Integrated Patterns of Subjective Job Insecurity: A Multigroup Person-Centered Study
Abstract
1. Introduction
2. Literature Review on Subjective JI and Theoretical Framework
2.1. Conceptualizations of the JI Construct
2.2. Theoretical Framework of JI and Its Correlates
2.3. Person-Centered Approaches in Studying JI
2.4. The Present Study
3. Materials and Methods
3.1. Procedure and Participants
3.2. Measures
3.2.1. Job Insecurity Facets
Cognitive Job Insecurity
Affective Job Insecurity
Quantitative and Qualitative Job Insecurity
3.2.2. Measures for the Examination of LPA Validity
Job-Related Health Problems
Job-Affective Well-Being
Financial Inadequacy and Financial Strain
Self-Rated Job Performance
Positivity
Self-Efficacy Beliefs
3.3. Analytic Strategy
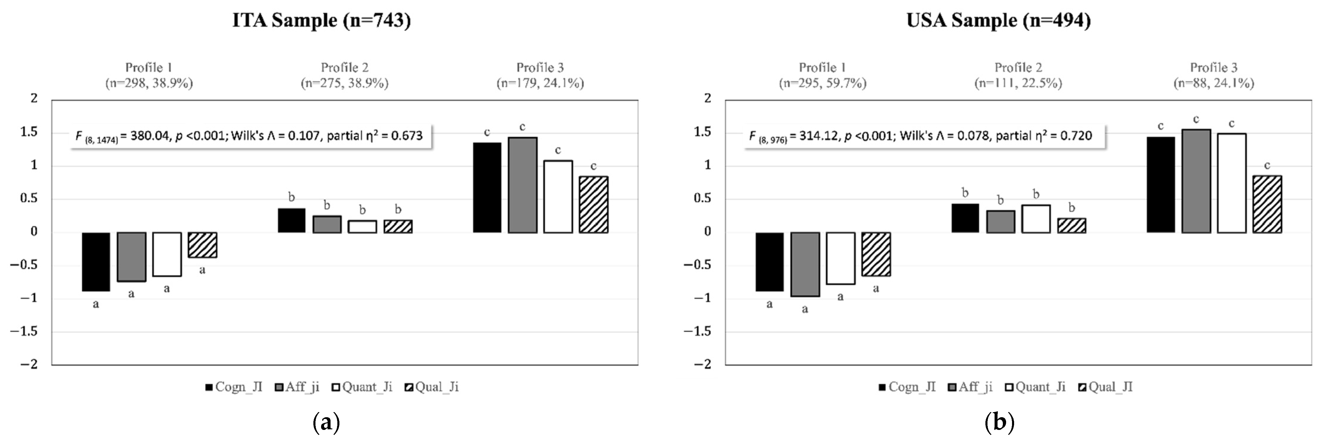
4. Results
5. Discussion
5.1. Theoretical and Practical Implications
5.2. Limitations and Future Directions
6. Conclusions
Supplementary Materials
Author Contributions
Funding
Institutional Review Board Statement
Informed Consent Statement
Data Availability Statement
Conflicts of Interest
References
- Kalleberg, A.L. Precarious Work, Insecure Workers: Employment Relations in Transition. Am. Sociol. Rev. 2009, 74, 1–22. [Google Scholar] [CrossRef]
- Probst, T.M. The Impact of Job Insecurity on Employee Work Attitudes, Job Adaptation, and Organizational Withdrawal Behaviors. In The Psychology Of Work: Theoretically based Empirical Research; Lawrence Erlbaum Associates Publishers: Mahwah, NJ, USA, 2002; pp. 141–168. ISBN 0-8058-3815-5. [Google Scholar]
- Bazzoli, A.; Probst, T.M. Taking Stock and Moving Forward: A Textual Statistics Approach to Synthesizing Four Decades of Job Insecurity Research. Organ. Psychol. Rev. 2022, 12, 507–544. [Google Scholar] [CrossRef]
- Morin, A.J.S.; Boudrias, J.-S.; Marsh, H.W.; Madore, I.; Desrumaux, P. Further Reflections on Disentangling Shape and Level Effects in Person-Centered Analyses: An Illustration Exploring the Dimensionality of Psychological Health. Struct. Equ. Model. A Multidiscip. J. 2016, 23, 438–454. [Google Scholar] [CrossRef]
- Morin, A.J.S.; Marsh, H.W. Disentangling Shape from Level Effects in Person-Centered Analyses: An Illustration Based on University Teachers’ Multidimensional Profiles of Effectiveness. Struct. Equ. Model. 2015, 22, 39–59. [Google Scholar] [CrossRef]
- Kam, C.; Morin, A.J.S.; Meyer, J.P.; Topolnytsky, L. Are Commitment Profiles Stable and Predictable? A Latent Transition Analysis. J. Manage. 2016, 42, 1462–1490. [Google Scholar] [CrossRef]
- Marsh, H.; Lüdtke, O.; Trautwein, U.; Morin, A.S. Classical Latent Profile Analysis of Academic Self-Concept Dimensions: Synergy of Person- and Variable-Centered Approaches to Theoretical Models of Self-Concept. Struct. Equ. Model. A Multidiscip. J. 2009, 16, 191–225. [Google Scholar] [CrossRef]
- Gelfand, M.J.; Aycan, Z.; Erez, M.; Leung, K. Cross-Cultural Industrial Organizational Psychology and Organizational Behavior: A Hundred-Year Journey. J. Appl. Psychol. 2017, 102, 514–529. [Google Scholar] [CrossRef]
- Spector, P.E.; Liu, C.; Sanchez, J.I. Methodological and Substantive Issues in Conducting Multinational and Cross-Cultural Research. Annu. Rev. Organ. Psychol. Organ. Behav. 2015, 2, 101–131. [Google Scholar] [CrossRef]
- European Commission Micro- and Macro-Level Determinants of Job Insecurity Perceptions: Individual, Organizational and Social Consequences. Multilevel Analysis and Comparisons among Countries. Available online: https://cordis.europa.eu/project/id/661739 (accessed on 20 August 2022).
