Examining the Nonlinear and Synergistic Effects of Multidimensional Elements on Commuting Carbon Emissions: A Case Study in Wuhan, China
Abstract
1. Introduction
2. Literature Review
2.1. Multidimensional Elements, Travel Behavior, and Travel Carbon Emissions
2.2. Synergistic Effect of Multidimensional Elements
2.3. Research Gaps
3. Methodology
3.1. Research Area and Data Source
3.2. Variables and Data
3.3. Modeling Methods
4. Results
4.1. The Relative Importance of Independent Variables
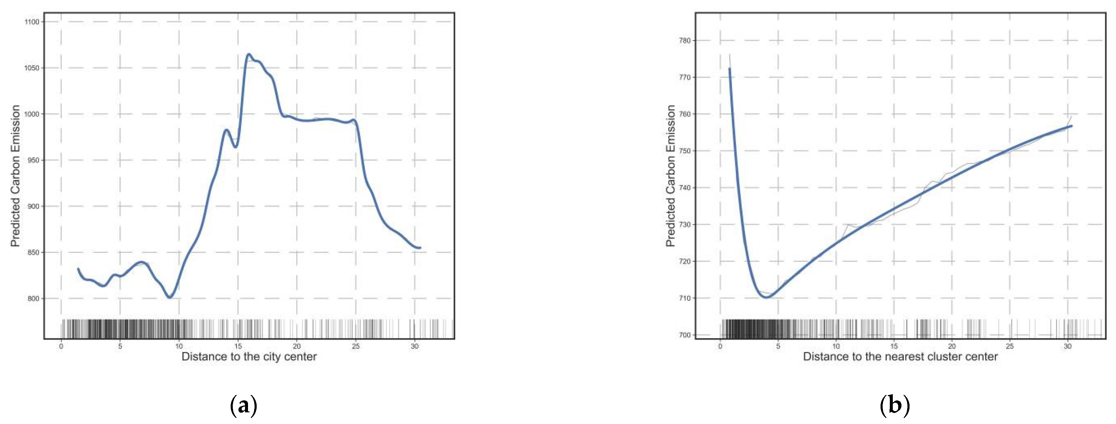
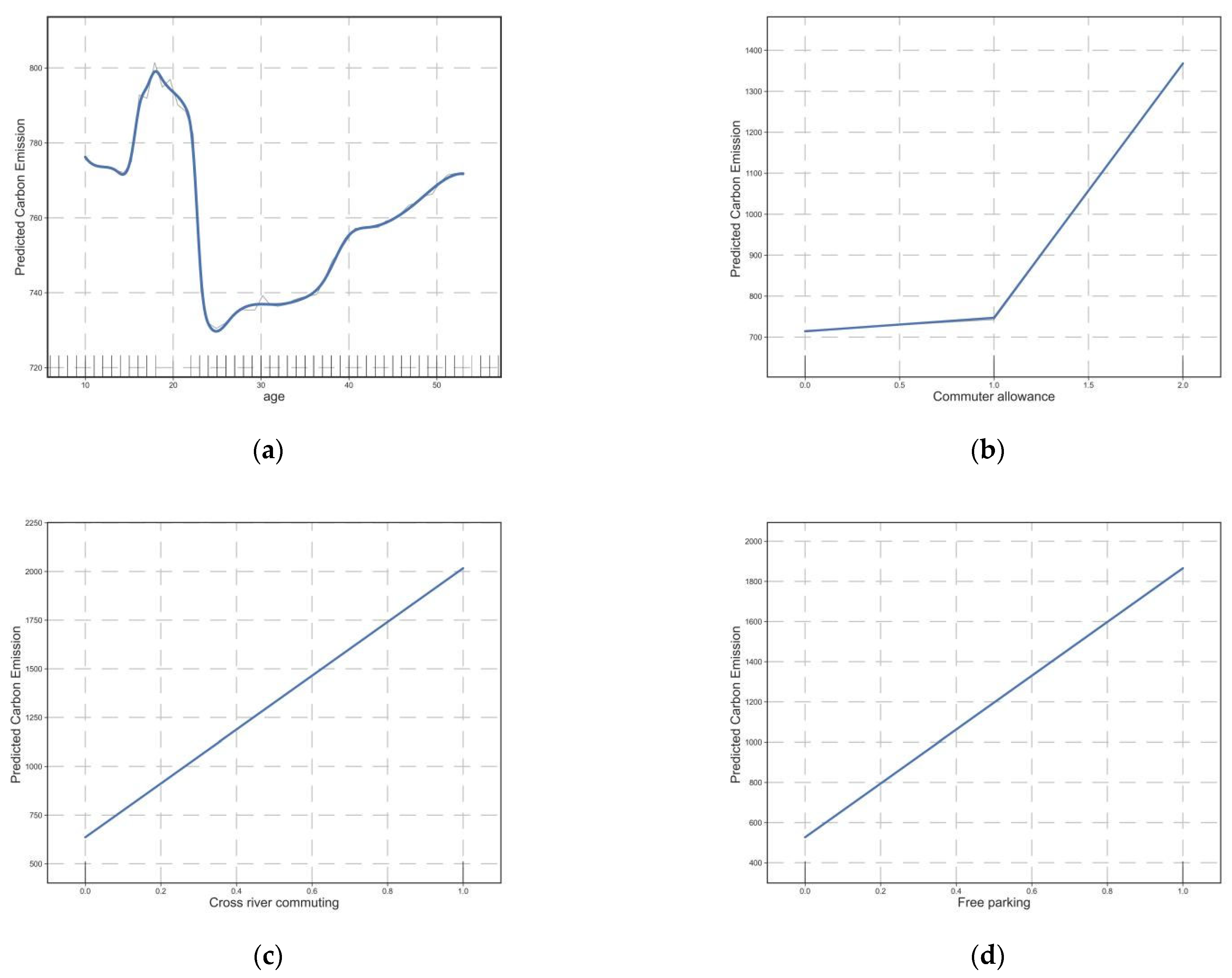
4.2. Nonlinear Influence of a Single Variable on Commuting CO2 Emissions
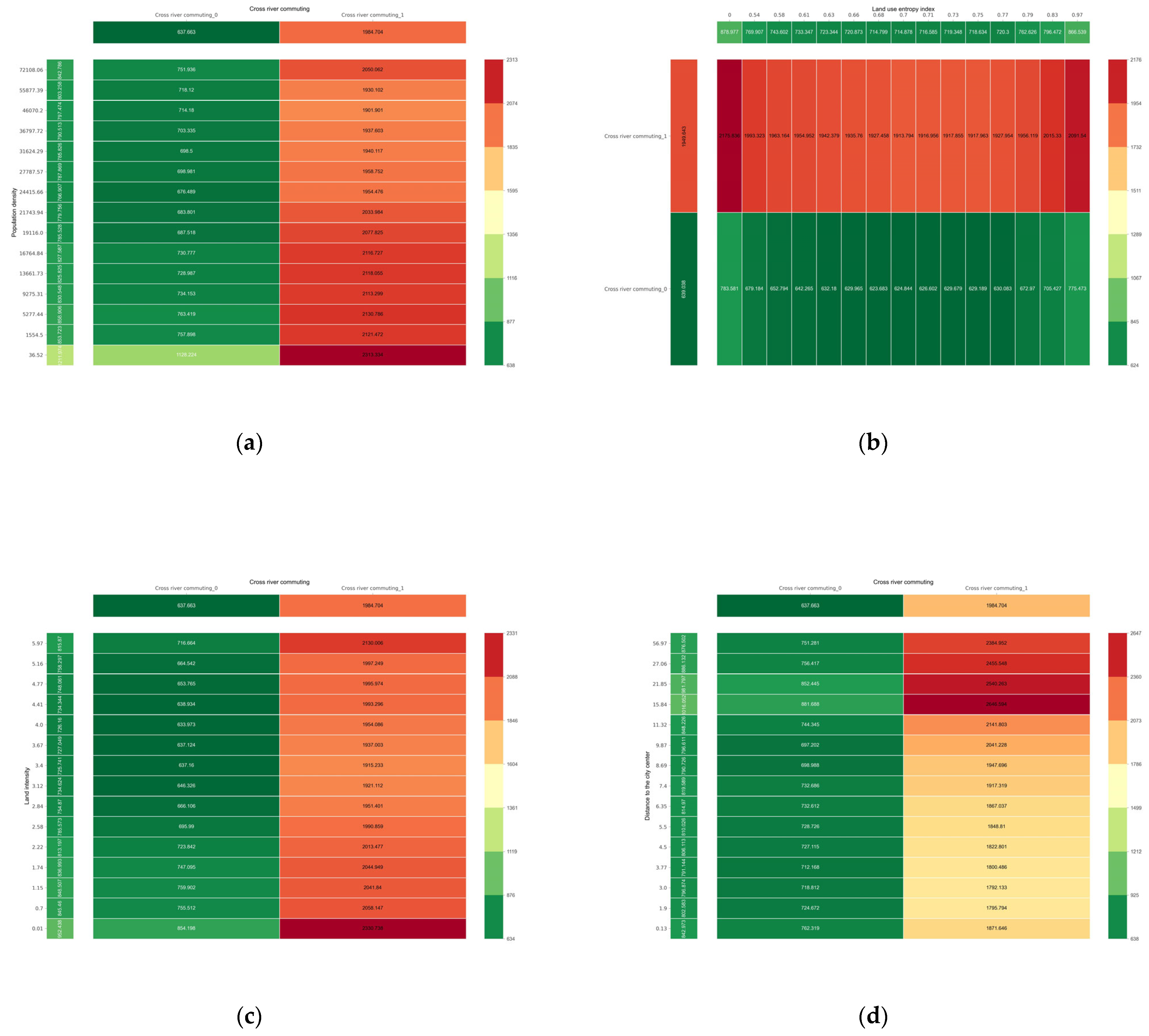
4.3. Synergistic Effects of Different Variables on CO2 Emissions
5. Discussion and Policy Recommendations
6. Conclusions
Author Contributions
Funding
Institutional Review Board Statement
Informed Consent Statement
Data Availability Statement
Conflicts of Interest
Appendix A

Appendix B
| Dep. Variable | Model | Method | R-Squared | Adj. R-Squared | F-Statistic | Prob (F-Statistic) | Log-Likelihood | AIC | BIC |
|---|---|---|---|---|---|---|---|---|---|
| Commuting carbon emissions | OLS | Least Squares | 0.289 | 0.288 | 539.9 | 0 | −2.49 × 105 | 4.99 × 105 | 4.99 × 105 |
References
- IEA. CO2 Emissions from Fuel Combustion Highlights 2019; IEA: Paris, France, 2019. [Google Scholar]
- Hu, Y.; Sobhani, A.; Ettema, D. Exploring commute mode choice in dual-earner households in a small Chinese city. Transp. Res. Part D-Transp. Environ. 2022, 102, 103148. [Google Scholar] [CrossRef]
- Cao, C.; Zhen, F.; Huang, X.J. How Does Perceived Neighborhood Environment Affect Commuting Mode Choice and Commuting CO2 Emissions? An Empirical Study of Nanjing, China. Int. J. Environ. Res. Public Health 2022, 19, 7649. [Google Scholar] [CrossRef] [PubMed]
- Handy, S. Methodologies for exploring the link between urban form and travel behavior. Transp. Res. Part D Transp. Environ. 1996, 1, 151–165. [Google Scholar] [CrossRef]
- Lee, S.; Lee, B. The influence of urban form on GHG emissions in the US household sector. Energy Policy 2014, 68, 534–549. [Google Scholar] [CrossRef]
- Bento, A.M.; Cropper, M.L.; Mobarak, A.M.; Vinha, K. The effects of urban spatial structure on travel demand in the United States. Rev. Econ. Stat. 2005, 87, 466–478. [Google Scholar] [CrossRef]
- Angel, S.; Parent, J.; Civco, D.L. Ten compactness properties of circles: Measuring shape in geography. Can. Geogr.-Geogr. Can. 2010, 54, 441–461. [Google Scholar] [CrossRef]
- Guerra, E.; Caudillo, C.; Monkkonen, P.; Montejano, J. Urban form, transit supply, and travel behavior in Latin America: Evidence from Mexico’s 100 largest urban areas. Transp. Policy 2018, 69, 98–105. [Google Scholar] [CrossRef]
- Cervero, R. Mixed land-uses and commuting: Evidence from the American Housing Survey. Transp. Res. Part A Policy Pract. 1996, 30, 361–377. [Google Scholar] [CrossRef]
