Abstract
Introduction: Rapid diagnostic tests (RDTs) were evaluated, in this paper, for their utility as a reliable test, using resource-constrained studies. In most studies, NS1 antigen and immunoglobulin M (IgM)-based immunochromatographic tests (ICTs) were considered for acute phase detection. We aimed to evaluate the diagnostic accuracy of NS1, IgM, and NS1/IgM-based ICTs to detect acute dengue virus (DENV) infection in dengue-endemic regions. Methods: Studies were electronically identified using the following databases: MEDLINE, Embase, Cochrane Library, Web of Science, and CINAHL Plus. Keywords including dengue, rapid diagnostic test, immunochromatography, sensitivity, specificity, and diagnosis were applied across databases. In total, 15 studies were included. Quality assessment of the included studies was performed using the QUADAS-2 tool. All statistical analyses were conducted using RevMan, MedCalc, and SPSS software. Results: The studies revealed a total of 4135 individuals, originating largely from the Americas and Asia. The prevalence of DENV cases was 53.8%. Pooled sensitivities vs. specificities for NS1 (only), IgM (only) and combined NS1/IgM were 70.97% vs. 94.73%, 40.32% vs. 93.01%, and 78.62% vs. 88.47%, respectively. Diagnostic odds ratio (DOR) of DENV for NS1 ICTs was 43.95 (95% CI: 36.61–52.78), for IgM only ICTs was 8.99 (95% CI: 7.25–11.16), and for NS1/IgM ICTs was 28.22 (95% CI: 24.18–32.95). ELISA ICTs yielded a DOR of 21.36, 95% CI: 17.08–26.741. RT-PCR had a DOR of 40.43, 95% CI: 23.3–71.2. Heterogeneity tests for subgroup analysis by ICT manufacturers for NS1 ICTs revealed an χ2 finding of 158.818 (df = 8), p < 0.001, whereas for IgM ICTs, the χ2 finding was 21.698 (df = 5), p < 0.001. Conclusion: NS1-based ICTs had the highest diagnostic accuracy in acute phases of DENV infection. Certain factors influenced the pooled sensitivity, including ICT manufacturers, nature of the infection, reference method (RT-PCR), and serotypes. Prospective studies may examine the best strategy for incorporating ICTs for dengue diagnosis.
1. Introduction
Dengue is a flavivirus infection spread by Aedes aegypti and Aedes albopictus mosquitoes, with four antigenically distinct dengue viruses (DENVs, serotypes 1–4) causing infection, and is a significant public health problem [1]. It has rapidly spread to nearly half the world’s population and has caused epidemics in these regions with continued geographical expansion [2]. It has caused 400 million annual infections, which have risen exponentially over the last few decades [3]. Dengue virus and antigen detection are the most accurate diagnostic tools during the first five days of illness, i.e., the period of viremia, as IgG and IgM antibodies are not produced until 5–7 days after the onset of symptoms in primary infections [4].
The methods currently used to detect acute DENV infections that are endorsed by the World Health Organization are isolation of dengue viral antigens and detection of viral nucleic acid in blood categorized by a positive reverse transcriptase–polymerase chain reaction (RT-PCR), immunoglobulin type M (IgM) seroconversion, and/or a four-fold or greater rise in immunoglobulin G (IgG) antibody titers in paired blood samples collected at least 14 days apart [5,6]. A reverse transcriptase–polymerase chain reaction (RT-PCR) assay can more accurately confirm the active infection and serotype of the dengue infection [7]. The plaque reduction neutralization test (PRNT) identifies serotype-specific antibodies, but it is even more laborious and expensive than other methods and hence not routinely used [8]. Another diagnostic method is immunoglobulin type M (IgM) antibody capture enzyme-linked immunosorbent assay (MAC-ELISA), which is challenging to interpret as IgM remains elevated for 2–3 months after infection [9]. The NS1 capture ELISA was developed following reports of high NS1 antigen titers in the acute phase of the disease [10]. All serological assays can exhibit some degree of cross-reactivity with other flaviviruses such as Zika, Japanese encephalitis, and yellow fever viruses [11].
A diagnostic tool gaining prominence is rapid diagnostic tests (RDTs) which is a convenient option, particularly in resource-constrained and dengue-endemic countries with limited capability to conduct RT-PCR or ELISA [12]. RCTs typically detect dengue virus nonstructural protein 1 (NS1) antigen, IgM, IgG, and IgA antibodies with higher specificity (~90%) than sensitivity (~10–99%) [13,14,15,16,17,18]. Although RDTs are not as sensitive as PCR or ELISA, they are quick, convenient, and require no expertise. Their ability to rapidly diagnose dengue virus (DENV) infection in communities and clinical settings is an attractive option for resource-constrained settings [19]. The World Health Organization recommends coordinated care at the primary healthcare level as most DENV-infected patients are treated in these units and require testing that may be performed without laboratories in proximity [5]. Here, we report the clinical sensitivity and specificity of different immunochromatographic tests (ICTs) detecting NS1 antigen, IgM antibodies, and combined NS1/IgM detection in acute DENV infection. To our best knowledge, this is the first study to compare multiple ICTs and their performance against different reference tests, serology types, and acute vs. primary infection for detection of active DENV infection.
2. Materials and Methods
2.1. Search Strategy
Searches were conducted on the following databases: MEDLINE (1966—4 May 2022), EMBASE (1994—4 May 2022), Cochrane Library, Web of Science, and CINAHL Plus. The search terms used were ‘dengue’, ‘rapid diagnostic test’, ‘immunochromatography’, ‘sensitivity’, ‘specificity’, and ‘diagnosis’, which were searched for each country identified as endemic by the Centers for Disease Control and Prevention [20]. Reference lists of each of the selected articles were hand-searched for additional studies (umbrella framework) [21]. No language restrictions were imposed. The protocol was registered with PROSPERO 2022: CRD42022334839).
2.2. Study Selection Using Standardized Quality Assessment Criteria
Abstracts of identified studies were printed and, if potentially relevant, were obtained as full-text articles. Two authors (ZS and AS) conducted the quality assessment of included studies utilizing the QUADAS-2 assessment tool; this tool was solely created for diagnostic test accuracy reviews [22]. Studies were considered to be of high methodological quality if they had a low concern and low risk of bias. The findings were presented in a study-by-study graph under risk of bias and applicability concerns figure legends.
Studies were excluded if they had any of the following characteristics: (1) use of inappropriate reference assays to assign true positive/true negative status to study samples, including ‘in-house’ assays for which the diagnostic accuracy had not been previously established; (2) inappropriate study population (such as convalescent samples only); (3) the study was limited to the detection of IgG rather than IgM and IgG; (4) the number of study samples was insufficient; (5) incomplete description of samples, such that it was impossible to determine the timing of sample collection; (6) errors or inconsistencies in the published study data; (7) the exclusion of indeterminate results; (8) partial verification of the study samples or the use of multiple reference assays; or (9) the assay took more than 60 min to perform, such as immunoblot (IBT)-style assays. The list of excluded full-text studies is given in Supplementary Table S1.
2.3. Data Extraction
Two authors (ZS and AS) extracted data into a shared spreadsheet, with the final author (ICO) present for any disagreements. The data were extracted as “author/year/country”, region, DENV positive individuals (n), cohort size (N), prevalence (n/N, %), reference method, sample type, days post fever onset, ICT manufacturer, sensitivity (95% CI), specificity (95% CI), primary infection sensitivity (%), secondary infection sensitivity (%), and serotypes sensitivity (%).
2.4. Statistical Analysis
The ‘gold standard’ (or reference) assay was compared with the index test to define true positive (TP), false positive (FP), false negative (FN), and true negative (TN) values. The measures of diagnostic accuracy, sensitivity (SN), specificity (SP), positive likelihood ratio (LR+), negative likelihood ratio (LR−), positive predictive value (PPV), negative predictive value (NPV), Fisher Exact P-values, and diagnostic odds ratio (DOR) were then computed (Habbema et al., 2002). Individual study results were pooled to generate an overall estimate of diagnostic accuracy. Chi-square and I2 (Higgins et al., 2003) statistics were calculated before pooling to detect significant heterogeneity between subgroups. NS1 (only), IgM (only), NS1/IgM subgroup analysis in the acute phase DOR, Error Odds Ratio, Phi coefficient (to measure the strength of the relationship), and relative improvement over chance (RIOC, to measure predictive efficiency) were additionally computed. Utilizing the 2-by-2 table data, the Fisher Exact P-values and other relevant indices including an analysis of risk factors for analysis of the effectiveness of a diagnostic criterion for dengue based on multiple parameters (SN, SP, PPV, NPV, DOR, and error odds ratios), and other measures of association (Phi coefficient), were computed. The confidence intervals for the estimated parameters were computed by a general method as listed by Fleiss and colleagues (1981) [23]. The confidence intervals for RIOC and Phi coefficient as measures of predictive efficiency and strength of association in 2-by-2 tables were based on Farington and Loeber (1989) [24]. Definitions of listed statistical tests are enlisted in Table 1. A chi-square result of p < 0.1 was considered significant, given the low power of the test. I2 values had a continuous scale of 0–100%, with 0% defining no heterogeneity and 25, 50, and 75% tentatively assigned as limits of low, medium, and high heterogeneity (Higgins et al., 2003). If heterogeneity was not significant, a Mantel–Haenszel fixed-effects model (Mantel and Haenszel, 1959) was used to calculate results, and, when significant, a random-effects model was used (DerSimonian and Laird, 1986). Summary receiver operator characteristics (SROC) (Littenberg and Moses, 1993) were also calculated to give a final area under the curve (AUC) value for pooled and subgroup analyses. A summary ROC curve is a plot of the combined SN on the y-axis against (1-SP) on the x-axis. The 45° diagonal line connecting (0, 0) to (1, 1) is the ROC curve corresponding to random chance. The ROC curve for the gold standard is the line connecting (0,0) to (0,1) and (0,1) to (1,1). Therefore, the summary lines that were closest to the upper-left corner of the plot were considered nearest to the gold standard dengue testing format. Analyses were performed using RevMan 5.4.1, MedCalc Software (v 20.104), and IBM® SPSS® software (v. 27).
Table 1.
Definitions of listed statistical terminology.
3. Results
In total, 1652 studies were identified by electronic searches. Abstracts were read, and 46 studies were retained for full-text quality assessment. Five studies were identified by reading reference lists and hand-searching journals (umbrella review search). In total, 51 studies were selected for full-text review against the inclusion and exclusion criteria. Only 15 studies were included according to the selection criteria, whereas 36 were excluded (Supplementary Table S1). Figure 1 shows a flow chart of the selection procedure.
Figure 1.
PRISMA flowchart of the study selection process.