- Jiang, L.; Lavaysse, L.M. Cognitive and Affective Job Insecurity: A Meta-Analysis and a Primary Study. J. Manag. 2018, 44, 2307–2342. [Google Scholar] [CrossRef]
- Jiang, L.; Lawrence, A.; Xu, X. (Violet) Does a Stick Work? A Meta-analytic Examination of Curvilinear Relationships between Job Insecurity and Employee Workplace Behaviors. J. Organ. Behav. 2022, 43, 1410–1445. [Google Scholar] [CrossRef]
- Lee, C.; Huang, G.-H.; Ashford, S.J. Job Insecurity and the Changing Workplace: Recent Developments and the Future Trends in Job Insecurity Research. Annu. Rev. Organ. Psychol. Organ. Behav. 2018, 5, 335–359. [Google Scholar] [CrossRef]
- Shoss, M.K. Job Insecurity: An Integrative Review and Agenda for Future Research. J. Manag. 2017, 43, 1911–1939. [Google Scholar] [CrossRef]
- Morin, A.J.S.; Meyer, J.P.; Creusier, J.; Biétry, F. Multiple-Group Analysis of Similarity in Latent Profile Solutions. Organ. Res. Methods 2016, 19, 231–254. [Google Scholar] [CrossRef]
- De Witte, H.; Pienaar, J.; De Cuyper, N. Review of 30 Years of Longitudinal Studies on the Association between Job Insecurity and Health and Well-being: Is There Causal Evidence? Aust. Psychol. 2016, 51, 18–31. [Google Scholar] [CrossRef]
- Greenhalgh, L.; Rosenblatt, Z. Job Insecurity: Toward Conceptual Clarity. Acad. Manag. Rev. 1984, 9, 438–448. [Google Scholar] [CrossRef]
- Hellgren, J.; Sverke, M.; Isaksson, K. A Two-Dimensional Approach to Job Insecurity: Consequences for Employee Attitudes and Well-Being. Eur. J. Work Organ. Psychol. 1999, 8, 179–195. [Google Scholar] [CrossRef]
- Sender, A.; Arnold, A.; Staffelbach, B. Job Security as a Threatened Resource: Reactions to Job Insecurity in Culturally Distinct Regions. Int. J. Hum. Resour. Manag. 2017, 28, 2403–2429. [Google Scholar] [CrossRef]
- Chirumbolo, A.; Urbini, F.; Callea, A.; Talamo, A. The Impact of Qualitative Job Insecurity on Identification with the Organization. Swiss J. Psychol. 2017, 76, 117–123. [Google Scholar] [CrossRef]
- De Cuyper, N.; De Witte, H.; Kinnunen, U.; Nätti, J. The Relationship Between Job Insecurity and Employability and Well-Being Among Finnish Temporary and Permanent Employees. Int. Stud. Manag. Organ. 2010, 40, 57–73. [Google Scholar] [CrossRef]
- De Witte, H.; De Cuyper, N.; Handaja, Y.; Sverke, M.; Näswall, K.; Hellgren, J. Associations Between Quantitative and Qualitative Job Insecurity and Well-Being. Int. Stud. Manag. Organ. 2010, 40, 40–56. [Google Scholar] [CrossRef]
- Tu, Y.; Long, L.; Wang, H.-J.; Jiang, L. To Prevent or to Promote: How Regulatory Focus Moderates the Differentiated Effects of Quantitative Versus Qualitative Job Insecurity on Employee Stress and Motivation. Int. J. Stress Manag. 2020, 27, 135–145. [Google Scholar] [CrossRef]
- De Cuyper, N.; Van Hootegem, A.; Smet, K.; Houben, E.; De Witte, H. All Insecure, All Good? Job Insecurity Profiles in Relation to Career Correlates. Int. J. Environ. Res. Public Health 2019, 16, 2640. [Google Scholar] [CrossRef] [PubMed]
- Låstad, L.; Tanimoto, A.S.; Lindfors, P. How Do Job Insecurity Profiles Correspond to Employee Experiences of Work-Home Interference, Self-Rated Health, and Psychological Well-Being? J. Occup. Health 2021, 63, e12253. [Google Scholar] [CrossRef] [PubMed]
- Urbanaviciute, I.; Lazauskaite-Zabielske, J.; De Witte, H. Deconstructing Job Insecurity: Do Its Qualitative and Quantitative Dimensions Add Up? Occup. Health Sci. 2021, 5, 415–435. [Google Scholar] [CrossRef]
