Does Environmental Regulation Promote the Infrastructure Investment Efficiency? Analysis Based on the Spatial Effects
Abstract
1. Introduction
2. Theoretical Framework and Research Hypothesis
2.1. Direct Influence
2.2. Indirect Influence
2.2.1. Green Technology Innovation
2.2.2. Industrial Structure
2.2.3. Opening Up
2.3. Spatial Effects
2.3.1. Spatial Signal Transmission Mechanism
2.3.2. Spatial Spillover Effects
2.4. Research Hypothesis
3. Data and Methods
3.1. Data
3.2. Measurement of Infrastructure Investment Efficiency
3.2.1. Super-SBM Model
3.2.2. Index System
3.3. Measurement of Environmental Regulation
3.3.1. Entropy Evaluation Method
3.3.2. Index System
3.4. Spatial Econometric Method
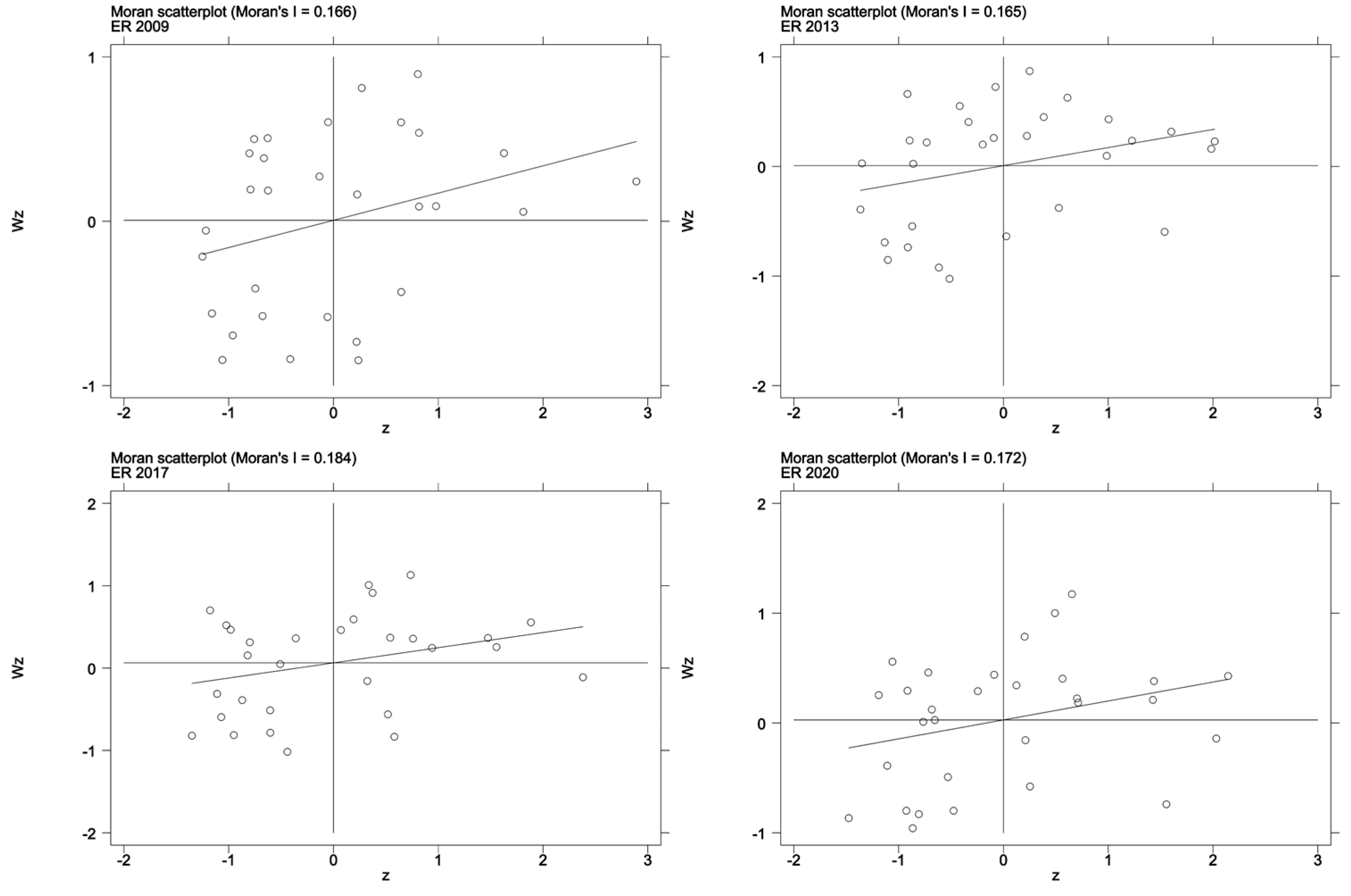
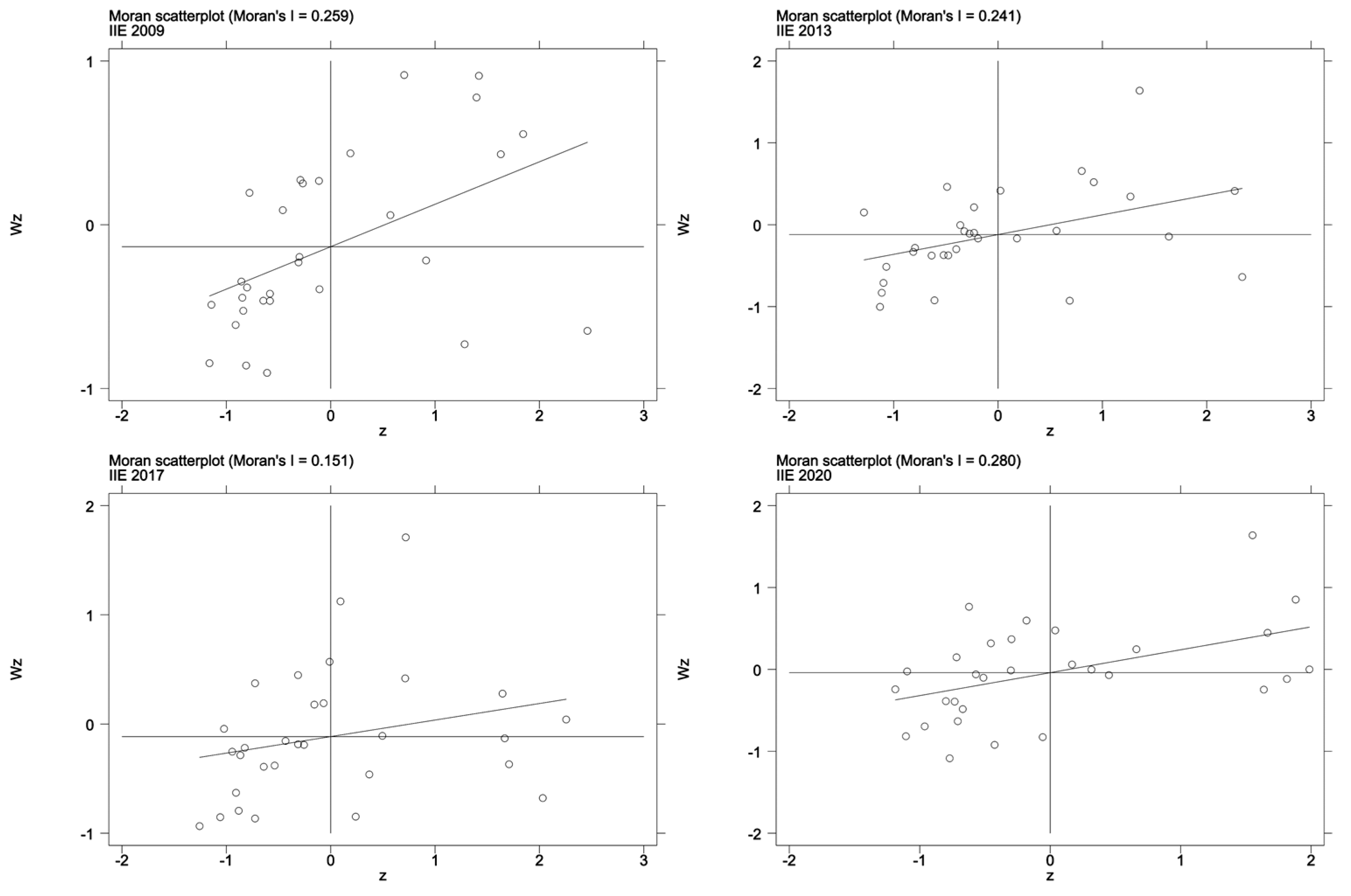
3.4.1. Spatial Correlation Test
3.4.2. Regression Variables
3.4.3. Spatial Econometric Models
4. Results
4.1. Analysis of the Environmental Regulation
4.2. Analysis of the Infrastructure Investment Efficiency
4.3. Analysis of the Spatial Regression
4.3.1. Regression Results of the Linear Model
4.3.2. Regression Results of the Nonlinear Model
5. Discussion
6. Conclusions
Author Contributions
Funding
Institutional Review Board Statement
Informed Consent Statement
Data Availability Statement
Conflicts of Interest
References
- Naqvi, A. Decoupling trends of emissions across EU regions and the role of environmental policies. J. Clean. Prod. 2021, 323, 129130. [Google Scholar] [CrossRef]
- Yu, X.; Wang, P. Economic effects analysis of environmental regulation policy in the process of industrial structure upgrading: Evidence from Chinese provincial panel data. Sci. Total Environ. 2021, 753, 142004. [Google Scholar] [CrossRef]
- Wang, M.; Feng, C. The win-win ability of environmental protection and economic development during China’s transition. Technol. Forcast. Soc. Chang. 2021, 166, 120617. [Google Scholar] [CrossRef]
- Cheng, M.; Lu, Y. Investment efficiency of urban infrastructure systems: Empirical measurement and implications for China. Habitat Int. 2017, 70, 91–102. [Google Scholar] [CrossRef]
- Chen, Y.; Shen, L.; Zhang, Y.; Li, H.; Ren, Y. Sustainability based perspective on the utilization efficiency of urban infrastructure—A China study. Habitat Int. 2019, 93, 102050. [Google Scholar] [CrossRef]
- Crihfield, J.B.; Panggabean, M.P.H. Is public infrastructure productive? A metropolitan perspective using new capital stock estimates. Reg. Sci. Urban. Econ. 1995, 25, 607–630. [Google Scholar] [CrossRef]
- Herranz-Loncán, A. Infrastructure investment and Spanish economic growth, 1850–1935. Explor. Econ. Hist. 2007, 44, 452–468. [Google Scholar] [CrossRef]
- Lippiatt, B.C. Selecting Cost-Effective Green Building Products: BEES Approach. J. Constr. Eng. Manag. 1999, 125, 448–455. [Google Scholar] [CrossRef]
- Wang, F.; Xie, J.; Wu, S.; Li, J.; Barbieri, D.M.; Zhang, L. Life cycle energy consumption by roads and associated interpretative analysis of sustainable policies. Renew. Sustain. Energy Rev. 2021, 141, 110823. [Google Scholar] [CrossRef]
- Kyriacou, A.P.; Muinelo-Gallo, L.; Roca-Sagalés, O. The efficiency of transport infrastructure investment and the role of government quality: An empirical analysis. Transp. Policy 2019, 74, 93–102. [Google Scholar] [CrossRef]
