Development and Assessment of a Novel Core Biopsy-Based Prediction Model for Pathological Complete Response to Neoadjuvant Chemotherapy in Women with Breast Cancer
Abstract
1. Introduction
2. Patients and Methods
2.1. Study Subjects
2.2. Pathologic Assessment
2.3. Clinical Assessment
2.4. Data Processing and Analysis
2.5. Nomogram Development and Assessment
3. Results
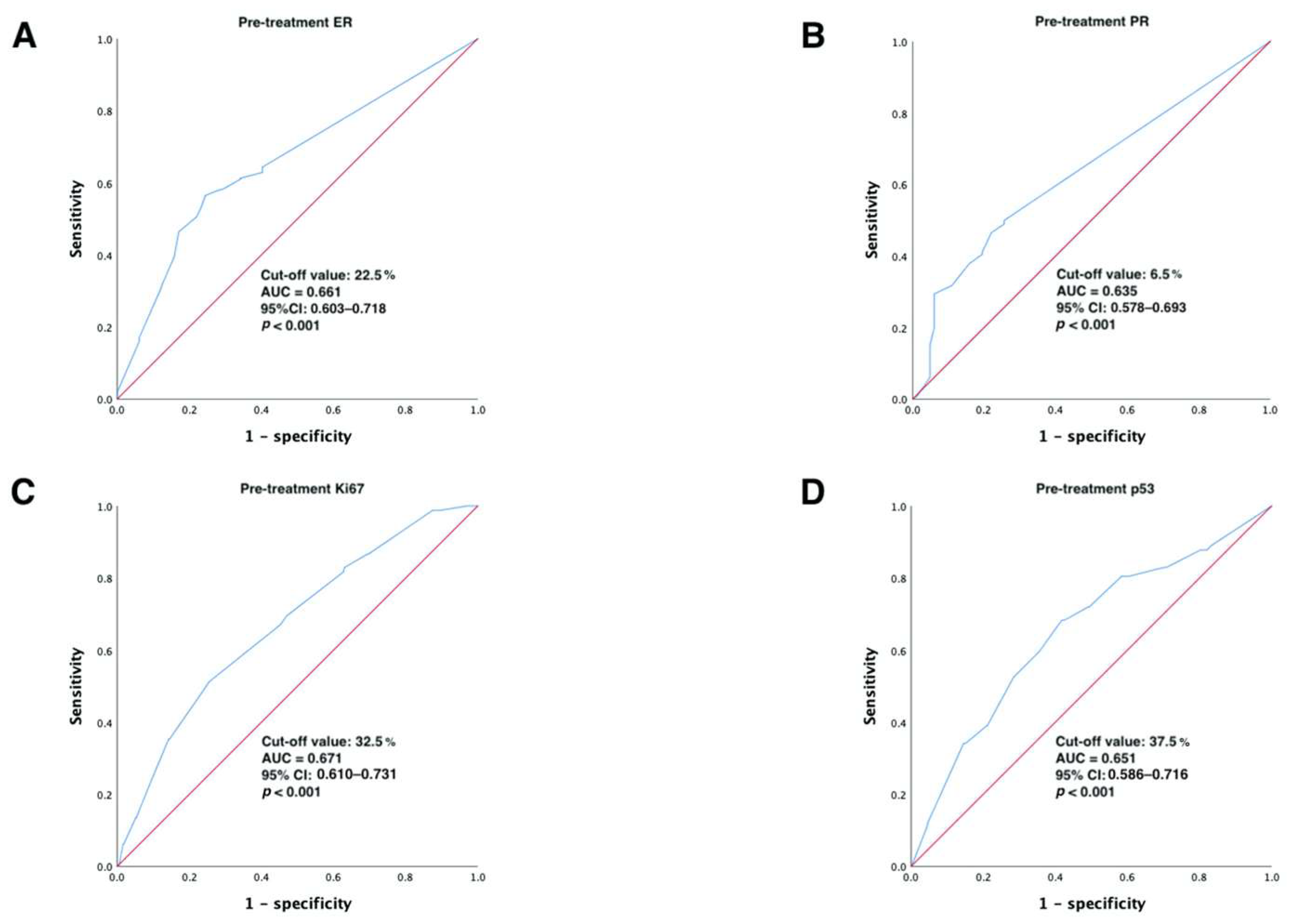
3.1. Convert Continuous Variables to Categorical Variables
3.2. Patient Baseline Characteristics in the Primary Cohort and Univariate Analysis
3.3. Binary Logistic Regression Analysis
3.4. Develop and Assess the Nomogram
4. Discussion
4.1. Clinical Tumor Staging
4.2. Clinical Nodal Status
4.3. ER Status
4.4. Ki67 Status
4.5. p53 Status
4.6. Prediction Model
5. Strengths and Limitations
6. Conclusions
Supplementary Materials
Author Contributions
Funding
Institutional Review Board Statement
Informed Consent Statement
Data Availability Statement
Conflicts of Interest
References
- Sung, H.; Ferlay, J.; Siegel, R.L.; Laversanne, M.; Soerjomataram, I.; Jemal, A.; Bray, F. Global Cancer Statistics 2020: GLOBOCAN Estimates of Incidence and Mortality Worldwide for 36 Cancers in 185 Countries. CA Cancer J. Clin. 2021, 71, 209–249. [Google Scholar] [CrossRef]
- Harbeck, N.; Gnant, M. Breast cancer. Lancet 2017, 389, 1134–1150. [Google Scholar] [CrossRef] [PubMed]
- Kruiswijk, F.; Labuschagne, C.F.; Vousden, K.H. p53 in survival, death and metabolic health: A lifeguard with a licence to kill. Nat. Rev. Mol. Cell Biol. 2015, 16, 393–405. [Google Scholar] [CrossRef] [PubMed]
- Williams, C.; Norberg, T.; Ahmadian, A.; Pontén, F.; Bergh, J.; Inganäs, M.; Lundeberg, J.; Uhlén, M. Assessment of sequence-based p53 gene analysis in human breast cancer: Messenger RNA in comparison with genomic DNA targets. Clin. Chem. 1998, 44, 455–462. [Google Scholar] [CrossRef]
- Hassin, O.; Oren, M. Drugging p53 in cancer: One protein, many targets. Nat. Rev. Drug Discov. 2022, 1–18. [Google Scholar] [CrossRef] [PubMed]
- Shahbandi, A.; Nguyen, H.D.; Jackson, J.G. TP53 Mutations and Outcomes in Breast Cancer: Reading beyond the Headlines. Trends Cancer 2020, 6, 98–110. [Google Scholar] [CrossRef]
- Slostad, J.A.; Yun, N.K.; Schad, A.E.; Warrior, S.; Fogg, L.F.; Rao, R. Concordance of breast cancer biomarker testing in core needle biopsy and surgical specimens: A single institution experience. Cancer Med. 2022. [Google Scholar] [CrossRef]
- Burstein, H.J.; Curigliano, G.; Thürlimann, B.; Weber, W.P.; Poortmans, P.; Regan, M.M.; Senn, H.J.; Winer, E.P.; Gnant, M. Customizing local and systemic therapies for women with early breast cancer: The St. Gallen International Consensus Guidelines for treatment of early breast cancer 2021. Ann. Oncol. 2021, 32, 1216–1235. [Google Scholar] [CrossRef]
