Do Questions Reflecting Indoor Air Pollutant Exposure from a Questionnaire Predict Direct Measure of Exposure in Owner-Occupied Houses?
Abstract
:1. Introduction
2. Methods
2.1. Study Population
2.2. Home Inspections and Measurements
2.3. Data Analysis
3. Results
3.1. Indoor NO2
3.2. Indoor PM2.5
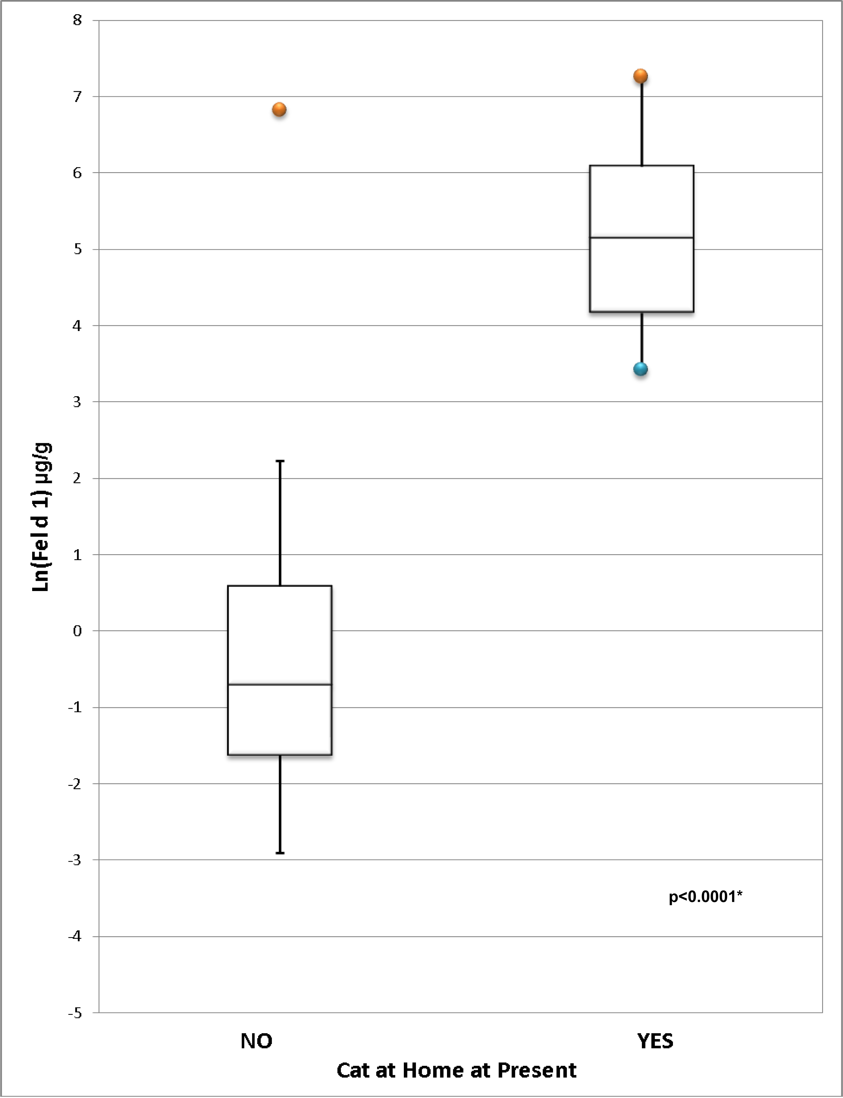
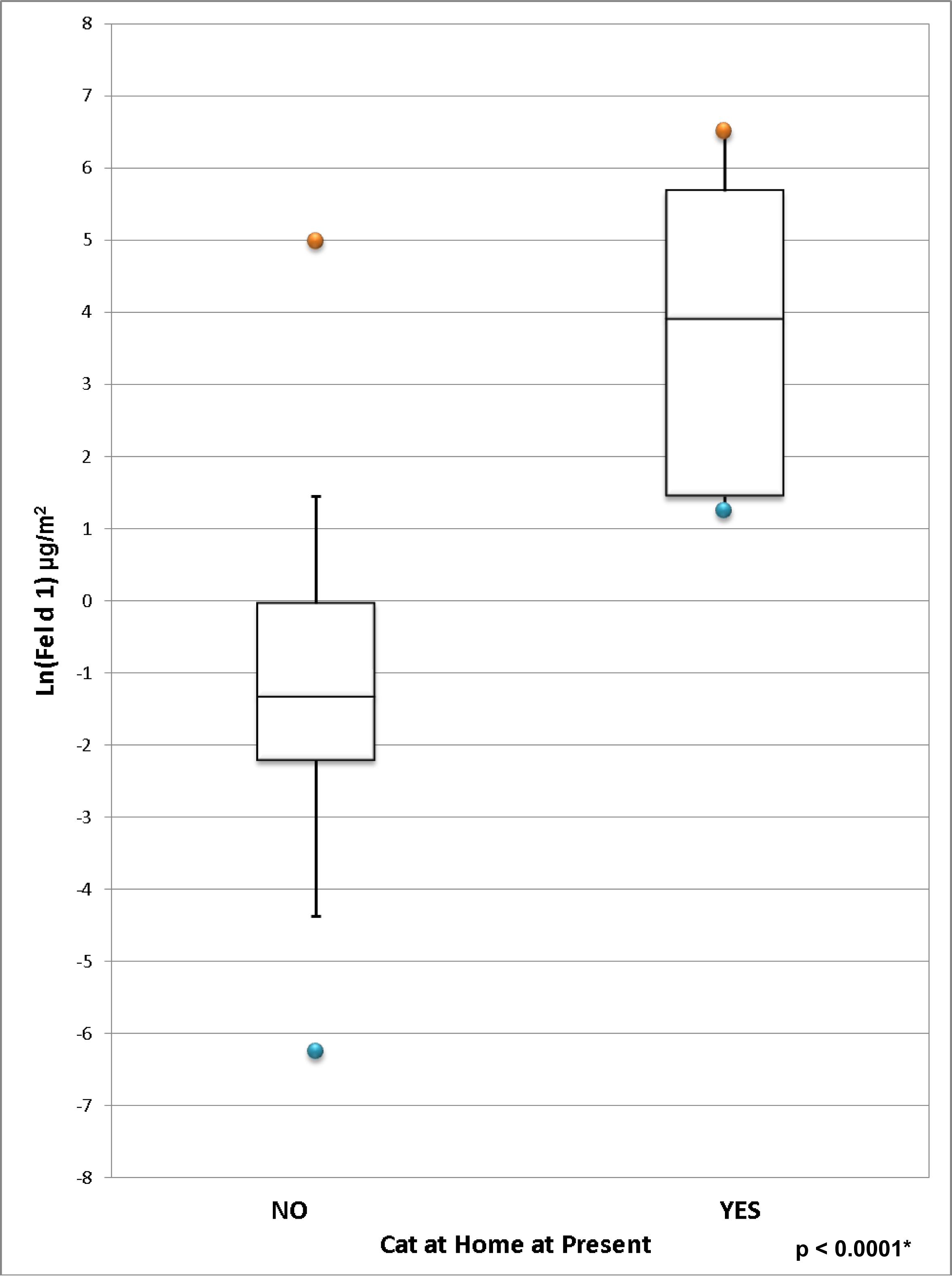
3.3. Cat Allergens
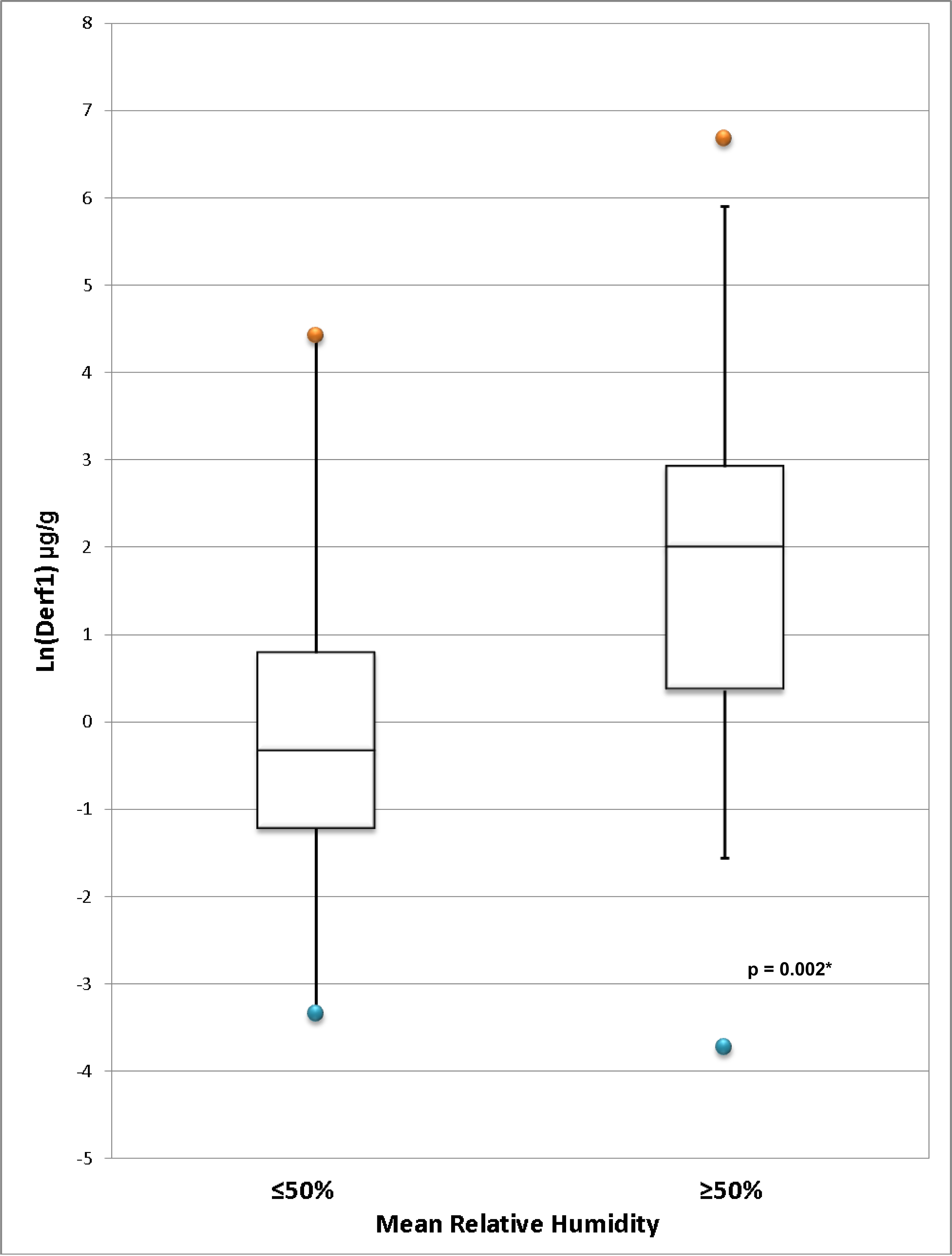
3.4. Dust Mite Allergen
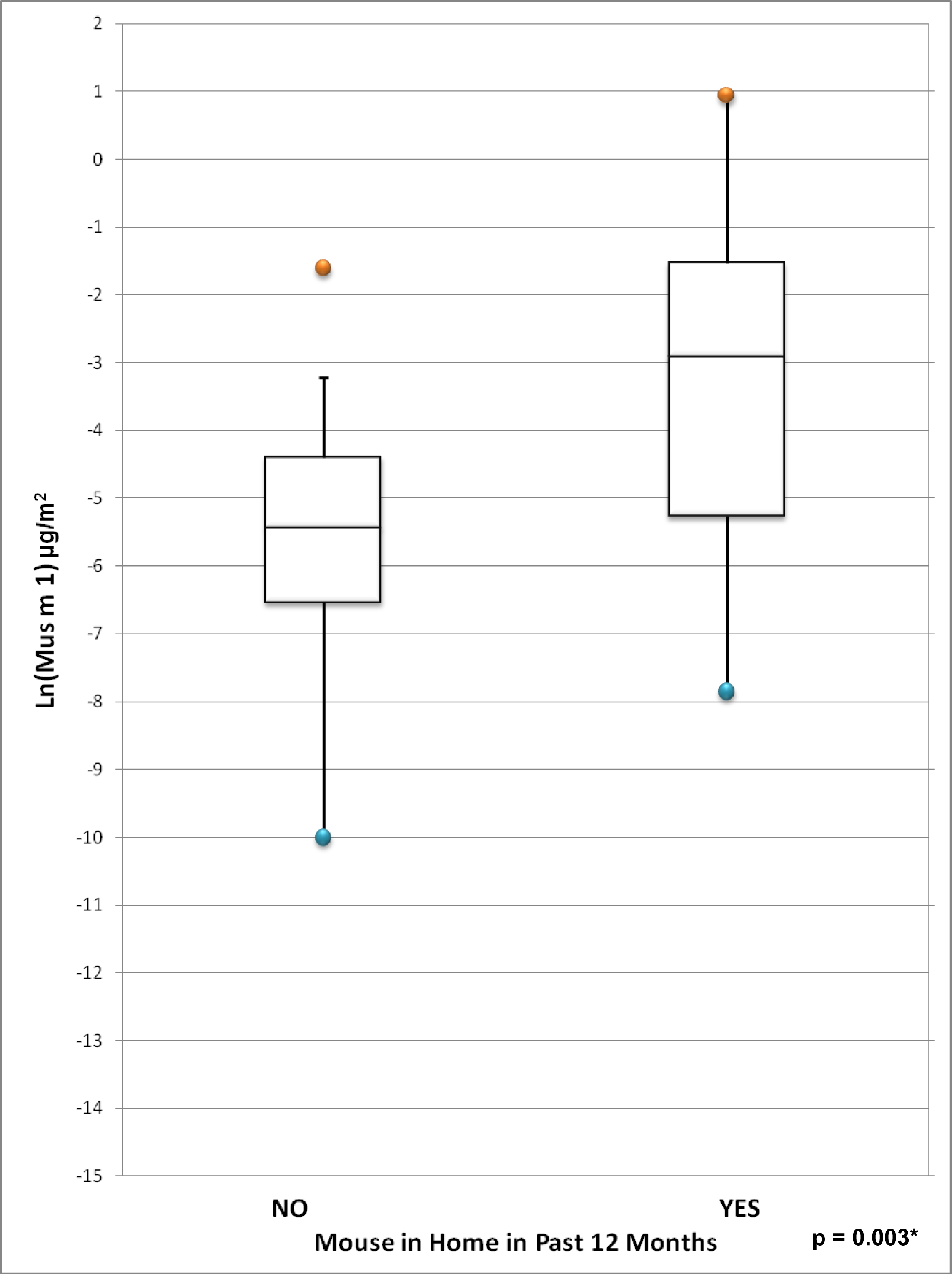
3.5. Mouse Allergens
3.6. Endotoxin
3.7. Mould
4. Discussion
4.1. Strengths and Limitations
4.2. Indoor NO2
4.3. Indoor PM2.5
4.4. Cat Allergen
4.5. Dust Mite Allergen
4.6. Cockroach Allergen
4.7. Mouse Allergen
4.8. Endotoxin
4.9. Mould
5. Conclusions
Acknowledgments
References
- Garner, R; Kohen, D. Changes in the prevalence of asthma among Canadian children. Health Rep 2008, 19, 45–50. [Google Scholar]
- Millar, WJ; Hill, GB. Childhood asthma. Health Rep 1998, 10, 9–21. [Google Scholar]
- Taylor, WR; Newacheck, PW. Impact of childhood asthma on health. Pediatrics 1992, 90, 657–662. [Google Scholar]
- Leech, JA; Nelson, WC; Burnett, RT; Aaron, S; Raizenne, ME. It’s about time: A comparison of Canadian and American time-activity patterns. J. Expos. Anal. Environ. Epidemiol 2002, 12, 427–432. [Google Scholar]
- Meijer, GG; van der Heide, S; Postma, DS; de Reus, DM; Koeter, GH; van Aalderen, WM. House dust mite exposure in asthmatic and healthy children: The difference is carpeting. Pediatr. Allergy Immunol 1995, 6, 187–191. [Google Scholar]