- Hasibuan, H.S.; Mulyani, M. Transit-Oriented Development: Towards Achieving Sustainable Transport and Urban Development in Jakarta Metropolitan, Indonesia. Sustainability 2022, 14, 5244. [Google Scholar] [CrossRef]
- Cervero, R.; Gorham, R. Commuting in Transit Versus Automobile Neighborhoods. J. Am. Plan. Assoc. 2009, 61, 210–225. [Google Scholar] [CrossRef]
- Yang, W.Y.; Cao, X.S. Examining the effects of the neighborhood built environment on CO2 emissions from different residential trip purposes: A case study in Guangzhou, China. Cities 2018, 81, 24–34. [Google Scholar] [CrossRef]
- Cao, X.S.; Yang, W.Y. Examining the effects of the built environment and residential self-selection on commuting trips and the related CO2 emissions: An empirical study in Guangzhou, China. Transp. Res. Part D-Transp. Environ. 2017, 52, 480–494. [Google Scholar] [CrossRef]
- Chen, E.H.; Ye, Z.R.; Wu, H. Nonlinear effects of built environment on intermodal transit trips considering spatial heterogeneity. Transp. Res. Part D-Transp. Environ. 2021, 90, 102677. [Google Scholar] [CrossRef]
- Salon, D.; Boarnet, M.G.; Handy, S.; Spears, S.; Tal, G. How do local actions affect VMT? A critical review of the empirical evidence. Transp. Res. Part D Transp. Environ. 2012, 17, 495–508. [Google Scholar] [CrossRef]
- Stevens, M.R. Does Compact Development Make People Drive Less? J. Am. Plan. Assoc. 2017, 83, 7–18. [Google Scholar] [CrossRef]
- Ewing, R.; Cervero, R. Travel and the Built Environment: A meta-analysis. J. Am. Plan. Assoc. 2010, 76, 265–294. [Google Scholar] [CrossRef]
- Cao, J. Examining the Relationship Between Neighborhood Built Environment and Travel Behavior: A Review from the US Perspective. Urban Plan. Int. 2015, 4, 46–52. [Google Scholar]
- Wu, X.Y.; Tao, T.; Cao, J.S.; Fan, Y.L.; Ramaswami, A. Examining threshold effects of built environment elements on travel-related carbon-dioxide emissions. Transp. Res. Part D-Transp. Environ. 2019, 75, 1–12. [Google Scholar] [CrossRef]
- van Wee, B.; Handy, S. Key research themes on urban space, scale, and sustainable urban mobility. Int. J. Sustain. Transp. 2016, 10, 18–24. [Google Scholar] [CrossRef]
- Pang, H.; Zhang, M. Understand the Multi-Level Effects of the Built Environment on Trip-Chaining Behavior. Transp. Res. Rec. 2019, 2673, 640–651. [Google Scholar] [CrossRef]
- Ding, C.; Cao, X.Y.; Naess, P. Applying gradient boosting decision trees to examine non-linear effects of the built environment on driving distance in Oslo. Transp. Res. Part A-Policy Pract. 2018, 110, 107–117. [Google Scholar] [CrossRef]
- Ding, C.; Cao, X.Y.; Wang, Y.P. Synergistic effects of the built environment and commuting programs on commute mode choice. Transp. Res. Part A-Policy Pract. 2018, 118, 104–118. [Google Scholar] [CrossRef]
