Abstract
Fear of childbirth affects as many as 20% of pregnant people, and has been associated with pregnancy termination, prolonged labour, increased risk of emergency and elective caesarean delivery, poor maternal mental health, and poor maternal-infant bonding. Currently available measures of fear of childbirth fail to fully capture pregnant people’s childbirth-related fears. The purpose of this research was to develop a new measure of fear of childbirth (the Childbirth Fear Questionnaire; CFQ) that would address the limitations of existing measures. The CFQ’s psychometric properties were evaluated through two studies. Participants for Study 1 were 643 pregnant people residing in Canada, the United States, and the United Kingdom, with a mean age of 29.0 (SD = 5.1) years, and 881 pregnant people residing in Canada, with a mean age of 32.9 (SD = 4.3) years for Study 2. In both studies, participants completed a set of questionnaires, including the CFQ, via an online survey. Exploratory factor analysis in Study 1 resulted in a 40-item, 9-factor scale, which was well supported in Study 2. Both studies provided evidence of high internal consistency and convergent and discriminant validity. Study 1 also provided evidence that the CFQ detects group differences between pregnant people across mode of delivery preference and parity. Study 2 added to findings from Study 1 by providing evidence for the dimensional structure of the construct of fear of childbirth, and measurement invariance across parity groups (i.e., the measurement model of the CFQ was generalizable across parity groups). Estimates of the psychometric properties of the CFQ across the two studies provided evidence that the CFQ is psychometrically sound, and currently the most comprehensive measure of fear of childbirth available. The CFQ covers a broad range of domains of fear of childbirth and can serve to identify specific fear domains to be targeted in treatment.
1. Introduction
Worldwide, approximately 137 million births occur each year, with over 300,000 babies born in Canada alone [1]. Maternal mortality is lowest in high income countries [2]. Specifically, in 2017 the maternal mortality ratio (MMR: the number of maternal deaths per 100,000 live births, and a measure of the overall quality of maternal health and reproductive care) was 11 per 100,000 live births in high income countries [2]. The MMR is estimated at 10 for Canada and 19 for the United States [3]. In low-income countries, maternal mortality is higher, with 462 death per 100,000 live births [2]. Globally, from 2000 to 2017, the MMR dropped by 38% [2]. However, despite the relative safety of childbirth in developed nations, many pregnant people nevertheless experience high levels of fear of childbirth.
Pregnancy and childbirth are significant, emotionally powerful life events. For many childbearing people, pregnancy follows a complex emotional trajectory characterized by both positive and negative feelings in anticipation of their due date [4,5]. Mental health difficulties are common among perinatal people, with pre- and postnatal depression, and postpartum psychosis the most studied [6].
Until recently, perinatal anxiety had received limited attention [7]. We now know that the anxiety and their related disorder are the most common mental health conditions to affect pregnant and postpartum people [8]. Specifically, one in five pregnant and postpartum people suffer from one or more anxiety or anxiety-related disorders during the perinatal period [8]. This is much greater than the prevalence of depression affecting approximately six to twelve percent of perinatal people [9,10]. The anxiety disorders include all of the core anxiety conditions (generalized anxiety disorder, panic disorder, agoraphobia, social anxiety disorder and specific phobias) as well as obsessive-compulsive disorder and posttraumatic stress disorder. These latter conditions were, until recently also considered anxiety disorders, and many investigators continue to include them among the anxiety and anxiety-related disorders [11]. Among perinatal people, the content of one’s anxiety often orients towards the health and wellbeing of the pregnancy and childbirth (for both the mother and the unborn child), and the health and wellbeing of one’s new-born. For example, worries in generalized anxiety disorder may often involve these areas of concern, and perinatal obsessive-compulsive disorder is often characterized by unwanted, intrusive thoughts of infant-related harm [12,13,14,15,16,17]. A key domain of anxious concern among both nulliparous and multiparous pregnant people is childbirth. Childbirth related fears (e.g., fear of pain, medical interventions, potential harm to one’s infant) are common and can be intense [18].
While positive feelings usually outweigh negative feelings, including worries about childbirth, for some, negative emotions, including fear related to giving birth, predominate (6). Despite the relative safety of childbirth in high income settings, pregnant people may experience fear about being unable to prepare for the unpredictable, the amount of pain they will experience during labour and birth, the possible medical procedures that may be required (e.g., caesarean), as well as concerns for the health and wellbeing of themselves and their new-born (4,6). In a recent, large-scale systematic review and meta-analyses the global pooled prevalence of FoB in pregnant women was estimated at 14% (95% CI 0.12–0.16) [19]. Twenty-nine primary studies conducted in middle- and high-income countries were included in this analysis. Significant between-study heterogeneity was reported, with prevalence estimates ranging from 3.7 to 43%, likely due to variability in methodological quality, measurement tools and cut-scores [19]. All but one [20] of the included studies employed self-report questionnaires as a measure of FoB. When measured using diagnostic interviews, clinically significant levels of fear of childbirth have been found to be much lower. To our knowledge, only three studies have taken this approach, reporting prevalence estimates of 2.4 [21], 4.5 [20], and 8.5% [22] for FoB. This is not surprising, as prevalence estimates are often higher when mental health difficulties are measured using self-report questionnaires, compared to when formal diagnostic criteria are employed [23,24,25]. Of note, studies employing diagnostic criteria to investigate FoB have only been carried out in high-income countries. Therefore, our knowledge of clinically significant levels of FoB in middle- or low-income countries remains limited.
With one exception [20], levels of fear of childbirth have typically been found to be higher among nulliparous people [19,21,26] compared with multiparous people. Fear of childbirth has also been associated with a range of negative outcomes including: avoidance of pregnancy, termination of pregnancy, higher levels of perceived pain during childbirth, increased length of labour, increased likelihood of emergency and elective caesarean birth, postnatal depression and posttraumatic stress disorder, increased parenting stress, and poor maternal-infant bonding [26,27,28,29,30]. There are, however, opportunities to mitigate these negative effects. Previous research has shown that psychotherapy and educational interventions, such as counselling delivered by maternity care providers or education on childbirth at the hospital, can reduce pregnant people’s fears of childbirth [31]. Additionally, although medical indications for caesarean birth have been well-established, to our knowledge, there are few established psychosocial indications. Persistent, untreated fear of childbirth, which is clinically distressing or impairing, may justifiably be one such indication.
1.1. Measurements of Fear of Childbirth
Although numerous measures of childbirth fear have been reported in the literature ranging in length from a single item to 53 items, each of them either: (a) assesses only a subset of the content domains relevant to fear of childbirth [4,32,33,34,35,36,37,38,39,40,41,42]; (b) includes only one or two items for some of the domains assessed [4,43]; (c) includes non-fear-related items [4,32,33,34,35,41,44]; (d) are specific to a particular subpopulation (e.g., adolescents, those who have already given birth) [32,41]; or (e) are single or double item measures only [40,45]. See Table 1 for details.
Table 1.
Measurements of fear of childbirth.
In our opinion, one or two item measures are insufficient to produce a stable estimate of childbirth fear, nor can they encompass the possible range of concerns experienced by people who are pregnant, or may become pregnant (e.g., fear of harm, medical interventions, or pain). Further, evidence suggests that fear of childbirth is multidimensional [4,44,47]. Among the longer scales developed [4,33,36] each, either fails to assess key domains of childbirth fears (e.g., pain, harm to self or infant), includes non-fear relevant items, or under-samples content domains (i.e., have only one or two items for a particular content domain, whereas a minimum of three is needed to produce a stable measure).
By far the most commonly used measure of fear of childbirth is the Wijma Delivery Expectancy/Experience Questionnaire Version A (W-DEQ-A) [33]. The W-DEQ-A has been used in several countries [28,48,49,50,51,52,53,54,55,56]. The W-DEQ-A has been found to possess good psychometric properties [28,33,57]. Although psychometrically sound [28,33], the W-DEQ-A is not limited to an assessment of fear, but rather assesses a wide range of perceptions of labour and delivery (e.g., during labour and delivery, do you think you will feel: lonely; strong; confident; afraid; deserted; weak; safe; independent; desolate; tense; happy, etc.). In factor analytic studies of the W-DEQ-A, fear has been found to emerge as one of four, or one of six factors, strongly suggesting that the W-DEQ-A is not only a measure of fear [28,33]. Further, many aspects of fear of childbirth are not addressed in this measure (e.g., pain; perceptions of social embarrassment; pressure to receive/avoid pain medication; mother’s safety; changes to the body and sexual function; fear of medical interventions). The W-DEQ-A may limit researchers’ ability to assess whether specific aspects of fear of childbirth are predicated by different life experiences and/or result in differing outcomes. At the same time, the broad nature of W-DEQ-A items may still capture participants’ experience of fear of childbirth albeit in a general way (i.e., still report fear, even if the exact content of their fear of childbirth would not be known).
Accurate measurement of fear of childbirth is important in correctly identifying those experiencing high levels of fear of childbirth, as well as identifying targets for treatment. At present, currently available measures of fear of childbirth do not fully meet this standard.
1.2. The Present Studies
We sought to develop a self-report measure of fear of childbirth that recognizes the complexity of childbirth fear and assesses fear of birth regardless of the planned or preferred mode of delivery. The purpose of this research was to evaluate the psychometric properties of a newly developed measure of FoB: Childbirth Fear Questionnaire (CFQ).