- Probst, T.M. Development and Validation of the Job Security Index and the Job Security Satisfaction Scale: A Classical Test Theory and Irt Approach. J. Occup. Organ. Psychol. 2003, 76, 451–467. [Google Scholar] [CrossRef]
- Huang, G.-H.; Lee, C.; Ashford, S.; Chen, Z.; Ren, X. Affective Job Insecurity: A Mediator of Cognitive Job Insecurity and Employee Outcomes Relationships. Int. Stud. Manag. Organ. 2010, 40, 20–39. [Google Scholar] [CrossRef]
- Boswell, W.R.; Olson-Buchanan, J.B.; Harris, T.B. I Cannot Afford to Have a Life: Employee Adaptation to Feelings of Job Insecurity. Pers. Psychol. 2014, 67, 887–915. [Google Scholar] [CrossRef]
- Hartley, J.; Jacobson, D.; Klandermans, B.; van Vuuren, T. Job Insecurity: Coping with Jobs at Risk; Sage Publications: Newbury Park, CA, USA, 1991. [Google Scholar]
- Reisel, W.D.; Banai, M. Comparison of a Multidimensional and a Global Measure of Job Insecurity: Predicting Job Attitudes and Work Behaviors. Psychol. Rep. 2002, 90, 913–922. [Google Scholar] [CrossRef]
- Sverke, M.; Hellgren, J.; Näswall, K. No Security: A Meta-Analysis and Review of Job Insecurity and Its Consequences. J. Occup. Health Psychol. 2002, 7, 242–264. [Google Scholar] [CrossRef]
- McKenzie-Mohr, D. Fostering Sustainable Behavior through Community-Based Social Marketing. Am. Psychol. 2000, 55, 531–537. [Google Scholar] [CrossRef]
- Van Vuuren, C.V.; Klandermans, P.G. Individual Reactions to Job Insecurity: An Integrated Model. In European Perspectives in Psychology; Work and Organizational, Social and Economic, Cross-Cultural; Drenth, P.J.D., Sergeant, J.A., Takens, R.J., Eds.; John Wiley & Sons: Oxford, MS, USA, 1990; Volume 3, pp. 133–146. ISBN 0-471-92509-8. [Google Scholar]
- Ashford, S.J.; Lee, C.; Bobko, P. Content, Cause, and Consequences of Job Insecurity: A Theory-Based Measure and Substantive Test. Acad. Manag. J. 1989, 32, 803–829. [Google Scholar] [CrossRef]
- Roskies, E.; Louis-Guerin, C. Job Insecurity in Managers: Antecedents and Consequences. J. Organ. Behav. 1990, 11, 345–359. [Google Scholar] [CrossRef]
- Hobfoll, S.E. Conservation of Resources: A New Attempt at Conceptualizing Stress. Am. Psychol. 1989, 44, 513–524. [Google Scholar] [CrossRef] [PubMed]
- Hobfoll, S.E.; Halbesleben, J.; Neveu, J.-P.; Westman, M. Conservation of Resources in the Organizational Context: The Reality of Resources and Their Consequences. Annu. Rev. Organ. Psychol. Organ. Behav. 2018, 5, 103–128. [Google Scholar] [CrossRef]
- Kinnie, N. How Important Is the Concept of Identity in Employment Relations? People Manag. 2003, 9, 62. [Google Scholar]
- Garrido Vásquez, M.E.; Garrido-Vásquez, P.; Otto, K. Two Sides of Workplace Interactions: How Appreciation and Social Stressors Shape the Relationship between Job Insecurity and Well-Being. Eur. J. Psychol. 2020, 16, 458–478. [Google Scholar] [CrossRef] [PubMed]
- De Cuyper, N.; De Witte, H. The Impact of Job Insecurity and Contract Type on Attitudes, Well-Being and Behavioural Reports: A Psychological Contract Perspective. J. Occup. Organ. Psychol. 2006, 79, 395–409. [Google Scholar] [CrossRef]
- De Witte, H.; Vander Elst, T.; De Cuyper, N. Job Insecurity, Health and Well-Being. In Sustainable Working Lives: Managing Work Transitions and Health Throughout the Life Course; Aligning Perspectives on Health, Safety and Well-Being; Vuori, J., Blonk, R., Price, R.H., Eds.; Springer: Dordrecht, The Netherlands, 2015; pp. 109–128. ISBN 978-94-017-9798-6. [Google Scholar]
