The Impacts of Nitrogen Pollution and Urbanization on the Carbon Dioxide Emission from Sewage-Draining River Networks
Abstract
:1. Introduction
2. Materials and Methods
2.1. Study Site
2.2. Sampling and Analysis
2.3. The Calculation of Partial Pressure of Carbon Dioxide in River Waters
2.4. CO2 Emission Flux Calculation
2.5. Statistical Analysis
3. Results
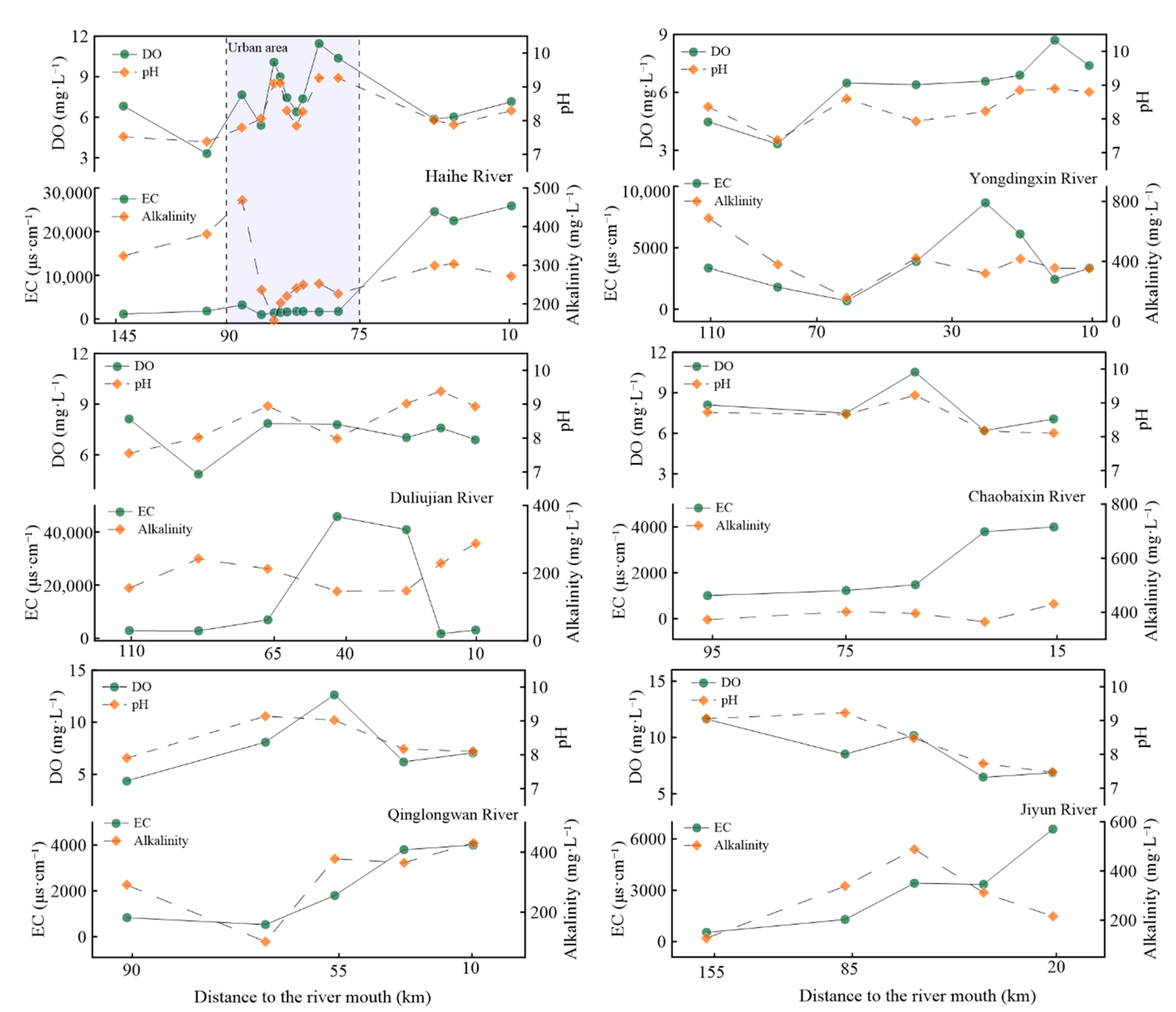
3.1. Variations in Water Quality Parameters
3.2. Variations in Nitrogen and Carbon Species
3.3. Partial Pressure of CO2 in Different River Waters
3.4. Fluxes of CO2 in River Networks
4. Discussion
4.1. Sewage-Draining Dominated the Spatial Distributions of pCO2 in River Networks
4.2. Biogeochemical Processes Served as the Primary Mechanisms of CO2 Production
4.3. Effects of Carbon/Nitrogen Increases on pCO2
4.4. CO2 Fluxes
5. Conclusions
Author Contributions
Funding
Institutional Review Board Statement
Informed Consent Statement
Data Availability Statement
Acknowledgments
Conflicts of Interest
References
- Bousquet, P.; Peylin, P.; Ciais, P.; Le Quéré, C.; Friedlingstein, P.; Tans, P.P. Regional Changes in Carbon Dioxide Fluxes of Land and Oceans Since 1980. Science 2000, 290, 1342–1346. [Google Scholar] [CrossRef] [PubMed]
- Richey, J.E.; Melack, J.M.; Aufdenkampe, A.K.; Ballester, V.M.; Hess, L.L. Outgassing from Amazonian Rivers and Wetlands as a Large Tropical Source of Atmospheric CO2. Nature 2002, 416, 617–620. [Google Scholar] [CrossRef] [PubMed]
- Duvert, C.; Butman, D.E.; Marx, A.; Ribolzi, O.; Hutley, L.B. CO2 Evasion Along Streams Driven by Groundwater Inputs and Geomorphic Controls. Nat. Geosci. 2018, 11, 813–818. [Google Scholar] [CrossRef]
- Cole, J.J.; Caraco, N.F.; Kling, G.W.; Kratz, T.K. Carbon Dioxide Supersaturation in the Surface Waters of Lakes. Science 1994, 265, 1568–1570. [Google Scholar] [CrossRef] [PubMed]
- Raymond, P.A.; Hartmann, J.; Lauerwald, R.; Sobek, S.; McDonald, C.; Hoover, M.; Butman, D.; Striegl, R.; Mayorga, E.; Humborg, C.; et al. Global Carbon Dioxide Emissions from Inland Waters. Nature 2013, 503, 355–359. [Google Scholar] [CrossRef] [PubMed]
- DelSontro, T.; Beaulieu, J.J.; Downing, J.A. Greenhouse Gas Emissions from Lakes and Impoundments: Upscaling in the Face of Global Change. Limnol. Oceanogr. Lett. 2018, 3, 64–75. [Google Scholar] [CrossRef] [PubMed]
- Alin, S.R.; de Fátima FL Rasera, M.; Salimon, C.I.; Richey, J.E.; Holtgrieve, G.W.; Krusche, A.V.; Snidvongs, A. Physical Controls on Carbon Dioxide Transfer Velocity and Flux in Low-Gradient River Systems and Implications for Regional Carbon Budgets. J. Geophys. Res. 2011, 116, G01009. [Google Scholar] [CrossRef]
