Green Space Exposure and Obesity in the Mexican Adult Population
Abstract
1. Introduction
2. Materials and Methods
2.1. Study Population
2.2. Exposure
2.3. Outcome
2.4. Covariates
2.5. Statistical Analysis
3. Results
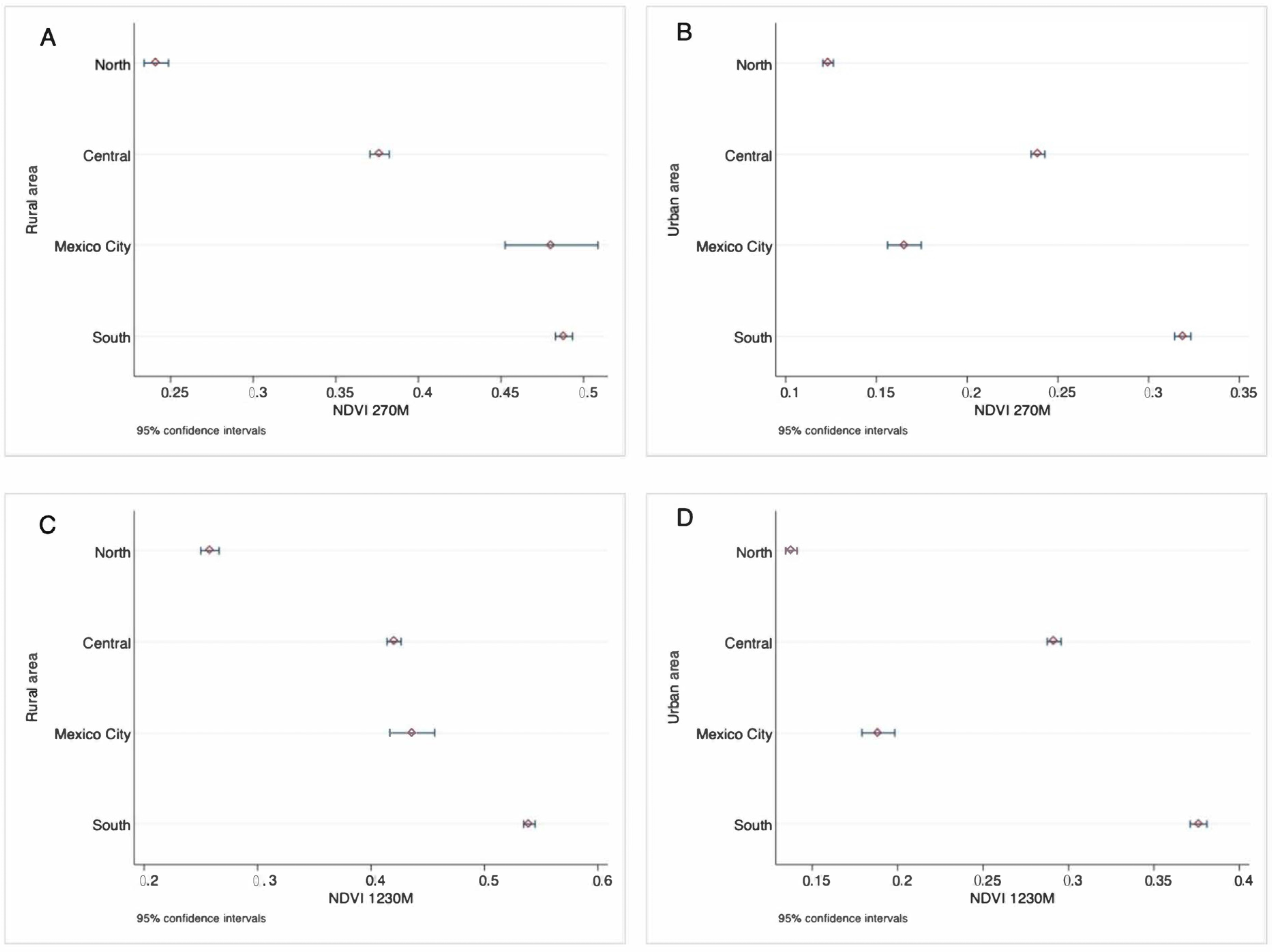
3.1. Sociodemographic and NDVI Characteristics
3.2. Association between NDVI and Obesity (BMI)
4. Discussion
5. Conclusions
Supplementary Materials
Author Contributions
Funding
Institutional Review Board Statement
Informed Consent Statement
Data Availability Statement
Acknowledgments
Conflicts of Interest
References
- Malo Serrano, M.; Castillo, M.N.; Pajita, D.D. Obesity in the world. An. Fac. Med. 2017, 78, 67. [Google Scholar] [CrossRef]
- Shamah-Levy, T.; Vielma-Orozco, E.; Heredia-Hernández, O.; Romero-Martínez, M.; Mojica-Cuevas, J.; Cuevas-Nasu, L.; Santaella-Castell, J.; Rivera-Dommarco, J. National Health and Nutrition Survey 2018–2019: National Results; National Institute of Public Health: Cuernavaca, Mexico, 2020. [Google Scholar]
- Barquera, S. ¿Hasta Que Los Kilos Nos Alcancen? 2nd ed.; National Institute of Public Health: Cuernavaca, Mexico, 2020. [Google Scholar]
- Rivera-Domarco, J.; Colchero, M.A.; Fuentes, M.L.; Gonzalez de Cosio, T.; Aguilar, C. ; Hernandez, G; Barquera, S. Obesity in Mexico. Status of Public Policy and Recommendations for Its Prevention and Control, 1st ed.; National Institute of Public Health: Cuernavaca, Mexico, 2018. [Google Scholar]
- Michigan Medicine. Clinical Guidelines on the Identification, Evaluation, and Treatment of Overweight and Obesity in Adults-The Evidence Report. National Institutes of Health. Obes. Res. 1998, 6, 51S–179S. [Google Scholar]
- Public Health England. Improving Access to Greenspace a New Review for 2020; Public Health England: London, UK, 2020; pp. 133–155. [Google Scholar]
- Fong, K.; Hart, J.E.; James, P. A Review of Epidemiologic Studies on Greenness and Health: Updated Literature Through 2017. Curr. Env. Health Rep. 2018, 5, 77–87. [Google Scholar] [CrossRef] [PubMed]
- James, P.; Banay, R.F.; Hart, J.E.; Laden, F. A Review of the Health Benefits of Greenness. Curr. Epidemiol. Rep. 2015, 2, 131–142. [Google Scholar] [CrossRef]
- Jimenez, M.P.; DeVille, N.V.; Elliott, E.G.; Schiff, J.E.; Wilt, G.E.; Hart, J.E.; James, P. Associations between Nature Exposure and Health: A Review of the Evidence. Int. J. Environ. Res. Public. Health 2021, 18, 4790. [Google Scholar] [CrossRef]