In Study 1, we sought to establish the factor structure of the CFQ (i.e., ascertain the appropriate number of factors and items per factor, and remove items that fail to load sufficiently on any factor). We also sought to conduct a preliminary evaluation of the resulting measure’s reliability and construct validity. In view of these objectives, we conducted an exploratory factor analysis of the initial item pool and identified the items and subscales for Study 2. We also assessed the reliability, and convergent and discriminant validity of the measure. Specifically, we predicted that the CFQ would correlate more strongly with another measure of FoB (W-DEQ-A full scale and the W-DEQ-A fear scale) than with measures of blood and injury fears (the MQ) or depressed mood (the EPDS) [58]. To further assess the construct validity of the CFQ we also compared participants who reported a preference for a vaginal birth to those who reported a preference for a caesarean birth. We predicted that participants who reported a preference for a caesarean birth would also report higher levels of fear of pain from a vaginal birth, fear of harm to baby, fear of mum or baby dying, fear of insufficient pain medication, and fear of damage to one’s body from a vaginal birth, but lower levels of fear of caesarean delivery and fear of medical interventions, compared with those who reported a preference for a vaginal birth.
In Study 2, we evaluated the replicability and generalizability of the factor structure of the CFQ and conducted further reliability, and convergent and discriminant validity evaluations. We tested the convergent/discriminant validity of the CFQ by comparing the relationship between the CFQ and the W-DEQ-A with the relationships between the CFQ and measures of depressed mood (the EPDS) and symptoms of posttraumatic stress disorder (the PDS-5). We predicted that the CFQ would correlate more strongly with both the W-DEQ-A full and fear scale [58] than with either the EPDS or the PDS-5.
2. Study 1
2.1. Materials and Methods
2.1.1. Participants
We recruited a convenience sample of English speaking, pregnant people who were over the age of 18 (mean = 29.0 years, SD = 5.1) and who were residing in Canada, the United Kingdom, or the United States to participate, via online forums frequented by pregnant people (e.g., pregnancy-related web sites and blogs). We planned for a sample size of approximately 500 individuals, following the recommendations of MacCallum et al. [59] for the sample size needs of an exploratory factor analysis (EFA). Our final sample consisted of 643 pregnant people.
2.1.2. Procedures
In order to complete the survey, participants were required to acknowledge that they had read the study cover sheet/consent form and agreed to participate. Consenting participants completed the online survey between 3 and 42 weeks’ gestation. For each survey completed, $0.50 was donated to the Children’s Health Foundation of Vancouver Island, British Columbia. The study was approved by the Behavioural Research Ethics Board of the University of British Columbia.
2.1.3. Measures
Background Questions. Participants completed a set of demographic questions (e.g., age, marital status, education, income, country of residence, and race and ethnicity), questions about the current pregnancy (e.g., method of conception, and number of foetuses), and previous pregnancies (if applicable) (e.g., the number of prior pregnancies, births, miscarriages, and vaginal and caesarean deliveries).
Birth Preferences. Using a 7-point Likert-type scale (ranging from a very strong preference for a vaginal birth to a very strong preference for a caesarean birth), participants were asked about mode of delivery preference (i.e., vaginal versus caesarean).
Childbirth Fear Questionnaire (CFQ)—Initial Item Pool. The initial pool of CFQ items and item domains were developed by a team of perinatal researchers from the fields of psychology, midwifery and nursing, and based on earlier work in this area, including our own [60]. Our group of investigators collaborated in reviewing the extant FoB measurement literature, generating items for inclusion in the CFQ, reviewing item wording, and ensuring that all domains of fear deemed relevant to childbirth had been included in the initial pool of items. In recognition of the likelihood that the CFQ would include both a total scale score and subscale scores, we developed multiple items for each fear domain (a minimum of three items per subscale are needed to ensure a reasonable degree of internal consistency reliability). To be able to reduce the overall number of items, and develop subscales with high internal consistency and reliability, each content domain initially included five or more items.
This process resulted in an initial pool of 49 items covering the following domains of childbirth-related fears: social embarrassment (e.g., fear of losing control), pain (i.e., fear of pain), pain medication (e.g., fear of not receiving the pain medication one is hoping for), mode of delivery (e.g., fear of a caesarean delivery), baby’s and mother’s physical safety (e.g., fear that one’s infant may be harmed or die during labour/delivery), changes to one’s body (e.g., scarring), sexual functioning (e.g., enjoying sexual activity less following delivery), and medical interventions (e.g., fear of having an episiotomy). The CFQ items are scored on a 0 (not at all) to 4 (extremely) point, Likert-type scale.
These initial fear domains represent content areas of fear and concerns commonly reported by pregnant people, such as fear of pain and fear that harm might come to the baby [47,61]. In earlier work [60], maternal complications, feelings of embarrassment, fear of medical interventions/surgery, scarring, sexual functioning, and body damage, were also identified as areas of childbirth related fear and concern, and were considered when developing the initial pool of items for the CFQ.
Wijma Delivery Expectancy Questionnaire (W-DEQ-A). The W-DEQ-A is a 33-item questionnaire, with items scored on a 0–5 Likert type scale, and a range of possible scores from 0 to 165. The psychometric properties of this assessment tool have been well established [28,33]. In the current sample, the internal consistency reliability for the W-DEQ-A was 0.92. In addition to the W-DEQ-A total score, there are also data to support the use of a 6-item fear scale [58].
In this study, in error, we administered the W-DEQ-A using a 0–4 Likert type scale (rather than the usual 0–5 scale). We then prorated the W-DEQ-A scores to the more standard 0–5 point scale as follows: original W-DEQ-A score was divided by four, then multiplied by 5. Our rescaled mean W-DEQ-A (M = 55.9) score was consistent with those found in the literature, which range from 52.9 to 68.3 [62]. Our mean scores for both nulliparous (60.7) and multiparous people (50.2) were consistent with those reported in the literature (i.e., 54.1 to 68.51 and 50.3 to 60.7, respectively), as was the percentage of participants scoring above 85 (i.e., 7.5% to 15.6% in the literature, and 9.8% in the current study) [62]. We are confident that our prorated W-DEQ-A scores are a valid estimate of correctly scaled W-DEQ-A items and were valid to use as the main measure of convergent validity.
Edinburgh Postnatal Depression Scale (EPDS). The EPDS is a 10-item self-report screening tool for pre and postnatal depression. The sensitivity and specificity of the EPDS are in acceptable ranges (65–100%, and 49–100%, respectively) [63]. The EPDS is the most widely used screening tool for perinatal depression [64]. It was included in this study as a measure of discriminant validity for the CFQ; childbirth fear should be no more than moderately correlated with depression. In the current sample, the internal consistency reliability of the EPDS was 0.88.
Mutilation Questionnaire (MQ). The MQ is a 30-item measure of blood and injury fears. Internal consistency for the MQ ranges from 0.75 to 0.86 [65]. In the current sample, the internal consistency reliability was 0.87. High MQ scores are associated with fainting at the sight of blood and injury [65,66]. The MQ was included as a second measure of discriminant validity for the CFQ; blood-injury fears should be no more than moderately correlated with fear of childbirth.
2.1.4. Data Analysis Strategy
Factor analyses were performed in R (v. 3.3.2) [67] using the psych() package (v. 1.6.9) [68] for fitting exploratory factor analysis models. Accompanying visualizations were created using the ggplot2() package (v. 2.2.1) [69]. Differences between correlations were tested using a test provided by Lee and Preacher [70], and standardized mean-difference effect sizes for t-tests (ds) were estimated using the calculator provided by Lakens [71]. All other analyses were carried out using IBM SPSS Statistics (v23) (IBM, Chicago, IL, USA).
Exploratory Factor Analysis. We followed the recommendations of Sakaluk and Short [72] and others (e.g., [73]) for conducting exploratory factor analysis on all CFQ items. Specifically, all solutions extracted common factors via maximum likelihood estimation, to facilitate the calculation of model fit indices. We determined the number of factors to retain through a combination of criteria, including: (1) parallel analysis [74]; (2) the minimum average partial (MAP) criterion [75]; (3) interpretations of absolute and relative indexes of model fit (the root mean square error of approximation [RMSEA], and Tucker-Lewis Index [TLI], respectively) [76]; (4) interpretations of the Bayesian Information Criterion (BIC); (5) nested model comparisons using likelihood-ratio tests between competing models; and (6) factor solution interpretability. All solutions were rotated to achieve simple structure and estimate factor correlations, using the oblique Oblimin method to allow for factor correlation.
We considered items that loaded onto a factor at ≥0.35 to be substantive indicators of the underlying latent construct. Items that did not load onto any factor beyond this threshold were determined to be poor indicators and were removed from the final version of the CFQ.
Convergent/Discriminant Validity. The convergent/discriminant validity of the CFQ was assessed via correlation analyses. We compared the correlations between the CFQ and the W-DEQ-A with the correlations between the CFQ and measures of depressed mood (the EPDS) and blood and injury fears (the MQ). We further conducted t-tests to compare mean subscale scores between participants with a strong desire for a vaginal birth to participants with a strong desire for a caesarean birth.
Reliability and Validity Analyses. The remaining analyses involved descriptive data (means, standard deviations, and percentages), Cronbach alpha reliability coefficients, correlations, and independent-samples t-tests. Differences between correlations were tested using a test of the difference between two dependent correlations with one variable in common [70].
Exploratory Analyses. We also conducted t-test analyses to compared CFQ subscale scores across parity and country (Canada and the United States) groups.
2.2. Results
2.2.1. Demographics
Participant demographic and reproductive information is presented in Table 2. Note that complications in the current pregnancy were reported by participants (22.9%), and ranged broadly in severity (e.g., early spotting, anaemia, pre-eclampsia). In this sample, 21.3% of participants scored a 12 or greater (common cut-score for depression) on the EPDS.
Table 2.
Participant demographic and reproductive information. M, mean; SD, standard deviation.