3.1. Quality of Included Studies
The risk of bias and applicability concerns summary for every included study is depicted in Figure 2. Firstly, on assessing the risk of bias, nine studies had unclear risk and six had a low risk of bias for patient selection. The index test had an unclear risk of bias in six studies, whereas nine studies had a low risk of bias. On noting reference standards, all 15 studies had a low risk of bias. Flow and timing assessment revealed eight studies with unclear risk of bias, five studies with low risk of bias, and two with a high risk of bias. Secondly, the applicability concerns assessment revealed that 14 studies had a low risk of bias whereas only one had an unclear risk of bias. Index test assessment yielded low risks of bias for all 15 studies. Finally, the reference standard assessment determined that 14 studies had a low risk of bias and only one had an unclear risk.
Figure 2.
Risk of bias and applicability concerns summary: authors’ (ZS and AS) judgments about each domain for each included study [25,26,27,28,29,30,31,32,33,34,35,36,37,38,39].
3.2. Narrative Review of Included Studies
A summary of all included data is shown in Table 2. The overall prevalence of DENV cases was 53.8% in our entire sample. Reference methods used were viral isolation, NS1 capture ELISA, IgM capture ELISA, IgM seroconversion, IgM antibody capture enzyme-linked immunosorbent assay (MAC-ELISA), RT-PCR, and 4-fold increased titers on hemagglutination inhibition test (HAI). Three studies were from the Americas including Brazil, Colombia, and Peru, and 12 studies were from Asia including Cambodia, India, Myanmar, Taiwan, Thailand, and Vietnam. The total sample consisted of 4135 individuals with suspected DENV infection, of whom 2225 were detected as DENV positive through reference assays. Nine different ICTs detected NS1 antigen, including: (1) Dengue NS1 Ag STRIP™ (Biorad Laboratories, Marnes-La-Coquette, France), (2) SD Bioline Dengue NS1 Ag Rapid Test (Alere, North Chicago, IL, USA), (3) Dengue NS1 Detect Rapid Test (1st generation) (InBios International, Seattle, WA, USA), (4) Panbio™ Dengue Early Rapid, (5) J. Mitra Dengue Day 1 Test, (6) Dengue Ag Rapid Test-Cassette (CTK Biotech, Inc., Poway, CA, USA), (7) CareUS Dengue Combo (WellsBio, Seoul, Korea), (8) Humasis Dengue Combo (Humasis, Anyang, Korea), and (9) Wondfo Dengue Combo, China. Five different ICTs detected IgM antibodies, including: (1) SD BIOLINE Dengue DUO® (Standard Diagnostic Inc., Seoul, Korea), (2) Dengue Combo Rapid Test-Cassette (Chembio Diagnostics, Inc., Medford, NY, USA), (3) CareUS Dengue Combo (WellsBio, Seoul, Korea), (4) Humasis Dengue Combo (Humasis, Anyang, Korea), and (5) Wondfo Dengue Combo, China.
Table 2.
(a) Characteristics of all the included studies. (b) Specific ICT manufacturers, sensitivity, and specificity in included primary studies.
3.3. Individual and Pooled Study Diagnostic Accuracy Results
The individual studies using dengue ICT for dengue NS1 only (Pooled SN = 70.97%, SP = 94.73%), IgM only (Pooled SN = 40.32%, SP = 93.01%), and combined NS1/IgM (Pooled SN = 78.62%, SP = 88.47%) detection in acute studies were pooled and analyzed separately, as discussed in subsequent sections. The summary forest plot outcomes for all tests are depicted in Figure 3.
Figure 3.
Summary forest plot for IgM (only), NS1 (only), and NS1/IgM tests in the acute phase [25,26,27,28,29,30,31,32,33,34,35,36,37,38,39].
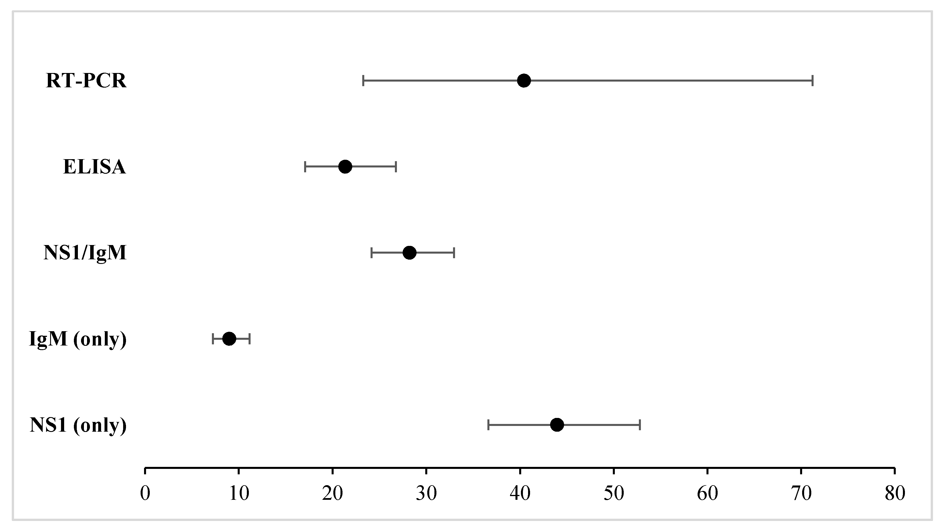
Figure 4 aims to provide a glance at the diagnostic odds ratio findings for: (i) NS1 (only) (DOR = 43.95, 95% CI = 36.61–52.78), (ii) IgM (only) (DOR = 8.99, 95% CI = 7.248–11.157), (iii) NS1/IgM (DOR = 28.22, 95% CI = 24.179–32.946), (iv) ELISA (DOR = 21.362, 95% CI = 17.08–26.741), and (v) RT-PCR (DOR = 40.432, 95% CI = 23.297–71.211). The findings are further elaborated in subsequent sections.
Figure 4.
Summary findings of DOR when subgrouping ICTs: NS1 (only), IgM (only), NS1/IgM. Additionally, ELISA and RT-PCR were pooled to note reference test effects on DOR of DENV.
3.4. Subgroup Analysis by NS1 (Only) in the Acute Phase
The diagnostic odds ratio was as follows: 43.95 (95% CI = 36.61–52.78), with the error odds ratio as follows: 0.136 (95% CI = 0.155–0.119). The phi coefficient was 0.646 (95% CI = 0.632–0.658) and the RIOC was 0.883 (95% CI = 0.866–0.9).
The SN, SP, PPV, NPV, LR+, LR− and Fisher Exact P–values for individual studies are presented in Table 3. The cumulative SN was 70.97% (SD = 14.7) and the value ranged from 41.8% to 93.1%. The cumulative SP was 94.73% (SD = 5.8), and it ranged from 73% to 100%. The cumulative PPV was 0.9673 (SD = 0.036), and it ranged from 0.87 to 1. Cumulative NPV was 0.6324 (SD = 0.185) and it ranged from 0.33 to 0.96. The cumulative LR+ was 25.825 (SD = 39.72), and it ranged from 5.59 to 180.8. The cumulative LR– was 0.301 (SD = 0.145), and it ranged from 0.07 to 0.59.
3.5. Subgroup Analysis by IgM (Only) in the Acute Phase
The diagnostic odds ratio was as follows: 8.99 (95% CI = 7.248–11.157), with error odds ratio as follows: 0.051 (95% CI = 0.057–0.044). The phi coefficient was 0.389 (95% CI = 0.362–0.413) and the RIOC was 0.711 (95% CI = 0.693–0.73).
The SN, SP, PPV, NPV, LR+, LR− and Fisher Exact P–values for individual studies are presented in Table 4. The cumulative SN was 40.32% (SD = 26.02) and the value ranged from 11.7% to 89.9%. The cumulative SP was 93.01% (SD = 6.21) and it ranged from 83.9% to 100%. The cumulative PPV was 0.8074 (SD = 0.192), and it ranged from 0.39 to 1. The cumulative NPV was 0.6062 (SD = 0.205), and it ranged from 0.3 to 0.91. The cumulative LR+ was 6.487 (SD = 9.06), and it ranged from 0.85 to 28.56. The cumulative LR− was 0.6496 (SD = 0.293), and it ranged from 0.1 to 1.03.
3.6. Subgroup Analysis by NS1/IgM in the Acute Phase
The diagnostic odds ratio was as follows: 28.22 (95% CI = 24.179–32.946), with error odds ratio as follows: 0.479 (95% CI = 0.52–0.44). The phi coefficient was 0.637 (95% CI = 0.619–0.653) and the RIOC was 0.796 (95% CI = 0.776–0.815).
The SN, SP, PPV, NPV, LR+, LR− and Fisher Exact P–values for individual studies are presented in Table 5. For NS1/IgM, the cumulative SN was 78.62% (SD = 15.53), and the value ranged from 47.9% to 97.1%. The cumulative SP was 88.47% (SD = 12.44), and it ranged from 43.2% to 100%. The cumulative PPV was 0.9136 (SD = 0.11), and it ranged from 0.51 to 1. The cumulative NPV was 0.686 (SD = 0.168), and it ranged from 0.33 to 0.93. The cumulative LR+ was 8.08 (SD = 5.36), and it ranged from 1.55 to 26.03. The cumulative LR− was 0.24 (SD = 0.169), and it ranged from 0.03 to 0.56.
Table 3.
NS1 (Only) summary findings of post-hoc analysis.
Table 3.
