W.; Van Lente, F. Using standardized serum creatinine values in the modification of diet in renal disease study equation for estimating glomerular filtration rate. Ann. Intern. Med. 2006, 145, 247–254. [Google Scholar] [CrossRef] [PubMed]
- Griffiths, B.; Mosca, M.; Gordon, C. Assessment of patients with systemic lupus erythematosus and use of lupus disease activity indices. Best Pract. Res. Clin. Rheumatol. 2005, 19, 685–708. [Google Scholar] [CrossRef]
- Gladman, D.; Ginzler, E.; Goldsmith, C.; Fortin, P.; Liang, M.; Sanchez-Guerrero, J.; Urowitz, M.; Bacon, P.; Bombardieri, S.; Hanly, J.; et al. The development and initial validation of the systemic lupus international collaborating clinics/American College of Rheumatology Damage Index for Systemic Lupus Erythematosus. Arthritis Rheum. 1996, 39, 363–369. [Google Scholar] [CrossRef]
- Soriano-Maldonado, A.; Morillas-de-Laguno, P.; Sabio, J.M.; Gavilán-Carrera, B.; Rosales-Castillo, A.; Montalbán-Méndez, C.; Sáez-Urán, L.M.; Callejas-Rubio, J.L.; Vargas-Hitos, J.A. Effects of 12-week Aerobic Exercise on Arterial Stiffness, Inflammation, and Cardiorespiratory Fitness in Women with Systemic LUPUS Erythematosus: Non-Randomized Controlled Trial. J. Clin. Med. 2018, 7, 477. [Google Scholar] [CrossRef] [PubMed]
- Kipen, Y.; Briganti, E.M.; Strauss, B.J.; Littlejohn, G.O.; Morand, E.F. Three year follow-up of body composition changes in pre-menopausal women with systemic lupus erythematosus. Rheumatology 1999, 38, 59–65. [Google Scholar] [CrossRef] [PubMed]
- Austin, P.C.; Steyerberg, E.W. The number of subjects per variable required in linear regression analyses. J. Clin. Epidemiol. 2015, 68, 627–636. [Google Scholar] [CrossRef] [PubMed]
- Gregorio-Arenas, E.; Ruiz-Cabello, P.; Camiletti-Moirón, D.; Moratalla-Cecilia, N.; Aranda, P.; López-Jurado, M.; Llopis, J.; Aparicio, V.A. The associations between physical fitness and cardiometabolic risk and body-size phenotypes in perimenopausal women. Maturitas 2016, 92, 162–167. [Google Scholar] [CrossRef] [PubMed]
- Gubelmann, C.; Vollenweider, P.; Marques-Vidal, P. No association between grip strength and cardiovascular risk: The CoLaus population-based study. Int. J. Cardiol. 2017, 236, 478–482. [Google Scholar] [CrossRef] [PubMed]
- Campa, F.; Maietta Latessa, P.; Greco, G.; Mauro, M.; Mazzuca, P.; Spiga, F.; Toselli, S. Effects of Different Resistance Training Frequencies on Body Composition, Cardiometabolic Risk Factors, and Handgrip Strength in Overweight and Obese Women: A Randomized Controlled Trial. J. Funct. Morphol. Kinesiol. 2020, 17, 51. [Google Scholar] [CrossRef]