- Castells, A.; Solé-Ollé, A. The regional allocation of infrastructure investment: The role of equity, efficiency and political factors. Eur. Econ. Rev. 2005, 49, 1165–1205. [Google Scholar] [CrossRef]
- Liu, Q.; Wang, S.; Zhang, W.; Li, J.; Zhao, Y.; Li, W. China’s municipal public infrastructure: Estimating construction levels and investment efficiency using the entropy method and a DEA model. Habitat Int. 2017, 64, 59–70. [Google Scholar] [CrossRef]
- Konno, A.; Kato, H.; Takeuchi, W.; Kiguchi, R. Global evidence on productivity effects of road infrastructure incorporating spatial spillover effects. Transp. Policy 2021, 103, 167–182. [Google Scholar] [CrossRef]
- Smit, M.J.; van Leeuwen, E.S.; Florax, R.J.G.M.; de Groot, H.L.F. Rural development funding and agricultural labour productivity: A spatial analysis of the European Union at the NUTS2 level. Ecol. Indic. 2015, 59, 6–18. [Google Scholar] [CrossRef]
- Guttikunda, S.K.; Goel, R.; Pant, P. Nature of air pollution, emission sources, and management in the Indian cities. Atmos. Environ. 2014, 95, 501–510. [Google Scholar] [CrossRef]
- Zhang, Q.; Tang, D.; Bethel, B.J. Yangtze River Basin Environmental Regulation Efficiency Based on the Empirical Analysis of 97 Cities from 2005 to 2016. Int. J. Environ. Res. Public Health 2021, 18, 5697. [Google Scholar] [CrossRef]
- Wang, X.; Zhang, C.; Zhang, Z. Pollution haven or porter? The impact of environmental regulation on location choices of pollution-intensive firms in China. J. Environ. Manag. 2019, 248, 109248. [Google Scholar] [CrossRef]
- Peng, H.; Shen, N.; Ying, H.; Wang, Q. Can environmental regulation directly promote green innovation behavior?—Based on situation of industrial agglomeration. J. Clean. Prod. 2021, 314, 128044. [Google Scholar] [CrossRef]
- Duan, D.; Xia, Q. Does Environmental Regulation Promote Environmental Innovation? An Empirical Study of Cities in China. Int. J. Environ. Res. Public Health 2021, 19, 139. [Google Scholar] [CrossRef]
- Ouyang, X.; Li, Q.; Du, K. How does environmental regulation promote technological innovations in the industrial sector? Evidence from Chinese provincial panel data. Energy Policy 2020, 139, 111310. [Google Scholar] [CrossRef]
- Zhang, J.X.; Kang, L.; Li, H.; Ballesteros-Perez, P.; Skitmore, M.; Zuo, J. The impact of environmental regulations on urban Green innovation efficiency: The case of Xi’an. Sustain. Cities Soc. 2020, 57, 102123. [Google Scholar] [CrossRef]
- Li, J.; Du, Y. Spatial effect of environmental regulation on green innovation efficiency: Evidence from prefectural-level cities in China. J. Clean. Prod. 2021, 286, 125032. [Google Scholar] [CrossRef]
- Wang, Z.; Xia, C.; Xia, Y. Dynamic relationship between environmental regulation and energy consumption structure in China under spatiotemporal heterogeneity. Sci. Total Environ. 2020, 738, 140364. [Google Scholar] [CrossRef]
- Domazlicky, B.R.; Weber, W.L. Does Environmental Protection Lead to Slower Productivity Growth in the Chemical Industry? Environ. Resour. Econ. 2004, 28, 301–324. [Google Scholar] [CrossRef]