- Arrieta, F.; Pedro-Botet, J. Recognizing obesity as a disease: A true challenge. Rev. Clinical Esp. 2021, 221, 544–546. [Google Scholar] [CrossRef]
- Garvey, W.T.; Mechanick, J.I.; Brett, E.M.; Garber, A.J.; Hurley, D.L.; Jastreboff, A.M.; Nadolsky, K.; Pessah-Pollack, R.; Plodkowski, R. American Association of Clinical Endocrinologists and American College of Endocrinology Comprehensive Clinical Practice Guidelines for Medical Care of Patients with Obesity. Endocr. Pract. 2016, 22, 1–203. [Google Scholar] [CrossRef]
- Jimenez, M.P.; Wellenius, G.A.; James, P.; Subramanian, S.V.; Buka, S.; Eaton, C.; Gilman, S.E.; Loucks, E.B. Associations of Types of Green Space across the Life-Course with Blood Pressure and Body Mass Index. Environ. Res. 2020, 185, 109411. [Google Scholar] [CrossRef]
- Jimenez, M.P.; Wellenius, G.A.; Subramanian, S.V.; Buka, S.; Eaton, C.; Gilman, S.E.; Loucks, E.B. Longitudinal Associations of Neighborhood Socioeconomic Status with Cardiovascular Risk Factors: A 46-Year Follow-up Study. Soc. Sci. Med. 2019, 241, 112574. [Google Scholar] [CrossRef]
- Jiménez, M.P.; Osypuk, T.L.; Arevalo, S.; Tucker, K.L.; Falcon, L.M. Neighborhood Socioeconomic Context and Change in Allostatic Load among Older Puerto Ricans: The Boston Puerto Rican Health Study. Health Place 2015, 33, 1–8. [Google Scholar] [CrossRef]
- O’Callaghan-Gordo, C.; Espinosa, A.; Valentin, A.; Tonne, C.; Pérez-Gómez, B.; Castaño-Vinyals, G.; Dierssen-Sotos, T.; Moreno-Iribas, C.; de Sanjose, S.; Fernandez-Tardón, G.; et al. Green Spaces, Excess Weight and Obesity in Spain. Int. J. Hyg. Environ. Health 2020, 223, 45–55. [Google Scholar] [CrossRef] [PubMed]
- Benjamin-Neelon, S.E.; Platt, A.; Bacardi-Gascon, M.; Armstrong, S.; Neelon, B.; Jimenez-Cruz, A. Greenspace, Physical Activity, and BMI in Children from Two Cities in Northern Mexico. Prev. Med. Rep. 2019, 14, 100870. [Google Scholar] [CrossRef] [PubMed]
- Perilla, G.A.; Mas, J.-F. Google Earth Engine (GEE): A powerful Tool Linking the Potential of Massive Data and the Efficiency of Cloud Processing. Invest. Geog. 2020, 101, e59929. [Google Scholar] [CrossRef]
- Google Earth Engine. What Is Google Earth Engine? Available online: https://earthengine.google.com/faq/ (accessed on 14 October 2021).
