Identifying Seasonal and Diurnal Variations and the Most Frequently Impacted Zone of Aerosols in the Aral Sea Region
Abstract
1. Introduction
2. Regional Environment and Methodology
2.1. Regional Environments
2.2. Methodology
2.2.1. Variations in Aerosol Subtypes in the Aral Sea Region
2.2.2. Identification of Most Frequently Impacted Zone
3. Results and Discussion
3.1. Diurnal Variations in the Percentage of Aerosol Subtypes over the Past Fifteen Years in the Aral Sea Region
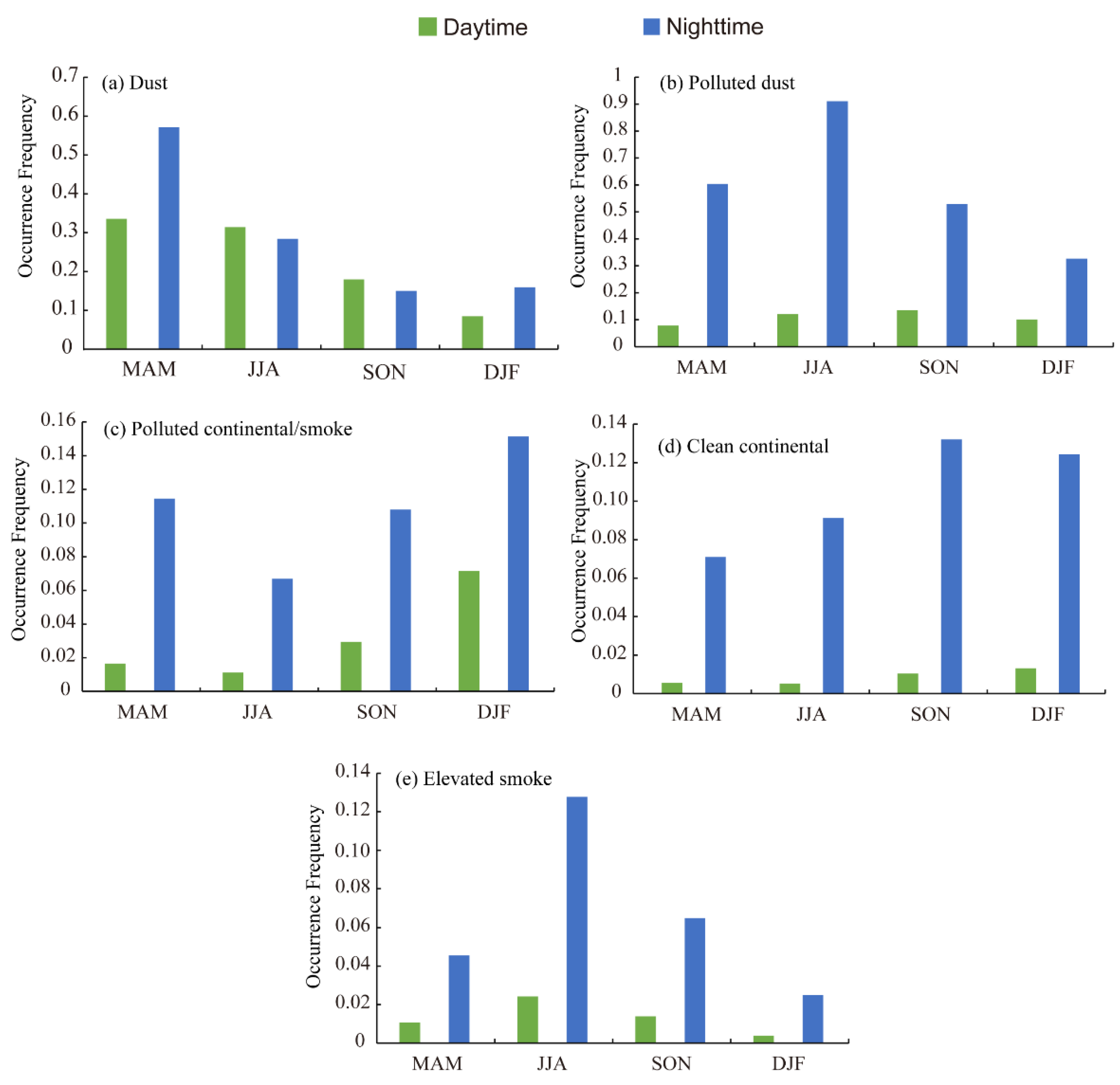
3.2. Seasonal and Diurnal Variations in Occurrence Frequency of Aerosol Subtypes in the Aral Sea Region
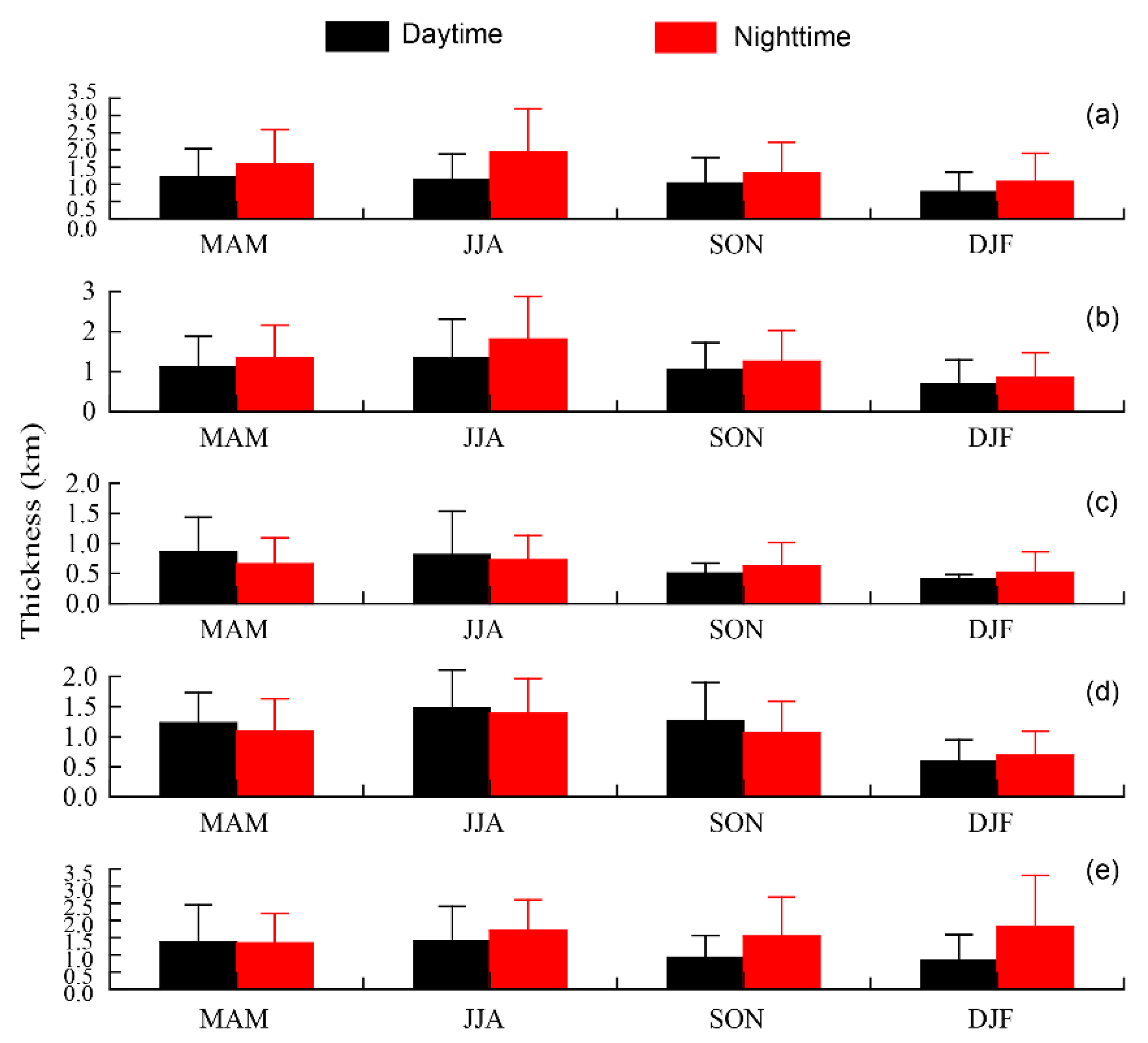
3.3. Seasonal and Diurnal Variations in Vertical Distribution of Aerosol Subtype Layers in the Aral Sea Region
3.4. Seasonal and Diurnal Variations of Thickness of the Aerosol Subtype Layers in the Aral Sea Region
3.5. Zone Most Frequently Impacted by Aerosols in the Aral Sea Region
4. Conclusions
Author Contributions
Funding
Data Availability Statement
Acknowledgments
Conflicts of Interest
References
- Mischke, S. Large Asian Lakes in a Changing World: Natural State and Human Impact; Springer Nature: Gewerbestrasse, Cham, Switzerland, 2020. [Google Scholar]
 - Reynaud, A.; Lanzanova, D. A Global Meta-Analysis of the Value of Ecosystem Services Provided by Lakes. Ecol. Econ. 2017, 137, 184–194. [Google Scholar] [CrossRef] [PubMed]
 - Xu, X.; Jiang, B.; Tan, Y.; Costanza, R.; Yang, G. Lake-wetland ecosystem services modeling and valuation: Progress, gaps and future directions. Ecosyst. Serv. 2018, 33, 19–28. [Google Scholar] [CrossRef]
 - Heino, J.; Alahuhta, J.; Bini, L.M.; Cai, Y.; Heiskanen, A.-S.; Hellsten, S.; Kortelainen, P.; Kotamäki, N.; Tolonen, K.T.; Vihervaara, P.; et al. Lakes in the era of global change: Moving beyond single-lake thinking in maintaining biodiversity and ecosystem services. Biol. Rev. 2021, 96, 89–106. [Google Scholar] [CrossRef]
 - Wurtsbaugh, W.A.; Miller, C.; Null, S.E.; DeRose, R.J.; Wilcock, P.; Hahnenberger, M.; Howe, F.; Moore, J. Decline of the world’s saline lakes. Nat. Geosci. 2017, 10, 816–821. [Google Scholar] [CrossRef]
 - Ge, Y.; Abuduwaili, J.; Ma, L. Lakes in arid land and saline dust storms. In Proceedings of the E3S Web of Conferences, Dushanbe, Tajikistan, 18 June 2019; p. 1007. [Google Scholar]
 - Tan, C.; Guo, B.; Kuang, H.; Yang, H.; Ma, M. Lake Area Changes and Their Influence on Factors in Arid and Semi-Arid Regions along the Silk Road. Remote Sens. 2018, 10, 595. [Google Scholar] [CrossRef]
 - Bai, J.; Chen, X.; Yang, L.; Fang, H. Monitoring variations of inland lakes in the arid region of Central Asia. Front. Earth Sci. 2012, 6, 147–156. [Google Scholar] [CrossRef]
 - Zhang, T.; Shao, Y.; Geng, Y.; Gong, H.; Yang, L. A study on historical location and evolution of Lop Nor in China with maps and DEM. J. Arid Land 2021, 13, 639–652. [Google Scholar] [CrossRef]