- Gralow, J.R.; Burstein, H.J.; Wood, W.; Hortobagyi, G.N.; Gianni, L.; von Minckwitz, G.; Buzdar, A.U.; Smith, I.E.; Symmans, W.F.; Singh, B.; et al. Preoperative therapy in invasive breast cancer: Pathologic assessment and systemic therapy issues in operable disease. J. Clin. Oncol. 2008, 26, 814–819. [Google Scholar] [CrossRef]
- Cortazar, P.; Zhang, L.; Untch, M.; Mehta, K.; Costantino, J.P.; Wolmark, N.; Bonnefoi, H.; Cameron, D.; Gianni, L.; Valagussa, P.; et al. Pathological complete response and long-term clinical benefit in breast cancer: The CTNeoBC pooled analysis. Lancet 2014, 384, 164–172. [Google Scholar] [CrossRef]
- Gradishar, W.J.; Moran, M.S.; Abraham, J.; Aft, R.; Agnese, D.; Allison, K.H.; Anderson, B.; Burstein, H.J.; Chew, H.; Dang, C.; et al. Breast Cancer, Version 3.2022, NCCN Clinical Practice Guidelines in Oncology. J. Natl. Compr. Cancer Netw. 2022, 20, 691–722. [Google Scholar] [CrossRef]
- Bonnefoi, H.; Litière, S.; Piccart, M.; MacGrogan, G.; Fumoleau, P.; Brain, E.; Petit, T.; Rouanet, P.; Jassem, J.; Moldovan, C.; et al. Pathological complete response after neoadjuvant chemotherapy is an independent predictive factor irrespective of simplified breast cancer intrinsic subtypes: A landmark and two-step approach analyses from the EORTC 10994/BIG 1-00 phase III trial. Ann. Oncol. 2014, 25, 1128–1136. [Google Scholar] [CrossRef] [PubMed]
- Wang-Lopez, Q.; Chalabi, N.; Abrial, C.; Radosevic-Robin, N.; Durando, X.; Mouret-Reynier, M.A.; Benmammar, K.E.; Kullab, S.; Bahadoor, M.; Chollet, P.; et al. Can pathologic complete response (pCR) be used as a surrogate marker of survival after neoadjuvant therapy for breast cancer? Crit. Rev. Oncol. Hematol. 2015, 95, 88–104. [Google Scholar] [CrossRef] [PubMed]
- Miglietta, F.; Dieci, M.V.; Griguolo, G.; Guarneri, V. Neoadjuvant approach as a platform for treatment personalization: Focus on HER2-positive and triple-negative breast cancer. Cancer Treat. Rev. 2021, 98, 102222. [Google Scholar] [CrossRef] [PubMed]
- Heil, J.; Kuerer, H.M.; Pfob, A.; Rauch, G.; Sinn, H.P.; Golatta, M.; Liefers, G.J.; Vrancken Peeters, M.J. Eliminating the breast cancer surgery paradigm after neoadjuvant systemic therapy: Current evidence and future challenges. Ann. Oncol. 2020, 31, 61–71. [Google Scholar] [CrossRef]
- Jiang, M.; Li, C.L.; Luo, X.M.; Chuan, Z.R.; Lv, W.Z.; Li, X.; Cui, X.W.; Dietrich, C.F. Ultrasound-based deep learning radiomics in the assessment of pathological complete response to neoadjuvant chemotherapy in locally advanced breast cancer. Eur. J. Cancer 2021, 147, 95–105. [Google Scholar] [CrossRef]
- Piñeros, M.; Parkin, D.M.; Ward, K.; Chokunonga, E.; Ervik, M.; Farrugia, H.; Gospodarowicz, M.; O’Sullivan, B.; Soerjomataram, I.; Swaminathan, R.; et al. Essential TNM: A registry tool to reduce gaps in cancer staging information. Lancet Oncol. 2019, 20, e103–e111. [Google Scholar] [CrossRef] [PubMed]