- Hellgren, J.; Sverke, M. Does Job Insecurity Lead to Impaired Well-Being or Vice Versa? Estimation of Cross-Lagged Effects Using Latent Variable Modelling. J. Organ. Behav. 2003, 24, 215–236. [Google Scholar] [CrossRef]
- Choi, S.L.; Heo, W.; Cho, S.H.; Lee, P. The Links between Job Insecurity, Financial Well-being and Financial Stress: A Moderated Mediation Model. Int. J. Consum. Stud. 2020, 44, 353–360. [Google Scholar] [CrossRef]
- Giannetti, C.; Madia, M.; Moretti, L. Job Insecurity and Financial Distress. Appl. Financ. Econ. 2014, 24, 219–233. [Google Scholar] [CrossRef]
- Kinnunen, U.; Feldt, T.; Mauno, S. Job Insecurity and Self-Esteem: Evidence from Cross-Lagged Relations in a 1-Year Longitudinal Sample. Pers. Individ. Dif. 2003, 35, 617–632. [Google Scholar] [CrossRef]
- Lee, S.-H.; Hur, W.-M.; Shin, Y. Struggling to Stay Engaged during Adversity: A Daily Investigation of Frontline Service Employees’ Job Insecurity and the Moderating Role of Ethical Leader Behavior. J. Bus. Ethics 2022, 1–15. [Google Scholar] [CrossRef] [PubMed]
- Yao, X.; Li, M.; Zhang, H. Suffering Job Insecurity: Will the Employees Take the Proactive Behavior or Not? Front. Psychol. 2021, 12, 731162. [Google Scholar] [CrossRef] [PubMed]
- Sverke, M.; Låstad, L.; Hellgren, J.; Richter, A.; Näswall, K. A Meta-Analysis of Job Insecurity and Employee Performance: Testing Temporal Aspects, Rating Source, Welfare Regime, and Union Density as Moderators. Int. J. Environ. Res. Public Health 2019, 16, 2536. [Google Scholar] [CrossRef] [PubMed]
- Oberski, D.L. A Review of Latent Variable Modeling With R. J. Educ. Behav. Stat. 2016, 41, 226–233. [Google Scholar] [CrossRef]
- Anderson, K.H.; Butler, J.S.; Sloan, F.A. Labor Market Segmentation: A Cluster Analysis of Job Groupings and Barriers to Entry. South. Econ. J. 1987, 53, 571. [Google Scholar] [CrossRef]
- Kinnunen, U.; Mäkikangas, A.; Mauno, S.; De Cuyper, N.; De Witte, H. Development of Perceived Job Insecurity across Two Years: Associations with Antecedents and Employee Outcomes. J. Occup. Health Psychol. 2014, 19, 243–258. [Google Scholar] [CrossRef]
- Mroczek, D.K.; Spiro, A.I.; Griffin, P.W.; Neupert, S.D. Social Influences on Adult Personality, Self-Regulation and Health. In Social Structures, Aging, and Self-Regulation in the Elderly; Schaie, K.W., Carstensen, L.L., Eds.; Springer Publishing Company: Berlin/Heidelberg, Germany, 2006; pp. 70–122. ISBN 9772081415. [Google Scholar]
- Vander Elst, T.; Notelaers, G.; Skogstad, A. The Reciprocal Relationship between Job Insecurity and Depressive Symptoms: A Latent Transition Analysis. J. Organ. Behav. 2018, 39, 1197–1218. [Google Scholar] [CrossRef]
- Vermunt, J.K. Longitudinal Research Using Mixture Models. In Longitudinal Research with Latent Variables; van Montfort, K., Oud, J.H.L., Satorra, A., Eds.; Springer: Berlin/Heidelberg, Germany, 2010; pp. 119–152. ISBN 978-3-642-11760-2. [Google Scholar]
- Anderson, C.J.; Pontusson, J. Workers, Worries and Welfare States: Social Protection and Job Insecurity in 15 OECD Countries. Eur. J. Polit. Res. 2007, 46, 211–235. [Google Scholar] [CrossRef]
- Naranjo, A.; Shoss, M.; Gebben, A.; DiStaso, M.; Su, S. When Minor Insecurities Project Large Shadows: A Profile Analysis of Cognitive and Affective Job Insecurity. J. Occup. Health Psychol. 2021, 26, 421–436. [Google Scholar] [CrossRef]