- Sears, MR; Herbison, GP; Holdaway, MD; Hewitt, CJ; Flannery, EM; Silva, PA. The relative risks of sensitivity to grass pollen, house dust mite and cat dander in the development of childhood asthma. Clin. Experiment. Allergy 1989, 19, 419–424. [Google Scholar]
- Elliott, L; Arbes, SJ; Harvey, ES; Lee, RC; Salo, PM; Cohn, RD; London, SJ; Zeldin, DC. Dust weight and asthma prevalence in the National Survey of Lead and Allergens in Housing (NSLAH). Environ. Health Perspect 2007, 115, 215–220. [Google Scholar]
- Fisk, WJ; Lei-Gomez, Q; Mendell, MJ. Meta-analyses of the associations of respiratory health effects with dampness and mold in homes. Indoor Air 2007, 17, 284–296. [Google Scholar]
- Rylander, R; Lin, RH. (1-->3)-beta-D-glucan—Relationship to indoor air-related symptoms, allergy and asthma. Toxicology 2000, 152, 47–52. [Google Scholar]
- Apelberg, BJ; Aoki, Y; Jaakkola, JJ. Systematic review: Exposure to pets and risk of asthma and asthma-like symptoms. J. Allerg. Clin. Immunol 2001, 107, 455–460. [Google Scholar]
- Litonjua, AA; Carey, VJ; Burge, HA; Weiss, ST; Gold, DR. Exposure to cockroach allergen in the home is associated with incident doctor-diagnosed asthma and recurrent wheezing. J. Allerg. Clin. Immunol 2001, 107, 41–47. [Google Scholar]
- Salam, MT; Li, Y-F; Langholz, B; Gilliland, FD. Children’s health S. early-life environmental risk factors for asthma: findings from the Children’s Health Study. Environ. Health Perspect 2004, 112, 760–765. [Google Scholar]
- Koenig, JQ; Mar, TF; Allen, RW; Jansen, K; Lumley, T; Sullivan, JH; Trenga, CA; Larson, T; Liu, LJS. Pulmonary effects of indoor- and outdoor-generated particles in children with asthma. Environ. Health Perspect 2005, 113, 499–503. [Google Scholar]