- Kwa, M.; Makris, A.; Esteva, F.J. Clinical utility of gene-expression signatures in early stage breast cancer. Nat. Rev. Clin. Oncol. 2017, 14, 595–610. [Google Scholar] [CrossRef]
- Stanton, S.E.; Adams, S.; Disis, M.L. Variation in the Incidence and Magnitude of Tumor-Infiltrating Lymphocytes in Breast Cancer Subtypes: A Systematic Review. JAMA Oncol. 2016, 2, 1354–1360. [Google Scholar] [CrossRef]
- Conti, A.; Duggento, A.; Indovina, I.; Guerrisi, M.; Toschi, N. Radiomics in breast cancer classification and prediction. Semin. Cancer Biol. 2021, 72, 238–250. [Google Scholar] [CrossRef]
- Barron, A.U.; Hoskin, T.L.; Day, C.N.; Hwang, E.S.; Kuerer, H.M.; Boughey, J.C. Association of Low Nodal Positivity Rate Among Patients With ERBB2-Positive or Triple-Negative Breast Cancer and Breast Pathologic Complete Response to Neoadjuvant Chemotherapy. JAMA Surg. 2018, 153, 1120–1126. [Google Scholar] [CrossRef] [PubMed]
- Livingston-Rosanoff, D.; Schumacher, J.; Vande Walle, K.; Stankowski-Drengler, T.; Greenberg, C.C.; Neuman, H.; Wilke, L.G. Does Tumor Size Predict Response to Neoadjuvant Chemotherapy in the Modern Era of Biologically Driven Treatment? A Nationwide Study of US Breast Cancer Patients. Clin. Breast Cancer 2019, 19, e741–e747. [Google Scholar] [CrossRef]
- Lips, E.H.; Mulder, L.; de Ronde, J.J.; Mandjes, I.A.; Koolen, B.B.; Wessels, L.F.; Rodenhuis, S.; Wesseling, J. Breast cancer subtyping by immunohistochemistry and histological grade outperforms breast cancer intrinsic subtypes in predicting neoadjuvant chemotherapy response. Breast Cancer Res. Treat. 2013, 140, 63–71. [Google Scholar] [CrossRef]
- Li, B.; Li, F.; Liu, Z.; Xu, F.; Ye, G.; Li, W.; Zhang, Y.; Zhu, T.; Shao, L.; Chen, C.; et al. Deep learning with biopsy whole slide images for pretreatment prediction of pathological complete response to neoadjuvant chemotherapy in breast cancer: A multicenter study. Breast 2022, 66, 183–190. [Google Scholar] [CrossRef] [PubMed]
- Edlund, K.; Madjar, K.; Lebrecht, A.; Aktas, B.; Pilch, H.; Hoffmann, G.; Hofmann, M.; Kolberg, H.C.; Boehm, D.; Battista, M.; et al. Gene Expression-Based Prediction of Neoadjuvant Chemotherapy Response in Early Breast Cancer: Results of the Prospective Multicenter EXPRESSION Trial. Clin. Cancer Res. 2021, 27, 2148–2158. [Google Scholar] [CrossRef] [PubMed]
- Liu, Z.; Li, Z.; Qu, J.; Zhang, R.; Zhou, X.; Li, L.; Sun, K.; Tang, Z.; Jiang, H.; Li, H.; et al. Radiomics of Multiparametric MRI for Pretreatment Prediction of Pathologic Complete Response to Neoadjuvant Chemotherapy in Breast Cancer: A Multicenter Study. Clin. Cancer Res. 2019, 25, 3538–3547. [Google Scholar] [CrossRef] [PubMed]