NS1 (Only) summary findings of post-hoc analysis.
| No | Author, Year, Country (ref) | Region | Cohort Size | Prevalence (as Confirmed by Reference Method) | Reference Method | Sample Type | ICT Manufacturer | SN% (95% CI) | SP% (95% CI) | TP, FN, FP, TN | PPV (95% CI) | NPV (95% CI) | Positive Likelihood Ratio (+LR) (95% CI) | Negative Likelihood Ratio (−LR) (95% CI) | Fisher Exact p–Value |
|---|---|---|---|---|---|---|---|---|---|---|---|---|---|---|---|
| 1 | Kikuti, 2019, Brazil [25] | Americas | 246 | 61.40% | NS1-ELISA, IgM-ELISA seroconversion (Abbott, Santa Clara, CA, USA; former Panbio Diagnostics, Brisbane, Australia), and/or RT-PCR | Acute serum | SD BIOLINE Dengue Duo RDT (Abbott, Santa Clara, CA, USA; former Alere Inc, Waltham, MA, USA) | NS1: 41.8% (35.1–48.7) | NS1: 98.0% (92.2–99.8) | 61, 84, 2, 99 | 0.968 (0.886–0.994) | 0.539 (0.511–0.548) | 20.9 (5.409–121.666) | 0.594 (0.573–0.664) | <0.0001 * |
| 2a | Osorio, 2010, Colombia [26] | Americas | 310 | 70.30% | RT-PCR, viral isolation and/or IgM seroconversion | Acute serum | Dengue NS1 Ag STRIP™ (Biorad Laboratories, Marnes–La–Coquette, France) | NS1: STRIP™ 61.5% (51.5–70.9) | NS1: STRIP™ 93.3% (84.2–99.4) | 134, 84, 6, 86 | 0.956 (0.911–0.981) | 0.506 (0.468–0.527) | 9.179 (4.298–22.199) | 0.413 (0.38–0.48) | <0.0001 * |
| 2b | Osorio, 2010, Colombia [26] | Americas | 310 | 70.30% | RT-PCR, viral isolation and/or IgM seroconversion | Acute serum | SD BIOLINE Dengue DUO® (Standard Diagnostic Inc., Seoul, Korea) | SD Bioline™ 51.0% (44.1–57.7) | SD Bioline™ 96.7% (90.8–99.3) | 111, 107, 3, 89 | 0.973 (0.924–0.993) | 0.455 (0.426–0.466) | 15.455 (5.139–59.676) | 0.507 (0.484–0.57) | <0.0001 * |
| 3a | Pal, 2014, Peru [27] | Americas | 250 | 80% | RT-PCR and/or viral isolation followed by indirect immunofluorescence assay (IFA) | Acute serum | Dengue NS1 Ag STRIP® (Bio–Rad, Marnes–La–Coquette, France) | NS1: Bio–Rad 79.1% (71.8–85.2) | NS1: Bio–Rad 100% (91.1–100.0) | 158, 42, 0, 50 | 1 (0.974–1) | 0.545 (0.5–0.545) | NE | 0.209 (0.209–0.25) | <0.0001 * |
| 3b | Pal, 2014, Peru [27] | Americas | 250 | 80% | RT-PCR and/or viral isolation followed by indirect immunofluorescence assay (IFA) | Acute serum | Dengue NS1 Detect Rapid Test (1st generation) (InBios International, Seattle, WA, USA) | NS1: InBios 76.5% (64.6–85.9) | NS1: InBios 97.3% (86.2–99.9) | 153, 47, 1, 49 | 0.991 (0.96–0.999) | 0.509 (0.459–0.521) | 28.333 (6.077–287.218) | 0.242 (0.23–0.295) | <0.0001 * |
| 3c | Pal, 2014, Peru [27] | Americas | 250 | 80% | RT-PCR and/or viral isolation followed by indirect immunofluorescence assay (IFA) | Acute serum | Panbio Dengue Early Rapid | Panbio 71.9% (64.1–78.9) | Panbio 95.0% (83.1–99.4) | 144, 56, 3, 47 | 0.983 (0.948–0.996) | 0.458 (0.408–0.477) | 14.38 (4.533–65.496) | 0.296 (0.274–0.362) | <0.0001 * |
| 3d | Pal, 2014, Peru [27] | Americas | 250 | 80% | RT-PCR and/or viral isolation followed by indirect immunofluorescence assay (IFA) | Acute serum | SD Bioline Dengue NS1 Ag Rapid Test (Alere, Waltham, MA, USA) | SD 72.4% (64.5–79.3) | SD 100% (91.1–100) | 145, 55, 0, 50 | 1 (0.971–1) | 0.475 (0.436–0.475) | NE | 0.276 (0.276–0.324) | <0.0001 * |
| 4 | Carter, 2015, Cambodia [28] | Asia | 337 | 22.10% | Panbio Dengue IgM Combo ELISA (Panbio, Australia; Cat. # E-JED01C; Lot # 110061 | Acute serum | SD BIOLINE Dengue DUO® (Standard Diagnostic Inc., Seoul, Korea) | NS1: 60.8% (46.1–74.2) | NS1: 97.5% (94.9–99) | 45, 29, 7, 256 | 0.873 (0.762–0.943) | 0.898 (0.877–0.91) | 24.32 (11.31–58.087) | 0.402 (0.348–0.492) | <0.0001 * |
| 5 | Andries, 2012, Cambodia [29] | Asia | 157 | 54.10% | NS1 capture ELISA, MAC-ELISA for IgM, indirect ELISA for IgG | Acute serum | SD BIOLINE Dengue DUO® (Standard Diagnostic Inc., Seoul, Korea | NS1: 45.2% (36.4–54.3) | NS1: 96.8% (83.3–99.9) | 38, 47, 2, 68 | 0.943 (0.825–0.988) | 0.6 (0.558–0.616) | 14.125 (3.989–71.882) | 0.566 (0.53–0.671) | <0.0001 * |
| 6a | Kulkarni, 2020, India [30] | Asia | 809 | 38.60% | Panbio ELISA | Acute serum | J. Mitra Dengue Day 1 Test | NS1: J. Mitra–87.3 (82.2–92.5) | NS1: J. Mitra–93.4 (91.5–95.3) | 272, 40, 33, 464 | 0.893 (0.862–0.917) | 0.921 (0.903–0.936) | 13.227 (9.968–17.687) | 0.136 (0.108–0.171) | <0.0001 * |
| 6b | Kulkarni, 2020, India [30] | Asia | 809 | 38.60% | Panbio ELISA | Acute serum | SD–BIOLINE–Dengue–Duo (SDB–RDT) | SD–93.1 (88.2–98.0) | SD–97.8 (96.1–99.5) | 291, 21, 11, 486 | 0.964 (0.941–0.979) | 0.958 (0.944–0.967) | 42.318 (25.505–74.766) | 0.071 (0.055–0.094) | <0.0001 * |
| 7 | Vivek, 2017, India [31] | Asia | 211 | 84.80% | RT-PCR | Acute serum | Dengue Day 1 Test (J. Mitra & Co) | NS1: 82.7% (76.3–87.9) | NS1: 96.9% (83.8–99.9) | 148, 31, 1, 31 | 0.993 (0.964–1) | 0.501 (0.431–0.516) | 26.677 (4.823–520.66) | 0.179 (0.168–0.237) | <0.0001 * |
| 8 | Sathish, 2003, India [32] | Asia | 154 | 38.90% | NIV capture ELISA (MACELISA) | Acute serum | Panbio Rapid Immuochromatographic Card Test (Brisbane, Australia) | NS1: 73% (65–80) | NS1: 95% (90–98) | 44, 16, 5, 89 | 0.903 (0.799–0.963) | 0.847 (0.799–0.874) | 14.6 (6.249–40.726) | 0.284 (0.226–0.395) | <0.0001 * |
| 9 | Zainah, 2009, Malaysia [34] | Asia | 314 | 31.80% | NS1 antigen-capture ELISA or RT-PCR | Acute serum | DENGUE NS1 Ag STRIP (Bio–Rad, Marnes–La–Coquette, France) | NS1: 90.4% | NS1: 99.5% | 90, 10, 1, 213 | 0.988 (0.942–0.999) | 0.957 (0.938–0.961) | 180.8 (34.896–2934.041) | 0.096 (0.086–0.142) | <0.0001 * |
| 10a | Kyaw, 2019, Myanmar [35] | Asia | 202 | 69.30% | DENV specific IgM capture ELISA or DENV RNA isolation | Acute serum | CareUs Dengue Combo, Korea | NS1: CareUs 72.1% (63.9–79.4) | NS1: CareUs 87.1% (76.1–94.3) | 101, 39, 8.54 | 0.927 (0.871–0.964) | 0.58 (0.515–0.624) | 5.589 (2.992–11.727) | 0.32 (0.267–0.417) | <0.0001 * |
| 10b | Kyaw, 2019, Myanmar [35] | Asia | 202 | 69.30% | DENV-specific IgM capture ELISA or DENV RNA isolation | Acute serum | Humasis Dengue Combo, Korea | NS1: Humasis 68.6% (60.2–76.1) | NS1: Humasis 90.3% (80.1–96.4) | 96, 44, 6, 56 | 0.941 (0.884–0.975) | 0.56 (0.502–0.595) | 7.072 (3.376–17.18) | 0.348 (0.302–0.439) | <0.0001 * |
| 10c | Kyaw, 2019, Myanmar [35] | Asia | 202 | 69.30% | DENV-specific IgM capture ELISA or DENV RNA isolation | Acute serum | Wondfo Dengue Combo, China | NS1: Wondfo 67.1% (58.7–74.8) | NS1: Wondfo 91.9% (82.2–97.3) | 94, 46, 5, 57 | 0.949 (0.892–0.981) | 0.553 (0.498–0.583) | 8.284 (3.656–22.319) | 0.358 (0.317–0.447) | <0.0001 * |
| 11a | Jang, 2019, Myanmar [36] | Asia | 220 | 49.50% | IgM/IgG ELISAs or qRT-PCR | Acute serum | Humasis Dengue Combo NS1, IgG/IgM (Humasis, Gyeonggi-do, Korea) | NS1: Humasis 63.3% (53.5–72.3) | NS1: 100% | 69, 40, 0, 111 | 1 (0.94–1) | 0.735 (0.708–0.735) | NE | 0.367 (0.367–0.421) | <0.0001 * |
| 11b | Jang, 2019, Myanmar [36] | Asia | 220 | 49.50% | IgM/IgG ELISAs or qRT-PCR | Acute serum | SD Bioline Dengue Duo NS1 Ag and IgG/IgM (SD Bioline, Korea) | NS1: SD Bioline 48.6% (38.9–58.4) | NS1: 100% | 53, 56, 0, 111 | 1 (0.921–1) | 0.665 (0.64–0.665) | NE | 0.514 (0.514–0.574) | <0.0001 * |
| 11c | Jang, 2019, Myanmar [36] | Asia | 220 | 49.50% | IgM/IgG ELISAs or qRT-PCR | Acute serum | CareUS Dengue Combo NS1 and IgM/IgG kits (WellsBio, Suwon, Korea) | NS1: CareUs 79.8% (71.1–86.9) | NS1: 100% | 87, 22, 0, 111 | 1 (0.954–1) | 0.835 (0.804–0.835) | NE | 0.202 (0.202–0.248) | <0.0001 * |
| 12a | Liu, 2021, Taiwan [37] | Asia | 173 | 78.60% | qRT-PCR | Acute serum | Dengue NS1 Ag Strip (Bio–Rad, France) | NS1: SD 89.7% | NS1: SD 91.9% | 122, 14, 3, 34 | 0.976 (0.939–0.993) | 0.708 (0.612–0.754) | 11.074 (4.201–41.603) | 0.112 (0.089–0.172) | <0.0001 * |
| 12b | Liu, 2021, Taiwan [37] | Asia | 173 | 78.60% | qRT-PCR | Acute serum | Dengue Ag Rapid Test–Cassette (CTK Biotech, Inc., Powey, CA, USA) | NS1: Bio–Rad 85.3% | NS1: Bio–Rad 94.6% | 116, 20, 2, 35 | 0.983 (0.945–0.997) | 0.637 (0.554–0.667) | 15.796 (4.641–90.748) | 0.155 (0.136–0.219) | <0.0001 * |
| 12c | Liu, 2021, Taiwan [37] | Asia | 173 | 78.60% | qRT-PCR | Acute serum | SD Dengue Duo (Standard Diagnostics, Inc., Seoul, Korea) | NS1: CTK 89% | NS1: CTK 73% | 121, 15, 3, 34 | 0.979 (0.942–0.995) | 0.697 (0.605–0.737) | 12.714 (4.434–54.867) | 0.118 (0.097–0.178) | <0.0001 * |
| 13a | Tricou, 2010, Vietnam [39] | Asia | 292 | 83.90% | RT-PCR | Acute serum | Bio-Rad NS1 Ag Strip | NS1 Bio–Rad: 61.6 (55.2–67.8) | 100% | 151, 94, 0, 47 | 1 (0.972–1) | 0.333 (0.303–0.333) | NE | 0.384 (0.384–0.441) | <0.0001 * |
| 13b | Tricou, 2010, Vietnam [39] | Asia | 292 | 83.90% | RT-PCR | Acute serum | SD Dengue Duo (NS1/IgM/IgG) lateral flow rapid tests | NS1 SD: 62.4 (56.1–68.5) | 100% | 153, 92, 0, 47 | 1 (0.972–1) | 0.338 (0.308–0.338) | NE | 0.376 (0.376–0.432) | <0.0001 * |
* Stands for statistically significant Fisher Exact p-value finding.