- Amaral, V.; Ortega, T.; Romera-Castillo, C.; Forja, J. Linkages between Greenhouse Gases (CO2, CH4, and N2O) and Dissolved Organic Matter Composition in a Shallow Estuary. Sci. Total Environ. 2021, 788, 147863. [Google Scholar] [CrossRef]
- Li, S.L.; Wang, F.S.; Zhou, T.; Cheng, T.Y.; Wang, B.L. Carbon Dioxide Emissions from Cascade Hydropower Reservoirs along the Wujiang River, China. Inland Waters 2018, 8, 157–166. [Google Scholar] [CrossRef]
- Xue, H.; Yu, R.; Zhang, Z.; Qi, Z.; Lu, X.; Liu, T.; Gao, R. Greenhouse Gas Emissions from the Water–Air Interface of a Grassland River: A Case Study of the Xilin River. Sci. Rep. 2021, 11, 2659. [Google Scholar]
- Chanda, A.; Das, S.; Bhattacharyya, S.; Akhand, A.; Das, I.; Samanta, S.; Choudhury, S.B.; Hazra, S. pCO2 Effluxes from an Urban Tidal River Flowing through Two of the Most Populated and Polluted Cities of India. Environ. Sci. Pollut. Res. 2020, 27, 30093–30107. [Google Scholar] [CrossRef] [PubMed]
- Butman, D.; Raymond, P.A. Significant Efflux of Carbon Dioxide from Streams and Rivers in the United States. Nat. Geosci. 2011, 4, 839–842. [Google Scholar] [CrossRef]
- Abril, G.; Borges, A.V. Carbon Dioxide and Methane Emissions from Estuaries. In Greenhouse Gas Emissions—Fluxes and Processes; Springer: Berlin/Heidelberg, Germany, 2005; pp. 187–207. [Google Scholar]
- Sunda, W.G.; Cai, W.J. Eutrophication Induced CO2-Acidification of Subsurface Coastal Waters: Interactive Effects of Temperature, Salinity, and Atmospheric pCO2. Environ. Sci. Technol. 2012, 46, 10651–10659. [Google Scholar] [CrossRef] [PubMed]
- Liu, X.L.; Han, G.L.; Zeng, J.; Liu, J.K.; Li, X.Q.; Boeckx, P. The Effects of Clean Energy Production and Urbanization on Sources and Transformation Processes of Nitrate in a Subtropical River System: Insights from the Dual Isotopes of Nitrate and Bayesian Model. J. Clean. Prod. 2021, 325, 129317. [Google Scholar] [CrossRef]
- Liu, J.K.; Han, G.L. Tracing Riverine Particulate Black Carbon Sources in Xijiang River Basin: Insight from Stable Isotopic Composition and Bayesian Mixing Model. J. Hydrol. 2021, 194, 116932. [Google Scholar] [CrossRef]
- Liu, M.; Han, G.L.; Zhang, Q. Effects of Agricultural Abandonment on Soil Aggregation, Soil Organic Carbon Storage and Stabilization: Results from Observation in a Small Karst Catchment, Southwest China. Agric. Ecosyst. Environ. 2020, 288, 106719. [Google Scholar] [CrossRef]