 - Mischke, S.; Liu, C.; Zhang, J. Lop Nur in NW China: Its natural state, and a long history of human impact. In Large Asian Lakes in a Changing World; Springer: Gewerbestrasse, Cham, Switzerland, 2020; pp. 207–233. [Google Scholar]
 - Mischke, S.; Liu, C.; Zhang, J.; Zhang, C.; Zhang, H.; Jiao, P.; Plessen, B. The world’s earliest Aral-Sea type disaster: The decline of the Loulan Kingdom in the Tarim Basin. Sci. Rep. 2017, 7, 43102. [Google Scholar] [CrossRef] [PubMed]
 - Shao, Y.; Gong, H.; Elachi, C.; Brisco, B.; Liu, J.; Xia, X.; Guo, H.; Geng, Y.; Kang, S.; Liu, C.-A. The lake-level changes of Lop Nur over the past 2000 years and its linkage to the decline of the ancient Loulan Kingdom. J. Hydrol.-Reg. Stud. 2022, 40, 101002. [Google Scholar] [CrossRef]
 - Cretaux, J.-F.; Letolle, R.; Bergé-Nguyen, M. History of Aral Sea level variability and current scientific debates. Glob. Planet. Change 2013, 110, 99–113. [Google Scholar] [CrossRef]
 - Yang, X.; Wang, N.; He, J.; Hua, T.; Qie, Y. Changes in area and water volume of the Aral Sea in the arid Central Asia over the period of 1960–2018 and their causes. Catena 2020, 191, 104566. [Google Scholar] [CrossRef]
 - Zhang, J.; Ding, J.; Wu, P.; Tan, J.; Huang, S.; Teng, D.; Cao, X.; Wang, J.; Chen, W. Assessing arid Inland Lake Watershed Area and Vegetation Response to Multiple Temporal Scales of Drought Across the Ebinur Lake Watershed. Sci. Rep. 2020, 10, 1354. [Google Scholar] [CrossRef] [PubMed]
 - Nhu, V.-H.; Mohammadi, A.; Shahabi, H.; Shirzadi, A.; Al-Ansari, N.; Ahmad, B.B.; Chen, W.; Khodadadi, M.; Ahmadi, M.; Khosravi, K.; et al. Monitoring and Assessment of Water Level Fluctuations of the Lake Urmia and Its Environmental Consequences Using Multitemporal Landsat 7 ETM+ Images. Int. J. Environ. Res. Public Health 2020, 17, 4210. [Google Scholar] [CrossRef] [PubMed]
 - Sharifi, A.; Shah-Hosseini, M.; Pourmand, A.; Esfahaninejad, M.; Haeri-Ardakani, O. The Vanishing of Urmia Lake: A Geolimnological Perspective on the Hydrological Imbalance of the World’s Second Largest Hypersaline Lake. In The Handbook of Environmental Chemistry; Springer: Berlin/Heidelberg, Germany, 2018. [Google Scholar]
 - Modaresi Rad, A.; Kreitler, J.; Abatzoglou, J.T.; Fallon, K.; Roche, K.R.; Sadegh, M. Anthropogenic stressors compound climate impacts on inland lake dynamics: The case of Hamun Lakes. Sci. Total Environ. 2022, 829, 154419. [Google Scholar] [CrossRef]
 - Isbekov, K.B.; Tsoy, V.N.; Crétaux, J.F.; Aladin, N.V.; Plotnikov, I.S.; Clos, G.; Berge-Nguyen, M.; Assylbekova, S.Z. Impacts of water level changes in the fauna, flora and physical properties over the Balkhash Lake watershed. Lakes Reserv. Res. Manag. 2019, 24, 195–208. [Google Scholar] [CrossRef]
 - Hurixbek, Z.; Wu, Z.; Kazya, B. Lake changes in spatial evolution and driving force for the water area change of the Manas Lake in Xinjiang in the past forty years. Remote Sens. Land Resour. 2018, 30, 217–223. [Google Scholar]
 - Goudie, A.; Kent, P.; Viles, H. Pan morphology, Distribution and formation in Kazakhstan and Neighbouring areas of the Russian federation. Desert 2016, 21, 1–13. [Google Scholar]