2.2.2. Exploratory Factor Analysis of the CFQ
Results of our parallel analysis (see Figure 1) suggested a maximum of 13 factors ought to be retained, whereas the MAP test suggested 9 factors was sufficient. We then proceeded to evaluate indexes of model fit, information criteria, and nested model comparisons for 1–13 factor solutions (see Table 3).
Figure 1.
Parallel analysis of 49 CFQ items. Vertical dashed line indicates maximum recommended number of factors (last observed eigenvalue that is larger than 95th quantile of simulated eigenvalues). Horizontal dotted line indicates eigenvalue of 1.
Table 3.
Study 1. Model fit indexes, information criteria, and model comparisons for 1–13 factor EFA solutions.
Each additionally extracted factor significantly improved the fit of our model. Adequate model fit based on the RMSEA was achieved from a 6-factor model onward, whereas adequate model fit based on the TLI was achieved near the 9- to 10-factor models. The BIC indicated that our models became unnecessarily complex after the 11-factor solution, and our 13-factor solution failed to converge. We therefore examined the pattern matrixes of loadings for the 9-, 10-, and 11-factor solutions.
The 9-factor solution was supported by the MAP test and had acceptable fit according to the RMSEA, and near-acceptable fit according to the TLI1; it was also the most conceptually interpretable of the three solutions we investigated in detail. The 10-factor solution, though acceptably fitting according to both the RMSEA and TLI, yielded a tenth factor that was not conceptually coherent. The 11-factor solution, finally, was also acceptably fitting, but the extracted eleventh factor had no substantially loading items. We therefore selected the 9-factor solution as the best fitting and conceptually interpretable model of the CFQ items.
Factor loadings for the final nine factors are presented in Table 4, and represent: (1) Fear of loss of sexual pleasure/attractiveness (SEX), (2) Fear of pain from a vaginal birth (PAIN), (3) Fear of medical interventions (INT), (4) Fear of embarrassment (SHY), (5) Fear of harm to baby (HARM), (6) Fear of caesarean birth (CS), (7) Fear of mum or baby dying (DEATH), (8) Fear of insufficient pain medication (MEDS), and (9) Fear of body damage from a vaginal birth (DAMAGE). Correlations between the nine CFQ factors ranged from weak (r = −0.01) to strong (r = 0.84), with approximately one third equal to or greater than 0.50 (see Table 5 for details). Correlations at or above 0.50 were for: Fear of loss of sexual pleasure/attractiveness with Fear of pain from a vaginal birth, Fear of embarrassment, Fear of insufficient pain medication and Fear of body damage from a vaginal birth; Fear of pain from a vaginal birth with Fear of insufficient pain medication and Fear of body damage from a vaginal birth; Fear of medical interventions with Fear of caesarean birth; Fear of embarrassment with Fear of body damage from a vaginal birth, and Fear of harm to baby with Fear of mom or baby dying and Fear of body damage from a vaginal birth.
Table 4.
Oblimin-rotated factor loadings from pattern matrix of 9-Factor CFQ solution.
Table 5.
Correlations among the CFQ subscales and total score for Study 1 (S1) and Study 2 (S2).
2.2.3. Descriptive, Reliability, and Validity Analyses
Descriptive Analyses. Means and standard deviations for the 9 subscales, and the CFQ Total scale scores are presented in Table 6.
Table 6.
CFQ total and subscale means (M) and standard deviations (SD).
Reliability Analyses. The Cronbach alpha for the overall 40-item scale was 0.94. Cronbach alphas for the individual subscales ranged from 0.76 to 0.94. Specifically, Cronbach’s alphas were 0.93 for Fear of loss of sexual pleasure/attractiveness, 0.94 for Fear or pain from a vaginal birth, 0.82 for Fear of medical interventions, 0.84 for Fear of embarrassment, 0.93 for Fear of harm to baby, 0.85 for CS, 0.86 for Fear of mum of baby dying, 0.76 for Fear of insufficient pain medication, and 0.85 for Fear of body damage from a vaginal birth.
Convergent/Discriminant Validity. The correlations between the CFQ and the W-DEQ-A (full and fear scales) were 0.41 (p < 0.001) and 0.57 (p < 0.001) respectively. The correlation between the CFQ and the EPDS was 0.35 (p < 0.001), and the correlation between the CFQ and the MQ was 0.28 (p < 0.001). The CFQ-W-DEQ-A (full scale) correlation was significantly greater than the CFQ-MQ correlation, z = 2.73, p = 0.006, but not the CFQ-EPDS correlation, z = 1.60, p = 0.109. The CFQ-W-DEQ-A (fear scale) correlation was significantly greater than both the CFQ-MQ correlation, z = 7.17, p < 0.001, and the CFQ-EPDS correlation, z = 6.61, p < 0.001.
Birth Preferences. Most people in our sample indicated a strong or a very strong preference for a vaginal childbirth (83.8%, n = 539), whereas only a small proportion indicated a strong or a very strong preference for a caesarean delivery (5.1%, n = 33). Consistent with the above hypotheses, compared with those who strongly preferred a vaginal birth, people who strongly preferred a caesarean delivery reported higher scores on the Fear of pain from a vaginal birth, t (34.08) = −2.83, p = 0.008, ds = 0.68, Fear of harm to baby, t (570) = −2.84, p = 0.005, ds = 0.51, Fear of mum or baby dying, t (570) = −2.81, p = 0.005, ds = 0.50, and Fear of insufficient pain medication, t (33.50) = −5.54, p < 0.001, ds = 1.53, subscales of the CFQ, but lower scores on the Fear of caesarean birth, t (37.22) = 6.64, p < 0.001, ds = −1.07, and the Fear of medical interventions, t (570) = 2.15, p = 0.032, ds = −0.39, subscales of the CFQ. However, our prediction that those who strongly preferred a caesarean birth would report higher scores on the Fear of damage to one’s body from a vaginal birth was not supported, ds = 0.04. The means and standard deviations by mode of delivery preference are presented in Table 7.
Table 7.
CFQ subscale means (M) and standard deviations (SD): by delivery preference and country.
Parity. Nulliparous and multiparous participants differed significantly on six of the nine CFQ subscales, and the CFQ Total scales. In each case, nulliparous participants scored higher than multiparous participants. Specifically, nulliparous participants scored higher than multiparous participants on the following CFQ factors: Fear of loss of sexual pleasure/attractiveness, t (639.43) = 6.34, p < 0.001, ds = 0.50, Fear of pain from a vaginal birth, t (641) = 8.70, p < 0.001, ds = 0.69, Fear of embarrassment, t (640.80) = 6.29, p < 0.001, ds = 0.50, Fear of harm to baby t (641) = 2.88, p = 0.004, ds = 0.23, Fear of insufficient pain medication t (639.22) = 3.98, p < 0.001, ds = 0.31, and Fear of body damage from a vaginal birth t (641) = 6.49, p < 0.001, ds = 0.51, and CFQ Total scores t (641) = 5.83, p < 0.001, ds = 0.45. Nulliparous and multiparous participants did not differ significantly on the Fear of medical interventions, ds = 0.01, Fear of caesarean birth, ds = 0.13, or the Fear of mum or baby dying subscales, ds = 0.03. Means and standard deviations by parity, are presented in Table 7.
Country. Canadian and American participants differed on only two of nine CFQ subscales, Fear of medical interventions, t (605) = −2.40, p = 0.017, ds = 0.21, and Fear of caesarean birth, t (605) = −3.00, p = 0.003, ds = 0.26. In both instances, American participants reported higher levels of fear, though the magnitude of these nationality differences were generally smaller than those between birth preference and parity groups. Means and standard deviations by country for Canada and the US are presented in Table 7.
2.2.4. Summary
In our initial psychometric evaluation and development study of the initial 49 CFQ items, involving 643 pregnant people, exploratory factor analysis resulted in a 9-factor scale, supported by MAP test with acceptable fit based on RMSEA. The resulting 9 factors represent: (1) Fear of loss of sexual pleasure/attractiveness (SEX), (2) Fear of pain from a vaginal birth (PAIN), (3) Fear of medical interventions (INT), (4) Fear of embarrassment (SHY), (5) Fear of harm to baby (HARM), (6) Fear of caesarean birth (CS), (7) Fear of mum or baby dying (DEATH), (8) Fear of insufficient pain medication (MEDS), and (9) Fear of body damage from a vaginal birth (DAMAGE). Subscales were weakly to moderately correlated with a few strong correlations (Fear of loss of sexual pleasure/attractiveness with Fear of body damage from a vaginal birth, Fear of harm to baby with Fear of mom or baby dying, and Fear of caesarean birth with Fear of medical interventions). Cronbach alpha coefficients for the total scale and individual subscales were all above 0.76, providing evidence of high internal consistency reliability. Strong evidence of convergent/discriminant validity was found when comparing the 9-factor CFQ with another measure of fear of childbirth and measures of blood, injury injection fears and depressed mood. The CFQ subscale means were also compared across subgroups (e.g., preferred mode of delivery) with hypothesized differences supported by the data.
3. Study 2
3.1. Methods
3.1.1. Participants
We recruited a convenience sample of 881 English-speaking, pregnant people living in Canada, and over the age of 18 (mean = 32.9 yrs, SD = 4.3). Participants were located via Facebook and other online forums frequented by pregnant people (e.g., pregnancy-related web sites and blogs).
3.1.2. Procedures
Consenting participants completed an online survey between 11 and 46 weeks’ gestation with an average of 35 weeks. Participants were eligible to win one of seven $150 prizes. The research was approved by the Behavioural Research Ethics Board of the University of British Columbia.
3.1.3. Measures
Participants completed an online survey. Similar to Study 1, the online survey included the same background and demographics questions, the 40 CFQ items retained from Study 1, the W-DEQ-A (without the scoring error described in Study 1), and the EPDS. We also administered a measure of PTSD (see below) [77]. The MQ was not administered to this sample.