- Tang, W.; Xu, Y.J.; Li, S.Y. Rapid Urbanization Effects on Partial Pressure and Emission of CO2 in Three Rivers with Different Urban Intensities. Ecol. Indic. 2021, 125, 107515. [Google Scholar] [CrossRef]
- Laruelle, G.G.; Dürr, H.H.; Slomp, C.P.; Borges, A.V. Evaluation of Sinks and Sources of CO2 in the Global Coastal Ocean Using a Spatially-Explicit Typology of Estuaries and Continental Shelves. Geophys. Res. Lett. 2010, 37, L15607. [Google Scholar] [CrossRef]
- Sun, H.Y.; Lu, X.X.; Yu, R.H.; Yang, J.; Liu, X.Y.; Cao, Z.X.; Zhang, Z.Z.; Li, M.X.; Geng, Y. Eutrophication Decreased CO2 but Increased CH4 Emissions from Lake: A Case Study of a Shallow Lake Ulansuhai. Water Res. 2021, 201, 117363. [Google Scholar] [CrossRef]
- Cotovicz, L.C.; Ribeiro, R.P.; Regis, C.R.; Bernardes, M.; Sobrinho, R.; Vidal, L.O.; Tremmel, D.; Knoppers, B.A.; Abril, G. Greenhouse Gas Emissions (CO2 and CH4) and Inorganic Carbon Behavior in an Urban Highly Polluted Tropical Coastal Lagoon (SE, Brazil). Environ. Sci. Pollut. Res. 2021, 28, 38173–38192. [Google Scholar] [CrossRef]
- Liu, X.L.; Bai, L.; Wang, Z.L.; Li, J.; Yue, F.J.; Li, S.L. Nitrous Oxide Emissions from River Network with Variable Nitrogen Loading in Tianjin, China. J. Geochem. Explor. 2015, 157, 153–161. [Google Scholar] [CrossRef]
- Abril, G.; Martinez, J.M.; Artigas, L.F.; Moreira-Turcq, P.; Benedetti, M.F.; Vidal, L.; Meziane, T.; Kim, J.H.; Bernardes, M.C.; Savoye, N.; et al. Amazon River Carbon Dioxide Outgassing Fuelled by Wetlands. Nature 2014, 505, 395–398. [Google Scholar] [CrossRef]
- Liu, J.K.; Han, G.L. Effects of Chemical Weathering and CO2 Outgassing on Delta δ13C-DIC Signals in a Karst Watershed. J. Hydrol. 2020, 589, 125192. [Google Scholar] [CrossRef]
- Wang, J.L.; Wang, X.F.; Liu, T.T.; Yuan, X.Z.; Chen, H.; He, Y.X.; Wu, S.N.; Yuan, Z.; Li, H.; Que, Z.Y.; et al. pCO2 and CO2 Evasion from Two Small Suburban Rivers: Implications of the Watershed Urbanization Process. Sci. Total Environ. 2021, 788, 147787. [Google Scholar] [CrossRef]
- Abril, G.; Bouillon, S.; Darchambeau, F.; Teodoru, C.R.; Marwick, T.R.; Tamooh, F.; Ochieng, O.; Geeraert, N.; Deirmendjian, L.; Polsenaere, P.; et al. Technical Note: Large Overestimation of pCO2 Calculated from pH and Alkalinity in Acidic, Organic-Rich Freshwaters. Biogeosciences 2015, 12, 67–78. [Google Scholar] [CrossRef]