- Hobfoll, S.E. The Influence of Culture, Community, and the Nested-Self in the Stress Process: Advancing Conservation of Resources Theory. Appl. Psychol. 2001, 50, 337–421. [Google Scholar] [CrossRef]
- Peer, E.; Vosgerau, J.; Acquisti, A. Reputation as a Sufficient Condition for Data Quality on Amazon Mechanical Turk. Behav. Res. Methods 2014, 46, 1023–1031. [Google Scholar] [CrossRef] [PubMed]
- Låstad, L.; Berntson, E.; Näswall, K.; Lindfors, P.; Sverke, M. Measuring Quantitative and Qualitative Aspects of the Job Insecurity Climate: Scale Validation. Career Dev. Int. 2015, 20, 202–217. [Google Scholar] [CrossRef]
- Hanisch, K.A. The Development of a Health Condition Scale and Its Relations to Health Satisfaction and Retirement Valence. In Proceedings of the 2nd APA/NIOSH Conference on Stress and the Workplace, Washington, DC, USA, 1992. [Google Scholar]
- Van Katwyk, P.T.; Fox, S.; Spector, P.E.; Kelloway, E.K. Using the Job-Related Affective Well-Being Scale (Jaws) to Investigate Affective Responses to Work Stressors. J. Occup. Health Psychol. 2000, 5, 219–230. [Google Scholar] [CrossRef] [PubMed]
- Prawitz, A.; Garman, E.T.; Sorhaindo, B.; O’Neill, B.; Kim, J.; Drentea, P. Incharge Financial Distress/Financial Well-Being Scale: Development, Administration, and Score Interpretation; Social Science Research Network: Rochester, NY, USA, 2006. [Google Scholar]
- Petitta, L.; Probst, T.M.; Ghezzi, V.; Barbaranelli, C. Economic Stress, Emotional Contagion and Safety Outcomes: A Cross-Country Study. Work 2020, 66, 421–435. [Google Scholar] [CrossRef] [PubMed]
- Williams, L.J.; Anderson, S.E. Job Satisfaction and Organizational Commitment as Predictors of Organizational Citizenship and In-Role Behaviors. J. Manage. 1991, 17, 601–617. [Google Scholar] [CrossRef]
- Caprara, G.V.; Alessandri, G.; Eisenberg, N.; Kupfer, A.; Steca, P.; Caprara, M.G.; Yamaguchi, S.; Fukuzawa, A.; Abela, J. The Positivity Scale. Psychol. Assess. 2012, 24, 701–712. [Google Scholar] [CrossRef]
- Barbaranelli, C.; Fida, R.; Paciello, M.; Tramontano, C. ‘Possunt, Quia Posse Videntur’: They Can Because They Think They Can. Development and Validation of the Work Self-Efficacy Scale: Evidence from Two Studies. J. Vocat. Behav. 2018, 106, 249–269. [Google Scholar] [CrossRef]
- Morin, A.J.S.; Arens, A.K.; Marsh, H.W. A Bifactor Exploratory Structural Equation Modeling Framework for the Identification of Distinct Sources of Construct-Relevant Psychometric Multidimensionality. Struct. Equ. Model. A Multidiscip. J. 2016, 23, 116–139. [Google Scholar] [CrossRef]
- Browne, M.W.; Cudeck, R. Alternative Ways of Assessing Model Fit. Sociol. Methods Res. 1992, 21, 230–258. [Google Scholar] [CrossRef]
- Meredith, W. Measurement Invariance, Factor Analysis and Factorial Invariance. Psychometrika 1993, 58, 525–543. [Google Scholar] [CrossRef]
- Spurk, D.; Hirschi, A.; Wang, M.; Valero, D.; Kauffeld, S. Latent Profile Analysis: A Review and “How to” Guide of Its Application within Vocational Behavior Research. J. Vocat. Behav. 2020, 120, 103445. [Google Scholar] [CrossRef]
- Muthén, L.K.; Muthén, B.O. Mplus User’s Guide, 8th ed.; Muthén and Muthén: Los Angeles, CA, USA, 2018. [Google Scholar]