- Belanger, K; Gent, JF; Triche, EW; Bracken, MB; Leaderer, BP. Association of indoor nitrogen dioxide exposure with respiratory symptoms in children with asthma. Amer. J. Respir. Crit. Care Med 2006, 173, 297–303. [Google Scholar]
- Garrett, MH; Hooper, MA; Hooper, BM; Abramson, MJ. Respiratory symptoms in children and indoor exposure to nitrogen dioxide and gas stoves. Amer. J. Respir. Crit. Care Med 1998, 158, 891–895. [Google Scholar]
- Michel, O; Ginanni, R; Duchateau, J; Vertongen, F; Le Bon, B; Sergysels, R. Domestic endotoxin exposure and clinical severity of asthma. Clin. Experiment. Allergy 1991, 21, 441–448. [Google Scholar]
- Michel, O; Kips, J; Duchateau, J; Vertongen, F; Robert, L; Collet, H; Pauwels, R; Sergysels, R. Severity of asthma is related to endotoxin in house dust. Amer J. Respir. Crit. Care Med 1996, 154, 1641–1646. [Google Scholar]
- Dales, R; Miller, D; Ruest, K; Guay, M; Judek, S. Airborne endotoxin is associated with respiratory illness in the first 2 years of life. Environ. Health Perspect 2006, 114, 610–614. [Google Scholar]
- Tavernier, GOG; Fletcher, GD; Francis, HC; Oldham, LA; Fletcher, AM; Blacklock, G; Stewart, L; Gee, I; Watson, A; Frank, TL; Frank, P; Pickering, CAC; Niven, RML. Endotoxin exposure in asthmatic children and matched healthy controls: results of IPEADAM study. Indoor Air 2005, 15, 25–32. [Google Scholar]
- Thorne, PS; Kulhankova, K; Yin, M; Cohn, R; Arbes, SJ, Jr; Zeldin, DC. Endotoxin exposure is a risk factor for asthma: the national survey of endotoxin in United States housing. Amer. J. Respir. Crit. Care Med 2005, 172, 1371–1377. [Google Scholar]