 - Filonchyk, M.; Peterson, M. Development, progression, and impact on urban air quality of the dust storm in Asia in March 15–18, 2021. Urban Clim. 2022, 41, 101080. [Google Scholar] [CrossRef]
 - Loodin, N. Aral Sea: An environmental disaster in twentieth century in Central Asia. Model. Earth Syst. Environ. 2020, 6, 2495–2503. [Google Scholar] [CrossRef]
 - Filonchyk, M.; Hurynovich, V.; Yan, H.; Yang, S. Atmospheric pollution assessment near potential source of natural aerosols in the South Gobi Desert region, China. GISci. Remote Sens. 2020, 57, 227–244. [Google Scholar] [CrossRef]
 - Zucca, C.; Middleton, N.; Kang, U.; Liniger, H. Shrinking water bodies as hotspots of sand and dust storms: The role of land degradation and sustainable soil and water management. Catena 2021, 207, 105669. [Google Scholar] [CrossRef]
 - Shen, H.; Abuduwaili, J.; Samat, A.; Ma, L. A review on the research of modern aeolian dust in Central Asia. Arab. J. Geosci. 2016, 9, 625. [Google Scholar] [CrossRef]
 - Ma, X.; Ding, Y.; Shi, H.; Yan, W.; Dou, X.; Ochege, F.U.; Luo, G.; Zhao, C. Spatiotemporal variations in aerosol optical depth and associated risks for populations in the arid region of Central Asia. Sci. Total Environ. 2022, 816, 151558. [Google Scholar] [CrossRef] [PubMed]
 - Abuduwaili, J.; Liu, D.; Wu, G. Saline dust storms and their ecological impacts in arid regions. J. Arid Land 2010, 2, 144–150. [Google Scholar] [CrossRef]
 - Ge, Y.; Abuduwaili, J.; Ma, L.; Wu, N.; Liu, D. Potential transport pathways of dust emanating from the playa of Ebinur Lake, Xinjiang, in arid northwest China. Atmos. Res. 2016, 178, 196–206. [Google Scholar] [CrossRef]
 - Dehghani, M.H.; Hopke, P.K.; Asghari, F.B.; Mohammadi, A.A.; Yousefi, M. The effect of the decreasing level of Urmia Lake on particulate matter trends and attributed health effects in Tabriz, Iran. Microchem. J. 2020, 153, 104434. [Google Scholar] [CrossRef]
 - Tabrizi, J.S.; Farahbakhsh, M.; Sadeghi-Bazargani, H.; Abdolahi, H.M.; Nikniaz, Z.; Farhangi, M.A.; Nikniaz, L. Health Consequences of Lake Urmia in Crisis in the Disaster Area: A Pilot Study. Dis. Med. Public Health Prep. 2020, 14, 442–448. [Google Scholar] [CrossRef]
 - Tussupova, K.; Anchita; Hjorth, P.; Moravej, M. Drying Lakes: A Review on the Applied Restoration Strategies and Health Conditions in Contiguous Areas. Water 2020, 12, 749. [Google Scholar] [CrossRef]
 - Aladin, N.V.; Potts, W.T.W. Changes in the Aral Sea ecosystems during the period 1960–1990. Hydrobiologia 1992, 237, 67–79. [Google Scholar] [CrossRef]
 - Zhupankhan, A.; Khaibullina, Z.; Kabiyev, Y.; Persson, K.M.; Tussupova, K. Health impact of drying aral sea: One health and socio-economical approach. Water 2021, 13, 3196. [Google Scholar]
 - Crighton, E.J.; Barwin, L.; Small, I.; Upshur, R. What have we learned? A review of the literature on children’s health and the environment in the Aral Sea area. Int. J. Public Health 2011, 56, 125–138. [Google Scholar] [CrossRef] [PubMed]