- Gorelick, N.; Hancher, M.; Dixon, M.; Ilyushchenko, S.; Thau, D.; Moore, R. Google Earth Engine: Planetary-Scale Geospatial Analysis for Everyone. Remote Sens. Environ. 2017, 202, 18–27. [Google Scholar] [CrossRef]
- Google Earth Engine. Lansat Data. Available online: https://cloud.google.com/storage/docs/public-datasets/landsat/ (accessed on 14 October 2021).
- Beyer, K.M.M.; Szabo, A.; Hoormann, K.; Stolley, M. Time Spent Outdoors, Activity Levels, and Chronic Disease among American Adults. J. Behav. Med. 2018, 41, 494–503. [Google Scholar] [CrossRef]
- Cleland, V.; Crawford, D.; Baur, L.A.; Hume, C.; Timperio, A.; Salmon, J. A Prospective Examination of Children’s Time Spent Outdoors, Objectively Measured Physical Activity and Overweight. Int. J. Obes. 2008, 32, 1685–1693. [Google Scholar] [CrossRef]
- Petraviciene, I.; Grazuleviciene, R.; Andrusaityte, S.; Dedele, A.; Nieuwenhuijsen, M. Impact of the Social and Natural Environment on Preschool-Age Children Weight. Int. J. Environ. Res. Public. Health 2018, 15, 449. [Google Scholar] [CrossRef]
- Coombes, E.; Jones, A.P.; Hillsdon, M. The Relationship of Physical Activity and Overweight to Objectively Measured Green Space Accessibility and Use. Soc. Sci. Med. 2010, 70, 816–822. [Google Scholar] [CrossRef]
- Lee, H.; Kang, H.-M.; Ko, Y.-J.; Kim, H.-S.; Kim, Y.-J.; Bae, W.K.; Park, S.; Cho, B. Influence of Urban Neighbourhood Environment on Physical Activity and Obesity-Related Diseases. Public Health 2015, 129, 1204–1210. [Google Scholar] [CrossRef]
- Prince, S.A.; Kristjansson, E.A.; Russell, K.; Billette, J.-M.; Sawada, M.; Ali, A.; Tremblay, M.S.; Prud’homme, D. A Multilevel Analysis of Neighbourhood Built and Social Environments and Adult Self-Reported Physical Activity and Body Mass Index in Ottawa, Canada. Int. J. Environ. Res. Public. Health 2011, 8, 3953–3978. [Google Scholar] [CrossRef]
- INEGI. National Health and Nutrition Survey 2018. ENSANUT. Muestral Desing. Available online: https://www.inegi.org.mx/contenidos/programas/ensanut/2018/doc/ensanut_2018_diseno_muestral.pdf (accessed on 12 November 2021).
- Romero-Martínez, M.; Shamah-Levy, T.; Vielma-Orozco, E.; Heredia-Hernández, O.; Romero-Martínez, M.; Mojica-Cuevas, J.; Cuevas-Nasu, L.; Santaella-Castell, J.; Rivera-Dommarco, J. National Health and Nutrition Survey 2018–19: Methodology and perspectives. Salud Publica Mex. 2019, 61, 917–923. [Google Scholar] [CrossRef] [PubMed]
- Resano-Pérez, E.; Méndez-Ramírez, I.; Shamah-Levy, T.; Rivera, J.A. Methods of the National Nutrition Survey 1999. Salud Publica Mex. 2003, 45 (Suppl. S4), S558–S564. Available online: https://scielosp.org/pdf/spm/2003.v45suppl4/558-564/en (accessed on 12 November 2021). [CrossRef] [PubMed]
- Earth Observing System. Normalized Difference Vegetation Index. Available online: https://eos.com/es/blog/ndvi-preguntas-frecuentes/ (accessed on 12 November 2021).