- Wang, F.S.; Wang, B.L.; Liu, C.Q.; Wang, Y.C.; Guan, J.; Liu, X.L.; Yu, Y.X. Carbon Dioxide Emission from Surface Water in Cascade Reservoirs-River System on the Maotiao River, Southwest of China. Atmos. Environ. 2011, 45, 3827–3834. [Google Scholar] [CrossRef]
- Wallin, M.B.; Grabs, T.; Buffam, I.; Laudon, H.; Ågren, A.; Öquist, M.G.; Bishop, K.J. Evasion of CO2 from Streams–the Dominant Component of the Carbon Export through the Aquatic Conduit in a Boreal Landscape. GCB Bioenergy 2013, 19, 785–797. [Google Scholar]
- Crusius, J.; Wanninkhof, R. Gas Transfer Velocities Measured at Low Wind Speed over a Lake. Am. Soc. Limnol. Oceanogr. 2003, 48, 1010–1017. [Google Scholar] [CrossRef]
- Raymond, P.A.; Cole, J.J. Gas Exchange in Rivers and Estuaries: Choosing a Gas Transfer Velocity. Estuaries 2001, 24, 312–317. [Google Scholar] [CrossRef]
- Wanninkhof, R. Relationship between Wind Speed and Gas Exchange over the Ocean. J. Geophys. Res. 1992, 97, 7373–7382. [Google Scholar] [CrossRef]
- Cole, J.J.; Prairie, Y.T.; Caraco, N.F.; McDowell, W.H.; Tranvik, L.J.; Striegl, R.G.; Duarte, C.M.; Kortelainen, P.; Downing, J.A.; Middelburg, J.J.; et al. Plumbing the Global Carbon Cycle: Integrating Inland Waters into the Terrestrial Carbon Budget. Ecosystems 2007, 10, 172–185. [Google Scholar] [CrossRef]
- Hu, B.B.; Wang, D.Q.; Zhou, J.; Meng, W.Q.; Li, C.W.; Sun, Z.B.; Guo, X.; Wang, Z.L. Greenhouse Gases Emission from the Sewage Draining Rivers. Sci. Total Environ. 2018, 612, 1454–1462. [Google Scholar] [CrossRef]
- Luo, J.C.; Li, S.Y.; Ni, M.F.; Zhang, J. Large Spatiotemporal Shifts of CO2 Partial Pressure and CO2 Degassing in a Monsoonal Headwater Stream. J. Hydrol. 2019, 579, 124–135. [Google Scholar] [CrossRef]
- Arndt, S.; Jorgensen, B.B.; LaRowe, D.E.; Middelburg, J.J.; Pancost, R.D.; Regnier, P. Quantifying the Degradation of Organic Matter in Marine Sediments: A Review and Synthesis. Earth-Sci. Rev. 2013, 123, 53–86. [Google Scholar] [CrossRef]
- Han, G.L.; Tang, Y.; Liu, M.; Van Zwieten, L.; Yang, X.M.; Yu, C.X.; Wang, H.L.; Song, Z.L. Carbon-Nitrogen Isotope Coupling of Soil Organic Matter in a Karst Region under Land Use Change, Southwest China. Agric. Ecosyst. Environ. 2020, 301, 107027. [Google Scholar] [CrossRef]
- Cotovicz, L.C., Jr.; Vidal, L.O.; de Rezende, C.E.; Bernardes, M.C.; Knoppers, B.A.; Sobrinho, R.L.; Cardoso, R.P.; Muniz, M.; dos Anjos, R.M.; Biehler, A.; et al. Carbon Dioxide Sources and Sinks in the Delta of the Paraíba DO Sul River (Southeastern Brazil) Modulated by Carbonate Thermodynamics, Gas Exchange and Ecosystem Metabolism During Estuarine Mixing. Int. J. Infect. Dis. 2020, 226, 103869. [Google Scholar] [CrossRef]