- Eun, N.L.; Kang, D.; Son, E.J.; Park, J.S.; Youk, J.H.; Kim, J.A.; Gweon, H.M. Texture Analysis with 3.0-T MRI for Association of Response to Neoadjuvant Chemotherapy in Breast Cancer. Radiology 2020, 294, 31–41. [Google Scholar] [CrossRef]
- Phung, M.T.; Tin Tin, S.; Elwood, J.M. Prognostic models for breast cancer: A systematic review. BMC Cancer 2019, 19, 230. [Google Scholar] [CrossRef]
- Wu, C.; Jarrett, A.M.; Zhou, Z.; Elshafeey, N.; Adrada, B.E.; Candelaria, R.P.; Mohamed, R.M.M.; Boge, M.; Huo, L.; White, J.B.; et al. MRI-based digital models forecast patient-specific treatment responses to neoadjuvant chemotherapy in triple-negative breast cancer. Cancer Res. 2022, 82, 3394–3404. [Google Scholar] [CrossRef]
- Nicolini, A.; Ferrari, P.; Duffy, M.J. Prognostic and predictive biomarkers in breast cancer: Past, present and future. Semin Cancer Biol 2018, 52, 56–73. [Google Scholar] [CrossRef]
- Fitzgibbons, P.L.; Page, D.L.; Weaver, D.; Thor, A.D.; Allred, D.C.; Clark, G.M.; Ruby, S.G.; O’Malley, F.; Simpson, J.F.; Connolly, J.L.; et al. Prognostic factors in breast cancer. College of American Pathologists Consensus Statement 1999. Arch. Pathol Lab. Med. 2000, 124, 966–978. [Google Scholar] [CrossRef] [PubMed]
- Sauter, G.; Lee, J.; Bartlett, J.M.; Slamon, D.J.; Press, M.F. Guidelines for human epidermal growth factor receptor 2 testing: Biologic and methodologic considerations. J. Clin. Oncol. 2009, 27, 1323–1333. [Google Scholar] [CrossRef]
- Goldhirsch, A.; Wood, W.C.; Coates, A.S.; Gelber, R.D.; Thürlimann, B.; Senn, H.J. Strategies for subtypes--dealing with the diversity of breast cancer: Highlights of the St. Gallen International Expert Consensus on the Primary Therapy of Early Breast Cancer 2011. Ann. Oncol. 2011, 22, 1736–1747. [Google Scholar] [CrossRef] [PubMed]
- Allison, K.H.; Hammond, M.E.H.; Dowsett, M.; McKernin, S.E.; Carey, L.A.; Fitzgibbons, P.L.; Hayes, D.F.; Lakhani, S.R.; Chavez-MacGregor, M.; Perlmutter, J.; et al. Estrogen and Progesterone Receptor Testing in Breast Cancer: ASCO/CAP Guideline Update. J. Clin. Oncol. 2020, 38, 1346–1366. [Google Scholar] [CrossRef] [PubMed]
- Ogston, K.N.; Miller, I.D.; Payne, S.; Hutcheon, A.W.; Sarkar, T.K.; Smith, I.; Schofield, A.; Heys, S.D. A new histological grading system to assess response of breast cancers to primary chemotherapy: Prognostic significance and survival. Breast 2003, 12, 320–327. [Google Scholar] [CrossRef]
- Mazouni, C.; Peintinger, F.; Wan-Kau, S.; Andre, F.; Gonzalez-Angulo, A.M.; Symmans, W.F.; Meric-Bernstam, F.; Valero, V.; Hortobagyi, G.N.; Pusztai, L. Residual ductal carcinoma in situ in patients with complete eradication of invasive breast cancer after neoadjuvant chemotherapy does not adversely affect patient outcome. J. Clin. Oncol. 2007, 25, 2650–2655. [Google Scholar] [CrossRef]