- Ding, C.; Cao, X.Y.; Yu, B.; Ju, Y. Non-linear associations between zonal built environment attributes and transit commuting mode choice accounting for spatial heterogeneity. Transp. Res. Part A-Policy Pract. 2021, 148, 22–35. [Google Scholar] [CrossRef]
- Yang, W.Y.; Li, T.; Cao, X.S. Examining the impacts of socio-economic factors, urban form and transportation development on CO2 emissions from transportation in China: A panel data analysis of China’s provinces. Habitat Int. 2015, 49, 212–220. [Google Scholar] [CrossRef]
- Cervero, R. Linking urban transport and land use in developing countries. J. Transp. Land Use 2013, 6, 7–24. [Google Scholar] [CrossRef]
- He, M.; Pu, L.; Liu, Y.; Shi, Z.; He, C.; Lei, J. Research on Nonlinear Associations and Interactions for Short-Distance Travel Mode Choice of Car Users. J. Adv. Transp. 2022, 2022, 8598320. [Google Scholar] [CrossRef]
- Zhang, W.J.; Zhang, M. Incorporating land use and pricing policies for reducing car dependence: Analytical framework and empirical evidence. Urban Stud. 2018, 55, 3012–3033. [Google Scholar] [CrossRef]
- Hankey, S.; Marshall, J.D. Impacts of urban form on future US passenger-vehicle greenhouse gas emissions. Energy Policy 2010, 38, 4880–4887. [Google Scholar] [CrossRef]
- Ao, Y.; Zhou, Z.; Wang, Y. Progress of research on the impacts of built environment on travel carbon emissions. Sci. Technol. Rev. 2022, 40, 94–105. [Google Scholar]
- Ewing, R.; Tian, G.; Goates, J.P.; Zhang, M.; Greenwald, M.J.; Joyce, A.; Kircher, J.; Greene, W. Varying influences of the built environment on household travel in 15 diverse regions of the United States. Urban Stud. 2015, 52, 2330–2348. [Google Scholar] [CrossRef]
- Cao, X.J.; Mokhtarian, P.L.; Handy, S.L. The relationship between the built environment and nonwork travel: A case study of Northern California. Transp. Res. Part A Policy Pract. 2009, 43, 548–559. [Google Scholar] [CrossRef]
- Ewing, R.; Cervero, R. Travel and the built environment—A synthesis. Transp. Res. Rec. 2001, 1780, 87–114. [Google Scholar] [CrossRef]
- Boarnet, G.M. A Broader Context for Land Use and Travel Behavior, and a Research Agenda. J. Am. Plan. Assoc. 2011, 77, 197–213. [Google Scholar] [CrossRef]
- Mokhtarian, P.L. Travel as a desired end, not just a means. Transp. Res. Part A Policy 2005, 39A, 93–96. [Google Scholar] [CrossRef]
- Cao, J. Land use and transportation in China. Transp. Res. Part D Transp. Environ. 2017, 52. [Google Scholar] [CrossRef]
- Liu, J.X.; Wang, B.; Xiao, L.Z. Non-linear associations between built environment and active travel for working and shopping: An extreme gradient boosting approach. J. Transp. Geogr. 2021, 92, 103034. [Google Scholar] [CrossRef]
- Cheng, L.; Chen, X.W.; De Vos, J.; Lai, X.J.; Witlox, F. Applying a random forest method approach to model travel mode choice behavior. Travel Behav. Soc. 2019, 14, 1–10. [Google Scholar] [CrossRef]