Posttraumatic Diagnostic Scale for DSM-5 (PDS-5). The PDS-5 is a self-report tool used to assess post-traumatic stress disorder (PTSD) based on the DSM-5 diagnostic criteria. The PDS-5, one of the most used self-report measures of PTSD, has been found to show good sensitivity and specificity, internal consistency and test-retest reliability, and convergent and discriminant validity [77,78]. A significantly elevated PDS-5 score (i.e., ≥28) yields a sensitivity of 79% and specificity of 78%, allowing for probable prediction of a PTSD diagnosis [77].
3.1.4. Data Analysis Strategy
Confirmatory Factor Analysis and Invariance Testing. We used confirmatory factor analysis (CFA) to test the replicability of our exploratory measurement model from Study 1; we also specified two additional methods factors that we anticipated shared variance on account of the repeated use of the terms “vaginal” (items 8, 19, 20, 31, 35, and 37) and “caesarean” (items 9, 21, and 34). Given the limited number of response options for the CFQ and that our indicators failed to meet assumptions of multivariate normality (Multivariate Skewness p < 0.001, Multivariate Kurtosis p < 0.001, univariate nonnormality for all indicators p < 0.001) for the default maximum-likelihood estimator, we opted instead to use a robust unweighted least squares estimator (ULSM). The model was identified, and the scale of latent variables was set, using a fixed-factor method, whereby latent variances were fixed to a value of 1 and all loadings were freely estimated. We evaluated models using conventional recommended cut offs for absolute and relative indexes of model fit [76,79], including the RMSEA and standardized root mean square residual (SRMR; both recommended to be <0.08), and the TLI and Comparative Fit Index (CFI; both recommended to be >0.90), being mindful of how model reliability can impact the appropriateness of these cut offs (see [80]). We conducted our CFA using the Lavaan() package (v. 0.5-23.1097) [81] for R [82].
Multi-Group Measurement Invariance Testing. We then tested the generalizability of our CFA model by examining measurement invariance across participants based on their experience of pregnancy as primiparous (n = 208) or multiparous (n = 683) mothers. Establishing measurement invariance is a necessary precursor to group comparisons of factor correlations or means, in order to rule out the possibility that differences from such comparisons simply reflect divergences in the way groups think about the constructs under consideration [79,83]. Specifically, groups must demonstrate the same number of factors and general pattern of loadings (i.e., configural invariance) and factor loadings of comparable magnitude (i.e., weak invariance) for group comparisons of correlations involving the factors to be valid. Moreover, groups must demonstrate configural and weak invariance, alongside intercepts of comparable magnitude (i.e., strong invariance) for group comparisons of factor means to be valid.
We began the process of testing measurement invariance by fitting and evaluating a configural invariance model. We then used a combination of nested model comparisons and examining the change in model fit indexes to determine whether the constraints imposed by the subsequent levels of invariance (i.e., weak and strong) were supported, e.g., (66); (67). We fitted and evaluated our invariance models using the semTools() package (v. 0.4-14) [84] for R [82], using the same scale-setting, and identification selections from our CFA analysis.
However, because of convergence issues with the USLM estimator for our invariance testing, we reverted to using a robust maximum-likelihood estimator for specifying invariance models. As a consequence, our invariance models appeared worse fitting than they would have been under the more appropriate USLM estimator (e.g., there was nearly a 0.10 CFI difference between base models depending on estimator selection). We think this compromise is acceptable, given that with these invariance tests we were primarily concerned with relative changes in model fit as we imposed more stringent invariance constraints.
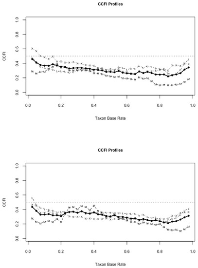
Taxometric Analyses. Our final analysis regarding the measurement structure of the CFQ involved examining whether—as our factor analysis models presumed—the CFQ was best understood as reflecting some continuous dimension(s) or rather, some number of discrete categories, using taxometric analyses [85] (for reviews see [86,87]). In essence, taxometric analyses function by calculating indexes that ostensibly evidence continuity vs. categorical-ness for a set of observed indicators (e.g., Mean Above Minus Below A Cut, MAMBAC), and then comparing the values of those indexes against those of the same indexes when coming from simulated populations in which a dimensional or categorical structure is specified. Specifically, a comparison curve fit index (CCFI) is computed as the ratio of the degree of misfit for the observed data to a dimensional population compared to a categorical population, with CCFI values less than 0.45 evidencing support for a dimensional model, values greater than 0.55 evidencing support for a categorical model, and values in between indicating an ambiguous outcome. Further, multiple taxometric indexes can be used to compute CCFIs in this fashion; in fact, it is recommended to do so as a form of consistency testing, in order to ensure interpretations are robust to the idiosyncrasies of each index [86]. We therefore evaluated CCFIs from three standardly reported taxometric indexes: MAMBAC, MAXEIG (maximum eigenvalue), and L-MODE (latent mode).
In order to conduct a taxometric analysis, we had to determine two additional analytic features: the indicators that we would include in the analysis, and the plausible size of a taxon (i.e., the first extracted category) underlying the CFQ, were a categorical solution to be supported [86]. Unlike other forms of latent variable modelling, taxometrics works best when using an efficient (i.e., limited, non-exhaustive) non-redundant (i.e., spanning the conceptual breadth of the construct) set of indicators from a larger measure; in particular Ruscio et al. [88] recommended somewhere between 3–5 indicators (as cited in [87]). As the CFQ contains many more items, we therefore conducted our taxometric analyses three times, using a different sampling of items across the subscales of the CFQ for each stance (Analysis 1: items 2, 8, 34, 39; Analysis 2: items 13, 21, 24, 26, and 40; and Analysis 3: items 3, 7, 9, and 37), which provided us another opportunity to evaluate the consistency of our analyses across different analytic specifications.
Next, taxometric model fitting requires the specification of a plausible taxon base rate (see [86]) in order to compute the desired CCFI values. As a recently developed alternative to subjectively determining this base rate (e.g., by consulting previous literature, guestimating, etc.) Ruscio et al. [88] developed a method of creating CCFI profiles, in which taxometric analyses were performed iteratively across a range of specified base-rates. The CCFI profile method, though computationally more intensive, is advantageous in that it provides a reliable means of determining whether the underlying measurement model is dimensional or categorical, and, when in fact categorical, CCFI profiles provide the most accurate estimate of the true underlying base rate. We therefore used the CCFI profile method, evaluating of CCFI values (and their average) across the broadest range of taxon base rates (2.5% to 97.5%).
We conducted all taxometric analyses using the RTaxometrics package [89] in R [82].
Descriptive, Reliability, and Validity Analyses. The remaining analyses involved descriptive data (means, standard deviations, and percentages), Cronbach alpha reliability coefficients, and correlations. Differences between correlations were tested using a test of the difference between two dependent correlations with one variable in common [70].
3.2. Results
3.2.1. Demographics
Participant demographic and reproductive information is presented in Table 2.
3.2.2. CFA and Invariance of the CFQ
Our CFA of the exploratory measurement model from Study 1 suggested that our model fit the data extremely well, (676) = 4300.63, p < 0.001, CFI = 0.977, TLI = 0.974, RMSEA = 0.064 (90% CI: 0.062, 0.066), SRMR = 0.055. Parameter estimates (see Table 8) suggest that our proposed model fit cut-offs were reasonable for detecting model misspecification, as most standardized factor loadings were near or greater than the population values specified in Hu and Bentler’s simulation study [80].
Table 8.
Model fit indexes for CFA model and invariance between nationality (Canada vs. USA) and parity (primiparous vs. multiparous) groups.
Our measurement invariance analyses, meanwhile, suggested that our measurement model was generalizable across parity status. Model fit was virtually unchanged moving from the non-grouped CFA model to the multi-group configural invariance model, and changes in model fit indexes between the configural invariance and loading invariant models (ΔFI = 0.000, ΔTLI = 0.004, ΔRMSEA = −0.001, ΔSRMR = −0.002, ΔBIC = −204.51) and loading invariant and intercept invariant models (ΔCFI = −0.002, ΔTLI = 0.001, ΔRMSEA = 0.000, ΔSRMR = 0.001, ΔBIC = −127.65) suggested that the added constraints on measurement parameters were reasonable.
Parity. Using structural equation modelling and comparing against the intercept-invariance model of the CFQ, we again found differences in CFQ scores based on parity, Δ2 (9) = 60.73, p < 0.001. As in Study 1, nulliparous participants scored higher than multiparous participants on seven of the nine CFQ factors, including the Fear of loss of sexual pleasure/attractiveness, z = 4.78, p < 0.001, ds = 0.52, Fear of pain from a vaginal birth, z = 2.47, p = 0.01, ds = 0.19, Fear of medical intervention, z = 2.68, p = 0.007, ds = 0.26, Fear of embarrassment, z = 3.77, p < 0.001, ds = 0.41, Fear of harm to baby z = 3.67, ds = 0.32, Fear of mom or baby dying, z = 2.27, p = 0.02, ds = 0.20, and Fear of body damage, z = 4.50, p < 0.011, ds = 0.37. Nulliparous and multiparous participants did not differ significantly on the Fear of caesarean birth, ds = 0.09, Fear of insufficient pain medication, d = 0.05.
In sum, our CFA-related analyses allow us to infer that the measurement model of the CFQ is both replicable, and generalizable across parity groups, indicating that it is appropriate for use within (and comparisons between) samples of participants who are expecting with different levels of pregnancy experience.