- Guo, R.; Yuan, Y. Different types of environmental regulations and heterogeneous influence on energy efficiency in the industrial sector: Evidence from Chinese provincial data. Energy Policy 2020, 145, 111747. [Google Scholar] [CrossRef]
- De Santis, R.; Esposito, P.; Lasinio, C.J. Environmental regulation and productivity growth: Main policy challenges. Int. Econ. 2021, 165, 264–277. [Google Scholar] [CrossRef]
- Lee, M. The effect of environmental regulations: A restricted cost function for Korean manufacturing industries. Environ. Dev. Econ. 2007, 12, 91–104. [Google Scholar] [CrossRef]
- Albrizio, S.; Kozluk, T.; Zipperer, V. Environmental policies and productivity growth: Evidence across industries and firms. J. Environ. Econ. Manag. 2017, 81, 209–226. [Google Scholar] [CrossRef]
- Yuan, B.; Xiang, Q. Environmental regulation, industrial innovation and green development of Chinese manufacturing: Based on an extended CDM model. J. Clean. Prod. 2018, 176, 895–908. [Google Scholar] [CrossRef]
- Zhang, J.X.; Ouyang, Y.; Ballesteros-Perez, P.; Li, H.; Philbin, S.P.; Li, Z.L.; Skitmore, M. Understanding the impact of environmental regulations on green technology innovation efficiency in the construction industry. Sustain. Cities Soc. 2021, 65, 102647. [Google Scholar] [CrossRef]
- Zhou, Q.; Song, Y.; Wan, N.; Zhang, X. Non-linear effects of environmental regulation and innovation—Spatial interaction evidence from the Yangtze River Delta in China. Environ. Sci. Policy 2020, 114, 263–274. [Google Scholar] [CrossRef]
- Li, J.; Tang, D.; Tenkorang, A.P.; Shi, Z. Research on Environmental Regulation and Green Total Factor Productivity in Yangtze River Delta: From the Perspective of Financial Development. Int. J. Environ. Res. Public Health 2021, 18, 12453. [Google Scholar] [CrossRef]
- Li, H.; Zhang, J.; Wang, C.; Wang, Y.; Coffey, V. An evaluation of the impact of environmental regulation on the efficiency of technology innovation using the combined DEA model: A case study of Xi’an, China. Sustain. Cities Soc. 2018, 42, 355–369. [Google Scholar] [CrossRef]
- Munasinghe, M. Making economic growth more sustainable. Ecol. Econ. 1995, 15, 121–124. [Google Scholar] [CrossRef]
- Yin, J.; Zheng, M.; Chen, J. The effects of environmental regulation and technical progress on CO2 Kuznets curve: An evidence from China. Energy Policy 2015, 77, 97–108. [Google Scholar] [CrossRef]
- Turner, K.; Hanley, N. Energy efficiency, rebound effects and the environmental Kuznets Curve. Energy Econ. 2011, 33, 709–720. [Google Scholar] [CrossRef]
- Zheng, D.; Shi, M.J. Multiple environmental policies and pollution haven hypothesis: Evidence from China’s polluting industries. J. Clean. Prod. 2017, 141, 295–304. [Google Scholar] [CrossRef]
- Waqih, M.A.U.; Bhutto, N.A.; Ghumro, N.H.; Kumar, S.; Salam, M.A. Rising environmental degradation and impact of foreign direct investment: An empirical evidence from SAARC region. J. Environ. Manag. 2019, 243, 472–480. [Google Scholar] [CrossRef]
- Barbera, A.J.; McConnell, V.D. The impact of environmental regulations on industry productivity: Direct and indirect effects. J. Environ. Econ. Manag. 1990, 18, 50–65. [Google Scholar] [CrossRef]