- Lubke, G.; Neale, M.C. Distinguishing between Latent Classes and Continuous Factors: Resolution by Maximum Likelihood? Multivar. Behav. Res. 2006, 41, 499–532. [Google Scholar] [CrossRef] [PubMed]
- Nagin, D. Group-Based Modeling of Development; Harvard University Press: Cambridge, MA, USA, 2005; ISBN 978-0-674-01686-6. [Google Scholar]
- Hipp, J.R.; Bauer, D.J. Local Solutions in the Estimation of Growth Mixture Models. Psychol. Methods 2006, 11, 36–53. [Google Scholar] [CrossRef]
- Hirschi, A.; Valero, D. Chance Events and Career Decidedness: Latent Profiles in Relation to Work Motivation. Career Dev. Q. 2017, 65, 2–15. [Google Scholar] [CrossRef]
- Little, T.D.; Rhemtulla, M.; Gibson, K.; Schoemann, A.M. Why the Items versus Parcels Controversy Needn’t Be One. Psychol. Methods 2013, 18, 285–300. [Google Scholar] [CrossRef]
- Burnham, K.P.; Anderson, D.R. Multimodel Inference: Understanding Aic and Bic in Model Selection. Sociol. Methods Res. 2004, 33, 261–304. [Google Scholar] [CrossRef]
- Klandermans, B.; Hesselink, J.K.; van Vuuren, T. Employment Status and Job Insecurity: On the Subjective Appraisal of an Objective Status. Econ. Ind. Democr. 2010, 31, 557–577. [Google Scholar] [CrossRef]
- Woo, S.E.; Jebb, A.T.; Tay, L.; Parrigon, S. Putting the “Person” in the Center. Organ. Res. Methods 2018, 21, 814–845. [Google Scholar] [CrossRef]
- Shoss, M.K.; Probst, T.M. Multilevel Outcomes of Economic Stress: An Agenda for Future Research. Res. Occup. Stress Well Being 2012, 10, 43–86. [Google Scholar] [CrossRef]
- Roskies, E.; Louis-Guerin, C.; Fournier, C. Coping with Job Insecurity: How Does Personality Make a Difference? J. Organ. Behav. 1993, 14, 617–630. [Google Scholar] [CrossRef]
- Klug, K.; Bernhard-Oettel, C.; Selenko, E.; Sverke, M. Temporal and Person-Oriented Perspectives on Job Insecurity. In Handbook on the Temporal Dynamics of Organizational Behavior; Edward Elgar Publishing: Oxfordshire, UK, 2020; pp. 91–104. [Google Scholar] [CrossRef]
- Abildgaard, J.S.; Nielsen, K.; Sverke, M. Can Job Insecurity Be Managed? Evaluating an Organizational-Level Intervention Addressing the Negative Effects of Restructuring. Work Stress 2018, 32, 105–123. [Google Scholar] [CrossRef]
- Weber, T.; Hurley, J.; Adascalitei, D. COVID-19: Implications for Employment and Working Life; Eurofound: Dublin, Ireland, 2021; ISBN 978-92-897-2162-2. [Google Scholar]
- Antino, M.; Ruiz-Zorrilla, P.; Sanz-Vergel, A.I.; Leon-Perez, J.M.; Rodriguez-Muñoz, A. The Role of Job Insecurity and Work-Family Conflict on Mental Health Evolution during Covid-19 Lockdown. Eur. J. Work Organ. Psychol. 2022, 31, 667–684. [Google Scholar] [CrossRef]
- Chirumbolo, A.; Callea, A.; Urbini, F. The Effect of Job Insecurity and Life Uncertainty on Everyday Consumptions and Broader Life Projects during COVID-19 Pandemic. Int. J. Environ. Res. Public Health 2021, 18, 5363. [Google Scholar] [CrossRef]
- Peng, B.; Potipiroon, W. Fear of Losing Jobs during COVID-19: Can Psychological Capital Alleviate Job Insecurity and Job Stress? Behav. Sci. 2022, 12, 168. [Google Scholar] [CrossRef]
- Lindell, M.K.; Whitney, D.J. Accounting for Common Method Variance in Cross-Sectional Research Designs. J. Appl. Psychol. 2001, 86, 114–121. [Google Scholar] [CrossRef]


| Characteristic | Italy (N = 796) | USA (N = 498) | Test Statistic | Effect Size |
|---|---|---|---|---|
| Age (M; SD) | 36.07; 13.04 | 37.83; 12.58 | F(3,1193) = 6.14 * | partial η2 = 0.01 |