- Toselli, S.; Badicu, G.; Bragonzoni, L.; Spiga, F.; Mazzuca, P.; Campa, F. Comparison of the Effect of Different Resistance Training Frequencies on Phase Angle and Handgrip Strength in Obese Women: A Randomized Controlled Trial. Int. J. Environ. Res. Public Health 2020, 17, 1163. [Google Scholar] [CrossRef] [PubMed]


| Mean | SD | |
|---|---|---|
| Age (years) | 43.2 | 1.57 |
| Weight (kg) | 65.1 | 1.27 |
| Height (cm) | 160.1 | 0.77 |
| Body Mass Index (kg/m2) | 25.5 | 0.51 |
| Absolute Handgrip Strength (kg) | 47.2 | 1.24 |
| Relative Handgrip Strength (kg/BMI) | 1.89 | 0.05 |
| SLEDAI | 0.6 | 0.17 |
| Duration of SLE (years) | 13.9 | 1.15 |
| Systolic Blood Pressure (mmHg) | 118 | 1.29 |
| Diastolic Blood Pressure (mmHg) | 76.5 | 1.18 |
| Pulse Wave Velocity (m/s) | 6.47 | 0.17 |
| Fasting Glucose (mg/dL) | 76.3 | 2.17 |
| Glycosylated Hemoglobin (%) | 5.31 | |
| High Density Lipoprotein (mg/dL) | 57.8 | 1.57 |
| Low Density Lipoprotein (mg/dL) | 100.7 | 2.88 |
| Total Cholesterol (mg/dL) | 177.5 | 3.56 |
| Triglycerides (mg/dL) | 93.6 | 4.85 |
| Homeostatic Model Assessment | 1.45 | 0.09 |
| hs-CRP (mg/L) | 2.73 | 0.17 |
| Glomerular Filtration (mL/min/1.73 m2) | 92.6 | 3.33 |
| Microalbuminuria (%) | 28 | |
| Cumulative Prednisone dose (mg) | 2875 | 2677 |
| Daily Prednisone dose (mg) | 3.99 | 0.57 |
| Prednisone use (%) | 65 | |
| Immunosuppressants (%) | 45 | |
| Antimalarials (%) | 89 |
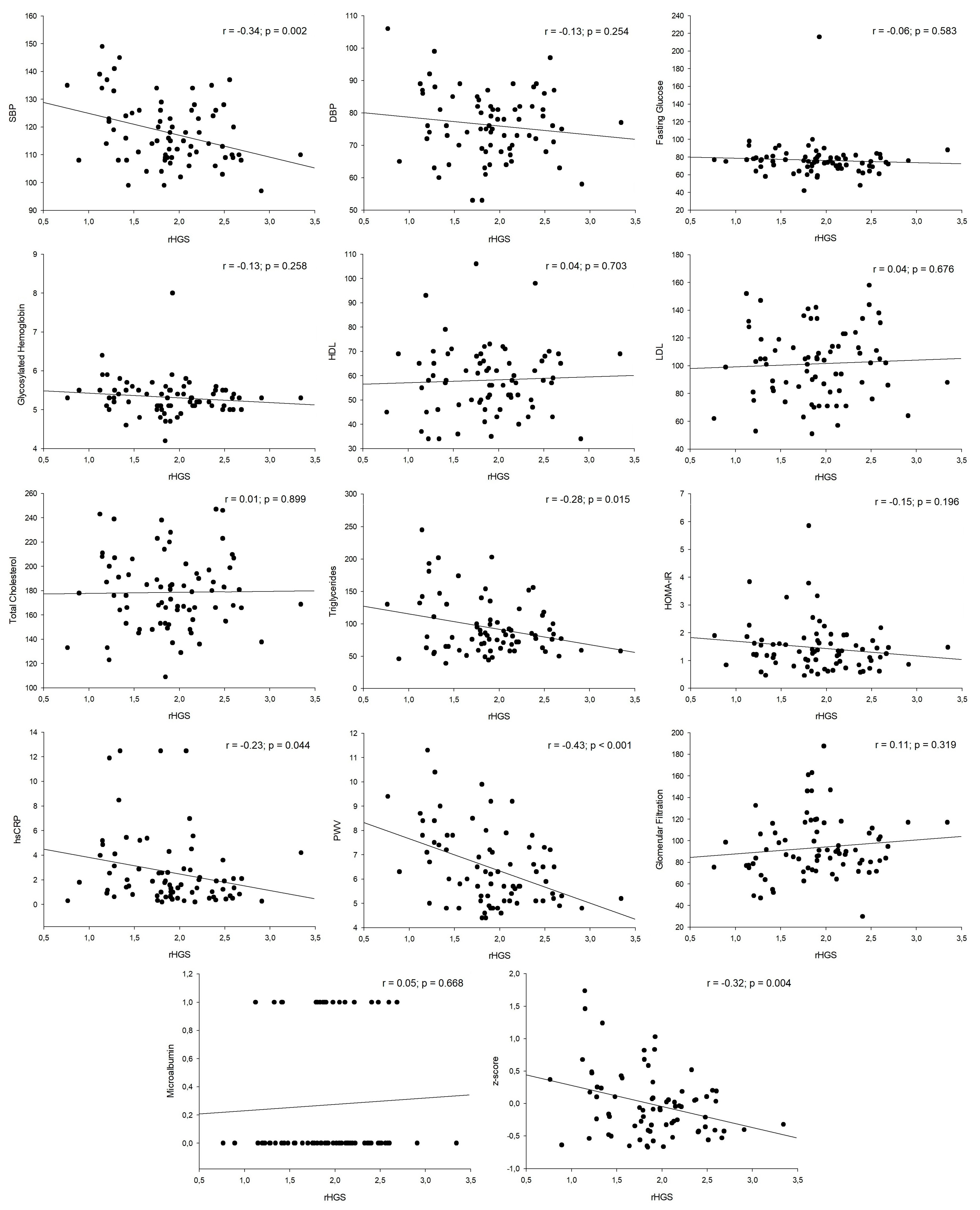
| rHGS (n = 75) | aHGS (n = 75) | BMI | |
|---|---|---|---|
| SBP | −0.34 ** | −0.15 | 0.40 ** |
| DBP | −0.13 | 0.01 | 0.32 ** |
| Fasting Glucose | −0.06 | 0.08 | 0.23 * |
| Glycosylated Hemoglobin | −0.13 | −0.07 | 0.11 |
| HDL | 0.04 | 0.08 | 0.04 |
| LDL | 0.04 | 0.04 | −0.00 |
| Total Cholesterol | 0.01 | 0.03 | 0.04 |
| Triglycerides | −0.28 * | −0.23 * | 0.15 |
| HOMA-IR | −0.15 | 0.11 | 0.43 ** |
| hs-CRP | −0.23 * | −0.15 | 0.17 |
| PWV | −0.43 ** | −0.34 ** | 0.24 * |
| Glomerular Filtration | 0.11 | 0.08 | −0.10 |
| Microalbumin | 0.05 | −0.04 | −0.15 |
| z−score | −0.32 ** | −0.09 | 0.44 ** |
| Beta | B | Std Error | 95% CI | p | R2 | ||
|---|---|---|---|---|---|---|---|
| SBP | −0.29 | −6.58 | 2.67 | −11.91 | −1.26 | 0.016 | 0.20 |
| DBP | −0.10 | −2.02 | 2.63 | −7.27 | 3.23 | 0.445 | 0.03 |
| Fasting Glucose | −0.09 | −3.58 | 5.00 | −13.55 | 6.39 | 0.476 | 0.01 |
| Glycosylated Hemoglobin | −0.02 | −0.02 | 0.11 | −0.25 | 0.20 | 0.846 | 0.10 |
| HDL | 0.10 | 2.77 | 3.56 | −4.33 | 9.89 | 0.438 | 0.02 |
| LDL | 0.16 | 8.06 | 6.08 | −4.06 | 20.20 | 0.189 | 0.14 |