Table 4.
IgM (Only) Summary Findings of Post–Hoc Analysis.
Table 4.
IgM (Only) Summary Findings of Post–Hoc Analysis.
| No | Author, Year, Country (Ref) | Region | Cohort Size | Prevalence (as Confirmed by Reference Method) | Reference Method | Sample Type | ICT Manufacturer | SN% (95% CI) | SP% (95% CI) | TP, FN, FP, TN | PPV (95% CI) | NPV (95% CI) | Positive Likelihood Ratio (+LR) (95% CI) | Negative Likelihood Ratio (−LR) (95% CI) | Fisher Exact p–Value |
|---|---|---|---|---|---|---|---|---|---|---|---|---|---|---|---|
| 1 | Kikuti, 2019, Brazil [25] | Americas | 246 | 61.40% | NS1-ELISA, IgM-ELISA seroconversion (Abbott, Santa Clara, CA, USA; former Panbio Diagnostics, Brisbane, Australia), and/or RT-PCR | Acute serum | SD BIOLINE Dengue Duo RDT (Abbott, Santa Clara, CA, USA; former Alere Inc, Waltham, MA, USA) | IgM: 11.7% (7.7–16.8) | IgM: 94.6% (87.5–98.3) | 18, 133, 5, 90 | 0.775 (0.559–0.912) | 0.402 (0.38–0.416) | 2.167 (0.798–6.484) | 0.933 (0.881–1.024) | 0.105 |
| 2 | Carter, 2015, Cambodia [28] | Asia | 337 | 22.10% | Panbio Dengue IgM Combo ELISA (Panbio, Australia; Cat. # E-JED01C; Lot # 110061 | Acute serum | SD BIOLINE Dengue DUO® (Standard Diagnostic Inc., Seoul, Korea) | IgM: 32.7% (20.0–47.5) | IgM: 86.2% (81.5–90.0) | 23, 48, 37, 229 | 0.387 (0.279–0.502) | 0.828 (0.804–0.852) | 2.37 (1.447–3.771) | 0.781 (0.65–0.913) | <0.0001 * |
| 3a | Kulkarni, 2020, India [30] | Asia | 809 | 38.60% | Panbio ELISA | Acute serum | J. Mitra Dengue Day 1 Test | IgM: J. Mitra–22.5 (17.1–27.9) | IgM: J. Mitra–93.6 (91.6–95.6) | 70, 242, 32, 465 | 0.688 (0.595–0.77) | 0.658 (0.644–0.67) | 3.516 (2.335–5.344) | 0.828 (0.785–0.879) | <0.0001 * |
| 3b | Kulkarni, 2020, India [30] | Asia | 809 | 38.60% | Panbio ELISA | Acute serum | SD-BIOLINE-Dengue-Duo (SDB-RDT) | SD–34.4 (27.7–41.1) | SD 94.5 (91.2–97.8) | 107, 205, 27, 470 | 0.797 (0.724–0.857) | 0.696 (0.682–0.708) | 6.255 (4.177–9.522) | 0.694 (0.656–0.743) | <0.0001 * |
| 4a | Kyaw, 2019, Myanmar [35] | Asia | 202 | 69.30% | DENV specific IgM capture ELISA or DENV RNA isolation | Acute serum | CareUs Dengue Combo, Korea | IgM: CareUs 67.1% (58.7–74.8) | IgM: CareUs 83.9% (72.3–92.0) | 94, 46, 10, 52 | 0.904 (0.843–0.948) | 0.53 (0.466–0.577) | 4.168 (2.382–8.01) | 0.392 (0.325–0.507) | <0.0001 * |
| 4b | Kyaw, 2019, Myanmar [35] | Asia | 202 | 69.30% | DENV-specific IgM capture ELISA or DENV RNA isolation | Acute serum | Humasis Dengue Combo, Korea | IgM: Humasis 13.6% (8.4–20.4) | IgM: Humasis 83.9% (72.3–92.0) | 19, 121, 10, 52 | 0.656 (0.474–0.809) | 0.301 (0.27–0.326) | 0.845 (0.399–1.871) | 1.03 (0.914–1.196) | 0.658 |
| 4c | Kyaw, 2019, Myanmar [35] | Asia | 202 | 69.30% | DENV-specific IgM capture ELISA or DENV RNA isolation | Acute serum | Wondfo Dengue Combo, China | IgM: Wondfo 19.3% (13.1–26.8) | IgM: Wondfo 95.2% (86.5–98.9) | 27, 113, 3, 59 | 0.901 (0.738–0.974) | 0.343 (0.315–0.356) | 4.021 (1.246–16.543) | 0.848 (0.801–0.964) | 0.006 * |
| 5a | Jang, 2019, Myanmar [36] | Asia | 220 | 49.50% | IgM/IgG ELISAs or qRT-PCR | Acute serum | Humasis Dengue Combo NS1, IgG/IgM (Humasis, Gyeonggi-do, Korea) | IgM: Humasis 51.4% (41.6–61.1) | IgM: Humasis 98.2 (91.5–99.9) | 56, 53, 2, 109 | 0.966 (0.879–0.994) | 0.673 (0.642–0.683) | 28.556 (7.419–168.217) | 0.495 (0.472–0.568) | <0.0001 * |
| 5b | Jang, 2019, Myanmar [36] | Asia | 220 | 49.50% | IgM/IgG ELISAs or qRT-PCR | Acute serum | SD Bioline Dengue Duo NS1 Ag and IgG/IgM (SD Bioline, Korea) | IgM: SD Bioline 60.6% (50.7–69.8) | IgM: SD Bioline: 100% | 66, 43, 0, 111 | 1 (0.937–1) | 0.721 (0.694–0.721) | NE | 0.394 (0.394–0.449) | <0.0001 * |
| 5c | Jang, 2019, Myanmar [36] | Asia | 220 | 49.50% | IgM/IgG ELISAs or qRT-PCR | Acute serum | CareUS Dengue Combo NS1 and IgM/IgG kits (WellsBio, Suwon, Korea) | IgM: CareUs 89.9% (82.7–94.9) | IgM: CareUs 100% | 98, 11, 0, 111 | 1 (0.961–1) | 0.91 (0.879–0.91) | NE | 0.101 (0.101–0.141) | <0.0001 * |
| 6 | Kittigul, 2002, Thailand [38] | Asia | 92 | 56.50% | 4x increased titers on hemagglutination inhibition test | 1–6 days | Panbio Duo cassette IgM/IgG (Inverness, Australia) | IgM/IgG: 79% | IgM/IgG: 95% | 41, 11, 2, 38 | 0.954 (0.857–0.992) | 0.777 (0.692–0.81) | 15.8 (4.601–91.658) | 0.221 (0.18–0.343) | <0.0001 * |
* Stands for statistically significant Fisher Exact p-value finding.
Table 5.
NS1/IgM Summary Findings of Post–Hoc Analysis.
Table 5.
NS1/IgM Summary Findings of Post–Hoc Analysis.