- Derouane, F.; van Marcke, C.; Berlière, M.; Gerday, A.; Fellah, L.; Leconte, I.; Van Bockstal, M.R.; Galant, C.; Corbet, C.; Duhoux, F.P. Predictive Biomarkers of Response to Neoadjuvant Chemotherapy in Breast Cancer: Current and Future Perspectives for Precision Medicine. Cancers 2022, 14, 3876. [Google Scholar] [CrossRef]
- Du, S.; Gao, S.; Zhao, R.; Liu, H.; Wang, Y.; Qi, X.; Li, S.; Cao, J.; Zhang, L. Contrast-free MRI quantitative parameters for early prediction of pathological response to neoadjuvant chemotherapy in breast cancer. Eur. Radiol. 2022, 32, 5759–5772. [Google Scholar] [CrossRef]
- Ye, P.; Duan, H.; Zhao, Z.; Fang, S. A Practical Predictive Model Based on Ultrasound Imaging and Clinical Indices for Estimation of Response to Neoadjuvant Chemotherapy in Patients with Breast Cancer. Cancer Manag. Res. 2021, 13, 7783–7793. [Google Scholar] [CrossRef]
- Keam, B.; Im, S.A.; Park, S.; Nam, B.H.; Han, S.W.; Oh, D.Y.; Kim, J.H.; Lee, S.H.; Han, W.; Kim, D.W.; et al. Nomogram predicting clinical outcomes in breast cancer patients treated with neoadjuvant chemotherapy. J. Cancer Res. Clin. Oncol. 2011, 137, 1301–1308. [Google Scholar] [CrossRef]
- Schipper, R.J.; Moossdorff, M.; Beets-Tan, R.G.H.; Smidt, M.L.; Lobbes, M.B.I. Noninvasive nodal restaging in clinically node positive breast cancer patients after neoadjuvant systemic therapy: A systematic review. Eur. J. Radiol. 2015, 84, 41–47. [Google Scholar] [CrossRef] [PubMed]
- Zhu, J.; Jiao, D.; Yan, M.; Chen, X.; Wang, C.; Lu, Z.; Li, L.; Sun, X.; Qin, L.; Guo, X.; et al. Establishment and Verification of a Predictive Model for Node Pathological Complete Response After Neoadjuvant Chemotherapy for Initial Node Positive Early Breast Cancer. Front. Oncol. 2021, 11, 675070. [Google Scholar] [CrossRef] [PubMed]
- Kim, R.; Chang, J.M.; Lee, H.B.; Lee, S.H.; Kim, S.Y.; Kim, E.S.; Cho, N.; Moon, W.K. Predicting Axillary Response to Neoadjuvant Chemotherapy: Breast MRI and US in Patients with Node-Positive Breast Cancer. Radiology 2019, 293, 49–57. [Google Scholar] [CrossRef] [PubMed]
- Haque, W.; Verma, V.; Hatch, S.; Suzanne Klimberg, V.; Brian Butler, E.; Teh, B.S. Response rates and pathologic complete response by breast cancer molecular subtype following neoadjuvant chemotherapy. Breast Cancer Res. Treat. 2018, 170, 559–567. [Google Scholar] [CrossRef]
- Shen, G.; Zhao, F.; Huo, X.; Ren, D.; Du, F.; Zheng, F.; Zhao, J. Meta-Analysis of HER2-Enriched Subtype Predicting the Pathological Complete Response Within HER2-Positive Breast Cancer in Patients Who Received Neoadjuvant Treatment. Front. Oncol. 2021, 11, 632357. [Google Scholar] [CrossRef]
- Weisman, P.; Ospina-Romero, M.; Yu, Q.; Wisinski, K.; Xu, J. HER2-positive/ER-low breast carcinoma shows a response to neoadjuvant chemotherapy similar to that of HER2-positive/ER-negative breast carcinoma. Pathol. Res. Pr. 2022, 238, 154087. [Google Scholar] [CrossRef]