3.2.3. Taxometric Structure of the CFQ
Our three selected samplings of CFQ items generally exhibited excellent properties for candidate indicators in taxometric analyses, in terms of distributional characteristics, validity coefficients, and within-taxon and within-compliment correlations, see [86,87]. All three CCFI profiles (see Figure 2) strongly supported a dimensional structure for the CFQ and its subscales, as all individual CCFIs (with the exception of one CCFI from in one CCFI profile, MAXEIG in CCFI Profile 2) and their averages, across all three analyses, unambiguously supported dimensional structure (CCFIs < 0.45). We take the consistency of these effects as compelling evidence that the fear of childbirth is best understood as interrelated factors on which individuals differ in degree, not kind [85].

Figure 2.
CCFI profiles from taxometric analyses of three unique sets of CFQ indicators. M = MAMBAC, X = MAXEIG, L = L-MODE, and solid dots = the average CCFI.
3.2.4. Descriptive, Reliability, and Validity Analyses
Descriptive Analyses. Means and standard deviations for each of the 9 subscales, and the CFQ Total scale scores are presented in Table 6.
Reliability Analyses. The Cronbach alpha for the overall 40-item scale was 0.94, and the Cronbach alphas for the individual subscales ranged from 0.71 to 0.94 (i.e., Fear of loss of sexual pleasure/attractiveness = 0.90; Fear of pain from a vaginal birth = 0.94; Fear of medical interventions = 0.78; Fear of embarrassment = 0.79; Fear of harm to baby = 0.84; Fear of caesarean birth = 0.87; Fear of mum or baby dying = 0.88; Fear or insufficient pain medication = 0.71; Fear of body damage from a vaginal birth = 0.85).
Convergent/Discriminant Validity. The correlations between the CFQ and the W-DEQ-A (full and fear scales) were 0.58 (p < 0.001) and 0.62 (p < 0.001) respectively. The correlation between the CFQ and the EPDS was 0.34 (p < 0.001), and the correlation between the CFQ and the PDS-5 was 0.24 (p = 0.001). The CFQ-W-DEQ-A (full scale) correlation was significantly greater than the CFQ-EPDS correlation, z = 7.59, p < 0.001, and the CFQ-PDS-5 correlation, z = 6.97, p < 0.001. The CFQ-W-DEQ-A (fear scale) correlation was significantly greater than both the CFQ-EPDS (z = 9.00, p < 0.001), and the CFQ-PDS-5 (z = 7.97, p < 0.001) correlations. See Table 5 for a full list of correlations.
3.3. Summary
Study 2 supported the 9-factor structure of the CFQ, and provided evidence of measurement invariance across parity groups. Specifically, those who had previously given birth understood and responded to CFQ items in the same way as participants who had not previously given birth. Additionally, further tests of the CFQ’s latent structure strongly supported a dimensional structure. Thus, fear of childbirth is a construct on which individuals differ in degree rather than in kind (i.e., higher fear of childbirth is not qualitatively different from a lower fear of childbirth). As in Study 1, based on the results from Study 2, it can be inferred that the CFQ demonstrates high reliability, and convergent and discriminant validity. As was true in Study 1 also, overall, nulliparous participants scored higher on CFQ subscales compared to multiparous participants.
4. Discussion
The purpose of this research was to develop a new measure of fear of childbirth in pregnant people, that would encompass the breadth of such fears and overcome some of the limitations of commonly used methods to measure them. Exploratory factor analysis of the CFQ resulted in a 40-item, nine-factor questionnaire. Our nine-factor model was supported by a MAP test, exhibited reasonable model fit and good simple structure, and our factors were readily conceptually interpretable. The 9-factor structure of the CFQ was further supported in Study 2, in a larger sample of pregnant participants. Based on psychometric testing across the two studies, we can infer that the CFQ total scale and the nine subscales demonstrated good internal consistency, and convergent and discriminant validity across both studies.
The taxometric analyses strongly supported a dimensional structure. Thus, fear of childbirth is a construct on which individuals differ in degree rather than in kind (i.e., higher fear of childbirth is not qualitatively different from a lower fear of childbirth). It also suggests that multiple causal influences with small additive effects may best explain more intense fear of childbirth (i.e., rather than a larger single causal factor). While diagnostic categories are frequently used in psychology and might be helpful for clinicians and health authorities to prioritize individuals’ access to treatment, diagnostic categories hypothesize a categorical latent structure. Given the dimensional latent structure of fear of childbirth, it will be important to bear in mind that any cut-off score will be arbitrary and result in a loss of information. It is thus better for future studies to keep the full continuum of scores and respect the dimensional latent structure of the data [90].
Second, our nine-factor model showed initial evidence of measurement invariance between parity groups. Thus, those who had previously given birth understood and responded to CFQ items in the same way as participants who had not previously given birth. Any variations in responses between those two groups will be due to real world differences, rather than to a misspecification of the measurement model for one or the other group. This is especially important, provided our finding that nulliparous participants scored higher than multiparous participants on several of the nine CFQ factors.
Data from both studies provide excellent support for the convergent and discriminant validity of the CFQ. As predicted, the CFQ correlated most strongly with another measure of fear of childbirth (W-DEQ-A), and less so with measures of depressed mood (EPDS), trauma symptoms (PDS-5) and blood, injury, injection fears (MQ). In addition, correlations with the CFQ were stronger for the W-DEQ-A (fear subscale) compared with the W-DEQ-A (full scale). This was expected and supports our contention that the W-DEQ-A is not strictly a measure of fear (i.e., includes multiple items more relevant to feelings of depressed mood and other positive and negative emotions). Although the W-DEQ-A fear subscale contains six items, only three truly reflect fear (i.e., afraid, tense and panic). The other three (hopelessness, pain and lose control of myself) are not specifically fear items. The weaker correlation between the CFQ and the W-DEQ-A (full scale) provides support for the CFQ as a novel measure of fear of childbirth, with an emphasis on fear, and distinct from the W-DEQ-A.
Furthermore, the nine factors of the CFQ have the potential to significantly add to our knowledge about fear of childbirth. For example, the nine subscales of the CFQ, identified through factor analysis, make it evident that pregnant people’s concerns about childbirth encompass a broad range of potential fears, and that pregnant people who prefer a caesarean birth have different concerns than those who prefer a vaginal birth. Findings regarding the association of CFQ domains and mode of delivery preferences are consistent with our predictions that those who strongly prefer a caesarean birth are especially fearful of (a) the pain from a vaginal birth, and the possibility that they may not receive sufficient pain medication during labour/delivery, and (b) the possibility that something may go terribly wrong during labour/birth, and they or their infant may be harmed or die. Conversely, pregnant people who strongly prefer a vaginal birth are, as expected, more fearful of caesarean delivery and labour/birth related medical interventions in general. The same pattern of results can also be observed in the intercorrelations among the CFQ subscales. However, in contrast with our predictions, those who strongly prefer a caesarean birth did not report higher levels of fear of damage to one’s body from a vaginal birth was not supported.
In both studies, the lowest CFQ-W-DEQ-A subscale correlation was for the Fear of caesarean birth subscale. The Fear of medical interventions subscale also correlated weakly with the W-DEQ-A in both studies, although less so in study two (i.e., r = 0.33 and 0.38 in study two, and r = 0.10 and 0.03 in study one). This weak relationship between the W-DEQ-A and these two CFQ subscales is likely a function of the fact that the CFQ is unique among measures of fear of childbirth in its assessment of fears related to operational (i.e., caesarean) delivery.
These finding highlight an interesting phenomenon, not easily assessed by previously available measures of fear of childbirth: that some pregnant people strongly prefer a caesarean birth and are predominantly fearful of the perceived pain and/or danger associated with vaginal delivery, whereas others strongly prefer a vaginal birth and are predominantly fearful of medical interventions in general, and caesarean birth in particular. The link between fear of labour pain and a preference for caesarean delivery is well-documented [60,91]. Very little is known about fears specific to those who prefer vaginal birth. In this regard, the CFQ fills an important gap in our knowledge of the childbirth fears most relevant to pregnant people who prefer a vaginal birth.
The only between-country (Canada and the United States) differences were for the Fear of medical interventions and the Fear of caesarean birth subscales. This is an expected finding as childbirth is a more medicalized experience in the United States in comparison with Canada [92]. Previous research has shown that those who experience pregnancy in a more medicalized birth culture report heightened fear of interventions and other fears that are specific to hospital settings [93]. Consequently, one would expect pregnant people’s fears of medical experiences in childbirth to be heightened.
Another example, and a novel and important aspect of the CFQ, is the inclusion of subscales measuring (a) pregnant people’s fears about negative, childbirth-related changes to their appearance and sexual functioning, including Fear of loss of sexual pleasure/attractiveness, and (b) Fear of embarrassment because of events occurring during labour/delivery (e.g., fear of urinating in front of others). It is well known that becoming a parent has a significant, and oftentimes negative, impact on one’s romantic relationship, including one’s sexual relationship [94,95]. That this is a concern for pregnant people appears well captured by the CFQ. That fears about a loss of sexual pleasure and attractiveness are associated with a fear of embarrassment during labour/delivery is not surprising in that both involve potential negative judgments by others, and potentially being seen in ways that are perceived as unattractive by typical standards. Our findings demonstrate that fears regarding embarrassment and sexual functioning/appearance are closely related to fears about childbirth pain and bodily damage in the context of a vaginal delivery, as well as harm or death to mum and baby during childbirth. It appears that pregnant people associate pain from a vaginal birth with vaginal damage, and correspondingly with negative changes to their sexual functioning and appearance, and embarrassing aspects of labour/delivery.