| Gender | χ2(1) = 5.32 * | Cramer V = 0.07 | ||
| Male (%) | 48.5 | 55.3 | ||
| Female (%) | 51.5 | 44.7 | ||
| Years of education (M; SD) | 14.48; 3.14 | 14.73; 3.48 | F(1,1185) = 2.09 | partial η2 = 0.00 |
| Tenure in position (M; SD) | 7.24; 9.06 | 8.13; 9.17 | F(1,1160) = 2.74 | partial η2 = 0.00 |
| Employment status | χ2(1) = 20.13 ** | Cramer V = 0.13 | ||
| Permanent (%) | 63.4 | 75.6 | ||
| Fixed term (%) | 36.6 | 24.4 | ||
| How many hours do you work in a typical week? (M; SD) | 40.63; 9.10 | 36.27; 10.08 | F(1,1161) = 59.96 ** | partial η2 = 0.05 |
| In a typical week, how many overtime (paid) hours do you work per week? (M; SD) | 4.08; 6.19 | 3.53; 5.74 | F(1968) = 2.04 | partial η2 = 0.00 |
| SBχ2 | df | RMSEA (90% C.I.) | CFI | TLI | SRMR | ECVI | |
|---|---|---|---|---|---|---|---|
| ITA Sample (n = 743) | |||||||
| CFA Model | 101.369 | 48 | 0.039 (0.028–0.049) | 0.988 | 0.983 | 0.025 | 0.249 |
| Second-Order CFA Model | 142.344 | 50 | 0.050 (0.040–0.059) | 0.979 | 0.972 | 0.043 | 0.298 |
| ESEM Model | 37.792 | 24 | 0.028 (0.007–0.044) | 0.997 | 0.991 | 0.009 | 0.228 |
| Bifactor-CFA Model | 131.697 | 42 | 0.054 (0.043–0.064) | 0.979 | 0.978 | 0.042 | 0.306 |
| USA Sample (n = 494) | |||||||
| CFA Model | 95.987 | 48 | 0.045 (0.032–0.058) | 0.988 | 0.983 | 0.027 | 0.361 |
| Second-Order CFA Model | 150.330 | 50 | 0.063 (0.052–0.075) | 0.975 | 0.967 | 0.056 | 0.463 |
| ESEM Model | 38.063 | 24 | 0.034 (0.010–0.054) | 0.996 | 0.990 | 0.009 | 0.229 |
| Bifactor-CFA Model | 148.942 | 42 | 0.072 (0.059–0.084) | 0.973 | 0.958 | 0.050 | 0.328 |
| SBχ2 | df | RMSEA (90% C.I.) | CFI | TLI | SRMR | Model Comparison | ΔCFI | |
|---|---|---|---|---|---|---|---|---|
| 1. Configural | 75.945 | 48 | 0.031 (0.016–0.043) | 0.997 | 0.991 | 0.008 | – | – |
| 2. Metric | 189.978 | 80 | 0.047 (0.038–0.056) | 0.988 | 0.978 | 0.036 | 2 vs. 1 | 0.009 |
| 3. Scalar | 435.262 | 88 | 0.080 (0.072–0.087) | 0.958 | 0.937 | 0.037 | 3 vs. 2 | 0.030 |
| 4. Scalarpartial | 250.785 | 86 | 0.056 (0.048–0.064) | 0.980 | 0.970 | 0.033 | 4 vs. 2 | 0.008 |
| 5. Latent means | 315.178 | 90 | 0.068 (0.056–0.071) | 0.973 | 0.960 | 0.058 | 5 vs. 4 | 0.007 |
| 6. Strict | 578.707 | 102 | 0.087 (0.080–0.094) | 0.943 | 0.926 | 0.030 | 6 vs. 5 | 0.030 |
| 7. Strictpartial | 392.561 | 98 | 0.070 (0.062–0.077) | 0.965 | 0.952 | 0.061 | 7 vs. 5 | 0.007 |
| ITA Sample (n = 743) | USA Sample (n = 494) | ||||||||||||||
|---|---|---|---|---|---|---|---|---|---|---|---|---|---|---|---|
| k | #npar | LL | AIC | BIC | SABIC | LRT (p) | Adj VLRT (p) | Entropy | LL | AIC | BIC | SABIC | LRT (p) | Adj VLMR (p) | Entropy |
| 1 | 8 | −4005 | 8027 | 8045 | 8004 | – | – | – | −2879 | 5774 | 5792 | 5751 | – | – | – |
| 2 | 13 | −3329 | 6685 | 6714 | 6653 | <0.001 | <0.001 | 0.899 | −2195 | 4417 | 4446 | 4385 | <0.001 | <0.001 | 0.952 |
| 3 | 18 | −3124 | 6284 | 6325 | 6245 | <0.001 | <0.001 | 0.879 | −1961 | 3959 | 4000 | 3920 | <0.001 | <0.001 | 0.965 |
| 4 | 23 | −3036 | 6118 | 6170 | 6073 | 0.110 | 0.116 | 0.869 | −1902 | 3850 | 3902 | 3805 | 0.594 | 0.600 | 0.913 |
| 5 | 28 | −2991 | 6038 | 6102 | 5988 | 0.138 | 0.142 | 0.828 | −1839 | 3734 | 3798 | 3685 | 0.029 | 0.031 | 0.912 |
| 6 | 33 | −2961 | 5988 | 6063 | 5935 | 0.038 | 0.041 | 0.834 | −1789 | 3645 | 3720 | 3591 | 0.090 | 0.096 | 0.918 |
| 7 | 38 | −2933 | 5942 | 6028 | 5886 | 0.150 | 0.158 | 0.841 | −1762 | 3601 | 3687 | 3544 | 0.692 | 0.698 | 0.923 |