- Osako, T.; Nishimura, R.; Okumura, Y.; Toyozumi, Y.; Arima, N. Predictive significance of the proportion of ER-positive or PgR-positive tumor cells in response to neoadjuvant chemotherapy for operable HER2-negative breast cancer. Exp. Med. 2012, 3, 66–71. [Google Scholar] [CrossRef]
- Raphael, J.; Gandhi, S.; Li, N.; Lu, F.I.; Trudeau, M. The role of quantitative estrogen receptor status in predicting tumor response at surgery in breast cancer patients treated with neoadjuvant chemotherapy. Breast Cancer Res. Treat. 2017, 164, 285–294. [Google Scholar] [CrossRef] [PubMed]
- Li, L.; Han, D.; Wang, X.; Wang, Q.; Tian, J.; Yao, J.; Yuan, L.; Qian, K.; Zou, Q.; Yi, W.; et al. Prognostic values of Ki-67 in neoadjuvant setting for breast cancer: A systematic review and meta-analysis. Future Oncol. 2017, 13, 1021–1034. [Google Scholar] [CrossRef]
- Chen, X.; He, C.; Han, D.; Zhou, M.; Wang, Q.; Tian, J.; Li, L.; Xu, F.; Zhou, E.; Yang, K. The predictive value of Ki-67 before neoadjuvant chemotherapy for breast cancer: A systematic review and meta-analysis. Future Oncol. 2017, 13, 843–857. [Google Scholar] [CrossRef]
- Li, X.; Niu, Z.; Sun, C.; Zhuo, S.; Yang, H.; Yang, X.; Liu, Y.; Yan, C.; Li, Z.; Cao, Q.; et al. Regulation of P53 signaling in breast cancer by the E3 ubiquitin ligase RNF187. Cell Death Dis. 2022, 13, 149. [Google Scholar] [CrossRef] [PubMed]
- Kastenhuber, E.R.; Lowe, S.W. Putting p53 in Context. Cell 2017, 170, 1062–1078. [Google Scholar] [CrossRef] [PubMed]
- Chen, M.B.; Zhu, Y.Q.; Xu, J.Y.; Wang, L.Q.; Liu, C.Y.; Ji, Z.Y.; Lu, P.H. Value of TP53 status for predicting response to neoadjuvant chemotherapy in breast cancer: A meta-analysis. PLoS ONE 2012, 7, e39655. [Google Scholar] [CrossRef] [PubMed]
- Lee, S.K.; Bae, S.Y.; Lee, J.H.; Lee, H.C.; Yi, H.; Kil, W.H.; Lee, J.E.; Kim, S.W.; Nam, S.J. Distinguishing Low-Risk Luminal A Breast Cancer Subtypes with Ki-67 and p53 Is More Predictive of Long-Term Survival. PLoS ONE 2015, 10, e0124658. [Google Scholar] [CrossRef]
- Meng, L.; Zheng, T.; Wang, Y.; Li, Z.; Xiao, Q.; He, J.; Tan, J. Development of a prediction model based on LASSO regression to evaluate the risk of non-sentinel lymph node metastasis in Chinese breast cancer patients with 1–2 positive sentinel lymph nodes. Sci. Rep. 2021, 11, 19972. [Google Scholar] [CrossRef]
- Li, W.; Le, N.N.; Onishi, N.; Newitt, D.C.; Wilmes, L.J.; Gibbs, J.E.; Carmona-Bozo, J.; Liang, J.; Partridge, S.C.; Price, E.R.; et al. Diffusion-Weighted MRI for Predicting Pathologic Complete Response in Neoadjuvant Immunotherapy. Cancers 2022, 14, 4436. [Google Scholar] [CrossRef] [PubMed]