4.1. Clinical Implications
Current measures of fear of childbirth fail to assess the full spectrum of perinatal people’s childbirth related fears. Given that fear of childbirth has been associated with several negative medical and social outcomes, an accurate assessment of these fears is important and has implications for pregnant individual’s reproductive and mental health. The development of an effective self-report measure of fear of childbirth will facilitate: (a) the provision of appropriate treatment for those with these fears; (b) assessment of specific aspects of perinatal people’s childbirth related fears; and (c) identification of fear of childbirth as a potential psychosocial indication for a caesarean delivery. The new CFQ will help to identify pregnant people’s specific childbirth concerns, which may be amenable to education or a psychosocial intervention if more extreme.
4.2. Limitations
This study is limited by the fact that we collected data from two convenience samples of pregnant people. We did not collect prospective data, nor did we collect data from reproductive-aged people who were not pregnant. A further limitation is the fact that our sample was English-speaking only, highly educated, and predominantly married/common-law, and Caucasian. It is possible that responses to the CFQ may differ by culture, education, and marital status. Until psychometric evaluations of the CFQ have been undertaken in other cultural contexts, generalizability is, limited pregnant people similar to those in the two studies reported here. Finally, online survey administration prevents the calculation of response rates.
4.3. Future Directions
Future research would benefit from an evaluation of the CFQ among reproductive aged people who are not pregnant, but may one day become pregnant or give birth, those who are gender diverse, as well as reproductive-aged people who are biologically male. The attitudes of biologically male people towards birth and fears concerning childbirth have been shown to influence decision-making around mode of delivery [94]. Further, the validity of the measure should be assessed in other cultural contexts beyond predominantly Caucasian, English-speaking countries.
In our opinion, the most important next steps in the development of the CFQ are to: (a) evaluate the test-retest reliability and sensitivity to change of the CFQ, and (b) assess the CFQ as a screening tool for specific phobia of fear of childbirth (specific phobia is the diagnostic category which has been put forth as the most appropriate classification of fear of childbirth).
5. Conclusions
The Childbirth Fear Questionnaire (CFQ) is a promising new instrument for the multi-factorial assessment of fear of childbirth. Evidence of its reliability and validity has been presented. We hope this new measure proves useful to identify pregnant people with elevated fear of childbirth, and for future research into the fear of childbirth.
Author Contributions
N.F. developed the manuscript concept and was responsible for the study design. N.F. and F.C. were responsible for study design, supervision of data collection, and interpretation of the data. A.A., K.S. in collaboration with N.F. and F.C., was responsible for data analyses. All authors were involved in manuscript drafting. All authors provided scientific input and edited and reviewed the manuscript content. All authors provided their final approval and agree to be accountable for all aspects of the work, ensuring integrity and accuracy. All authors have read and agreed to the published version of the manuscript.
Funding
This research was funded from the primary author’s start-up funds via the Island Medical Program of the University of British Columbia.
Institutional Review Board Statement
This study was conducted in accordance with the Declaration of Helsinki. Ethical approval for this study was obtained from the Behavioural Ethics Board of the University of British Columbia (H15-03356). The University of British Columbia’s Behavioural Research Ethics Board follows the Canadian Tri-Counsel Policy Statement (TCPS): Ethical Conduct for Research Involving Humans.
Informed Consent Statement
Informed consent was obtained from all subjects involved in the study.
Data Availability Statement
The datasets used and/or analysed during the current study are available from the corresponding author on reasonable request.
Acknowledgments
The authors would like to thank the study participants for their time and thoughtful engagement. We would especially like to Jessica Gaiptman and Stephanie Poje for their invaluable contribution to participant recruitment and data management.
Conflicts of Interest
The authors declare no conflict of interest.
References
- Duffin, E. Number of Births in Canada 2021|Statista n.d. Available online: https://www.statista.com/statistics/443051/number-of-births-in-canada/ (accessed on 3 January 2022).
- World Health Organization. Maternal Mortality n.d. Available online: https://www.who.int/news-room/fact-sheets/detail/maternal-mortality (accessed on 3 January 2022).
- The World Bank. Maternal Mortality Ratio (Modeled Estimate, per 100,000 Live Births) | Data n.d. Available online: https://data.worldbank.org/indicator/SH.STA.MMRT (accessed on 3 January 2022).
- Melender, H.-L. Experiences of Fears Associated with Pregnancy and Childbirth: A Study of 329 Pregnant Women. Birth 2002, 29, 101–111. [Google Scholar] [CrossRef]
- Larkin, P.; Begley, C.M.; Devane, D. Women’s experiences of labour and birth: An evolutionary concept analysis. Midwifery 2009, 25, e49–e59. [Google Scholar] [CrossRef] [PubMed]
- Howard, L.M. What does Excellence in Perinatal Mental Health Look Like? Meeting the NICE Guideline for Postnatal Mental Health. 2016. Available online: https://www.healthcareconferencesuk.co.uk/news/what-does-excellence-in-perinatal-mental-health-look-like-meeting-the-new-nice-guideline (accessed on 3 January 2022).
- Matthey, S.; Barnett, B.; Howie, P.; Kavanagh, D. Diagnosing postpartum depression in mothers and fathers: Whatever happened to anxiety? J. Affect. Disord. 2003, 74, 139–147. [Google Scholar] [CrossRef]
- Fawcett, E.J.; Fairbrother, N.; Cox, M.L.; White, I.; Fawcett, J.M. The Prevalence of Anxiety Disorders during Pregnancy and the Postpartum Period: A Multivariate Bayesian Meta-Analysis. J. Clin. Psychiatry 2019, 80, 1181. [Google Scholar] [CrossRef] [PubMed]
- Reck, C.; Struben, K.; Backenstrass, M.; Stefenelli, U.; Reinig, K.; Fuchs, T.; Sohn, C.; Mundt, C. Prevalence, onset and comorbidity of postpartum anxiety and depressive disorders. Acta Psychiatr. Scand. 2008, 118, 459–468. [Google Scholar] [CrossRef]
- Woody, C.A.; Ferrari, A.J.; Siskind, D.J.; Whiteford, H.A.; Harris, M.G. A systematic review and meta-regression of the prevalence and incidence of perinatal depression. J. Affect. Disord. 2017, 219, 86–92. [Google Scholar] [CrossRef]
- American Psychiatric Association. Diagnostic and Statistical Manual of Mental Disorders: DSM-5, 5th ed.; American Psychiatric Publishing, Inc.: Arlington, VA, USA, 2013. [Google Scholar] [CrossRef]
- Challacombe, F.L.; Bavetta, M.; DeGiorgio, S. Intrusive thoughts in perinatal obsessive-compulsive disorder. BMJ 2019, 367, l6574. [Google Scholar] [CrossRef]
- Collardeau, F.; Corbyn, B.; Abramowitz, J.; Janssen, P.A.; Woody, S.; Fairbrother, N. Maternal unwanted and intrusive thoughts of infant-related harm, obsessive-compulsive disorder and depression in the perinatal period: Study protocol. BMC Psychiatry 2019, 19, 94. [Google Scholar] [CrossRef]
- Sharma, V.; Mazmanian, D. Are we overlooking obsessive-compulsive disorder during and after pregnancy? Some arguments for a peripartum onset specifier. Arch. Women’s Ment. Health 2020, 24, 165–168. [Google Scholar] [CrossRef]
- Uguz, F.; Akman, C.; Kaya, N.; Çilli, A.S. Postpartum-onset obsessive-compulsive disorder: Incidence, clinical features, and related factors. J. Clin. Psychiatry 2007, 68, 14834. [Google Scholar] [CrossRef]
- Goldfinger, C.; Green, S.M.; Furtado, M.; McCabe, R.E. Characterizing the nature of worry in a sample of perinatal women with generalized anxiety disorder. Clin. Psychol. Psychother. 2019, 27, 136–145. [Google Scholar] [CrossRef] [PubMed]
- Buist, A.; Gotman, N.; Yonkers, K.A. Generalized anxiety disorder: Course and risk factors in pregnancy. J. Affect. Disord. 2011, 131, 277–283. [Google Scholar] [CrossRef] [PubMed]
- O’Connell, M.A.; Leahy-Warren, P.; Khashan, A.S.; Kenny, L.C.; O’Neill, S.M. Worldwide prevalence of tocophobia in pregnant women: Systematic review and meta-analysis. Acta Obstet. Gynecol. Scand. 2017, 96, 907–920. [Google Scholar] [CrossRef] [PubMed]
- Räisänen, S.; Lehto, S.M.; Nielsen, H.S.; Gissler, M.; Kramer, M.R.; Heinonen, S. Risk factors for and perinatal outcomes of major depression during pregnancy: A population-based analysis during 2002–2010 in Finland. BMJ Open 2014, 4, e004883. [Google Scholar] [CrossRef]
- Zar, M.; Wijma, K.; Wijma, B. Relations between anxiety disorders and fear of childbirth during late pregnancy. Clin. Psychol. Psychother. 2002, 9, 122–130. [Google Scholar] [CrossRef]
- Calderani, E.; Giardinelli, L.; Scannerini, S.; Arcabasso, S.; Compagno, E.; Petraglia, F.; Ricca, V. Tocophobia in the DSM-5 era: Outcomes of a new cut-off analysis of the Wijma delivery expectancy/experience questionnaire based on clinical presentation. J. Psychosom. Res. 2019, 116, 37–43. [Google Scholar] [CrossRef]
- Clark, L.A.; Cuthbert, B.; Lewis-Fernández, R.; Narrow, W.E.; Reed, G.M. Three Approaches to Understanding and Classifying Mental Disorder: ICD-11, DSM-5, and the National Institute of Mental Health’s Research Domain Criteria (RDoC). Psychol. Sci. Public Interest 2017, 18, 72–145. [Google Scholar] [CrossRef]