- Porter, M.E.; van der Linde, C. Toward a New Conception of the Environment-Competitiveness Relationship. J. Econ. Perspect. 1995, 9, 97–118. [Google Scholar] [CrossRef]
- Wang, P.; Dong, C.; Chen, N.; Qi, M.; Yang, S.; Nnenna, A.B.; Li, W. Environmental Regulation, Government Subsidies, and Green Technology Innovation—A Provincial Panel Data Analysis from China. Int. J. Environ. Res. Public Health 2021, 18, 11991. [Google Scholar] [CrossRef]
- Deng, X.; Li, L. Promoting or Inhibiting? The Impact of Environmental Regulation on Corporate Financial Performance—An Empirical Analysis Based on China. Int. J. Environ. Res. Public Health 2020, 17, 3828. [Google Scholar] [CrossRef]
- Qiu, S.; Wang, Z.; Geng, S. How do environmental regulation and foreign investment behavior affect green productivity growth in the industrial sector? An empirical test based on Chinese provincial panel data. J. Environ. Manag. 2021, 287, 112282. [Google Scholar] [CrossRef]
- Wu, X.; Deng, H.; Li, H.; Guo, Y. Impact of Energy Structure Adjustment and Environmental Regulation on Air Pollution in China: Simulation and Measurement Research by the Dynamic General Equilibrium Model. Technol. Forcast. Soc. 2021, 172, 121010. [Google Scholar] [CrossRef]
- Reinhard, S.; Lovell, C.A.K.; Thijssen, G.J. Environmental efficiency with multiple environmentally detrimental variables; estimated with SFA and DEA. Eur. J. Oper. Res. 2000, 121, 287–303. [Google Scholar] [CrossRef]
- Charnes, A.; Cooper, W.W.; Rhodes, E. Measuring the efficiency of decision making units. Eur. J. Oper. Res. 1979, 2, 429–444. [Google Scholar] [CrossRef]
- Tone, K. A slacks-based measure of efficiency in data envelopment analysis. Eur. J. Oper. Res. 2001, 130, 498–509. [Google Scholar] [CrossRef]
- Tone, K. A slacks-based measure of super-efficiency in data envelopment analysis. Eur. J. Oper. Res. 2002, 143, 32–41. [Google Scholar] [CrossRef]
- World Development Report 1994 Infrastructure for Development (World Bank); Oxford University Press: Oxford, UK, 1994; Available online: http://worldcat.org/isbn/0195209923 (accessed on 19 June 2022).
- Qin, M.; Sun, M.; Li, J. Impact of environmental regulation policy on ecological efficiency in four major urban agglomerations in eastern China. Ecol. Indic. 2021, 130, 108002. [Google Scholar] [CrossRef]
- Zheng, H.; Zhang, J.C.; Zhao, X.; Mu, H.R. Exploring the affecting mechanism between environmental regulation and economic efficiency: New evidence from China’s coastal areas. Ocean Coast. Manag. 2020, 189, 105498. [Google Scholar] [CrossRef]
- Yasmeen, H.; Tan, Q.; Zameer, H.; Tan, J.; Nawaz, K. Exploring the impact of technological innovation, environmental regulations and urbanization on ecological efficiency of China in the context of COP21. J. Environ. Manag. 2020, 274, 111210. [Google Scholar] [CrossRef]
- Wang, X.; Song, J.; Duan, H. Coupling between energy efficiency and industrial structure: An urban agglomeration case. Energy 2021, 234, 121304. [Google Scholar] [CrossRef]
- Yao, J.; Xu, P.; Huang, Z. Impact of urbanization on ecological efficiency in China: An empirical analysis based on provincial panel data. Ecol. Indic. 2021, 129, 107827. [Google Scholar] [CrossRef]