 - Goudie, A. Dust storms and ephemeral lakes. Desert 2018, 23, 153–164. [Google Scholar]
 - Whish-Wilson, P. The Aral Sea environmental health crisis. J. Rural. Remote Environ. Health 2002, 1, 29–34. [Google Scholar]
 - Wæhler, T.A.; Dietrichs, E.S. The vanishing Aral Sea: Health consequences of an environmental disaster. Tidsskr. Den Nor. Legeforening 2017. [Google Scholar] [CrossRef] [PubMed]
 - Small, I.; Van der Meer, J.; Upshur, R. Acting on an environmental health disaster: The case of the Aral Sea. Environ. Health Perspect. 2001, 109, 547–549. [Google Scholar] [PubMed]
 - Bennion, P.; Hubbard, R.; O’Hara, S.; Wiggs, G.; Wegerdt, J.; Lewis, S.; Small, I.; van der Meer, J.; Upshur, R.; Dust, M.s.F.A.S.R.; et al. The impact of airborne dust on respiratory health in children living in the Aral Sea region. Int. J. Epidemiol. 2007, 36, 1103–1110. [Google Scholar] [CrossRef] [PubMed]
 - Opp, C.; Groll, M.; Aslanov, I.; Lotz, T.; Vereshagina, N. Aeolian dust deposition in the southern Aral Sea region (Uzbekistan): Ground-based monitoring results from the LUCA project. Quat. Int. 2017, 429, 86–99. [Google Scholar] [CrossRef]
 - Abuduwaili, J.; Zhang, Z.; Jiang, F.q.; Liu, D.w. The Disastrous Effects of Salt Dust Deposition on Cotton Leaf Photosynthesis and the Cell Physiological Properties in the Ebinur Basin in Northwest China. PLoS ONE 2015, 10, e0124546. [Google Scholar] [CrossRef]
 - Liu, D.; Abuduwaili, J.; Lei, J.; Wu, G. Deposition rate and chemical composition of the aeolian dust from a bare saline playa, Ebinur Lake, Xinjiang, China. Water Air Soil Pollut. 2011, 218, 175–184. [Google Scholar] [CrossRef]
 - Sarangi, C.; Qian, Y.; Rittger, K.; Ruby Leung, L.; Chand, D.; Bormann, K.J.; Painter, T.H. Dust dominates high-altitude snow darkening and melt over high-mountain Asia. Nat. Clim. Change 2020, 10, 1045–1051. [Google Scholar] [CrossRef]
 - Dong, Z.; Li, Z.; Wang, F.; Zhang, M. Characteristics of atmospheric dust deposition in snow on the glaciers of the eastern Tien Shan, China. J. Glaciol. 2009, 55, 797–804. [Google Scholar] [CrossRef]
 - Breckle, S.W.; Wucherer, W. The Aralkum, a Man-Made Desert on the Desiccated Floor of the Aral Sea (Central Asia): General Introduction and Aims of the Book. In Aralkum-a Man-Made Desert: The Desiccated Floor of the Aral Sea (Central Asia); Breckle, S.-W., Wucherer, W., Dimeyeva, L.A., Ogar, N.P., Eds.; Springer: Berlin/Heidelberg, Germany, 2012; pp. 1–9. [Google Scholar]
 - Klimaszyk, P.; Kuczyńska-Kippen, N.; Szeląg-Wasielewska, E.; Marszelewski, W.; Borowiak, D.; Niedzielski, P.; Nowiński, K.; Kurmanbayev, R.; Baikenzheyeva, A.; Rzymski, P. Spatial heterogeneity of chemistry of the small Aral Sea and the Syr Darya river and its impact on plankton communities. Chemosphere 2022, 307, 135788. [Google Scholar] [CrossRef] [PubMed]