- Matsui, EC; Eggleston, PA; Buckley, TJ; Krishnan, JA; Breysse, PN; Rand, CS; Diette, GB. Household mouse allergen exposure and asthma morbidity in inner-city preschool children. Ann. Allergy Asthma Immunol 2006, 97, 514–520. [Google Scholar]
- Phipatanakul, W; Celedon, JC; Hoffman, EB; Abdulkerim, H; Ryan, LM; Gold, DR. Mouse allergen exposure, wheeze and atopy in the first seven years of life. Allergy 2008, 63, 1512–1518. [Google Scholar]
- Phipatanakul, W; Litonjua, AA; Platts-Mills, TA; Naccara, LM; Celedon, JC; Abdulkerim, H; Hoffman, EB; Gold, DR. Sensitization to mouse allergen and asthma and asthma morbidity among women in Boston. J. Allerg. Clin. Immunol 2007, 120, 954–956. [Google Scholar]
- National Asthma Education and Prevention Program. Expert Panel Report 3 (EPR-3): Guidelines for the Diagnosis and Management of Asthma-Summary Report 2007. J. Allerg. Clin. Immunol 2007, 120, S94–138. [Google Scholar]
- Guide to Community Preventive Services; Asthma Control; Community Guide Branch, National Center for Health Marketing (NCHM), Centers for Disease Control and Prevention: Atlanta, GA, USA, 2008. Available online: www.thecommunityguide.org/asthma/index.html. (accessed on 18 March 2010).
- Chew, GL; Burge, HA; Dockery, DW; Muilenberg, ML; Weiss, ST; Gold, DR. Limitations of a home characteristics questionnaire as a predictor of indoor allergen levels. Am. J. Respir. Crit. Care Med 1998, 157, 1536–1541. [Google Scholar]
- Lee, K; Xue, J; Geyh, AS; Ozkaynak, H; Leaderer, BP; Weschler, CJ; Spengler, JD. Nitrous acid, nitrogen dioxide, and ozone concentrations in residential environments. Environ. Health Perspect 2002, 110, 145–150. [Google Scholar]