- Du, W.; Wang, F.; Li, M. Effects of environmental regulation on capacity utilization: Evidence from energy enterprises in China. Ecol. Indic. 2020, 113, 106217. [Google Scholar] [CrossRef]
- Dong, F.; Li, Y.; Qin, C.; Sun, J. How industrial convergence affects regional green development efficiency: A spatial conditional process analysis. J. Environ. Manag. 2021, 300, 113738. [Google Scholar] [CrossRef]
- Shapiro, J.S.; Walker, R. Why is Pollution from US Manufacturing Declining? The Roles of Environmental Regulation, Productivity, and Trade. Am. Econ. Rev. 2018, 108, 3814–3854. [Google Scholar] [CrossRef]
- Jia, S.; Liu, X.; Yan, G. Effect of APCF policy on the haze pollution in China: A system dynamics approach. Energy Policy 2019, 125, 33–44. [Google Scholar] [CrossRef]
- Wang, A.; Hu, S.; Li, J. Does economic development help achieve the goals of environmental regulation? Evidence from partially linear functional-coefficient model. Energy Econ. 2021, 103, 105618. [Google Scholar] [CrossRef]
- Xu, X. International trade and environmental policy: How effective is ‘eco-dumping’? Econ. Model. 2000, 17, 71–90. [Google Scholar] [CrossRef]
- Huang, X.; Tian, P. How does heterogeneous environmental regulation affect net carbon emissions: Spatial and threshold analysis for China. J. Environ. Manag. 2023, 330, 117161. [Google Scholar] [CrossRef]
- Zhang, G.; Jia, Y.; Su, B.; Xiu, J. Environmental regulation, economic development and air pollution in the cities of China: Spatial econometric analysis based on policy scoring and satellite data. J. Clean. Prod. 2021, 328, 129496. [Google Scholar] [CrossRef]
- Zhang, H.; Liu, Z.; Zhang, Y.-J. Assessing the economic and environmental effects of environmental regulation in China: The dynamic and spatial perspectives. J. Clean. Prod. 2022, 334, R713–R715. [Google Scholar] [CrossRef]
- Anselin, L. Spatial Econometrics: Methods and Models; Springer: Dordrecht, The Netherlands, 1988. [Google Scholar]
- Elhorst, J.P. Spatial Econometrics: From Cross-Sectional Data to Spatial Panels; Springer: Berlin/Heidelberg, Germany, 2014. [Google Scholar]
- Chen, X.; Zhou, T.; Wang, D. The Impact of Multidimensional Health Levels on Rural Poverty: Evidence from Rural China. Int. J. Environ. Res. Public Health 2022, 19, 4065. [Google Scholar] [CrossRef]
- Rey, S.J. Spatial Empirics for Economic Growth and Convergence. Geogr. Anal. 2010, 33, 195–214. [Google Scholar] [CrossRef]
- Feng, Y.; Wang, X.; Du, W.; Wu, H.; Wang, J. Effects of environmental regulation and FDI on urban innovation in China: A spatial Durbin econometric analysis. J. Clean. Prod. 2019, 235, 210–224. [Google Scholar] [CrossRef]
- Fu, S.; Ma, Z.; Ni, B.; Peng, J.; Zhang, L.; Fu, Q. Research on the spatial differences of pollution-intensive industry transfer under the environmental regulation in China. Ecol. Indic. 2021, 129, 107921. [Google Scholar] [CrossRef]
- Hu, W.; Wang, D. How does environmental regulation influence China’s carbon productivity? An empirical analysis based on the spatial spillover effect. J. Clean. Prod. 2020, 257, 120484. [Google Scholar] [CrossRef]