| No. | Author, Year, Country (Ref) | Region | Cohort Size (N) | Prevalence (as Confirmed by Reference Method) | Reference Method | Days Post Fever Onset | ICT Manufacturer | SN% (95% CI) | SP% (95% CI) | TP, FN, FP, TN | PPV (95% CI) | NPV (95% CI) | Positive Likelihood Ratio (+LR) (95% CI) | Negative Likelihood Ratio (−LR) (95% CI) | Fisher Exact p–Value |
|---|---|---|---|---|---|---|---|---|---|---|---|---|---|---|---|
| 1 | Kikuti, 2019, Brazil [25] | Americas | 246 | 61.40% | NS1-ELISA, IgM-ELISA seroconversion (Abbott, Santa Clara, CA, USA; former Panbio Diagnostics, Brisbane, Australia), and/or RT–PCR | 1–4 days | SD BIOLINE Dengue Duo RDT (Abbott, Santa Clara, CA, USA; former Alere Inc, Waltham, MA, USA) | NS1/IgM: 47.9% (41.0–54.8) | NS1/IgM: 92.6% (84.9–93.5) | 72, 79, 7, 88 | 0.911 (0.832–0.96) | 0.528 (0.49–0.551) | 6.473 (3.116–19.921) | 0.563 (0.513–0.655) | <0.0001 * |
| 2a | Osorio, 2010, Colombia [26] | Americas | 310 | 70.30% | RT-PCR, viral isolation, and/or IgM seroconversion | 1–7 days | (i) Dengue NS1 Ag STRIP™ (Biorad Laboratories, Marnes–La–Coquette, France), (ii) SD BIOLINE Dengue DUO® (Standard Diagnostic Inc., Korea) | NS1/IgM: SD Bioline™ 78.4% (72.4–83.7) | NS1/IgM: SD Bioline™ 91.3% (83.6–96.2) | 171, 47, 8, 84 | 0.955 (0.919–0.978) | 0.641 (0.591–0.672) | 9.011 (4.784–18.911) | 0.237 (0.206–0.292) | <0.0001 * |
| 2b | Osorio, 2010, Colombia [26] | Americas | 310 | 70.30% | RT–PCR, viral isolation, and/or IgM seroconversion | 1–7 days | (i) Dengue NS1 Ag STRIP™ (Biorad Laboratories, Marnes–La–Coquette, France), (ii) SD BIOLINE Dengue DUO® (Standard Diagnostic Inc., Seoul, Korea) | NS1/IgM/IgG: SD Bioline™ 80.7% (75–85.7) | NS1/IgM/IgG: SD Bioline™ 89.1% (81–94.7) | 176, 42, 10, 82 | 0.946 (0.91–0.971) | 0.661 (0.607–0.698) | 7.404 (4.266–14.041) | 0.217 (0.183–0.274) | <0.0001 * |
| 3 | Carter, 2015, Cambodia [28] | Asia | 337 | 21.10% | Panbio Dengue IgM Combo ELISA (Panbio, Australia; Cat. # E-JED01C; Lot # 110061 | 1–2 days | SD BIOLINE Dengue DUO® (Standard Diagnostic Inc., Seoul, Korea) | NS1/IgM: 57.8% (45.4–69.4) | NS1/IgM: 85.3% (80.3–89.5) | 41, 30, 39, 227 | 0.511 (0.42–0.595) | 0.884 (0.855–0.91) | 3.932 (2.721–5.527) | 0.495 (0.372–0.636) | <0.0001 * |
| 4a | Kulkarni, 2020, India [30] | Asia | 809 | 38.60% | Panbio ELISA | 1–7 days | J. Mitra Dengue Day 1 Test | NS1/IgM: J. Mitra–58.3 (52.9–63.8) | NS1/IgM: J. Mitra–91.1 (88.6–93.6) | 182, 130, 44, 453 | 0.804 (0.755–0.848) | 0.777 (0.757–0.794) | 6.551 (4.899–8.859) | 0.458 (0.414–0.51) | <0.0001 * |
| 4b | Kulkarni, 2020, India [30] | Asia | 809 | 38.60% | Panbio ELISA | 1–7 days | SD–BIOLINE–Dengue–Duo (SDB–RDT) | NS1/IgM: SD–55.7 (49.4–62.0) | NS1/IgM: SD–92.0 (87.5–96.5) | 174, 138, 40, 457 | 0.814 (0.762–0.858) | 0.768 (0.749–0.784) | 6.963 (5.107–9.617) | 0.482 (0.44–0.533) | <0.0001 * |
| 5 | Vivek, 2017, India [31] | Asia | 211 | 84.80% | RT-PCR | 1–5 days | Dengue Day 1 Test (J. Mitra & Co) | NS1/IgM: 89.4% (83.9–93.5) | NS1/IgM: 93.8% (79.2–99.2) | 160, 19, 2, 30 | 0.987 (0.959–0.998) | 0.612 (0.52–0.647) | 13.545 (4.207–72.433) | 0.113 (0.098–0.165) | <0.0001 * |
| 6 | Ngim, 2021, Malaysia [33] | Asia | 368 | 45.40% | ELISA and/or RT-PCR | 1–6 days | Dengue Combo Rapid Test–Cassette (Chembio Diagnostics, Inc., Medford, NY, USA) | NS1/IgM: 62.3% | NS1/IgM: 87.3% | 104, 63, 26, 175 | 0.803 (0.737–0.858) | 0.736 (0.7–0.766) | 4.906 (3.378–7.283) | 0.432 (0.368–0.515) | <0.0001 * |
| 7a | Kyaw, 2019, Myanmar [35] | Asia | 202 | 69.30% | DENV specific IgM capture ELISA or DENV RNA isolation | 1–7 days | CareUs Dengue Combo, Korea | NS1/IgM: CareUs 92.1% (86.4–96.0) | NS1/IgM: CareUs 75.8 (63.3 –85.8) | 129, 11, 15, 47 | 0.896 (0.856–0.926) | 0.809 (0.711–0.883) | 3.806 (2.631–5.505) | 0.104 (0.058–0.18) | <0.0001 * |
| 7b | Kyaw, 2019, Myanmar [35] | Asia | 202 | 69.30% | DENV-specific IgM capture ELISA or DENV RNA isolation | 1–7 days | Humasis Dengue Combo, Korea | NS1/IgM: Humasis 74.3% (66.2–88.2) | NS1/IgM: Humasis 88.7 (78.1– 95.3) | 104, 36, 7, 55 | 0.937 (0.884–0.971) | 0.605 (0.54–0.646) | 6.575 (3.368–14.647) | 0.29 (0.243–0.378) | <0.0001 * |
| 7c | Kyaw, 2019, Myanmar [35] | Asia | 202 | 69.30% | DENV-specific IgM capture ELISA or DENV RNA isolation | 1–7 days | Wondfo Dengue Combo, China | NS1/IgM: Wondfo 70.0% (61.7–77.4) | NS1/IgM: Wondfo 91.9 (82.2 –97.3) | 98, 42, 5, 57 | 0.951 (0.896–0.981) | 0.576 (0.519–0.607) | 8.642 (3.834–23.221) | 0.326 (0.287–0.411) | <0.0001 * |
| 8 | Jang, 2019, Myanmar [36] | Asia | 220 | 49.50% | IgM/IgG ELISAs or qRT-PCR | 3–7 days | CareUS Dengue Combo NS1 and IgM/IgG kits (WellsBio, Suwon, Korea) | NS1/IgM: CareUs 96.3% (90.9–99.0) | NS1/IgM: CareUs 96.3% (90.9–98.9) | 135, 5, 2, 60 | 0.983 (0.953–0.996) | 0.92 (0.856–0.948) | 26.027 (8.976–120.218) | 0.038 (0.024–0.074) | <0.0001 * |
| 9a | Liu, 2021, Taiwan [37] | Asia | 173 | 78.60% | qRT-PCR | 1–5 days | SD Dengue Duo (Standard Diagnostics, Inc., Seoul, Korea) | NS1/IgM: SD 95.6% | NS1/IgM: SD 89.2% | 130, 6, 4, 33 | 0.970 (0.938–0.989) | 0.847 (0.735–0.91) | 8.852 (4.099–23.755) | 0.049 (0.027–0.098) | <0.0001 * |
| 9b | Liu, 2021, Taiwan [37] | Asia | 173 | 78.60% | qRT-PCR | 1–5 days | Dengue NS1 Ag Strip (Bio-Rad, Marnes–La–Coquette, France) | NS1/IgM: Bio–Rad 91.9% | NS1/IgM: Bio–Rad 91.9% | 125, 11, 3, 34 | 0.977 (0.941–0.994) | 0.755 (0.656–0.804) | 11.346 (4.373–42.13) | 0.088 (0.066–0.143) | <0.0001 * |
| 9c | Liu, 2021, Taiwan [37] | Asia | 173 | 78.60% | qRT-PCR | 1–5 days | Dengue Ag Rapid Test-Cassette (CTK Biotech, Inc., San Diego, CA, USA) | NS1/IgM: CTK 95.6% | NS1/IgM: CTK 70.3% | 130, 6, 11, 26 | 0.922 (0.888–0.945) | 0.813 (0.664–0.913) | 3.219 (2.164–4.649) | 0.063 (0.026–0.138) | <0.0001 * |
| 9d | Liu, 2021, Taiwan [37] | Asia | 173 | 78.60% | qRT-PCR | 1–5 days | Dengue Ag Rapid Test-Cassette (CTK Biotech, Inc., San Diego, CA, USA) | NS1/IgM/IgG: CTK 87.8% | NS1/IgM/IgG: CTK 43.2% | 119, 17, 21, 16 | 0.85 (0.814–0.885) | 0.491 (0.336–0.64) | 1.546 (1.193–2.091) | 0.282 (0.153–0.539) | <0.0001 * |
| 9e | Liu, 2021, Taiwan [37] | Asia | 173 | 78.60% | qRT-PCR | 1–5 days | SD Dengue Duo (Standard Diagnostics, Inc., Seoul, Korea) | NS1/IgM/IgG: SD 97.1% | NS1/IgM/IgG: SD 86.5% | 132, 4, 5, 32 | 0.964 (0.993–0.981) | 0.89 (0.772–0.957) | 7.193 (3.765–14.072) | 0.034 (0.012–0.08) | <0.0001 * |
| 10a | Tricou, 2010, Vietnam [39] | Asia | 292 | 83.90% | RT-PCR | 1–7 days | Bio-Rad NS1 Ag Strip | NS1/IgM Bio-Rad: 83.3% (72.1–91.4) | 100% | 204, 41, 0, 47 | 1 (0.98–1) | 0.535 (0.488–0.535) | NE | 0.167 (0.167–0.201) | <0.0001 * |
| 10b | Tricou, 2010, Vietnam [39] | Asia | 292 | 83.90% | RT-PCR | 1–7 days | SD Dengue Duo (NS1/IgM/IgG) lateral flow rapid tests | NS1/IgM SD Duo: 75.5% (69.6–80.8) | 100% | 185, 60, 0, 47 | 1 (0.977–1) | 0.439 (0.4–0.439) | NE | 0.245 (0.245–0.288) | <0.0001 * |
| 10c | Tricou, 2010, Vietnam [39] | Asia | 292 | 83.90% | RT-PCR | 1–7 days | Bio-Rad NS1 Ag Strip | NS1/IgM/IgG Bio-Rad: 61.6%; | 100% | 151, 94, 0, 47 | 1 (0.972–1) | 0.333 (0.303–0.333) | NE | 0.384 (0.384–0.441) | <0.0001 * |
| 10d | Tricou, 2010, Vietnam [39] | Asia | 292 | 83.90% | RT-PCR | 1–7 days | SD Dengue Duo (NS1/IgM/IgG) lateral flow rapid tests | NS1/IgM/IgG SD Duo: 83.7% (78.4–88.1) | 100% | 205, 40, 0, 47 | 1 (0.98–1) | 0.541 (0.493–0.541) | NE | 0.163 (0.163–0.197) | <0.0001 * |
| 11 | Andries, 2012, Cambodia [29] | Asia | 157 | 54.10% | NS1 capture ELISA, MAC-ELISA for IgM, indirect ELISA for IgG | 1–7 days | SD BIOLINE Dengue DUO® (Standard Diagnostic Inc., Seoul, Korea) | NS1/IgM/IgG: 94.4% (88.9–97.7) | NS1/IgM/IgG: 90.0% (73.5–97.9) | 80, 5, 7, 65 | 0.918 (0.864–0.949) | 0.932 (0.864–0.971) | 9.44 (5.39–15.824) | 0.062 (0.025–0.133) | <0.0001 * |
* Stands for statistically significant Fisher Exact p-value finding.