- Newman, P.; Kenworthy, J.R. Gasoline Consumption and Cities—A Comparison of U.S. Cities with a Global Survey and Some Implications; Transport Research Paper; Murdoch University: Perth, WA, Australia, 1987. [Google Scholar]
- Gallivan, F.; Rose, E.; Ewing, R.; Hamidi, S.; Brown, T. Quantifying Transit’s Impact on GHG Emissions and Energy Use—The Land Use Component; TCRP Report; Transportation Research Board: Washington, DC, USA, 2015. [Google Scholar]
- Frank, L.D.; Saelens, B.E.; Powell, K.E.; Chapman, J.E. Stepping towards causation: Do built environments or neighborhood and travel preferences explain physical activity, driving, and obesity? Soc. Sci. Med. 2007, 65, 1898–1914. [Google Scholar] [CrossRef]
- Ma, J.; Liu, Z.L.; Chai, Y.W. The impact of urban form on CO2 emission from work and non-work trips: The case of Beijing, China. Habitat Int. 2015, 47, 1–10. [Google Scholar] [CrossRef]
- Handy, S.L.; Boarnet, M.G.; Ewing, R.; Killingsworth, R.E. How the built environment affects physical activity—Views from urban planning. Am. J. Prev. Med. 2002, 23, 64–73. [Google Scholar] [CrossRef]
- Cervero, R.; Kockelman, K. Travel Demand and The 3ds: Density, Design And Diversity. Transp. Res. Part D Transp. 1997, 2, 199–219. [Google Scholar] [CrossRef]
- Brownstone, D.; Golob, T.F. The impact of residential density on vehicle usage and energy consumption. J. Urban Econ. 2009, 65, 91–98. [Google Scholar] [CrossRef]
- Barla, P.; Miranda-Moreno, L.F.; Lee-Gosselin, M. Urban travel CO2 emissions and land use: A case study for Quebec City. Transp. Res. Part D-Transp. Environ. 2011, 16, 423–428. [Google Scholar] [CrossRef]
- Xin, W.; Khattak, A.; Zhang, Y. Is Smart Growth Associated with Reductions in Carbon Dioxide Emissions? Transp. Res. Rec. J. Transp. Res. Board 2013, 2375, 62–70. [Google Scholar]
- Zahabi, S.A.H.; Miranda-Moreno, L.; Patterson, Z.; Barla, P.; Harding, C. Transportation Greenhouse Gas Emissions and its Relationship with Urban Form, Transit Accessibility and Emerging Green Technologies: A Montreal case study. In Proceedings of the 15th Meeting of the Euro-Working-Group-on-Transportation (EWGT), Cite Descartes, Paris, France, September 2012; pp. 966–978. [Google Scholar]
- Hong, J.; Goodchild, A. Land use policies and transport emissions: Modeling the impact of trip speed, vehicle characteristics and residential location. Transp. Res. Part D-Transp. Environ. 2014, 26, 47–51. [Google Scholar] [CrossRef]
- Hong, J. Non-linear influences of the built environment on transportation emissions: Focusing on densities. J. Transp. Land Use 2017, 10, 229–240. [Google Scholar] [CrossRef]
- Wang, D.G.; Lin, T. Residential self-selection, built environment, and travel behavior in the Chinese context. J. Transp. Land Use 2014, 7, 5–14. [Google Scholar] [CrossRef]