- Qian, B.; Yang, J.; Zhou, J.; Hu, L.; Zhang, S.; Ren, M.; Qu, X. Individualized model for predicting pathological complete response to neoadjuvant chemotherapy in patients with breast cancer: A multicenter study. Front. Endocrinol. 2022, 13, 955250. [Google Scholar] [CrossRef]
- Abdel-Razeq, H.; Khalil, H.; Assi, H.I.; Dargham, T.B. Treatment Strategies for Residual Disease following Neoadjuvant Chemotherapy in Patients with Early-Stage Breast Cancer. Curr. Oncol. 2022, 29, 5810–5822. [Google Scholar] [CrossRef]
- Wuerstlein, R.; Harbeck, N. Neoadjuvant Therapy for HER2-positive Breast Cancer. Rev. Recent Clin. Trials 2017, 12, 81–92. [Google Scholar] [CrossRef]
- Agostinetto, E.; Gligorov, J.; Piccart, M. Systemic therapy for early-stage breast cancer: Learning from the past to build the future. Nat. Rev. Clin. Oncol. 2022, 19, 763–774. [Google Scholar] [CrossRef]






| Predictive Factors | Comparison of Predictive Factors between the Two Groups [M (P25, P75)] | ||||
|---|---|---|---|---|---|
| All Subjects (n = 769) n (%) | pCR Group (n = 82) n (%) | Non-pCR Group (n = 687) n (%) | Z/χ2 | p | |
| Age at diagnosis, y | 48.0 (43.0–56.0) | 47.0 (41.8–54.0) | 48.0 (43.0–56.0) | −1.225 | 0.221 |
| Menopausal status | 0.069 | 0.812 | |||
| Pre-menopause | 468 (60.9%) | 51 (62.2%) | 417 (60.7%) | ||
| Post-menopause | 301 (39.1%) | 31 (37.8%) | 270 (39.3%) | ||
| cT | 16.117 | <0.001 | |||
| cT1 | 48 (6.2%) | 13 (15.9%) | 35 (5.1%) | ||
| cT2 | 537 (69.8%) | 56 (68.3%) | 481 (70.0%) | ||
| cT3 + cT4 | 184 (23.9%) | 13 (15.9%) | 171 (24.9%) | ||
| cN | 26.898 | <0.001 | |||
| Negative | 303 (39.4%) | 54 (65.9%) | 249 (36.2%) | ||
| Positive | 466 (60.6%) | 28 (34.1%) | 438 (63.8%) | ||
| ER status (%) | 30.283 | <0.001 | |||
| <22.5 | 361 (46.9%) | 62 (75.6%) | 299 (43.5%) | ||
| ≥22.5 | 408 (53.1%) | 20 (24.4%) | 388 (56.5%) | ||
| PR status (%) | 17.836 | <0.001 | |||
| <6.5 | 432 (56.2%) | 64 (78.0%) | 368 (53.6%) | ||
| ≥6.5 | 337 (43.8%) | 18 (22.0%) | 319 (46.4%) | ||
| HER2 status | 0.376 | 0.557 | |||
| Negative | 437 (56.8%) | 44 (53.7%) | 393 (57.2%) | ||
| Positive | 332 (43.2%) | 38 (46.3%) | 294 (42.8%) | ||
| Ki67 status (%) | 23.974 | <0.001 | |||
| <32.5 | 552 (71.8%) | 40 (48.8%) | 512 (74.5%) | ||
| ≥32.5 | 217 (28.2%) | 42 (51.2%) | 175 (25.5%) | ||
| p53 status (%) | 20.847 | <0.001 | |||
| <37.5 | 426 (55.4%) | 26 (31.7%) | 400 (58.2%) | ||
| ≥37.5 | 343 (44.6%) | 56 (68.3%) | 287 (41.8%) | ||
| Chemotherapy cycles | 0.247 | 0.619 | |||
| 4 | 705 (91.7%) | 74 (90.2%) | 631 (91.8%) | ||
| 5–8 | 64 (8.3%) | 8 (9.8%) | 56 (8.2%) | ||
| Factors | Tolerance | VIF | Assignment |
|---|---|---|---|
| cT cN ER status PR status Ki67 status p53 status | 0.986 0.964 0.489 0.499 0.938 0.948 | 1.014 1.037 2.046 2.004 1.067 1.054 | “cT1” = 1, “cT2” = 2, “cT3” = 3 “Negative” = 0, “Positive” = 1 “<22.5%” = 0, “≥22.5%” = 1 “<6.5%” = 0, “≥6.5%” = 1 “<32.5%” = 0, “≥32.5%” = 1 “<37.5%” = 0, “≥37.5%” = 1 |