3.7. Subgroup Analysis by ICT Manufacturer
Subgroup analysis was performed to determine the influence of multiple ICT assays on diagnostic accuracy and inter-study heterogeneity. Studies were grouped according to the ICT assay used to calculate heterogeneity and diagnostic accuracy results for sample verification. Heterogeneity trends (Cochran’s Q and χ2) were calculated for studies that used the following nine ICTs for NS1 antigen detection, including:
(1) Dengue NS1 Ag STRIP™ (Biorad Laboratories, Marnes-La-Coquette, France) (Cumulative SN: 90.58%, SP: 96.94%), (2) SD Bioline Dengue NS1 Ag Rapid Test (Alere, Waltham, MA, USA) (Cumulative SN: 62.7%, SP: 95.53%), (3) Dengue NS1 Detect Rapid Test (1st generation) (InBios International, Seattle, WA, USA) (Cumulative SN: 76.5%, SP: 97.3%), (4) Panbio™ Dengue Early Rapid (Cumulative SN: 72.45%, SP: 95%), (5) J. Mitra Dengue Day 1 Test (Cumulative SN: 85%, SP: 95.15%), (6) Dengue Ag Rapid Test-Cassette (CTK Biotech, Inc., San Diego, CA, USA) (Cumulative SN: 85.3%, SP: 94.6%, (7) CareUS Dengue Combo (WellsBio, Seoul, Korea) (Cumulative SN: 75.95%, SP: 93.55%), (8) Humasis Dengue Combo (Humasis, Gyeonggi-do, Korea) (Cumulative SN: 65.95%, SP: 95.15%), and (9) Wondfo Dengue Combo, China (Cumulative SN: 67.1%, SP: 91.9). The χ2 finding was 158.818 (df = 8), p < 0.001, and I2 = 95%.
For IgM antibody detection, the following five ICTs were used: (1) SD BIOLINE Dengue DUO® (Standard Diagnostic Inc., Suwon, Korea) (Cumulative SN: 34.85%, SP: 93.83%), (2) J. Mitra Dengue Day 1 Test (Cumulative SN: 22.5%, SP: 93.6%), (3) CareUS Dengue Combo (WellsBio, Seoul, Korea) (Cumulative SN: 78.5%, SP: 92%), (4) Humasis Dengue Combo (Humasis, Gyeonggi-do, Korea) (Cumulative SN: 32.5%, SP: 91.1%), and (5) Wondfo Dengue Combo, China (Cumulative SN: 19.3%, SP: 95.2%). The χ2 finding was 21.698 (df = 5), p < 0.001, and I2 = 95.14%.
3.8. Diagnostic Accuracy by Reference Assay
A subgroup analysis was performed to determine the influence of multiple reference assays on study diagnostic accuracy. Studies were grouped according to the reference assay used for sample verification to calculate the diagnostic accuracy results. Studies used: (1) ELISA only, (2) RT-PCR only, (3) HAI only, (4) or multiple reference assays (two or more).
The SN, SP, DOR, and LR+ for the diagnostic tests were yielded for different referencing methods. Only ELISA reference standards (cumulative SN: 56.125%, SP: 94.35%) led to a DOR of 21.362 (95% CI = 17.08–26.741) and LR+ of 9.934 (95% CI = 8.186–12.112). Only RT–PCR reference standards (cumulative SN: 72.53%, SP: 93.87%) yielded a DOR of 40.432 (23.297–71.211) and LR+ of 11.832 (95% CI = 7.338–19.835). Only one study referenced the hemagglutination inhibition test; therefore, summary trends could not be computed. Finally, when using multiple reference assays (combinations of ELISA and RT–PCR) as standards (cumulative SN: 79.48%, SP: 92.45%), the DOR was 47.429 (95% CI = 34.771–64.813), and LR+ was 10.527 (95% CI = 8.365–13.393). While large heterogeneity was noted between the reference assay subgroups, the DOR and LR+ findings were the most notable with multiple reference assays, followed by RT-PCR, and finally ELISA.
3.9. Diagnostic Accuracy by Primary/Secondary Disease
Primary and secondary infection ICT interpretation (as defined by the manufacturer using IgM and IgG results) was compared with a valid reference assay to detect primary and secondary dengue infection. The overall sensitivity for primary infection was 75.68%, with SD = 25.45, whereas for secondary infection, the sensitivity was 71.9% (SD = 20.12). The dengue ICTs showed more sensitivity for primary infection.
3.10. Identification of Different DENV Serotypes
The sensitivity was different for DENV 1–4 serotypes between subgroups. The dengue ICTs gave the most sensitive results for DENV 3 (cumulative SN = 83.63%). DENV 1 was the second most sensitive test finding, with cumulative SN being 81.3%. Findings for DENV 2 were the third most sensitive (cumulative SN = 75.22%), followed by DENV 4 (62.06%).
3.11. Summary Receiver Operating Characteristics (SROC) Findings
The SROC curve analysis of NS1, NS1/IgM, and IgM study results are appended in Figure 5. The plot determined slightly improved (optimum SN and SP) results with NS1 alone, followed by NS1/IgM, and lastly, IgM alone. Therefore, the summary line that is closest to the upper-left corner of the plot (NS1 in this case) is considered nearest to the gold standard dengue testing format; this is closely followed by combined NS1/IgM testing, and lastly IgM, which is the furthest from the gold-standard metric.
Figure 5.
Summary ROC plot of tests: (1) IgM, (2) NS1, (3) NS1/IgM.
4. Discussion
We conducted a systematic review and meta-analysis of NS1, and IgM and combined NS1/IgM antigen detection with different commercially-available ICTs to detect acute DENV infection. Five thousand two hundred two individuals were screened with a prevalence rate of 55.9% across 19 studies in dengue-endemic countries. We found that NS1 ICTs had more diagnostic potential (DOR: 48.35), followed by NS1/IgM ICTs (DOR: 27.87) and IgM ICTs (DOR: 10.54). NS1 ICTs had a higher pooled sensitivity (70.0%) and specificity (95.4%) in the acute phase compared with IgM ICTs (SN: 45.32%, SP: 92.71%) but lower than that of combined NS1/IgM ICTs (SN: 78.77%, SP: 88.25%). Nine NS1 ICTs had variable sensitivity (62.4–90.6%) and comparable specificity (93.6–92.9%). Similarly, variable sensitivity (19.3–78.5%) and comparable specificity (88.1–95.2%) was noted across six IgM ICT manufacturers. RT-PCR was the most accurate reference test, whereas ELISA was the least. The sensitivity of ICTs to detect primary infection was 77.9% compared with 66% for secondary infection in a subset of the studies that reported such data. The DENV-3 and DENV-1 serotypes were the most likely to be detected, compared with other serotypes. Overall, NS1 ICTs were the most predictive of acute DENV infection, with a higher detection in primary infection and DENV-3 serotypes. By different ICT manufacturers, the sensitivity varied, whereas the specificity was comparable. Our results emphasize the high diagnostic accuracy of NS1 ICTs in the acute phase, with certain commercial ICTs having higher sensitivities.
Our primary reason for conducting this study was to consider ICTs in detecting DENV in the acute phase to improve prompt diagnosis and early treatment. Many studies have demonstrated a high pooled sensitivity of NS1 ICTs and considerably low performance of IgM ICTs [14,15,16,17,18]. When used as a screening modality, ICTs may be part of the diagnostic algorithm that accounts for their high number of false negatives to optimize their performance [40]. While we did find a higher sensitivity of combined NS1/IgM ICTs, the overall diagnostic accuracy was prominently higher for NS1 ICTs. We only included acute-phase data, meaning only individuals presenting within seven days after the onset of symptoms were included. As we saw large inter-ICT manufacturer variability, we suggest considering ICTs with higher sensitivities/specificities for use in community settings, such as the NS1 Ag STRIP™ (Biorad Laboratories, Marnes-La-Coquette, France), similarly observed by Zhang et al. [16]. We considered these ICTs in the acute phase, since timely detection expands the diagnostic window of opportunity compared with gold standards (e.g., viral isolation, RT-PCR), which may take longer [41].
ICTs have the highest ability to distinguish serotypes DENV-3 and DENV-1, and the lowest for DENV-4, shown similarly by Zhang et al. and Shan et al. [16,17]. Among DENV-suspected individuals, NS1 ICTs and NS1/IgM ICTs are well-suited to detect acute infections of two serotypes, DENV-3 and DENV-1. Still, they are utilized at clinicians’ discretion to guide acute clinical management, as observed by Lim et al. [42]. Understanding different DENV serological sensitivity helps apply ICTs as DENV-3 serotypes are more widespread in certain regions (e.g., Sri Lanka, Malaysia, Vietnam) [43]. The global distribution of different dengue serotypes has implications for diagnostic strategies, and phylogeographic relationships with serotypes in specific regions may help guide the adaptation of ICTs [43].
It was possible to separately analyze primary and secondary dengue infection in 15 studies. All serum samples were collected between 0–7 days after symptom onset; patients with a primary infection were categorized as primary infection if negative for IgG, and a secondary infection if positive for IgG. Overall, a 77.9% sensitivity rate of NS1/IgM ICTs for primary infections was higher than that observed for IgM ICTs only (71%) by Blacksell et al. [14]; secondary infections had a 66% sensitivity rate, similarly observed by Blacksell et al. [14]. We were interested in identifying the performance of NS1 and IgM-based ICTs for the detection of primary and secondary infection in the acute phase. This was because secondary infections are more likely to lead to dengue hemorrhagic fever (DHF) and dengue shock syndrome (DSS), a more severe form of dengue fever (DF) [44]. Two hallmark symptoms of DHF are bleeding and plasma leakage due to increased vascular permeability and abnormal hemostasis [45]. A major loss of vascular fluids results in DSS, which puts the patients into hypovolemic shock and is associated with a mortality rate of higher than 50% when untreated, and is a medical emergency [46].
However, studies have demonstrated that DHF occurs in primary infections, which refutes the “original antigenic sin” hypothesis that individuals with secondary infections have a higher risk of DHF/DSS and the complex nature of DHF is also associated with age, sex, serotype, and genetic background [47]. Regardless, current data suggest that secondary dengue infections have a higher frequency of severe disease. A key feature of dengue ICTs as a satisfactory diagnostic test is discriminating between the two infection states [48]. The sensitivity ranged from 66–77.9%, which was less than optimal; however, we expect the specificity to be high in acute primary and secondary infections, as shown in a previous meta-analysis [14]. We could not detect specificity rates due to the scarcity of data in our studies. Regardless, we consider NS1/IgM ICTs to be a good test for differentiation of infection type in the acute phase to screen patients at risk for severe DENV infection sequelae. While outside the scope of this paper, the combined use of IgM and IgG has been shown to increase sensitivity during the first 7 days as IgG: IgM ratio > 1 is an excellent marker of secondary infection.