- Salo, PM; Yin, M; Arbes, SJ, Jr; Cohn, RD; Sever, M; Muilenberg, M; Burge, HA; London, SJ; Zeldin, DC. Dustborne Alternaria alternata antigens in US homes: Results from the National Survey of Lead and Allergens in Housing. J. Allerg. Clin. Immunol 2005, 116, 623–629. [Google Scholar]
- Wilson, J; Dixon, SL; Bresse, P; Jacobs, D; Adamkiewicz, G; Chew, GL; Dearborn, D; Krieger, J; Sandel, M; Spanier, A. Housing and allergens: A pooled analysis of nine US studies. Environ. Res 2010, 110, 189–198. [Google Scholar]
- Campo, P; Kalra, HK; Levin, L; Reponen, T; Olds, R; Lummus, ZL; Cho, S-H; Khurana Hershey, GK; Lockey, J; Villareal, M; Stanforth, S; Lemasters, G; Bernstein, DI. Influence of dog ownership and high endotoxin on wheezing and atopy during infancy. J. Allerg. Clin. Immunol 2006, 118, 1271–1278. [Google Scholar]
- Giovannangelo, M; Gehring, U; Nordling, E; Oldenwening, M; Terpstra, G; Bellander, T; Hoek, G; Heinrich, J; Brunekreef, B. Determinants of house dust endotoxin in three European countries—The AIRALLERG study. Indoor Air 2007, 17, 70–79. [Google Scholar]
- Simpson, A; Woodcock, A; Custovic, A. Housing characteristics and mite allergen levels: To humidity and beyond. Clin. Exp Allergy 2001, 31, 803–805. [Google Scholar]
- 2006 Census Table—Persons 0—11 Years Old in Private Households in Occupied Private Dwellings by Age Groups, by Selected Characteristics, for Canada, 2006 Census [Custom Data File]; Statistics Canada: Ottawa, ON, Canada, 2009. Available on line: http://www.phacaspc.gc.ca/publicat/2009/cphorsphc-respcacsp/cphorsphc-respcacsp06-eng.php#c3-1 (accessed on 22 December 2009).