 - Groll, M.; Opp, C.; Aslanov, I. Spatial and temporal distribution of the dust deposition in Central Asia–results from a long term monitoring program. Aeolian Res. 2013, 9, 49–62. [Google Scholar] [CrossRef]
 - Karami, S.; Hamzeh, N.H.; Kaskaoutis, D.G.; Rashki, A.; Alam, K.; Ranjbar, A. Numerical simulations of dust storms originated from dried lakes in central and southwest Asia: The case of Aral Sea and Sistan Basin. Aeolian Res. 2021, 50, 100679. [Google Scholar] [CrossRef]
 - He, H.; Hamdi, R.; Luo, G.; Cai, P.; Zhang, M.; Shi, H.; Li, C.; Termonia, P.; De Maeyer, P.; Kurban, A. Numerical study on the climatic effect of the Aral Sea. Atmos. Res. 2022, 268, 105977. [Google Scholar] [CrossRef]
 - McDermid, S.S.; Winter, J. Anthropogenic forcings on the climate of the Aral Sea: A regional modeling perspective. Anthropocene 2017, 20, 48–60. [Google Scholar] [CrossRef]
 - Jin, Q.; Wei, J.; Yang, Z.-L.; Lin, P. Irrigation-induced environmental changes around the Aral Sea: An integrated view from multiple satellite observations. Remote Sens. 2017, 9, 900. [Google Scholar] [CrossRef]
 - Kozhoridze, G.; Orlovsky, L.; Orlovsky, N. Monitoring land cover dynamics in the Aral Sea region by remote sensing. In Proceedings of the Earth resources and environmental remote sensing/GIS Applications III, Edinburgh, UK, 25 October 2012; pp. 445–453. [Google Scholar]
 - Gaybullaev, B.; Chen, S.-C.; Gaybullaev, D. Changes in water volume of the Aral Sea after 1960. Appl. Water Sci. 2012, 2, 285–291. [Google Scholar] [CrossRef]
 - Bortnik, V. Changes in the water-level and hydrological balance of the Aral Sea. In The Aral Sea Basin; Springer: Berlin/Heidelberg, Germany, 1996; pp. 25–32. [Google Scholar]
 - Shen, H.; Abuduwaili, J.; Ma, L.; Samat, A. Remote sensing-based land surface change identification and prediction in the Aral Sea bed, Central Asia. Int. J. Environ. Sci. Technol. 2019, 16, 2031–2046. [Google Scholar] [CrossRef]
 - Huang, S.; Chen, X.; Chang, C.; Liu, T.; Huang, Y.; Zan, C.; Ma, X.; De Maeyer, P.; Van de Voorde, T. Impacts of climate change and evapotranspiration on shrinkage of Aral Sea. Sci. Total Environ. 2022, 845, 157203. [Google Scholar] [CrossRef]
 - Issanova, G.; Abuduwaili, J.; Galayeva, O.; Semenov, O.; Bazarbayeva, T. Aeolian transportation of sand and dust in the Aral Sea region. Int. J. Environ. Sci. Technol. 2015, 12, 3213–3224. [Google Scholar] [CrossRef]
 - Singer, A.; Zobeck, T.; Poberezsky, L.; Argaman, E. The PM10 and PM2.5 dust generation potential of soils/sediments in the Southern Aral Sea Basin, Uzbekistan. J. Arid Environ. 2003, 54, 705–728. [Google Scholar] [CrossRef]
 - Spivak, L.; Terechov, A.; Vitkovskaya, I.; Batyrbayeva, M.; Orlovsky, L. Dynamics of dust transfer from the desiccated Aral Sea bottom analysed by remote sensing. In Aralkum-a Man-Made Desert; Springer: Berlin/Heidelberg, Germany, 2012; pp. 97–106. [Google Scholar]
 - Ge, Y.; Abuduwaili, J.; Ma, L.; Liu, D. Temporal variability and potential diffusion characteristics of dust aerosol originating from the Aral Sea basin, central Asia. Water Air Soil Pollut. 2016, 227, 63. [Google Scholar] [CrossRef]