Our study has certain limitations. First, there was a lack of data on the adequate characterization of the samples by mean time since the onset of symptoms. Second, there was high variability in the performance of different ICTs; we did not conduct any further analyses to account for low-performing ICTs, but it is likely that if outlier ICTs were removed, the overall diagnostic potential of ICTs would be much higher. Third, we found that the reference assays had a high rate of heterogeneity compared with one another. We expect the ICTs to have variable efficacies due to different diagnostic reference standards. However, all studies used at least one reference test with high specificity, e.g., RT-PCRs, and ELISAs. Fourth, there was high heterogeneity within studies due to different methodologies. We, however, removed any studies that failed to meet the selection criteria. There may be different prevalence rates that may act as confounders for primary and secondary dengue infection burden. However, we considered dengue-endemic countries to eliminate the geographical bias of disease burden. The high heterogeneity may also be due to different control arms across the studies. While most studies screened suspected DF patients, certain studies used negative samples from dengue-endemic and non-dengue-endemic countries and patients diagnosed with other infections similar to DENV infection. Additionally, we cannot rule out the cross-reactivity of available RDTs with other flaviviruses, especially the Zika virus (ZIKV). However, Tan et al. reported through their surveillance data, that the cross-reactivity found in the lowest reactive titers of flaviviruses was generally higher than virus titers reported in natural infections due to respective flaviviruses. The cross-reactivity challenges can ideally be addressed through detection thresholds of assays designed for specific flaviviruses, e.g., ZIKV. Nevertheless, the cross-reactivity thresholds of commercially available assays are less likely to identify false positive results among clinical specimens in flavivirus-endemic regions. Last, due to incomplete data, we did not analyze for confounders such as age and gender.
Our study has a few strengths. We documented the entire search strategy and procedures; as such, we reported reasons for the removal of studies. We analyzed data for NS1, IgM, and combined NS1/IgM diagnostic accuracy, which provides insight into their ability to rule in and rule out disease. We obtained and analyzed data for different types of infection and by serology. Another strength of ours was the robust evaluation of many commercially-available ICTs, which had not been conducted previously. Overall, we found many methodological concerns in existing studies that examined the roles of ICT for DENV infection detection. It is important to adapt clear methodological guidelines for the assessment of DENV infection diagnostic tests such as the QUADAS-2 tool [22] and CASP checklist [49]. The dramatic increase in the dengue burden globally is alarming, and there is a need to regulate already available diagnostic tools for dengue across the healthcare sector [50].
5. Conclusions
In conclusion, we found that NS1 ICTs have good diagnostic accuracy and excellent pooled specificity for DENV detection in acute phases of infection within 7 days post–symptom onset. The NS1 ICTs can distinguish DENV-3 and DENV-1 more accurately. Type of infection, ICT manufacturers, reference methods, and DENV serotypes influence the diagnostic accuracy of these tests. There is a critical need to evaluate different ICTs for their diagnostic accuracy using standardized methodologies. Such data may be leveraged to incorporate ICTs as part of diagnostic algorithms in dengue-endemic regions with high burdens in these settings.
Supplementary Materials
The following supporting information can be downloaded at: https://www.mdpi.com/article/10.3390/ijerph19148756/s1, Table S1: Excluded Full-Text Studies (N = 36).
Author Contributions
Conceptualization, M.H., S.Y. and A.Z.; Data curation, Z.S.; Formal analysis, M.H., S.Y. and Z.S.; Methodology, S.Y., A.Z. and A.S.; Project administration, I.C.-O.; Resources, I.C.-O.; Software, A.S.; Visualization, Z.S.; Writing—original draft, M.H., S.Y., A.Z., A.S. and Z.S.; Writing—review & editing, M.H., S.Y., A.Z., A.S., Z.S. and I.C.-O. All authors have read and agreed to the published version of the manuscript.
Funding
This research received no external funding.
Institutional Review Board Statement
All methods were carried out in accordance with relevant guidelines and regulations (declaration of Helsinki).
Informed Consent Statement
Not applicable.
Data Availability Statement
The data presented in this study are available in the article.
Conflicts of Interest
The authors declare no conflict of interest.
References
- Tuiskunen Bäck, A.; Lundkvist, Å. Dengue Viruses—An Overview. Infect. Ecol. Epidemiol. 2013, 3, 19839. [Google Scholar] [CrossRef] [PubMed]
- WHO Dengue and Severe Dengue. Available online: https://www.who.int/news-room/fact-sheets/detail/dengue-and-severe-dengue (accessed on 6 July 2022).
- Wilder-Smith, A.; Murray, N.E.A.; Quam, M.B. Epidemiology of dengue: Past, present and future prospects. Clin. Epidemiol. 2013, 5, 299–309. [Google Scholar] [CrossRef] [PubMed] [Green Version]
- Mardekian, S.K.; Roberts, A.L. Diagnostic Options and Challenges for Dengue and Chikungunya Viruses. BioMed Res. Int. 2015, 2015, 834371. [Google Scholar] [CrossRef] [PubMed] [Green Version]
- World Health Organization and Special Programme for Research and Training in Tropical Diseases and World Health Organization; Department of Control of Neglected Tropical Diseases and World Health Organization; Epidemic and Pandemic Alert. Dengue: Guidelines for Diagnosis, Treatment, Prevention and Control; World Health Organization: Geneva, Switzerland, 2009; ISBN 9241547871.
- Muller, D.A.; Depelsenaire, A.C.I.; Young, P.R. Clinical and Laboratory Diagnosis of Dengue Virus Infection. J. Infect. Dis. 2017, 215, S89–S95. [Google Scholar] [CrossRef]
- Lanciotti, R.S.; Calisher, C.H.; Gubler, D.J.; Chang, G.J.; Vorndam, A.V. Rapid detection and typing of dengue viruses from clinical samples by using reverse transcriptase-polymerase chain reaction. J. Clin. Microbiol. 1992, 30, 545–551. [Google Scholar] [CrossRef] [Green Version]
- Roehrig, J.T.; Hombach, J.; Barrett, A.D.T. Guidelines for Plaque-Reduction Neutralization Testing of Human Antibodies to Dengue Viruses. Viral Immunol. 2008, 21, 123–132. [Google Scholar] [CrossRef]
- Porter, K.R.; Widjaja, S.; Darmawan, H.; Lohita; Hadiwijaya, S.H.; Maroef, C.N.; Suharyono, W.; Tan, R. Evaluation of a Commercially Available Immunoglobulin M Capture Enzyme-Linked Immunosorbent Assay Kit for Diagnosing Acute Dengue Infections. Clin. Diagn. Lab. Immunol. 1999, 6, 741–744. [Google Scholar] [CrossRef] [Green Version]
- Duong, V.; Ly, S.; Try, P.L.; Tuiskunen, A.; Ong, S.; Chroeung, N.; Lundkvist, A.; Leparc-Goffart, I.; Deubel, V.; Vong, S.; et al. Clinical and Virological Factors Influencing the Performance of a NS1 Antigen-Capture Assay and Potential Use as a Marker of Dengue Disease Severity. PLoS Negl. Trop. Dis. 2011, 5, e1244. [Google Scholar] [CrossRef] [Green Version]
- Rathore, A.P.S.; St John, A.L. Cross-Reactive Immunity among Flaviviruses. Front. Immunol. 2020, 11, 334. [Google Scholar] [CrossRef] [Green Version]
- WHO Dengue Bulletin 2009, Volume 33. 2009. Available online: https://apps.who.int/iris/handle/10665/204939 (accessed on 6 July 2022).
- Alagarasu, K.; Walimbe, A.M.; Jadhav, S.M.; Deoshatwar, A.R. A meta-analysis of the diagnostic accuracy of dengue virus-specific IgA antibody-based tests for detection of dengue infection. Epidemiol. Infect. 2016, 144, 876–886. [Google Scholar] [CrossRef] [Green Version]
- Blacksell, S.D.; Doust, J.A.; Newton, P.N.; Peacock, S.J.; Day, N.P.J.; Dondorp, A.M. A systematic review and meta-analysis of the diagnostic accuracy of rapid immunochromatographic assays for the detection of dengue virus IgM antibodies during acute infection. Trans. R. Soc. Trop. Med. Hyg. 2006, 100, 775–784. [Google Scholar] [CrossRef] [PubMed]
- Mata, V.E.; De Andrade, C.A.F.; Passos, S.R.L.; Hökerberg, Y.H.M.; Fukuoka, L.V.B.; Da Silva, S.A. Rapid Immunochromatographic Tests for the Diagnosis of Dengue: A Systematic Review and Meta-Analysis. Cad. Saude Publica 2020, 36, e00225618. [Google Scholar] [CrossRef] [PubMed]
- Zhang, H.; Li, W.; Wang, J.; Peng, H.; Che, X.; Chen, X.; Zhou, Y. 2 NS1-Based Tests Supplying a Diagnostic Utility for Confirming Dengue 3 Infection: A Meta-Analysis Q1. Int. J. Infect. Dis. 2014, 30, e1–e10. [Google Scholar] [CrossRef] [PubMed] [Green Version]
- Shan, X.; Wang, X.; Yuan, Q.; Zheng, Y.; Zhang, H.; Wu, Y.; Yang, J. Evaluation of the diagnostic accuracy of nonstructural protein 1 Ag-based tests for dengue virus in Asian population: A meta-analysis. BMC Infect. Dis. 2015, 15, 360. [Google Scholar] [CrossRef] [PubMed] [Green Version]
- Hang, V.T.; Nguyet, N.M.; Trung, D.T.; Tricou, V.; Yoksan, S.; Dung, N.M.; Van Ngoc, T.; Hien, T.T.; Farrar, J.; Wills, B.; et al. Diagnostic Accuracy of NS1 ELISA and Lateral Flow Rapid Tests for Dengue Sensitivity, Specificity and Relationship to Viraemia and Antibody Responses. PLoS Negl. Trop. Dis. 2009, 3, e360. [Google Scholar] [CrossRef]
- Goncalves, A.; Peeling, R.W.; Chu, M.C.; Gubler, D.J.; De Silva, A.M.; Harris, E.; Murtagh, M.; Chua, A.; Rodriguez, W.; Kelly, C.; et al. Innovative and New Approaches to Laboratory Diagnosis of Zika and Dengue: A Meeting Report. J. Infect. Dis. 2018, 217, 1060–1068. [Google Scholar] [CrossRef]
- Statistics and Maps|Dengue|CDC. Available online: https://www.cdc.gov/dengue/statistics-maps/index.html (accessed on 23 May 2022).