- Jiang, Y.; He, D.; Zegras, C. Impact of Neighborhood Land Use on Residents Travel Energy Consumption. Urban Transp. China 2011, 9, 21–29. [Google Scholar]
- Xiao, Z.P.; Chai, Y.W.; Liu, Z.L. Quantitative Distribution and Related Factors for Household Daily Travel CO2 Emissions in Beijing. Urban Stud. 2011, 18, 104–112. [Google Scholar]
- Guo, Z.; Agrawal, A.; Dill, J. Are Land Use Planning and Congestion Pricing Mutually Supportive? Evidence from a Pilot Mileage Fee Program in Portland, OR. Soc. Sci. Electron. Publ. 2011, 77, 232–250. [Google Scholar] [CrossRef]
- Lee, B.; Lee, Y. Complementary Pricing and Land Use Policies: Does It Lead to Higher Transit Use? J. Am. Plan. Assoc. 2013, 79, 314–328. [Google Scholar] [CrossRef]
- Yang, J.W.; Cao, J.; Zhou, Y.F. Elaborating non-linear associations and synergies of subway access and land uses with urban vitality in Shenzhen. Transp. Res. Part A-Policy Pract. 2021, 144, 74–88. [Google Scholar] [CrossRef]
- Sun, B.D.; Ermagun, A.; Dan, B. Built environmental impacts on commuting mode choice and distance: Evidence from Shanghai. Transp. Res. Part D-Transp. Environ. 2017, 52, 441–453. [Google Scholar] [CrossRef]
- Rong, P.J.; Zhang, L.J.; Qin, Y.C.; Xie, Z.X.; Li, Y.N. Spatial differentiation of daily travel carbon emissions in small- and medium-sized cities: An empirical study in Kaifeng, China. J. Clean. Prod. 2018, 197, 1365–1373. [Google Scholar] [CrossRef]
- Frank, L.D. Impacts of Mixed Used and Density on Utilization of Three Modes of Travel: Single-Occupant Vehicle, Transit, Walking. Transp. Res. Rec. J. Transp. Res. Board 1994, 1466, 44–52. [Google Scholar]
- World Resources Institute. Wuhan Transport Sector Carbon Emissions Roadmap Study; World Resources Institute: Beijing, China, 2019. [Google Scholar]
- Liang, G.; Chaoyang, Z.; Jianzhong, H.; Man, Y.; Yuxiao, M.; Hui, H. Commuting circle-based spatial structure optimization of megacities: A case study of wuhan central city. City Plan. Rev. 2019, 43, 12. [Google Scholar]
- Ho, T.K. The random subspace method for constructing decision forests. IEEE Trans. Pattern Anal. Mach. Intell. 1998, 20, 832–844. [Google Scholar]
- Breiman, L. Random forests. Mach. Learn. 2001, 45, 5–32. [Google Scholar] [CrossRef]
- Yang, L.C.; Ao, Y.B.; Ke, J.T.; Lu, Y.; Liang, Y. To walk or not to walk? Examining non-linear effects of streetscape greenery on walking propensity of older adults. J. Transp. Geogr. 2021, 94, 103099. [Google Scholar] [CrossRef]
- Zang, P.; Qiu, H.L.; Xian, F.; Yang, L.C.; Qiu, Y.A.; Guo, H.X. Nonlinear Effects of the Built Environment on Light Physical Activity among Older Adults: The Case of Lanzhou, China. Int. J. Environ. Res. Public Health 2022, 19, 8848. [Google Scholar] [CrossRef]