 - Wang, W.; Samat, A.; Abuduwaili, J.; Ge, Y.; De Maeyer, P.; Van de Voorde, T. Temporal characterization of sand and dust storm activity and its climatic and terrestrial drivers in the Aral Sea region. Atmos. Res. 2022, 275, 106242. [Google Scholar] [CrossRef]
 - Wu, N.; Ge, Y.; Abuduwaili, J.; Issanova, G.; Saparov, G. Insights into Variations and Potential Long-Range Transport of Atmospheric Aerosols from the Aral Sea Basin in Central Asia. Remote Sens. 2022, 14, 3201. [Google Scholar] [CrossRef]
 - Wiggs, G.F.; O’hara, S.L.; Wegerdt, J.; Van Der Meer, J.; Small, I.; Hubbard, R. The dynamics and characteristics of aeolian dust in dryland Central Asia: Possible impacts on human exposure and respiratory health in the Aral Sea basin. Geogr. J. 2003, 169, 142–157. [Google Scholar] [CrossRef]
 - O’Hara, S.L.; Wiggs, G.F.; Mamedov, B.; Davidson, G.; Hubbard, R.B. Exposure to airborne dust contaminated with pesticide in the Aral Sea region. Lancet 2000, 355, 627–628. [Google Scholar] [CrossRef]
 - Jiang, L.; Jiapaer, G.; Bao, A.; Kurban, A.; Guo, H.; Zheng, G.; De Maeyer, P. Monitoring the long-term desertification process and assessing the relative roles of its drivers in Central Asia. Ecol. Indic. 2019, 104, 195–208. [Google Scholar] [CrossRef]
 - Qin, J.; Hao, X.; Hua, D.; Hao, H. Assessment of ecosystem resilience in Central Asia. J. Arid. Environ. 2021, 195, 104625. [Google Scholar] [CrossRef]
 - Lioubimtseva, E.; Cole, R.; Adams, J.; Kapustin, G. Impacts of climate and land-cover changes in arid lands of Central Asia. J. Arid. Environ. 2005, 62, 285–308. [Google Scholar] [CrossRef]
 - Micklin, P. The Aral sea disaster. Annu. Rev. Earth Planet. Sci. 2007, 35, 47–72. [Google Scholar] [CrossRef]
 - Micklin, P. The Aral Sea crisis and its future: An assessment in 2006. Eurasian Geogr. Econ. 2006, 47, 546–567. [Google Scholar] [CrossRef]
 - Micklin, P. The past, present, and future Aral Sea. Lakes Reserv. Res. Manag. 2010, 15, 193–213. [Google Scholar] [CrossRef]
 - Micklin, P. The future Aral Sea: Hope and despair. Environ. Earth Sci. 2016, 75, 844. [Google Scholar] [CrossRef]
 - Kim, M.H.; Omar, A.H.; Tackett, J.L.; Vaughan, M.A.; Winker, D.M.; Trepte, C.R.; Hu, Y.; Liu, Z.; Poole, L.R.; Pitts, M.C. The CALIPSO version 4 automated aerosol classification and lidar ratio selection algorithm. Atmos. Meas. Tech. 2018, 11, 6107–6135. [Google Scholar] [CrossRef] [PubMed]
 - Winker, D.M.; Vaughan, M.A.; Omar, A.; Hu, Y.; Powell, K.A.; Liu, Z.; Hunt, W.H.; Young, S.A. Overview of the CALIPSO mission and CALIOP data processing algorithms. J. Atmos. Ocean. Technol. 2009, 26, 2310–2323. [Google Scholar] [CrossRef]
 - Han, Y.; Wang, T.; Tan, R.; Tang, J.; Wang, C.; He, S.; Dong, Y.; Huang, Z.; Bi, J. CALIOP-Based Quantification of Central Asian Dust Transport. Remote Sens. 2022, 14, 1416. [Google Scholar] [CrossRef]