| Predictive Factors | B | SE | Wals | p | OR (95% CI) |
|---|---|---|---|---|---|
| cT | |||||
| cT1 | Ref. | ||||
| cT2 cT3 + cT4 cN: neg vs. pos ER status: <22.5% vs. ≥22.5% Ki67 status: <32.5% vs. ≥32.5% p53 status: <37.5% vs. ≥37.5% Constants | −1.550 −1.963 1.045 1.237 −0.851 −0.917 −0.994 | 0.403 0.483 0.262 0.288 0.258 0.267 0.466 | 14.802 16.526 15.900 18.498 10.861 11.847 4.541 | <0.001 <0.001 <0.001 <0.001 0.001 0.001 0.033 | 0.212 (0.096–0.468) 0.140 (0.054–0.362) 2.843 (1.701–4.751) 3.446 (1.961–6.056) 0.427 (0.257–0.708) 0.400 (0.237–0.674) 0.370 |
Disclaimer/Publisher’s Note: The statements, opinions and data contained in all publications are solely those of the individual author(s) and contributor(s) and not of MDPI and/or the editor(s). MDPI and/or the editor(s) disclaim responsibility for any injury to people or property resulting from any ideas, methods, instructions or products referred to in the content. |
© 2023 by the authors. Licensee MDPI, Basel, Switzerland. This article is an open access article distributed under the terms and conditions of the Creative Commons Attribution (CC BY) license (https://creativecommons.org/licenses/by/4.0/).
Share and Cite
Lan, A.; Chen, J.; Li, C.; Jin, Y.; Wu, Y.; Dai, Y.; Jiang, L.; Li, H.; Peng, Y.; Liu, S. Development and Assessment of a Novel Core Biopsy-Based Prediction Model for Pathological Complete Response to Neoadjuvant Chemotherapy in Women with Breast Cancer. Int. J. Environ. Res. Public Health 2023, 20, 1617. https://doi.org/10.3390/ijerph20021617
Lan A, Chen J, Li C, Jin Y, Wu Y, Dai Y, Jiang L, Li H, Peng Y, Liu S. Development and Assessment of a Novel Core Biopsy-Based Prediction Model for Pathological Complete Response to Neoadjuvant Chemotherapy in Women with Breast Cancer. International Journal of Environmental Research and Public Health. 2023; 20(2):1617. https://doi.org/10.3390/ijerph20021617
Chicago/Turabian StyleLan, Ailin, Junru Chen, Chao Li, Yudi Jin, Yinan Wu, Yuran Dai, Linshan Jiang, Han Li, Yang Peng, and Shengchun Liu. 2023. "Development and Assessment of a Novel Core Biopsy-Based Prediction Model for Pathological Complete Response to Neoadjuvant Chemotherapy in Women with Breast Cancer" International Journal of Environmental Research and Public Health 20, no. 2: 1617. https://doi.org/10.3390/ijerph20021617
APA StyleLan, A., Chen, J., Li, C., Jin, Y., Wu, Y., Dai, Y., Jiang, L., Li, H., Peng, Y., & Liu, S. (2023). Development and Assessment of a Novel Core Biopsy-Based Prediction Model for Pathological Complete Response to Neoadjuvant Chemotherapy in Women with Breast Cancer. International Journal of Environmental Research and Public Health, 20(2), 1617. https://doi.org/10.3390/ijerph20021617