- Wei, D.; Yang, L.C.; Bao, Z.K.; Lu, Y.; Yang, H.T. Variations in outdoor thermal comfort in an urban park in the hot-summer and cold-winter region of China. Sustain. Cities Soc. 2022, 77, 103535. [Google Scholar] [CrossRef]
- Cheng, L.; De Vos, J.; Zhao, P.J.; Yang, M.; Witlox, F. Examining non-linear built environment effects on elderly’s walking: A random forest approach. Transp. Res. Part D-Transp. Environ. 2020, 88, 102552. [Google Scholar] [CrossRef]
- Cao, X.Y.; Naess, P.; Wolday, F. Examining the effects of the built environment on auto ownership in two Norwegian urban regions. Transp. Res. Part D-Transp. Environ. 2019, 67, 464–474. [Google Scholar] [CrossRef]
- Zhang, W.J.; Lu, D.M.; Zhao, Y.J.; Luo, X.Y.; Yin, J. Incorporating polycentric development and neighborhood life-circle planning for reducing driving in Beijing: Nonlinear and threshold analysis. Cities 2022, 121, 103488. [Google Scholar] [CrossRef]
- Wuhan Municipal Bureau of Statistics. Wuhan Statistical Yearbook; Wuhan Municipal Bureau of Statistics: Wuhan, China, 2021. [Google Scholar]











| Year | Zone | Resident Population and Scale | Survey Population and Household Size | Sample Rate |
|---|---|---|---|---|
| 1987 | Main urban area | 330,000 people 940,000 households | — | — |
| 1998 | Main urban area | 3,810,000 people | 76,000 people | 2.0% |
| 150,000 households | 24,000 households | |||
| 2008 | City area | 870,000 people | 120,000 people | 1.5% |
| 200,000 households | 38,000 households | |||
| 2020 | City area | 12,320,000 people | 40,000 people | 0.5% |
| 4,080,000 households | 15,000 households |
| Traffic Category | Means of Transportation | Carbon Emission Coefficient (g/(km per Person)) |
|---|---|---|
| Small cars | Private car, unit car, car rental | 135 |
| Bus class | Bus and unit shuttle bus | 50 |
| Rail transportation category | Subway | 9.1 |
| Personal assistance class | Electric bicycle/moped, light motorcycle | 8 |
| Others | Walking, cycling | 0 |
| Variables | Description | Mean. | Std. | Min | Max | |||
|---|---|---|---|---|---|---|---|---|
| Dependent variable | Commuting CO2 emissions | Daily commute CO2 emissions | Commuting carbon emissions per respondent per day (in grams) | 717.30 | 1424.03 | 0.00 | 13154.26 | |
| Independent variable | Built environment | District Location | Distance from the city center | Distance to Hankou, the first-class urban center of Wuhan (in km) | 10.73 | 9.92 | 0.13 | 56.97 |
| Distance to the nearest cluster center | Distance to the center of the nearest cluster (in km) | 7.93 | 10.93 | 0.16 | 76.68 | |||
| Public transport accessibility | Distance to nearest public transport stop | Distance (in km) from the respondent’s residence to the nearest bus stop (both metro and surface bus) | 0.74 | 3.40 | 0.002 | 29.09 | ||
| Density of public transport stations | Number of public transport stops within a 15 min walking isochronous circle of the respondent | 50.25 | 34.56 | 0.00 | 151.00 | |||