- Wang, H.; Cui, H.; Zhao, Q. Effect of green technology innovation on green total factor productivity in China: Evidence from spatial durbin model analysis. J. Clean. Prod. 2021, 288, 125624. [Google Scholar] [CrossRef]
- Fan, T.; Pan, J.; Wang, X.; Wang, S.; Lu, A. Ecological Risk Assessment and Source Apportionment of Heavy Metals in the Soil of an Opencast Mine in Xinjiang. Int. J. Environ. Res. Public Health 2022, 19, 15522. [Google Scholar] [CrossRef]
- Sun, J.; Zhou, T. Urban shrinkage and eco-efficiency: The mediating effects of industry, innovation and land-use. Environ. Impact Assess. Rev. 2023, 98, 106921. [Google Scholar] [CrossRef]
- Yu, H.; Li, S.; Yu, L.; Wang, X. The Recent Progress China has Made in Green Mine Construction, Part II: Typical Examples of Green Mines. Int. J. Environ. Res. Public Health 2022, 19, 8166. [Google Scholar] [CrossRef]
- Song, M.; Wang, S.; Zhang, H. Could environmental regulation and R&D tax incentives affect green product innovation? J. Clean. Prod. 2020, 258, 120849. [Google Scholar] [CrossRef]
- Wang, Y.; Sun, X.; Guo, X. Environmental regulation and green productivity growth: Empirical evidence on the Porter Hypothesis from OECD industrial sectors. Energy Policy 2019, 132, 611–619. [Google Scholar] [CrossRef]
- Perino, G.; Requate, T. Does more stringent environmental regulation induce or reduce technology adoption? When the rate of technology adoption is inverted U-shaped. J. Environ. Econ. Manag. 2012, 64, 456–467. [Google Scholar] [CrossRef]
- Konara, P.; Tan, Y.; Johnes, J. FDI and heterogeneity in bank efficiency: Evidence from emerging markets. Res. Int. Bus. Financ. 2019, 49, 100–113. [Google Scholar] [CrossRef]
- Zhou, Y.; Kong, Y.; Sha, J.; Wang, H. The role of industrial structure upgrades in eco-efficiency evolution: Spatial correlation and spillover effects. Sci. Total Environ. 2019, 687, 1327–1336. [Google Scholar] [CrossRef]
- Zhai, X.; An, Y. The relationship between technological innovation and green transformation efficiency in China: An empirical analysis using spatial panel data. Technol. Soc. 2021, 64, 101498. [Google Scholar] [CrossRef]
- Wang, D.; Zhou, T.; Wang, M.M. Information and communication technology (ICT), digital divide and urbanization: Evidence from Chinese cities. Technol. Soc. 2021, 64, 101516. [Google Scholar] [CrossRef]






| Scope of Infrastructure Investment | Infrastructure Evaluation Index System | |
|---|---|---|
| System | Evaluation Index | |
| Energy power system | Gas penetration rate (%) |
| Electricity consumption (billion KWH) | ||
| Water resources system | Water resources per capita (m3/person) | |
| Water penetration rate (%) | ||
| Water supply production capacity (10,000 m3/day) | ||
| Water supply and drainage system | Daily sewage treatment capacity (10,000 m3) | |
| Length of water supply pipeline (km) | ||
| Length of drainage pipe (km) | ||
| Road traffic system | City road lighting (1000) | |
| Actual road length (km) | ||
| Bus and tram operating line network length (km) | ||
| Number of buses per 10,000 people | ||
| Post and telecommunications system | Number of post offices | |
| Urban telephone subscribers (million households) | ||