- INEGI. National Health and Nutrition Survey 2018. ENSANUT. Conceptual Desing. Available online: https://www.inegi.org.mx/contenidos/programas/ensanut/2018/doc/ensanut_2018_diseno_conceptual.pdf (accessed on 12 November 2021).
- WHO. Overweight and Obesity. Available online: https://www.who.int/es/news-room/fact-sheets/detail/obesity-and-overweight (accessed on 17 November 2021).
- WHO. Guidelines on Physical Activity and Sedentary Behaviour; World Health Organization: Geneva, Switzerland, 2020. [Google Scholar]
- Ward, J.S.; Duncan, J.S.; Jarden, A.; Stewart, T. The Impact of Children’s Exposure to Greenspace on Physical Activity, Cognitive Development, Emotional Wellbeing, and Ability to Appraise Risk. Health Place 2016, 40, 44–50. [Google Scholar] [CrossRef] [PubMed]
- Markevych, I.; Schoierer, J.; Hartig, T.; Chudnovsky, A.; Hystad, P.; Dzhambov, A.M.; de Vries, S.; Triguero-Mas, M.; Brauer, M.; Nieuwenhuijsen, M.J.; et al. Exploring Pathways Linking Greenspace to Health: Theoretical and Methodological Guidance. Environ. Res. 2017, 158, 301–317. [Google Scholar] [CrossRef]
- Labib, S.M.; Lindley, S.; Huck, J.J. Spatial Dimensions of the Influence of Urban Green-Blue Spaces on Human Health: A Systematic Review. Environ. Res. 2020, 180, 108869. [Google Scholar] [CrossRef]
- Browning, M.; Lee, K. Within What Distance Does “Greenness” Best Predict Physical Health? A Systematic Review of Articles with GIS Buffer Analyses across the Lifespan. Int. J. Environ. Res. Public. Health 2017, 14, 675. [Google Scholar] [CrossRef]
- Lee, A.C.; Maheswaran, R. The health benefits of urban green spaces: A review of the evidence. J. Public Health 2011, 33, 212–222. [Google Scholar] [CrossRef]
- Lachowycz, K.; Jones, A.P. Greenspace and Obesity: A Systematic Review of the Evidence: Greenspace and Obesity Review. Obes. Rev. 2011, 12, e183–e189. [Google Scholar] [CrossRef]
- Klompmaker, J.O.; Hoek, G.; Bloemsma, L.D.; Gehring, U.; Strak, M.; Wijga, A.H.; van den Brink, C.; Brunekreef, B.; Lebret, E.; Janssen, N.A.H. Green Space Definition Affects Associations of Green Space with Overweight and Physical Activity. Environ. Res. 2018, 160, 531–540. [Google Scholar] [CrossRef]
- D’Haese, S.; Cardon, G.; Deforche, B. The Environment and Physical Activity. The ECOG’s eBook on Child and Adolescent Obesity. Retrieved from ebook.ecog-obesity.eu. Available online: https://ebook.ecog-obesity.eu/wp-content/uploads/2017/05/ECOG-Obesity-eBook-Entorno-y-actividad-fisica.pdf (accessed on 11 May 2022).
- Schalkwijk, A.A.H.; van der Zwaard, B.C.; Nijpels, G.; Elders, P.J.M.; Platt, L. The Impact of Greenspace and Condition of the Neighbourhood on Child Overweight. Eur. J. Public Health 2018, 28, 88–94. [Google Scholar] [CrossRef]
- Quezada, A.D.; Lozada-Tequeanes, A.L. Time Trends and Sex Differences in Associations between Socioeconomic Status Indicators and Overweight-Obesity in Mexico (2006–2012). BMC Public Health 2015, 15, 1244. [Google Scholar] [CrossRef] [PubMed]
- Lemos Figueroa, M.; Baca del Moral, J.; Cuevas Reyes, V. Poverty and food Insecurity in the Mexican Countryside: An Unsolved Public Policy Issue. Textual 2018, 71, 71–105. [Google Scholar] [CrossRef]
- Ordóñez-Barona, C. How Different Ethno-Cultural Groups Value Urban Forests and Its Implications for Managing Urban Nature in a Multicultural Landscape: A Systematic Review of the Literature. Urban For. Urban Green. 2017, 26, 65–77. [Google Scholar] [CrossRef]