- Horsley, T.; Dingwall, O.; Sampson, M. Checking reference lists to find additional studies for systematic reviews. Cochrane Database Syst. Rev. 2011, 2011, MR000026. [Google Scholar] [CrossRef]
- Whiting, P.F.; Rutjes, A.W.S.; Westwood, M.E.; Mallett, S.; Deeks, J.J.; Reitsma, J.B.; Leeflang, M.M.G.; Sterne, J.A.C.; Bossuyt, P.M.M.; QUADAS-2 Group. QUADAS-2: A Revised Tool for the Quality Assessment of Diagnostic Accuracy Studies. Ann. Intern. Med. 2011, 155, 529–536. [Google Scholar] [CrossRef]
- Fleiss, J.L.; Levin, B.; Paik, M.C. Statistical Methods for Rates and Proportions; John Wiley & Sons: Hoboken, NJ, USA, 2013; ISBN 1118625617. [Google Scholar]
- Farrington, D.P.; Loeber, R. Relative improvement over chance (RIOC) and phi as measures of predictive efficiency and strength of association in 2 × 2 tables. J. Quant. Criminol. 1989, 5, 201–213. [Google Scholar] [CrossRef]
- Kikuti, M.; Cruz, J.S.; Rodrigues, M.S.; Tavares, A.S.; Paploski, I.A.D.; Silva, M.M.O.; Santana, P.M.; Tauro, L.B.; Silva, G.A.O.F.; Campos, G.S.; et al. Accuracy of the SD BIOLINE Dengue Duo for rapid point-of-care diagnosis of dengue. PLoS ONE 2019, 14, e0213301. [Google Scholar] [CrossRef]
- Osorio, L.; Ramirez, M.; Bonelo, A.; Villar, L.A.; Parra, B. Comparison of the diagnostic accuracy of commercial NS1-based diagnostic tests for early dengue infection. Virol. J. 2010, 7, 361. [Google Scholar] [CrossRef] [PubMed] [Green Version]
- Pal, S.; Dauner, A.L.; Mitra, I.; Forshey, B.M.; Garcia, P.; Morrison, A.C.; Halsey, E.S.; Kochel, T.J.; Wu, S.-J.L. Evaluation of Dengue NS1 Antigen Rapid Tests and ELISA Kits Using Clinical Samples. PLoS ONE 2014, 9, e113411. [Google Scholar] [CrossRef] [PubMed] [Green Version]
- Carter, M.J.; Emary, K.R.; Moore, C.E.; Parry, C.M.; Sona, S.; Putchhat, H.; Reaksmey, S.; Chanpheaktra, N.; Stoesser, N.; Dobson, A.D.M.; et al. Rapid Diagnostic Tests for Dengue Virus Infection in Febrile Cambodian Children: Diagnostic Accuracy and Incorporation into Diagnostic Algorithms. PLoS Negl. Trop. Dis. 2015, 9, e0003424. [Google Scholar] [CrossRef]
- Andries, A.-C.; Duong, V.; Ngan, C.; Ong, S.; Huy, R.; Sroin, K.K.; Te, V.; Bunthin, Y.; Try, P.L.; Buchy, P. Field Evaluation and Impact on Clinical Management of a Rapid Diagnostic Kit That Detects Dengue NS1, IgM and IgG. PLoS Negl. Trop. Dis. 2012, 6, e1993. [Google Scholar] [CrossRef]
- Kulkarni, R.; Modak, M.; Gosavi, M.; Wani, D.; Mishra, A.C.; Arankalle, V.A. Comparative assessment of commercial enzyme-linked immunosorbent assay & rapid diagnostic tests used for dengue diagnosis in India. Indian J. Med Res. 2020, 151, 71–78. [Google Scholar] [CrossRef] [PubMed]
- Vivek, R.; Ahamed, S.F.; Kotabagi, S.; Chandele, A.; Khanna, I.; Khanna, N.; Nayak, K.; Dias, M.; Kaja, M.-K.; Shet, A. Evaluation of a pan-serotype point-of-care rapid diagnostic assay for accurate detection of acute dengue infection. Diagn. Microbiol. Infect. Dis. 2017, 87, 229–234. [Google Scholar] [CrossRef]
- Sathish, N.; Vijayakumar, T.S.; Abraham, P.; Sridharan, G. Dengue Fever: Its Laboratory Diagnosis, with Special Emphasis on IgM Detection; Department of Clinical Virology, Christian Medical College: Vellore, India, 2003. [Google Scholar]
- Ngim, C.F.; Husain, S.M.T.; Hassan, S.S.; Dhanoa, A.; Ahmad, S.A.A.; Mariapun, J.; Ismail, W.F.W.; Henien, N.P.B.; Jahan, N.K.; Pong, L.Y.; et al. Rapid testing requires clinical evaluation for accurate diagnosis of dengue disease: A passive surveillance study in Southern Malaysia. PLoS Negl. Trop. Dis. 2021, 15, e0009445. [Google Scholar] [CrossRef]
- Zainah, S.; Wahab, A.H.A.; Mariam, M.; Fauziah, M.K.; Khairul, A.H.; Roslina, I.; Sairulakhma, A.; Kadimon, S.S.; Jais, M.S.M.; Chua, K.B. Performance of a commercial rapid dengue NS1 antigen immunochromatography test with reference to dengue NS1 antigen-capture ELISA. J. Virol. Methods 2009, 155, 157–160. [Google Scholar] [CrossRef]
- Kyaw, A.K.; Tun, M.M.N.; Naing, S.T.; Htet, K.K.K.; Htwe, T.T.; Khaing, Y.Y.; Mar, T.T.; Aung, T.; Win, K.N.; Tar, T.; et al. Evaluation of commercially available three dengue rapid diagnostic test kits for diagnosis of acute dengue virus infection at the point-of-care setting in Myanmar. J. Virol. Methods 2019, 273, 113724. [Google Scholar] [CrossRef]
- Jang, W.S.; Kwak, S.Y.; May, W.L.; Yang, D.J.; Nam, J.; Lim, C.S. Comparative evaluation of three dengue duo rapid test kits to detect NS1, IgM, and IgG associated with acute dengue in children in Myanmar. PLoS ONE 2019, 14, e0213451. [Google Scholar] [CrossRef]
- Liu, L.-T.; Chen, C.-H.; Tsai, C.-Y.; Lin, P.-C.; Hsu, M.-C.; Huang, B.-Y.; Wang, Y.-H.; Tsai, J.-J. Evaluation of rapid diagnostic tests to detect dengue virus infections in Taiwan. PLoS ONE 2020, 15, e0239710. [Google Scholar] [CrossRef] [PubMed]
- Kittigul, L.; Suankeow, K. Use of a Rapid Immunochromatographic Test for Early Diagnosis of Dengue Virus Infection. Eur. J. Clin. Microbiol. Infect. Dis. 2002, 21, 224–226. [Google Scholar] [CrossRef] [PubMed]
- Tricou, V.; Vu, H.T.T.; Quynh, N.V.N.; Nguyen, C.V.V.; Tran, H.T.; Farrar, J.; Wills, B.; Simmons, C.P. Comparison of two dengue NS1 rapid tests for sensitivity, specificity and relationship to viraemia and antibody responses. BMC Infect. Dis. 2010, 10, 142. [Google Scholar] [CrossRef] [Green Version]
- Fry, S.R.; Meyer, M.; Semple, M.G.; Simmons, C.P.; Sekaran, S.D.; Huang, J.X.; McElnea, C.; Huang, C.-Y.; Valks, A.; Young, P.R.; et al. The Diagnostic Sensitivity of Dengue Rapid Test Assays Is Significantly Enhanced by Using a Combined Antigen and Antibody Testing Approach. PLoS Negl. Trop. Dis. 2011, 5, e1199. [Google Scholar] [CrossRef] [PubMed] [Green Version]
- Fatima, A.; Wang, J. Progress in the diagnosis of dengue virus infections and importance of point of care test: A review. Pak. J. Pharm. Sci. 2015, 28, 271–280. [Google Scholar]
- Lim, J.K.; Alexander, N.; Di Tanna, G.L. A systematic review of the economic impact of rapid diagnostic tests for dengue. BMC Health Serv. Res. 2017, 17, 850. [Google Scholar] [CrossRef]
- Messina, J.P.; Brady, O.J.; Scott, T.W.; Zou, C.; Pigott, D.M.; Duda, K.A.; Bhatt, S.; Katzelnick, L.; Howes, R.E.; Battle, K.E.; et al. Global spread of dengue virus types: Mapping the 70 year history. Trends Microbiol. 2014, 22, 138–146. [Google Scholar] [CrossRef] [Green Version]
- Halstead, S.B. Dengue. Lancet 2007, 370, 1644–1652. [Google Scholar] [CrossRef]
- Srichaikul, T.; Nimmannitya, S. Haematology in dengue and dengue haemorrhagic fever. Best Pract. Res. Clin. Haematol. 2000, 13, 261–276. [Google Scholar] [CrossRef]
- World Health Organization. Prevention and Control of Dengue and Dengue Haemorrhagic Fever; WHO Regional Office for South-East Asia: New Delhi, India, 1999.
- De la Cruz Hernández, S.I.; Puerta-Guardo, H.N.; Flores Aguilar, H.; González Mateos, S.; López Martinez, I.; Ortiz-Navarrete, V.; Ludert, J.E.; Del Angel, R.M. Primary Dengue Virus Infections Induce Differential Cytokine Production in Mexican Patients. Mem. Inst. Oswaldo Cruz 2016, 111, 161–167. [Google Scholar] [CrossRef]
- Shamala, D.S. Laboratory Diagnosis of Dengue: A Review. IIUM Med. J. Malaysia 2015, 14. [Google Scholar] [CrossRef]
- Zeng, X.; Zhang, Y.; Kwong, J.S.W.; Zhang, C.; Li, S.; Sun, F.; Niu, Y.; Du, L. The methodological quality assessment tools for preclinical and clinical studies, systematic review and meta-analysis, and clinical practice guideline: A systematic review. J. Evid.-Based Med. 2015, 8, 2–10. [Google Scholar] [CrossRef]
- World Health Organization. Global Plan to Combat Neglected Tropical Diseases 2008–2015; World Health Organization: Geneva, Switzerland, 2007.
Publisher’s Note: MDPI stays neutral with regard to jurisdictional claims in published maps and institutional affiliations. |
© 2022 by the authors. Licensee MDPI, Basel, Switzerland. This article is an open access article distributed under the terms and conditions of the Creative Commons Attribution (CC BY) license (https://creativecommons.org/licenses/by/4.0/).