| Internet broadband access port (1000) | ||
| Ecological system | Green coverage rate of built-up area (%) | |
| Per capita green area of park (m2) | ||
| Social service system | Number of libraries (100) Number of hospitals (100) Number of secondary schools (100) | |
| Input Indicators | Output Indicators |
|---|---|
| The fixed asset investment corresponding to each scope of industry in Table 1; The number of employees corresponding to each scope of industry in Table 1 | Total GDP; Average disposable income; Urban infrastructure composite index |
| First-Level Indicators | Second-Level Indicators | Basis |
|---|---|---|
| Government administration | Enterprises pollution charges/GDP | [58] |
| Regulation effects | Centralized treatment rate of sewage | [57] |
| Harmless treatment rate of garbage | ||
| Sulfur dioxide emissions/industrial added value | ||
| Solid waste production/industrial added value | [20,57] | |
| Sewage discharge/industrial added value | ||
| Economic input | Investment in environmental pollution control/ GDP | [51] |
| Per capita GDP | [2,51,59,60] | |
| Residents’ green life quality | Per capita park green area | [50,52] |
| Coverage rate of sanitary latrine |
| Variable Type | Variable Name | Symbol | Calculation |
|---|---|---|---|
| Dependent variable | Infrastructure Investment efficiency | IIE | Results from the Super-SBM model |
| Core variables | Environmental regulation | ER | Results from the entropy weight method |
| ER2 | |||
| Control variables | Opening up | Open | Percentage of total imports and exports to GDP |
| Industrial structure upgrading | Ind | Percentage of output value from tertiary industry to GDP | |
| Technological innovation | Inn | Number of patent applications granted per thousand people |
| Pattern | 2009 | 2017 | 2020 | |
|---|---|---|---|---|
| First quartile | HH | Hainan, Shanghai, Zhejiang, Shandong, Beijing, Tianjin, Jiangsu (7) | Hainan, Shanghai, Shandong, Zhejiang, Tianjin, Jiangsu (6) | Hainan, Shanghai, Zhejiang, Shandong, Tianjin, Jiangsu, Liaoning, Ningxia (8) |
| Second quartile | LH | Anhui, Gansu, Hebei, Fujian, Jilin (5) | Gansu, Anhui, Hebei, Fujian, Inner Mongolia, Jilin (6) | Hebei, Anhui, Gansu, Fujian, Jilin, Inner Mongolia, Chongqing (7) |
| Third quartile | LL | Inner Mongolia, Hunan, Guangxi, Sichuan, Shaanxi, Henan, Hubei, Guizhou, Yunnan, Shanxi, Heilongjiang, Xinjiang, Jiangxi, Liaoning, Chongqing (15) | Beijing, Hubei, Hunan, Guangxi, Sichuan, Shaanxi, Henan, Guizhou, Yunnan, Heilongjiang, Liaoning, Xinjiang, Jiangxi (13) | Shaanxi, Hunan, Guangxi, Sichuan, Henan, Hubei, Guizhou, Yunnan, Shanxi, Xinjiang, Heilongjiang, Jiangxi (12) |
| Forth quartile | HL | Qinghai, Ningxia, Guangdong (3) | Qinghai, Ningxia, Guangdong, Shanxi, Chongqing (5) | Beijing, Guangdong Qinghai (3) |
| Test Statistics | Linear Model | Nonlinear Model | ||
|---|---|---|---|---|
| Statistic | p-Value | Statistic | p-Value | |
| LMLag | 26.570 | 0.000 | 27.196 | 0.000 |
| Robust LMLag | 7.517 | 0.006 | 6.988 | 0.008 |
| LMErr | 64.171 | 0.000 | 64.240 | 0.000 |
| Robust LMErr | 45.118 | 0.000 | 44.032 | 0.000 |
| lrtest SDM SAR | 95.94 | 0.000 | 95.75 | 0.000 |
| lrtest SDM SAR | 98.73 | 0.000 | 98.96 | 0.000 |