| Density | Population density | Residential density (persons/km2) within a 15 min walking isochronous circle of respondents | 24595.50 | 17363.19 | 36.52 | 72108.06 | ||
| Job density | Job density (persons/km2) within a 15 min walking isochronous circle of respondents | 16483.62 | 11181.14 | 135.20 | 46206.18 | |||
| Land use intensity | Floor area ratio of sites within a 15 min walking isochronous circle of the respondent | 3.05 | 1.46 | 0.01 | 5.97 | |||
| Design | Intersection density | Density of intersections of four or more roads within a 15 min walking isochronous circle of respondents (pcs/km2) | 16.68 | 9.97 | 0.64 | 53.19 | ||
| Road network density | Density of the road network within a 15 min walking isochronous circle of the respondent (in km/km2) | 7.28 | 3.58 | 0.01 | 42.26 | |||
| Diversity | Land use mixed entropy index | Mixed entropy of land use within a 15 min walking isochronous circle of respondents | 0.68 | 0.12 | 0.00 | 0.97 | ||
| Cross River Commute | Whether the respondent has a cross-river commute, dummy variable, yes = 1, no = 0 | 0.07 | 0.25 | 0.00 | 1.00 | |||
| Socio-demographics | Age | Age of respondent | 32.47 | 11.83 | 6.00 | 86.00 | ||
| Gender | Respondent gender, dummy variable, male = 1, female = 0 | 0.55 | 0.50 | 0.00 | 1.00 | |||
| Employment status | Whether the respondent is a full-time working employee, dummy variable, yes = 1, no = 0 | 0.56 | 0.50 | 0.00 | 1.00 | |||
| Family size | Number of family members interviewed | 2.91 | 0.94 | 1.00 | 7.00 | |||
| Family income | Respondent’s annual household income, dummy variable, less than CNY 50,000 = 1, CNY 50,000–100,000 = 2, CNY 100,000–250,000 = 3, CNY 250,000–400,000 = 4, CNY 400,000–55,0000 = 5, CNY 550000–70,0000 = 6, greater than CNY 700,000 = 7 | 2.87 | 0.85 | 1.00 | 7.00 | |||
| Car ownership | Whether the respondent’s household owns a private car, dummy variable, yes = 1, no = 0 | 0.60 | 0.49 | 0.00 | 1.00 | |||
| Housing area | Respondent’s household housing size, dummy variable, below 40 m2 = 1, 40–70 m2 = 2, 70–90 m2 = 3, 90–110 m2 = 4, 110–120 m2 = 5, 120–150 m2 = 6, greater than 150 m2 = 7 | 3.59 | 1.11 | 1.00 | 7.00 | |||
| Education level | Respondents’ degree status, dummy variable, primary school and below = 1, middle school = 2, high school = 3, undergraduate = 4, undergraduate and above = 5, postgraduate and above = 6 | 3.31 | 1.01 | 1.00 | 6.00 | |||
| Transport Demand Management | Destination parking facilities | Does the respondent’s destination offer free parking, yes = 1, no = 0 | 0.18 | 0.39 | 0.00 | 1.00 | ||
| Transport allowance | Does the respondent have a transport subsidy, no = 0, public transport subsidy = 1, fuel, taxi subsidy = 2 | 0.17 | 0.50 | 0.00 | 2.00 | |||
| Variable | Rank | Importance (%) | Total Importance (%) | |
|---|---|---|---|---|