| 8 | 43 | −2913 | 5911 | 6008 | 5852 | 0.234 | 0.244 | 0.843 | −1726 | 3539 | 3636 | 3480 | 0.220 | 0.224 | 0.952 |
| Model | #npar | LL | AIC | BIC | SABIC | Entropy | Model Comparison | ΔAIC | ΔBIC |
|---|---|---|---|---|---|---|---|---|---|
| 1. Configural | 37 | −5917.78 | 12,030.27 | 11,993.27 | 11,853.52 | 0.913 | – | – | – |
| 2. Structural | 25 | −5989.68 | 12,110.93 | 12,085.93 | 11,982.31 | 0.908 | 2 vs. 1 | 80.66 | 92.66 |
| 3. Dispersion | 21 | −6007.46 | 12,125.44 | 12,104.44 | 12,014.03 | 0.911 | 3 vs. 2 | 14.51 | 18.51 |
| 4. Distributional | 19 | −6030.03 | 12,160.05 | 12,141.05 | 12,057.52 | 0.911 | 4 vs. 3 | 34.61 | 36.61 |
| Outcome Variable | ITA Sample (n = 743) | USA Sample (n = 494) | ||||
|---|---|---|---|---|---|---|
| F(df1,df2) | Partial η2 | Tukey’s Post Hoc HSD Tests | F(df1,df2) | Partial η2 | Tukey’s Post Hoc HSD Tests | |
| 1. Job-Related Health Problems | 24.83(2740) *** | 0.063 | P1 < P2 < P3 | 8.57(2490) * | 0.034 | P1 < P2 = P3 |
| 2. Job-Affective Well-Being | 24.83(2740) *** | 0.175 | P1 < P2 < P3 | 28.51(2490) *** | 0.104 | P1 < P2 < P3 |
| 3. Financial Inadequacy | 56.18(2740) *** | 0.132 | P1 < P2 < P3 | 17.40(2490) *** | 0.066 | P1 < P2 = P3 |
| 4. Financial Strain | 76.06(2740) *** | 0.171 | P1 < P2 < P3 | 18.45(2490) *** | 0.070 | P1 = P2 < P3 |
| 5. Self-Rated Job Performance | 9.45(2740) *** | 0.025 | P1 > P2 = P3 | 10.74(2490) *** | 0.042 | P1 > P2 = P3 |
| 6. Positivity | 78.85(2740) *** | 0.176 | P1 > P2 > P3 | 23.29(2490) *** | 0.087 | P1 = P2 > P3 |
| 7. Negative Emotional Self-Efficacy | 7.13(2740) ** | 0.019 | P1 > P2 = P3 | 21.35(2490) *** | 0.080 | P1 > P2 = P3 |
| 8. Task Self-Efficacy | 6.24(2740) *** | 0.017 | P1 = P2 > P3 | 16.69(2490) *** | 0.064 | P1 > P2 = P3 |
Publisher’s Note: MDPI stays neutral with regard to jurisdictional claims in published maps and institutional affiliations. |
© 2022 by the authors. Licensee MDPI, Basel, Switzerland. This article is an open access article distributed under the terms and conditions of the Creative Commons Attribution (CC BY) license (https://creativecommons.org/licenses/by/4.0/).
Share and Cite
Ghezzi, V.; Ciampa, V.; Probst, T.M.; Petitta, L.; Marzocchi, I.; Olivo, I.; Barbaranelli, C. Integrated Patterns of Subjective Job Insecurity: A Multigroup Person-Centered Study. Int. J. Environ. Res. Public Health 2022, 19, 13306. https://doi.org/10.3390/ijerph192013306
Ghezzi V, Ciampa V, Probst TM, Petitta L, Marzocchi I, Olivo I, Barbaranelli C. Integrated Patterns of Subjective Job Insecurity: A Multigroup Person-Centered Study. International Journal of Environmental Research and Public Health. 2022; 19(20):13306. https://doi.org/10.3390/ijerph192013306
Chicago/Turabian StyleGhezzi, Valerio, Valeria Ciampa, Tahira M. Probst, Laura Petitta, Ivan Marzocchi, Ilaria Olivo, and Claudio Barbaranelli. 2022. "Integrated Patterns of Subjective Job Insecurity: A Multigroup Person-Centered Study" International Journal of Environmental Research and Public Health 19, no. 20: 13306. https://doi.org/10.3390/ijerph192013306
APA StyleGhezzi, V., Ciampa, V., Probst, T. M., Petitta, L., Marzocchi, I., Olivo, I., & Barbaranelli, C. (2022). Integrated Patterns of Subjective Job Insecurity: A Multigroup Person-Centered Study. International Journal of Environmental Research and Public Health, 19(20), 13306. https://doi.org/10.3390/ijerph192013306