| Hausman test | 65.75 | 0.000 | 64.14 | 0.000 |
| Variable | SDM | Direct Effects | Indirect Effects | Total Effects |
|---|---|---|---|---|
| ER | 0.0784 *** (5.42) | 0.0808 *** (5.43) | −0.0445 * (−1.89) | 0.0362 * (1.86) |
| Open | 0.3418 *** (9.54) | 0.3358 *** (9.61) | 0.1106 * (1.77) | 0.4464 *** (7.09) |
| Ind | 0.1547 (1.10) | 0.1753 (1.28) | −0.1101 (−0.44) | 0.0652 (0.26) |
| Inn | 0.0019 * (1.70) | 0.0018 * (1.73) | 0.0026 (1.02) | 0.0045 * (1.77) |
| W*ER | −0.0378 (−1.12) | |||
| W*Open | 0.1729 ** (2.22) | |||
| W*Ind | −0.0908 (−0.35) | |||
| W*Inn | −0.0031 (−1.12) | |||
| 0.1642 ** (2.14) | ||||
| Rbar2 | 0.5177 | |||
| log.likelihood | 174.6998 |
| Variable | SDM | Direct Effect | Indirect Effect | Total Effects |
|---|---|---|---|---|
| ER | 0.2761 *** (3.45) | 0.2801 *** (3.48) | −0.0408 * (−1.81) | 0.2393 (1.21) |
| ER2 | −0.0302 ** (−2.52) | −0.0305 ** (−2.53) | −0.0033 (−0.12) | −0.0339 (−1.06) |
| Open | 0.3054 *** (7.98) | 0.3035 *** (8.02) | 0.1042 (1.47) | 0.4078 *** (5.50) |
| Ind | 0.2449 (1.67) | 0.2444 * (1.81) | −0.1296 (−0.52) | 0.1148 (0.45) |
| Inn | 0.0019 * (1.78) | 0.0019 * (1.80) | 0.0020 (0.80) | 0.0040 (1.55) |
| W*ER | −0.4125 * (−1.86) | |||
| W*ER2 | 0.0711 ** (2.22) | |||
| W*Open | 0.1768 ** (2.01) | |||
| W*Ind | −0.1369 (−0.49) | |||
| W*Inn | −0.0025 (−0.90) | |||
| 0.1736 ** (2.27) | ||||
| Rbar2 | 0.5191 | |||
| log.likelihood | 177.9458 |
Disclaimer/Publisher’s Note: The statements, opinions and data contained in all publications are solely those of the individual author(s) and contributor(s) and not of MDPI and/or the editor(s). MDPI and/or the editor(s) disclaim responsibility for any injury to people or property resulting from any ideas, methods, instructions or products referred to in the content. |
© 2023 by the authors. Licensee MDPI, Basel, Switzerland. This article is an open access article distributed under the terms and conditions of the Creative Commons Attribution (CC BY) license (https://creativecommons.org/licenses/by/4.0/).
Share and Cite
Ren, M.; Zhou, T.; Wang, D.; Wang, C. Does Environmental Regulation Promote the Infrastructure Investment Efficiency? Analysis Based on the Spatial Effects. Int. J. Environ. Res. Public Health 2023, 20, 2960. https://doi.org/10.3390/ijerph20042960
Ren M, Zhou T, Wang D, Wang C. Does Environmental Regulation Promote the Infrastructure Investment Efficiency? Analysis Based on the Spatial Effects. International Journal of Environmental Research and Public Health. 2023; 20(4):2960. https://doi.org/10.3390/ijerph20042960
Chicago/Turabian StyleRen, Maohui, Tao Zhou, Di Wang, and Chenxi Wang. 2023. "Does Environmental Regulation Promote the Infrastructure Investment Efficiency? Analysis Based on the Spatial Effects" International Journal of Environmental Research and Public Health 20, no. 4: 2960. https://doi.org/10.3390/ijerph20042960
APA StyleRen, M., Zhou, T., Wang, D., & Wang, C. (2023). Does Environmental Regulation Promote the Infrastructure Investment Efficiency? Analysis Based on the Spatial Effects. International Journal of Environmental Research and Public Health, 20(4), 2960. https://doi.org/10.3390/ijerph20042960