 - Stein, A.; Draxler, R.R.; Rolph, G.D.; Stunder, B.J.; Cohen, M.; Ngan, F. NOAA’s HYSPLIT atmospheric transport and dispersion modeling system. Bull. Am. Meteorol. Soc. 2015, 96, 2059–2077. [Google Scholar] [CrossRef]
 - Ravindra, K.; Singh, T.; Mandal, T.K.; Sharma, S.K.; Mor, S. Seasonal variations in carbonaceous species of PM2.5 aerosols at an urban location situated in Indo-Gangetic Plain and its relationship with transport pathways, including the potential sources. J. Environ. Manag. 2022, 303, 114049. [Google Scholar] [CrossRef]
 - Huang, L.; Jiang, J.H.; Tackett, J.L.; Su, H.; Fu, R. Seasonal and diurnal variations of aerosol extinction profile and type distribution from CALIPSO 5-year observations. J. Geophys. Res. Atmos. 2013, 118, 4572–4596. [Google Scholar] [CrossRef]
 - Wang, T.; Chen, Y.; Gan, Z.; Han, Y.; Li, J.; Huang, J. Assessment of dominating aerosol properties and their long-term trend in the Pan-Third Pole region: A study with 10-year multi-sensor measurements. Atmos. Environ. 2020, 239, 117738. [Google Scholar] [CrossRef]
 - Toth, T.D.; Campbell, J.R.; Reid, J.S.; Tackett, J.L.; Vaughan, M.A.; Zhang, J.; Marquis, J.W. Minimum aerosol layer detection sensitivities and their subsequent impacts on aerosol optical thickness retrievals in CALIPSO level 2 data products. Atmos. Meas. Tech. 2018, 11, 499–514. [Google Scholar] [CrossRef] [PubMed]
 - Proestakis, E.; Amiridis, V.; Marinou, E.; Georgoulias, A.K.; Solomos, S.; Kazadzis, S.; Chimot, J.; Che, H.; Alexandri, G.; Binietoglou, I. Nine-year spatial and temporal evolution of desert dust aerosols over South and East Asia as revealed by CALIOP. Atmos. Chem. Phys. 2018, 18, 1337–1362. [Google Scholar] [CrossRef]
 - Wu, N.; Ge, Y.; Abuduwaili, J. Grain Size Characteristics of Sediments Found in Typical Landscapes in the Playa of Ebinur Lake, Arid Central Asia. Land 2021, 10, 1132. [Google Scholar] [CrossRef]
 - Indoitu, R.; Kozhoridze, G.; Batyrbaeva, M.; Vitkovskaya, I.; Orlovsky, N.; Blumberg, D.; Orlovsky, L. Dust emission and environmental changes in the dried bottom of the Aral Sea. Aeolian Res. 2015, 17, 101–115. [Google Scholar] [CrossRef]
 - Zhang, X.; Claiborn, C.; Lei, J.; Vaughan, J.; Wu, S.; Li, S.; Liu, L.; Wang, Z.; Wang, Y.; Huang, S. Aeolian dust in Central Asia: Spatial distribution and temporal variability. Atmos. Environ. 2020, 238, 117734. [Google Scholar] [CrossRef]
 - Shi, L.; Zhang, J.; Yao, F.; Zhang, D.; Guo, H. Temporal variation of dust emissions in dust sources over Central Asia in recent decades and the climate linkages. Atmos. Environ. 2020, 222, 117176. [Google Scholar] [CrossRef]
 - Liu, D.; Abuduwaili, J.; Lei, J.; Wu, G.; Gui, D. Wind erosion of saline playa sediments and its ecological effects in Ebinur Lake, Xinjiang, China. Environ. Earth Sci. 2011, 63, 241–250. [Google Scholar] [CrossRef]
 - Ovezmyradov, B.; Kepbanov, Y. Non-Hydro Renewable Energy in Central Asia. 2021, pp. 1–33. Available online: https://portal.research.lu.se/en/publications/non-hydro-renewable-energy-in-central-asia (accessed on 19 October 2022).