- Amano, T.; Butt, I.; Peh, K.S.-H. The Importance of Green Spaces to Public Health: A Multi-Continental Analysis. Ecol. Appl. 2018, 28, 1473–1480. [Google Scholar] [CrossRef] [PubMed]






| Characteristic | Total | NDVI (Buffer 270 m) | |||
|---|---|---|---|---|---|
| n = 12,631 *** N = 59,710,238 *** | Quartile 1 | Quartile 2 | Quartile 3 | Quartile 4 | |
| NDVI | |||||
| Buffer 270 m (mean ± SD) | 0.25 ± 0.0027 | 0.10 ± 0.0011 | 0.21 ± 0.0012 | 0.33 ± 0.0018 | 0.51 ± 0.0033 |
| Sex | |||||
| Male (%) | 42.2 | 42.23 | 42.12 | 41.01 | 43.54 |
| Female (%) | 57.8 | 57.77 | 57.88 | 58.99 | 56.46 |
| Age (years) (mean ± SD) | 38.22 ± 0.19 | 39.14 ± 0.34 | 38.69 ± 0.38 | 37.49 ± 0.35 | 36.70 ± 0.37 |
| BMI (mean ± SD) * | 28.87 ± 0.08 | 29.27 ± 0.16 | 28.98 ± 0.16 | 28.76 ± 0.15 | 28.13 ± 0.15 |
| Normal weight (BMI < 25 kg/m2) (%) | 24.56 | 23.05 | 23.85 | 24.94 | 27.86 |
| Obesity (BMI ≥ 25 kg/m2) (%) | 75.44 | 76.95 | 76.15 | 75.06 | 72.14 |
| Education level (%) | |||||
| <High School | 53.51 | 44.83 | 48.48 | 57.01 | 72.25 |
| High School Certificate | 26.86 | 29.2 | 28.92 | 27.53 | 19.07 |
| >High School, Bachelor’s degree or higher | 19.63 | 25.97 | 22.61 | 15.46 | 8.67 |
| Socioeconomic status (%) | |||||
| 1st tertile (low) | 28.38 | 12.07 | 18.83 | 35.62 | 62.96 |
| 2nd tertile (medium) | 33.57 | 32.96 | 36.18 | 38.01 | 26.24 |
| 3rd tertile (high) | 38.04 | 54.97 | 44.99 | 26.36 | 10.8 |
| Region (%) | |||||
| Northeast | 20.21 | 42.71 | 16.14 | 4.68 | 1.96 |
| Central | 33.01 | 21.79 | 38.89 | 46.54 | 30.48 |
| Mexico City | 16.41 | 29.61 | 16.83 | 6.54 | 2.75 |
| South | 30.37 | 5.89 | 28.14 | 42.23 | 64.8 |
| Area (%) | |||||
| Urban | 78.95 | 98.13 | 89.87 | 72.94 | 35.92 |
| Rural | 21.05 | 1.86 | 10.13 | 27.06 | 64.08 |
| Physical activity moderate and vigorous, minutes/week ** (%) [n = 10,188 N = 47,451,492] *** | |||||
| Not Active < 150 min | 18.79 | 20.85 | 19.9 | 16.52 | 15.89 |
| Active > 150 min | 81.21 | 79.15 | 80.1 | 83.48 | 84.11 |
Publisher’s Note: MDPI stays neutral with regard to jurisdictional claims in published maps and institutional affiliations. |
© 2022 by the authors. Licensee MDPI, Basel, Switzerland. This article is an open access article distributed under the terms and conditions of the Creative Commons Attribution (CC BY) license (https://creativecommons.org/licenses/by/4.0/).
Share and Cite
Blas-Miranda, N.B.; Lozada-Tequeanes, A.L.; Miranda-Zuñiga, J.A.; Jimenez, M.P. Green Space Exposure and Obesity in the Mexican Adult Population. Int. J. Environ. Res. Public Health 2022, 19, 15072. https://doi.org/10.3390/ijerph192215072
Blas-Miranda NB, Lozada-Tequeanes AL, Miranda-Zuñiga JA, Jimenez MP. Green Space Exposure and Obesity in the Mexican Adult Population. International Journal of Environmental Research and Public Health. 2022; 19(22):15072. https://doi.org/10.3390/ijerph192215072
Chicago/Turabian StyleBlas-Miranda, Nabetse Baruc, Ana Lilia Lozada-Tequeanes, Juan Antonio Miranda-Zuñiga, and Marcia P. Jimenez. 2022. "Green Space Exposure and Obesity in the Mexican Adult Population" International Journal of Environmental Research and Public Health 19, no. 22: 15072. https://doi.org/10.3390/ijerph192215072
APA StyleBlas-Miranda, N. B., Lozada-Tequeanes, A. L., Miranda-Zuñiga, J. A., & Jimenez, M. P. (2022). Green Space Exposure and Obesity in the Mexican Adult Population. International Journal of Environmental Research and Public Health, 19(22), 15072. https://doi.org/10.3390/ijerph192215072