- Dell, SD; Foty, RG; Gilbert, NL; Jerret, M; To, T; Walter, SD; Stieb, DM. Asthma and allergic disease prevalence in a diverse sample of Toronto school children: Results from the Toronto Child Health Evaluation Questionnaire (T-CHEQ) Study. Can. Resp. J 2010, 17, 1–6. [Google Scholar]
- McCormack, MC; Breysse, PN; Hansel, NN; Matsui, EC; Tonorezos, ES; Curtin-Brosnan, J; Williams, DAL; Buckley, TJ; Eggleston, PA; Diette, GB. Common household activities are associated with elevated particulate matter concentrations in bedrooms of inner-city Baltimore pre-school children. Environ. Res 2008, 106, 148–155. [Google Scholar]
- van Deusen, A; Hyland, A; Travers, MJ; Wang, C; Higbee, C; King, BA; Alford, T; Cummings, KM. Secondhand smoke and particulate matter exposure in the home. Nicotine Tob. Res 2009, 11, 635–641. [Google Scholar]
- Wallace, L. Indoor particles: A review. J.Air Waste Manage. Assoc 1996, 46, 98–126. [Google Scholar]
- Hamilton, RG; Chapman, MD; Platts-Mills, TAE; Adkinson, NF. House dust aeroallergen measurements in clinical practice: A guide to allergen-free home and work environments. Immunol. Allergy Pract 1992, 14, 9–25. [Google Scholar]
- Remillard, JF; Roslansky, PF; Novitsky, TJ. Quantification of endotoxin using the LAL kinetic turbidmetric assay in an incubating microplate reader. LAL Update 1992, 10, 1–5. [Google Scholar]
- Foto, MS. An Analytical Method to Quantify 1,3-b-D-Glucan using the LAL Assay; (M.Sc. thesis); Carleton University: Ottawa, ON, Canada, 2002. [Google Scholar]
- Colloff, MJ; Ayres, J; Carswell, F; Howarth, PH; Merrett, TG; Mitchell, EB; Walshaw, MJ; Warner, JO; Warner, JA; Woodcock, AA. The control of allergens of dust mites and domestic pets: A position paper. Clin. Experiment. Allergy 1992, 22, 1–28. [Google Scholar]
- Platts-Mills, TA; Thomas, WR; Aalberse, RC; Vervloet, D; Champman, MD. Dust mite allergens and asthma: report of a second international workshop. J. Allerg. Clin. Immunol 1992, 89, 1046–1060. [Google Scholar]
- Dietz, RN; Cote, EA. Air infiltration measurements in a home using a convenient perfluorocarbon tracer technique. Environ. Int 1982, 8, 419–433. [Google Scholar]
- Demokritou, P; Kavouras, IG; Ferguson, S; Koutrakis, P. Development and laboratory performance evaluation of a personal multipollutant sampler for simultaneous measurements of particulate and gaseous pollutants. Aerosol Sc. Tech 2001, 35, 741–752. [Google Scholar]
- Arbes, SJ, Jr; Cohn, RD; Yin, M; Muilenberg, ML; Friedman, W; Zeldin, DC. Dog allergen (Can f 1) and cat allergen (Fel d 1) in US homes: results from the National Survey of Lead and Allergens in Housing. J. Allerg. Clin. Immunol 2004, 114, 111–117. [Google Scholar]
- Gelber, LE; Seltzer, LH; Bouzoukis, JK; Pollart, SM; Chapman, MD; Platts-Mills, TA. Sensitization and exposure to indoor allergens as risk factors for asthma among patients presenting to hospital. Amer. Rev. Resp. Dis 1993, 147, 573–578. [Google Scholar]
- Liccardi, G; D’Amato, G; Russo, M; Canonica, GW; D’Amato, L; De Martino, M; Passalacqua, G. Focus on cat allergen (Fel d 1): immunological and aerodynamic characteristics, modality of airway sensitization and avoidance strategies. Int. Arch. Allergy Immunol 2003, 132, 1–12. [Google Scholar]
- Arlian, LG; Neal, JS; Vyszenski-Moher, DL. Reducing relative humidity to control the house dust mite Dermatophagoides farinae. J. Allerg. Clin. Immunol 1999, 104, 852–856. [Google Scholar]
- Health Canada. Exposure guidelines for residential indoor air quality: Part A. substances with exposure guidelines—Non-carcinogenic effects; Health Canada: Ottawa, ON, Canada, 2008. Available online: http://www.hc-sc.gc.ca/ewh-semt/pubs/air/exposure-exposition/non-carcinoeng.php (accessed on 18 August 2010).