| Built environment variable | Distance from the city center | 4 | 6.15% | |
| Distance from the nearest group center | 6 | 5.10% | ||
| Distance to the nearest public transport station | 10 | 4.46% | 60.21% | |
| Public transportation station density | 12 | 4.02% | ||
| Population density | 5 | 5.41% | ||
| Job density | 3 | 6.32% | ||
| Land development intensity | 8 | 4.83% | ||
| Intersection density | 9 | 4.54% | ||
| Mixed entropy index of land use | 11 | 4.44% | ||
| Cross-river commuting | 2 | 11.09% | ||
| Road network density | 13 | 3.85% | ||
| Socio-demographic characteristics | Age | 7 | 4.96% | |
| Gender | 17 | 1.89% | ||
| Employment status | 21 | 1.02% | ||
| Family size | 19 | 1.84% | ||
| Family income | 20 | 1.81% | 18.75% | |
| Car ownership | 14 | 3.39% | ||
| Housing area | 16 | 1.99% | ||
| Level of education | 18 | 1.85% | ||
| Traffic demand management policy | Free parking | 1 | 18.29% | |
| Traffic allowance | 15 | 2.75% | 21.04% | |
Disclaimer/Publisher’s Note: The statements, opinions and data contained in all publications are solely those of the individual author(s) and contributor(s) and not of MDPI and/or the editor(s). MDPI and/or the editor(s) disclaim responsibility for any injury to people or property resulting from any ideas, methods, instructions or products referred to in the content. |
© 2023 by the authors. Licensee MDPI, Basel, Switzerland. This article is an open access article distributed under the terms and conditions of the Creative Commons Attribution (CC BY) license (https://creativecommons.org/licenses/by/4.0/).
Share and Cite
Guo, L.; Yang, S.; Zhang, Q.; Zhou, L.; He, H. Examining the Nonlinear and Synergistic Effects of Multidimensional Elements on Commuting Carbon Emissions: A Case Study in Wuhan, China. Int. J. Environ. Res. Public Health 2023, 20, 1616. https://doi.org/10.3390/ijerph20021616
Guo L, Yang S, Zhang Q, Zhou L, He H. Examining the Nonlinear and Synergistic Effects of Multidimensional Elements on Commuting Carbon Emissions: A Case Study in Wuhan, China. International Journal of Environmental Research and Public Health. 2023; 20(2):1616. https://doi.org/10.3390/ijerph20021616
Chicago/Turabian StyleGuo, Liang, Shuo Yang, Qinghao Zhang, Leyu Zhou, and Hui He. 2023. "Examining the Nonlinear and Synergistic Effects of Multidimensional Elements on Commuting Carbon Emissions: A Case Study in Wuhan, China" International Journal of Environmental Research and Public Health 20, no. 2: 1616. https://doi.org/10.3390/ijerph20021616
APA StyleGuo, L., Yang, S., Zhang, Q., Zhou, L., & He, H. (2023). Examining the Nonlinear and Synergistic Effects of Multidimensional Elements on Commuting Carbon Emissions: A Case Study in Wuhan, China. International Journal of Environmental Research and Public Health, 20(2), 1616. https://doi.org/10.3390/ijerph20021616