| Total Cholesterol | 0.15 | 9.03 | 7.25 | −5.44 | 23.50 | 0.218 | 0.18 |
| Triglycerides | −0.23 | −19.41 | 10.50 | −40.35 | 1.52 | 0.069 | 0.12 |
| HOMA-IR | −0.19 | −0.34 | 0.22 | −0.79 | 0.10 | 0.127 | 0.03 |
| hs-CRP | −0.29 | −1.67 | 0.72 | −3.11 | −0.23 | 0.023 | 0.09 |
| PWV | −0.11 | −0.34 | 0.12 | −0.58 | −0.09 | 0.007 | 0.91 |
| Glomerular Filtration | −0.14 | −7.68 | 5.75 | −19.16 | 3.80 | 0.187 | 0.37 |
| Microalbumin | −0.11 | −0.01 | 0.11 | −0.23 | 0.21 | 0.925 | 0.10 |
| z-score | −0.30 | −0.30 | 0.12 | −0.54 | −0.06 | 0.014 | 0.15 |
Publisher’s Note: MDPI stays neutral with regard to jurisdictional claims in published maps and institutional affiliations. |
© 2021 by the authors. Licensee MDPI, Basel, Switzerland. This article is an open access article distributed under the terms and conditions of the Creative Commons Attribution (CC BY) license (https://creativecommons.org/licenses/by/4.0/).
Share and Cite
Sola-Rodríguez, S.; Vargas-Hitos, J.A.; Gavilán-Carrera, B.; Rosales-Castillo, A.; Sabio, J.M.; Hernández-Martínez, A.; Martínez-Rosales, E.; Ortego-Centeno, N.; Soriano-Maldonado, A. Relative Handgrip Strength as Marker of Cardiometabolic Risk in Women with Systemic Lupus Erythematosus. Int. J. Environ. Res. Public Health 2021, 18, 4630. https://doi.org/10.3390/ijerph18094630
Sola-Rodríguez S, Vargas-Hitos JA, Gavilán-Carrera B, Rosales-Castillo A, Sabio JM, Hernández-Martínez A, Martínez-Rosales E, Ortego-Centeno N, Soriano-Maldonado A. Relative Handgrip Strength as Marker of Cardiometabolic Risk in Women with Systemic Lupus Erythematosus. International Journal of Environmental Research and Public Health. 2021; 18(9):4630. https://doi.org/10.3390/ijerph18094630
Chicago/Turabian StyleSola-Rodríguez, Sergio, José Antonio Vargas-Hitos, Blanca Gavilán-Carrera, Antonio Rosales-Castillo, José Mario Sabio, Alba Hernández-Martínez, Elena Martínez-Rosales, Norberto Ortego-Centeno, and Alberto Soriano-Maldonado. 2021. "Relative Handgrip Strength as Marker of Cardiometabolic Risk in Women with Systemic Lupus Erythematosus" International Journal of Environmental Research and Public Health 18, no. 9: 4630. https://doi.org/10.3390/ijerph18094630
APA StyleSola-Rodríguez, S., Vargas-Hitos, J. A., Gavilán-Carrera, B., Rosales-Castillo, A., Sabio, J. M., Hernández-Martínez, A., Martínez-Rosales, E., Ortego-Centeno, N., & Soriano-Maldonado, A. (2021). Relative Handgrip Strength as Marker of Cardiometabolic Risk in Women with Systemic Lupus Erythematosus. International Journal of Environmental Research and Public Health, 18(9), 4630. https://doi.org/10.3390/ijerph18094630