- Reiman, J.; Xu, Y.J. Dissolved Carbon Export and CO2 Outgassing from the Lower Mississippi River–Implications of Future River Carbon Fluxes. J. Hydrol. 2019, 578, 124093. [Google Scholar] [CrossRef]
- Larsen, S.; Andersen, T.; Hessen, D.O. The pCO2 in Boreal Lakes: Organic Carbon as a Universal Predictor? Glob. Biogeochem. Cycles 2011, 25, GB2012. [Google Scholar] [CrossRef]
- Liu, X.L.; Han, G.L.; Zeng, J.; Liu, M.; Li, X.Q.; Boeckx, P. Identifying the Sources of Nitrate Contamination Using a Combined Dual Isotope, Chemical and Bayesian Model Approach in a Tropical Agricultural River: Case Study in the Mun River, Thailand. Sci. Total Environ. 2021, 760, 143938. [Google Scholar] [CrossRef]
- Hou, Y.M.; Liu, X.L.; Chen, S.N.; Ren, J.; Bai, L.; Li, J.; Gu, Y.B.; Wei, L. Effects of Seasonal Thermal Stratification on Nitrogen Transformation and Diffusion at the Sediment-Water Interface in a Deep Canyon Artificial Reservoir of Wujiang River Basin. Water 2021, 13, 3194. [Google Scholar] [CrossRef]
- Yoon, T.K.; Jin, H.; Begum, M.S.; Kang, N.; Park, J. CO2 Outgassing from an Urbanized River System Fueled by Wastewater Treatment Plant Effluents. Environ. Sci. Technol. 2017, 51, 10459–10467. [Google Scholar] [CrossRef] [PubMed]
- Cheng, C.; Sun, T.Y.; Li, H.J.; He, Q.; Pavlostathis, S.G.; Zhang, J. New Insights in Correlating Greenhouse Gas Emissions and Microbial Carbon and Nitrogen Transformations in Wetland Sediments Based on Genomic and Functional Analysis. J. Environ. Manag. 2021, 297, 113280. [Google Scholar] [CrossRef] [PubMed]
- Wang, X.; Tian, Y.; Liu, H.; Zhao, X.; Peng, S.J. The Influence of Incorporating Microbial Fuel Cells on Greenhouse Gas Emissions from Constructed Wetlands. Sci. Total Environ. 2019, 656, 270–279. [Google Scholar] [CrossRef] [PubMed]
- Williams, C.J.; Frost, P.C.; Williams, A.M.; Larson, J.H.; Richardson, W.B.; Chiandet, A.S.; Xenopoulos, M.A. Human Activities Cause Distinct Dissolved Organic Matter Composition across Freshwater Ecosystems. GCB Bioenergy 2016, 22, 613–626. [Google Scholar] [CrossRef] [PubMed]
- Le, T.P.Q.; Marchand, C.; Ho, C.T.; Le, N.D.; Duong, T.T.; Lu, X.X.; Doan, P.K.; Nguyen, T.K.; Nguyen, T.M.H.; Vu, D.A. CO2 Partial Pressure and CO2 Emission Along the Lower Red River (Vietnam). Biogeosciences 2018, 15, 4799–4814. [Google Scholar] [CrossRef]