- Eaton, W.W.; Neufeld, K.; Chen, L.-S.; Cai, G. A Comparison of Self-report and Clinical Diagnostic Interviews for Depression: Di-agnostic Interview Schedule and Schedules for Clinical Assessment in Neuropsychiatry in the Baltimore Epidemiologic Catchment Area Follow-Up. Arch. Gen. Psychiatry 2000, 57, 217–222. [Google Scholar] [CrossRef]
- Thombs, B.D.; Kwakkenbos, L.; Levis, A.W.; Benedetti, A. Addressing overestimation of the prevalence of depression based on self-report screening questionnaires. Can. Med. Assoc. J. 2018, 190, E44–E49. [Google Scholar] [CrossRef]
- Toohill, J.; Creedy, D.K.; Gamble, J.; Fenwick, J. A cross-sectional study to determine utility of childbirth fear screening in maternity practice–An Australian perspective. Women Birth 2015, 28, 310–316. [Google Scholar] [CrossRef]
- Fisher, C.; Hauck, Y.; Fenwick, J. How social context impacts on women’s fears of childbirth: A Western Australian example. Soc. Sci. Med. 2006, 63, 64–75. [Google Scholar] [CrossRef] [PubMed]
- Johnson, R.; Slade, P. Does fear of childbirth during pregnancy predict emergency caesarean section? BJOG Int. J. Obstet. Gynaecol. 2002, 109, 1213–1221. [Google Scholar] [CrossRef] [PubMed]
- Johnson, R.C.; Slade, P. Obstetric complications and anxiety during pregnancy: Is there a relationship? J. Psychosom. Obstet. Gynecol. 2003, 24, 1–14. [Google Scholar] [CrossRef]
- Klusman, L.E. Reduction of pain in childbirth by the alleviation of anxiety during pregnancy. J. Consult. Clin. Psychol. 1975, 43, 162–165. [Google Scholar] [CrossRef] [PubMed]
- Stoll, K.; Swift, E.M.; Fairbrother, N.; Nethery, E.; Janssen, P. A systematic review of nonpharmacological prenatal interventions for pregnancy-specific anxiety and fear of childbirth. Birth 2017, 45, 7–18. [Google Scholar] [CrossRef]
- Areskog, B.; Kjessler, B.; Uddenberg, N. Identification of Women with Significant Fear of Childbirth during Late Pregnancy. Gynecol. Obstet. Investig. 1982, 13, 98–107. [Google Scholar] [CrossRef]
- Wijma, K.; Wijma, B.; Zar, M. Psychometric aspects of the W-DEQ; a new questionnaire for the measurement of fear of childbirth. J. Psychosom. Obstet. Gynecol. 1998, 19, 84–97. [Google Scholar] [CrossRef]
- Eriksson, C.; Westman, G.; Hamberg, K. Experiential factors associated with childbirth-related fear in Swedish women and men: A population based study. J. Psychosom. Obstet. Gynecol. 2005, 26, 63–72. [Google Scholar] [CrossRef]
- Wootton, B.M.; Diefenbach, G.J.; Bragdon, L.B.; Steketee, G.; Frost, R.O.; Tolin, D.F. A contemporary psychometric evaluation of the Obsessive Compulsive Inventory—Revised (OCI-R). Psychol. Assess. 2015, 27, 874–882. [Google Scholar] [CrossRef]
- Cnm, C.E.; Cnattingius, S.; Kjerulff, K.H. Birth Experience in Women with Low, Intermediate or High Levels of Fear: Findings from the First Baby Study. Birth 2013, 40, 289–296. [Google Scholar] [CrossRef]
- Haines, H.M.; Rubertsson, C.; Pallant, J.F.; Hildingsson, I. The influence of women’s fear, attitudes and beliefs of childbirth on mode and experience of birth. BMC Pregnancy Childbirth 2012, 12, 55. [Google Scholar] [CrossRef] [PubMed]
- Hildingsson, I.; Nilsson, C.; Karlström, A.; Lundgren, I. A Longitudinal Survey of Childbirth-Related Fear and Associated Factors. J. Obstet. Gynecol. Neonatal Nurs. 2011, 40, 532–543. [Google Scholar] [CrossRef]
- Laursen, M.; Hedegaard, M.; Johansen, C.H. Fear of childbirth: Predictors and temporal changes among nulliparous women in the Danish National Birth Cohort. BJOG Int. J. Obstet. Gynaecol. 2008, 115, 354–360. [Google Scholar] [CrossRef] [PubMed]
- Rouhe, H.; Salmela-Aro, K.; Halmesmäki, E.; Saisto, T. Fear of childbirth according to parity, gestational age, and obstetric history. BJOG Int. J. Obstet. Gynaecol. 2008, 116, 67–73. [Google Scholar] [CrossRef] [PubMed]
- Saxbe, D.; Horton, K.T.; Tsai, A.B. The Birth Experiences Questionnaire: A brief measure assessing psychosocial dimensions of childbirth. J. Fam. Psychol. 2018, 32, 262–268. [Google Scholar] [CrossRef] [PubMed]
- Prelog, P.R.; Makovec, M.R.; Šimic, M.V.; Premru-Srsen, T.; Perat, M. Individual and contextual factors of nulliparas’ levels of depression, anxiety and fear of childbirth in the last trimester of pregnancy: Intimate partner attachment a key factor? Slov. J. Public Health 2019, 58, 112–119. [Google Scholar] [CrossRef] [PubMed]
- Redshaw, M.; Martin, C.; Rowe, R.; Hockley, C. The Oxford Worries about Labour Scale: Women’s experience and measurement characteristics of a measure of maternal concern about labour and birth. Psychol. Health Med. 2009, 14, 354–366. [Google Scholar] [CrossRef]
- Slade, P.; Pais, T.; Fairlie, F.; Simpson, A.; Sheen, K. The development of the Slade–Pais Expectations of Childbirth Scale (SPECS). J. Reprod. Infant Psychol. 2016, 34, 495–510. [Google Scholar] [CrossRef][Green Version]
- Haines, H.; Pallant, J.F.; Karlström, A.; Hildingsson, I. Cross-cultural comparison of levels of childbirth-related fear in an Australian and Swedish sample. Midwifery 2011, 27, 560–567. [Google Scholar] [CrossRef]
- Geissbuehler, V.; Eberhard, J. Fear of childbirth during pregnancy: A study of more than 8000 pregnant women. J. Psychosom. Obstet. Gynecol. 2002, 23, 229–235. [Google Scholar] [CrossRef]
- Bergström, M.; Rudman, A.; Waldenström, U.; Kieler, H. Fear of childbirth in expectant fathers, subsequent childbirth experience and impact of antenatal education: Subanalysis of results from a randomized controlled trial. Acta Obstet. Gynecol. Scand. 2013, 92, 967–973. [Google Scholar] [CrossRef] [PubMed]
- Fairbrother, N.; Woody, S.R. Fear of childbirth and obstetrical events as predictors of postnatal symptoms of depression and post-traumatic stress disorder. J. Psychosom. Obstet. Gynecol. 2007, 28, 239–242. [Google Scholar] [CrossRef] [PubMed]
- Fenwick, J.; Gamble, J.; Creedy, D.K.; Buist, A.; Turkstra, E.; Sneddon, A.; A Scuffham, P.; Ryding, E.L.; Jarrett, V.; Toohill, J. Study protocol for reducing childbirth fear: A midwife-led psycho-education intervention. BMC Pregnancy Childbirth 2013, 13, 190. [Google Scholar] [CrossRef]
- A Hall, W.; Stoll, K.; Hutton, E.K.; Brown, H. A prospective study of effects of psychological factors and sleep on obstetric interventions, mode of birth, and neonatal outcomes among low-risk British Columbian women. BMC Pregnancy Childbirth 2012, 12, 78. [Google Scholar] [CrossRef] [PubMed]
- Jespersen, C.; Hegaard, H.K.; Schroll, A.-M.; Rosthøj, S.; Kjærgaard, H. Fear of childbirth and emergency caesarean section in low-risk nulliparous women: A prospective cohort study. J. Psychosom. Obstet. Gynecol. 2014, 35, 109–115. [Google Scholar] [CrossRef]
- Ryding, E.; Wijma, B.; Wijma, K.; Rydhström, H. Fear of childbirth during pregnancy may increase the risk of emergency cesarean section. Acta Obstet. Gynecol. Scand. 1998, 77, 542–547. [Google Scholar] [CrossRef] [PubMed]
- Salomonsson, B.; Gullberg, M.T.; Alehagen, S.; Wijma, K. Self-efficacy beliefs and fear of childbirth in nulliparous women. J. Psychosom. Obstet. Gynecol. 2013, 34, 116–121. [Google Scholar] [CrossRef]
- Storksen, H.T.; Eberhard-Gran, M.; Garthus-Niegel, S.; Eskild, A. Fear of childbirth; the relation to anxiety and depression. Acta Obstet. Gynecol. Scand. 2011, 91, 237–242. [Google Scholar] [CrossRef]
- Wiklund, I.; Edman, G.; Ryding, E.-L.; Andolf, E. Expectation and experiences of childbirth in primiparae with caesarean section. BJOG: Int. J. Obstet. Gynaecol. 2008, 115, 324–331. [Google Scholar] [CrossRef]
- Spielberger, C.D. State-Trait Anxiety Inventory. In The Corsini Encyclopedia of Psychology; John Wiley & Sons, Ltd.: Hoboken, NJ, USA, 2010. [Google Scholar] [CrossRef]
- Garthus-Niegel, S.; Størksen, H.T.; Torgersen, L.; Von Soest, T.; Eberhard-Gran, M. The Wijma Delivery Expectancy/Experience Questionnaire—A factor analytic study. J. Psychosom. Obstet. Gynecol. 2011, 32, 160–163. [Google Scholar] [CrossRef]
- MacCallum, R.C.; Widaman, K.F.; Zhang, S.; Hong, S. Sample size in factor analysis. Psychol. Methods 1999, 4, 84–99. [Google Scholar] [CrossRef]
- Stoll, K.; Fairbrother, N.; Carty, E.; Jordan, N.; Miceli, C.; Vostrcil, Y.; Willihnganz, L. “It’s All the Rage These Days”: University Students’ Attitudes Toward Vaginal and Cesarean Birth. Birth 2009, 36, 133–140. [Google Scholar] [CrossRef] [PubMed]
- Maier, B. Women’s worries about childbirth: Making safe choices. Br. J. Midwifery 2010, 18, 293–299. [Google Scholar] [CrossRef]
- Toohill, J.; Fenwick, J.; Gamble, J.; Creedy, D.K. Prevalence of childbirth fear in an Australian sample of pregnant women. BMC Pregnancy Childbirth 2014, 14, 1–10. [Google Scholar] [CrossRef] [PubMed]
- Eberhard-Gran, M.; Eskild, A.; Tambs, K.; Opjordsmoen, S.; Samuelsen, S.O. Review of validation studies of the Edinburgh Postnatal Depression Scale. Acta Psychiatr. Scand. 2001, 104, 243–249. [Google Scholar] [CrossRef]
- Jomeen, J.; Martin, C.R. Confirmation of an occluded anxiety component within the Edinburgh Postnatal Depression Scale (EPDS) during early pregnancy. J. Reprod. Infant Psychol. 2005, 23, 143–154. [Google Scholar] [CrossRef]
- Kleinknecht, R.A.; Thorndike, R.M. The Mutilation Questionnaire as a predictor of blood/injury fear and fainting. Behav. Res. Ther. 1990, 28, 429–437. [Google Scholar] [CrossRef]
- Kleinknecht, R.A.; Morgan, M.P. Treatment of posttraumatic stress disorder with eye movement desensitization. J. Behav. Ther. Exp. Psychiatry 1992, 23, 43–49. [Google Scholar] [CrossRef]
- R Core Team. R: A Language and Environment for Statistical Computing. 2017. Available online: https://www.R-project.org/ (accessed on 3 January 2022).