- Arlian, LG; Neal, JS; Morgan, MS; Vyszenski-Moher, DL; Rapp, CM; Alexander, AK. Reducing relative humidity is a practical way to control dust mites and their allergens in homes in temperate climates. J. Allerg. Clin. Immunol 2001, 107, 99–104. [Google Scholar]
- Global Initiative for Asthma (GINA). Global Strategy for Asthma Management and Prevention 2008 Update. Available online: http://www.ginasthma.com/Guidelineitem.asp??l1=2&l2=1&intId=1561 (accessed on 2 July 2009).
- Special Tabulation Using 2001 Census Microdata File (N = 13368 households), Canada Census; Statistics Canada: Ottawa, ON, Canada, 2001.
- Gilbert, NL; Gauvin, D; Guay, M; Heroux, M-E; Dupuis, G; Legris, M; Chan, CC; Dietz, RN; Levesque, B. Housing characteristics and indoor concentrations of nitrogen dioxide and formaldehyde in Quebec City, Canada. Environ. Res 2006, 102, 1–8. [Google Scholar]
- Emenius, G; Pershagen, G; Berglind, N; Kwon, HJ; Lewne, M; Nordvall, SL; Wickman, M. NO2, as a marker of air pollution, and recurrent wheezing in children: a nested case-control study within the BAMSE birth cohort. Occup. Environ. Med 2003, 60, 876–881. [Google Scholar]
- Diette, GB; Hansel, NN; Buckley, TJ; Curtin-Brosnan, J; Eggleston, PA; Matsui, EC; McCormack, MC; Williams, DL; Breysse, PN. Home indoor pollutant exposures among inner-city children with and without asthma. Environ. Health Perspect 2007, 115, 1665–1669. [Google Scholar]
- Kattan, M; Gergen, PJ; Eggleston, P; Visness, CM; Mitchell, HE. Health effects of indoor nitrogen dioxide and passive smoking on urban asthmatic children. J. Allerg. Clin. Immunol 2007, 120, 618–624. [Google Scholar]
- Abt, E; Suh, HH; Allen, G; Koutrakis, P. Characterization of indoor particle sources: A study conducted in the metropolitan Boston area. Environ. Health Perspect 2000, 108, 35–44. [Google Scholar]
- Cyrys, J; Pitz, M; Bischof, W; Wichmann, HE; Heinrich, J. Relationship between indoor and outdoor levels of fine particle mass, particle number concentrations and black smoke under different ventilation conditions. J. Expos. Anal. Environ. Epidem 2004, 14, 275–283. [Google Scholar]
- Ferro, AR; Kopperud, RJ; Hildemann, LM; Ferro, AR; Kopperud, RJ; Hildemann, LM. Source strengths for indoor human activities that resuspend particulate matter. Environ. Sci. Technol 2004, 38, 1759–1764. [Google Scholar]
- Clark, NA; Demers, PA; Karr, CJ; Koehoorn, M; Lencar, C; Tamburic, L; Brauer, M. Effect of early life exposure to air pollution on development of childhood asthma. Environ. Health Perspect 2009, 118, 284–290. [Google Scholar]
- Brunekreef, B; Stewart, AW; Anderson, HR; Lai, CKW; Strachan, DP; Pearce, N. Self-reported truck traffic on the street of residence and symptoms of asthma and allergic disease: A global relationship in ISAAC phase 3. Environ. Health Perspect 2009, 117, 1791–1798. [Google Scholar]
- Neal, JS; Arlian, LG; Morgan, MS; Neal, JS; Arlian, LG; Morgan, MS. Relationship among house-dust mites, Der 1, Fel d 1, and Can f 1 on clothing and automobile seats with respect to densities in houses. Ann. Allergy Asthma Immunol 2002, 88, 410–415. [Google Scholar]
- Chen, C-M; Tischer, C; Schnappinger, M; Heinrich, J. The role of cats and dogs in asthma and allergy—A systematic review. Int. J. Hyg. Environ. Health 2010, 213, 1–31. [Google Scholar]
- Kerkhof, M; Wijga, AH; Brunekreef, B; Smit, HA; de Jongste, JC; Aalberse, RC; Hoekstra, MO; Gerritsen, J; Postma, DS. Effects of pets on asthma development up to 8 years of age: The PIAMA study. Allergy 2009, 64, 1202–1208. [Google Scholar]