- Krickov, I.V.; Serikova, S.; Pokrovsky, O.S.; Vorobyev, S.N.; Lim, A.G.; Siewert, M.B.; Karlsson, J. Sizable Carbon Emission from the Floodplain of Ob River. Ecol. Indic. 2021, 131, 108164. [Google Scholar] [CrossRef]
- Crawford, J.T.; Striegl, R.G.; Wickland, K.P.; Dornblaser, M.M.; Stanley, E.H. Emissions of Carbon Dioxide and Methane from a Headwater Stream Network of Interior Alaska. J. Geophys. Res. Biogeosci. 2013, 118, 482–494. [Google Scholar] [CrossRef]
- Demarty, M.; Tremblay, A. Long Term Follow-up of pCO2, pCH4 and Emissions from Eastmain 1 Boreal Reservoir, and the Rupert Diversion Bays, Canada. Ecohydrol. Hydrobiol. 2019, 19, 529–540. [Google Scholar] [CrossRef]







| Types | T (ºC) | pH | TDS (mg·L−1) | EC (μs·cm−1) | DO (mg·L−1) | Alk (mg·L−1) | 
|---|---|---|---|---|---|---|
| Lakes | 27.50–34.80 | 8.07–9.39 | 250.00–20,100.00 | 501.00–40,900.00 | 6.20–8.93 | 87.19–418.03 | 
| (n = 11) | 30.33 ± 2.04 | 8.80 ± 0.14 | 2847.09 ± 5788.55 | 5775.00 ± 11,784.55 | 7.60 ± 0.83 | 237.23 ± 122.84 | 
| Rural rivers | 25.80–30.90 | 7.88–10.41 | 269.00–22,900.00 | 537.00–45,800.00 | 4.48–14.24 | 101.38–689.06 | 
| (n = 23) | 28.50 ± 1.64 | 8.69 ± 0.68 | 4183.68 ± 6159.65 | 8065 ± 12,066.92 | 8.43 ± 2.90 | 314.01 ± 1315.01 | 
| Urban rivers | 25.60–30.40 | 7.47–9.36 | 484.00–32,800.00 | 970.00–6570.00 | 2.15–12.58 | 155.45–471.43 | 
| (n = 18) | 28.30 ± 1.63 | 8.44 ± 0.70 | 1123.83 ± 692.65 | 2250.28 ± 1386.33 | 8.24 ± 2.49 | 258.84 ± 98.01 | 
| Sewage | 26.70–29.60 | 7.29–7.90 | 418.00–902.00 | 834.00–1802.00 | 3.32–6.84 | 240.95–381.20 | 
| (n = 5) | 27.58 ± 1.16 | 7.59 ± 0.28 | 635.40 ± 232.78 | 1269.40 ± 466.70 | 4.92 ± 1.61 | 308.94 ± 51.04 | 
| Types | TN (mg·L−1) | NH4+-N (mg·L−1) | NO3−-N (mg·L−1) | NO2−-N (mg·L−1) | DON (mg·L−1) | 
|---|---|---|---|---|---|
| Lakes | 0.83–10.20 | 0.06–1.08 | 0.23–8.41 | 0.01–0.29 | 0.03–1.24 | 
| (n = 11) | 2.57 ± 2.66 | 0.52 ± 0.35 | 1.69 ± 2.31 | 0.07 ± 0.10 | 0.29 ± 0.36 | 
| Rural rivers | 2.11–16.97 | 0.30–5.96 | 0.23–10.72 | 0.01–4.90 | 0.16–9.17 | 
| (n = 23) | 8.71 ± 4.93 | 2.18 ± 1.62 | 4.12 ± 3.27 | 0.83 ± 1.42 | 1.64 ± 2.06 | 
| Urban rivers | 3.51–16.51 | 0.15–4.73 | 0.85–10.35 | 0.01–1.65 | 0.10–9.05 | 
| (n = 18) | 8.08 ± 3.52 | 2.65 ± 1.43 | 3.64 ± 2.23 | 0.16 ± 0.39 | 1.64 ± 2.40 | 
| Sewage | 3.51–15.82 | 0.50–5.76 | 1.02–8.15 | 0.02–2.83 | 0.77–8.77 | 
| (n = 5) | 12.08 ± 4.90 | 4.23 ± 2.17 | 3.50 ± 3.07 | 0.60 ± 1.25 | 3.76 ± 3.52 | 
| Name | Location | CO2 Fluxes (mmol·m−2·d−1) | References | |