 - Eshchanov, B.; Abylkasymova, A.; Aminjonov, F.; Moldokanov, D.; Overland, I.; Vakulchuk, R. Renewable Energy Policies of the Central Asian Countries. Cent. Asia Reg. Data Rev. 2019, 16, 1–4. [Google Scholar]
 - Chuvieco, E.; Pettinari, M.L.; Koutsias, N.; Forkel, M.; Hantson, S.; Turco, M. Human and climate drivers of global biomass burning variability. Sci. Total Environ. 2021, 779, 146361. [Google Scholar] [CrossRef]
 - Randerson, J.T.; Chen, Y.; van der Werf, G.R.; Rogers, B.M.; Morton, D.C. Global burned area and biomass burning emissions from small fires. J. Geophys. Res.Biogeosci. 2012, 117. [Google Scholar] [CrossRef]
 - Gui, L.; Tao, M.; Wang, Y.; Wang, L.; Chen, L.; Lin, C.; Tao, J.; Wang, J.; Yu, C. Climatology of aerosol types and their vertical distribution over East Asia based on CALIPSO lidar measurements. Int. J. Climatol. 2021, 42, 6042–6054. [Google Scholar] [CrossRef]
 - Granit, J.; Jägerskog, A.; Lindström, A.; Björklund, G.; Bullock, A.; Löfgren, R.; de Gooijer, G.; Pettigrew, S. Regional options for addressing the water, energy and food nexus in Central Asia and the Aral Sea Basin. Int. J. Water Resour. Dev. 2012, 28, 419–432. [Google Scholar] [CrossRef]
 - Indoitu, R.; Orlovsky, L.; Orlovsky, N. Dust storms in Central Asia: Spatial and temporal variations. J. Arid. Environ. 2012, 85, 62–70. [Google Scholar] [CrossRef]
 - Kaskaoutis, D.; Rashki, A.; Houssos, E.; Mofidi, A.; Goto, D.; Bartzokas, A.; Francois, P.; Legrand, M. Meteorological aspects associated with dust storms in the Sistan region, southeastern Iran. Clim. Dyn. 2015, 45, 407–424. [Google Scholar] [CrossRef]
 - Kostianoy, A.B.; Kosarev, A.N. The Aral Sea Environment; Springer: Berlin/Heidelberg, Germany, 2010. [Google Scholar]
 












| Dust | Polluted Continental/Smoke | Clean Continental | Polluted Dust | Elevated Smoke | |
|---|---|---|---|---|---|
| Daytime (21,040) * | 58% (8%)  | 9% (4%)  | 2% (1%)  | 27% (7%)  | 3% (2%)  | 
| Nighttime (65,964) * | 25% (5%)  | 9% (2%)  | 9% (2%)  | 50% (4%)  | 6% (1%)  | 
Publisher’s Note: MDPI stays neutral with regard to jurisdictional claims in published maps and institutional affiliations.  | 
© 2022 by the authors. Licensee MDPI, Basel, Switzerland. This article is an open access article distributed under the terms and conditions of the Creative Commons Attribution (CC BY) license (https://creativecommons.org/licenses/by/4.0/).
Share and Cite
Ge, Y.; Wu, N.; Abuduwaili, J.; Kulmatov, R.; Issanova, G.; Saparov, G. Identifying Seasonal and Diurnal Variations and the Most Frequently Impacted Zone of Aerosols in the Aral Sea Region. Int. J. Environ. Res. Public Health 2022, 19, 14144. https://doi.org/10.3390/ijerph192114144
Ge Y, Wu N, Abuduwaili J, Kulmatov R, Issanova G, Saparov G. Identifying Seasonal and Diurnal Variations and the Most Frequently Impacted Zone of Aerosols in the Aral Sea Region. International Journal of Environmental Research and Public Health. 2022; 19(21):14144. https://doi.org/10.3390/ijerph192114144
Chicago/Turabian StyleGe, Yongxiao, Na Wu, Jilili Abuduwaili, Rashid Kulmatov, Gulnura Issanova, and Galymzhan Saparov. 2022. "Identifying Seasonal and Diurnal Variations and the Most Frequently Impacted Zone of Aerosols in the Aral Sea Region" International Journal of Environmental Research and Public Health 19, no. 21: 14144. https://doi.org/10.3390/ijerph192114144
APA StyleGe, Y., Wu, N., Abuduwaili, J., Kulmatov, R., Issanova, G., & Saparov, G. (2022). Identifying Seasonal and Diurnal Variations and the Most Frequently Impacted Zone of Aerosols in the Aral Sea Region. International Journal of Environmental Research and Public Health, 19(21), 14144. https://doi.org/10.3390/ijerph192114144
        