- Revelle, W. Psych: Procedures for Personality and Psychological Research. 2016. Available online: https://CRAN.R-project.org/package=psych (accessed on 3 January 2022).
- Wickham, H. ggplot2: Elegant Graphics for Data Analysis; Springer: New York, NY, USA, 2019. [Google Scholar]
- Lee, I.A.; Preacher, K.J. Calculation for the Test of the Difference between Two Dependent Correlations with One Variable in Common. 2013. Available online: http://quantpsy.org (accessed on 3 January 2022).
- Lakens, D. Calculating and reporting effect sizes to facilitate cumulative science: A practical primer for t-tests and ANOVAs. Front. Psychol. 2013, 4, 863. [Google Scholar] [CrossRef]
- Sakaluk, J.K.; Short, S.D. A Methodological Review of Exploratory Factor Analysis in Sexuality Research: Used Practices, Best Practices, and Data Analysis Resources. J. Sex Res. 2017, 54, 398–408. [Google Scholar] [CrossRef]
- Fabrigar, L.R.; Wegener, D.T. Exploratory Factor Analysis; Oxford University Press: Oxford, UK, 2011. [Google Scholar]
- Horn, J.L. A rationale and test for the number of factors in factor analysis. Psychometrika 1965, 30, 179–185. [Google Scholar] [CrossRef] [PubMed]
- Velicer, W.F. Determining the number of components from the matrix of partial correlations. Psychometrika 1976, 41, 321–327. [Google Scholar] [CrossRef]
- Hu, L.-T.; Bentler, P.M. Cutoff criteria for fit indexes in covariance structure analysis: Conventional criteria versus new alternatives. Struct. Equ. Model. Multidiscip. J. 1999, 6, 1–55. [Google Scholar] [CrossRef]
- Foa, E.B.; McLean, C.P.; Zang, Y.; Zhong, J.; Powers, M.B.; Kauffman, B.Y.; Rauch, S.; Porter, K.; Knowles, K. Psychometric properties of the Posttraumatic Diagnostic Scale for DSM–5 (PDS–5). Psychol. Assess. 2016, 28, 1166–1171. [Google Scholar] [CrossRef]
- Mughal, A.Y.; Devadas, J.; Ardman, E.; Levis, B.; Go, V.F.; Gaynes, B.N. A systematic review of validated screening tools for anxiety disorders and PTSD in low to middle income countries. BMC Psychiatry 2020, 20, 211. [Google Scholar] [CrossRef] [PubMed]
- Little, T.D. Longitudinal Structural Equation Modeling; Guilford Press: New York, NY, USA, 2013. [Google Scholar]
- McNeish, D.; An, J.; Hancock, G.R. The Thorny Relation between Measurement Quality and Fit Index Cutoffs in Latent Variable Models. J. Pers. Assess. 2017, 100, 43–52. [Google Scholar] [CrossRef] [PubMed]
- Rosseel, Y. lavaan: AnRPackage for Structural Equation Modeling. J. Stat. Softw. 2012, 48, 1–36. [Google Scholar] [CrossRef]
- R Core Team. R: A Language and Environment for Statistical Computing 2020. Available online: http://www.r-project.org/index.html (accessed on 3 January 2022).
- Vandenberg, R.J.; Lance, C.E. A Review and Synthesis of the Measurement Invariance Literature: Suggestions, Practices, and Recommendations for Organizational Research. Organ. Res. Methods 2000, 3, 4–70. [Google Scholar] [CrossRef]
- semTools Contributors. semTools: Useful Tools for Structural Equation Modeling. 2016. Available online: https://rdrr.io/cran/semTools/ (accessed on 3 January 2022).
- Meehl, P.E. Factors and Taxa, Traits and Types, Differences of Degree and Differences in Kind. J. Pers. 1992, 60, 117–174. [Google Scholar] [CrossRef]
- Ruscio, J.; Haslam, N.; Ruscio, A.M. Introduction to the Taxometric Method: A Practical Guide; Routledge: New York, NY, USA, 2013. [Google Scholar] [CrossRef]
- Sakaluk, J.K. Expanding Statistical Frontiers in Sexual Science: Taxometric, Invariance, and Equivalence Testing. J. Sex Res. 2018, 56, 475–510. [Google Scholar] [CrossRef]
- Ruscio, J.; Carney, L.M.; Dever, L.; Pliskin, M.; Wang, S.B. Using the comparison curve fix index (CCFI) in taxometric analyses: Averaging curves, standard errors, and CCFI profiles. Psychol. Assess. 2018, 30, 744–754. [Google Scholar] [CrossRef] [PubMed]
- Ruscio, J.; Wang, S. RTaxometrics: Taxometric Analysis. 2017. Available online: https://cran.r-project.org/web/packages/RTaxometrics/index.html (accessed on 3 January 2022).
- A Structure-Based Approach to Psychological Assessment: Matching Measurement Models to Latent Structure—John Ruscio, Ayelet Meron Ruscio, 2002 n.d. Available online: https://journals.sagepub.com/doi/abs/10.1177/1073191102091002?casa_token=mbRPkjvqoM4AAAAA:T5-lV8oAODSQgqIzZ4KR82T7DHagC6d1RdUXNHt1sSCck7ilcDoUQbXIkHYWK98mYy_GZD51xdLB (accessed on 31 January 2022).
- Stoll, K.; Hall, W. Attitudes and Preferences of Young Women with Low and High Fear of Childbirth. Qual. Health Res. 2013, 23, 1495–1505. [Google Scholar] [CrossRef]
- Stoll, K.H.; Downe, S.; Edmonds, J.; Gross, M.M.; Malott, A.; Pm, J.M.; Sadler, M.; Thomson, G. The ICAPP Study Team A Survey of University Students’ Preferences for Midwifery Care and Community Birth Options in 8 High-Income Countries. J. Midwifery Women’s Health 2020, 65, 131–141. [Google Scholar] [CrossRef]
- Christiaens, W.; Van De Velde, S.; Bracke, P. Pregnant Women’s Fear of Childbirth in Midwife- and Obstetrician-Led Care in Belgium and the Netherlands: Test of the Medicalization Hypothesis. Women Health 2011, 51, 220–239. [Google Scholar] [CrossRef] [PubMed]
- Gottman, J.M.; Notarius, C.I. Marital Research in the 20th Century and a Research Agenda for the 21st Century. Fam. Process 2002, 41, 159–197. [Google Scholar] [CrossRef] [PubMed]
- Pacey, S. Couples and the first baby: Responding to new parents’ sexual and relationship problems. Sex. Relatsh. Ther. 2004, 19, 223–246. [Google Scholar] [CrossRef]
- Hildingsson, I. Swedish couples’ attitudes towards birth, childbirth fear and birth preferences and relation to mode of birth—A longitudinal cohort study. Sex. Reprod. Health 2014, 5, 75–80. [Google Scholar] [CrossRef]
- Wootton, B.M.; Davis, E.; Moses, K.; Moody, A.; Maguire, P. The development and initial validation of the Tokophobia Severity Scale. Clin. Psychol. 2020, 24, 267–275. [Google Scholar] [CrossRef]
Publisher’s Note: MDPI stays neutral with regard to jurisdictional claims in published maps and institutional affiliations. |
© 2022 by the authors. Licensee MDPI, Basel, Switzerland. This article is an open access article distributed under the terms and conditions of the Creative Commons Attribution (CC BY) license (https://creativecommons.org/licenses/by/4.0/).