|---|---|---|---|---|
| Urban rivers | Jacarepagua Lagoon Complex | Southeastern Brazil | 22~48 | [21] | 
| Hou River | China | 403 ± 204 | [25] | |
| Red River | Vietnam | 503 ± 16.9 | [46] | |
| Hooghly River | India | 2.64~12.00 | [11] | |
| Tianjin river network | China | 77.95 ± 102.30 | This study | |
| Rural rivers | Nome Creek | Alaska | 5.21 ± 3.94 | [48] | 
| Ob River | Western Siberia | –1.67~745 | [47] | |
| Wujiang River | China | 176~239.7 | [9] | |
| Chaoyang River | China | 116 ± 88 | [25] | |
| Tianjin River network | China | 35.33 ± 46.94 | This study | |
| Lakes | Jacarepagua Lagoon | Southeastern Brazil | 4.27~18.99 | [21] | 
| Eastmain Reservoir | Canada | 53.4~158.6 | [49] | |
| Dongfeng Lake | China | 13.4 | [9] | |
| Tianjin River network | China | 7.75 ± 22.42 | This study | 
| Publisher’s Note: MDPI stays neutral with regard to jurisdictional claims in published maps and institutional affiliations. | 
© 2022 by the authors. Licensee MDPI, Basel, Switzerland. This article is an open access article distributed under the terms and conditions of the Creative Commons Attribution (CC BY) license (https://creativecommons.org/licenses/by/4.0/).
Share and Cite
Hou, Y.; Liu, X.; Han, G.; Bai, L.; Li, J.; Wang, Y. The Impacts of Nitrogen Pollution and Urbanization on the Carbon Dioxide Emission from Sewage-Draining River Networks. Int. J. Environ. Res. Public Health 2022, 19, 10296. https://doi.org/10.3390/ijerph191610296
Hou Y, Liu X, Han G, Bai L, Li J, Wang Y. The Impacts of Nitrogen Pollution and Urbanization on the Carbon Dioxide Emission from Sewage-Draining River Networks. International Journal of Environmental Research and Public Health. 2022; 19(16):10296. https://doi.org/10.3390/ijerph191610296
Chicago/Turabian StyleHou, Yongmei, Xiaolong Liu, Guilin Han, Li Bai, Jun Li, and Yusi Wang. 2022. "The Impacts of Nitrogen Pollution and Urbanization on the Carbon Dioxide Emission from Sewage-Draining River Networks" International Journal of Environmental Research and Public Health 19, no. 16: 10296. https://doi.org/10.3390/ijerph191610296
APA StyleHou, Y., Liu, X., Han, G., Bai, L., Li, J., & Wang, Y. (2022). The Impacts of Nitrogen Pollution and Urbanization on the Carbon Dioxide Emission from Sewage-Draining River Networks. International Journal of Environmental Research and Public Health, 19(16), 10296. https://doi.org/10.3390/ijerph191610296
 
         
                                                



 
       