- Arbes, SJ, Jr; Cohn, RD; Yin, M; Muilenberg, ML; Burge, HA; Friedman, W; Zeldin, DC. House dust mite allergen in US beds: Results from the First National Survey of Lead and Allergens in Housing. J. Allerg. Clin. Immunol 2003, 111, 408–414. [Google Scholar]
- Huss, K; Adkinson, NF, Jr; Eggleston, PA; Dawson, C; Van Natta, ML; Hamilton, RG. House dust mite and cockroach exposure are strong risk factors for positive allergy skin test responses in the Childhood Asthma Management Program. J. Allerg. Clin. Immunol 2001, 107, 48–54. [Google Scholar]
- Matsui, EC; Simons, E; Rand, C; Butz, A; Buckley, TJ; Breysse, P; Eggleston, PA. Airborne mouse allergen in the homes of inner-city children with asthma. J. Allerg. Clin. Immunol 2005, 115, 358–363. [Google Scholar]
- Cohn, RD; Arbes, SJ, Jr; Yin, M; Jaramillo, R; Zeldin, DC; Cohn, RD; Arbes, SJ, Jr; Yin, M; Jaramillo, R; Zeldin, DC. National prevalence and exposure risk for mouse allergen in US households. J. Allerg. Clin. Immunol 2004, 113, 1167–1171. [Google Scholar]
- Phipatanakul, W; Eggleston, PA; Wright, EC; Wood, RA; National Coooperative Inner-City Asthma Study. Mouse allergen. II. The relationship of mouse allergen exposure to mouse sensitization and asthma morbidity in inner-city children with asthma. J. Allerg. Clin. Immunol 2000, 106, 1075–1080. [Google Scholar]
- Bischof, W; Koch, A; Gehring, U; Fahlbusch, B; Wichmann, HE; Heinrich, J; Indoor, E; Genetics in Asthma Study Group. Predictors of high endotoxin concentrations in the settled dust of German homes. Indoor Air 2002, 12, 2–9. [Google Scholar]
- Dales, R; Miller, D; McMullen, E. Indoor air quality and health: validity and determinants of reported home dampness and moulds. Int. J. Epidemiol 1997, 26, 120–125. [Google Scholar]
- Schmechel, D; Green, BJ; Blachere, FM; Janotka, E; Beezhold, DH. Analytical bias of cross-reactive polyclonal antibodies for environmental immunoassays of Alternaria alternata. J. Allerg. Clin. Immunol 2008, 121, 763–768. [Google Scholar]










| VARIABLE | T-CHEQ PHASE 3 (n = 60)* | T-CHEQ PHASE 1 (N = 5559)* | ||||
|---|---|---|---|---|---|---|
| Frequency (%) | 95% Confidence Limits | Frequency (%) | 95% Confidence Limits | |||
| PARTICIPANT CHARACTERISTICS | ||||||
| Sex | ||||||
| Male | 28 (46.7) | (33.7, 59.7) | 2,744 (50.2) | (48.9, 51.5) | ||
| Household Income Adequacy | ||||||
| Lowest | 0 (0) | - | 935 (18.0) | (17.0, 19.1) ‡ | ||
| Lower Middle Income | 4 (6.8) | (0.2, 13.4) | 1,156 (22.3) | (21.2, 23.4) ‡ | ||
| Upper Middle Income | 13 (22.0) | (11.1, 32.9) | 1,188 (22.9) | (21.8, 24.1) | ||
| Highest Income | 42 (71.2) | (59.3, 83.1) | 1,904 (36.7) | (35.4, 38.0) ‡ | ||
| Lifetime Asthma | 11 (18.3) | (8.3, 28.4) | 836 (15.5) | (14.5, 16.4) | ||
| DWELLING CHARACTERISTICS | ||||||
| Type Of Dwelling | ||||||
| Single Detached House | 50 (83.3) | (73.6, 93.0) | 2,359 (44.6) | (43.3, 46.0) ‡ | ||
| Double (Semi Detached) | 7 (11.7) | (3.3, 20.0) | 746 (14.1) | (13.2, 15.1) | ||
| Row Or Terrace House | 3 (5.0) | (0.0, 10.7) | 282 (5.3) | (4.7, 5.9) | ||
| Duplex/triplex/low rise apt (<=5 stories) | EXCLUDED | 446 (8.4) | (7.7, 9.2) | |||
| High rise (>5 stories) | EXCLUDED | 1,368 (25.9) | (24.7, 27.1) | |||
| Institution, hotel; rooming/lodging | EXCLUDED | 84 (1.6) | (1.3, 1.9) | |||
| house/camp, mobile home, other | ||||||
| Year Dwelling Built | ||||||
| 1990 Or Later | 5 (8.3) | (1.1, 15.5) | NA | NA | ||
| 1969 To 1989 | 9 (15.0) | (5.7, 24.3) | NA | NA | ||
| 1949 To 1969 | 16 (26.7) | (15.1, 38.2) | NA | NA | ||
| Before 1949 | 30 (50.0) | (37.0, 63.0) | NA | NA | ||
| Cooking Fuel Used At Present† | ||||||
| Gas | 19 (31.7) | (19.5, 43.8) | 1,066 (19.6) | (18.5, 20.7) | ||
| Electric | 41 (68.3) | (56.2, 80.5) | 4,374 (80.4) | (79.3, 81.5) | ||
| Cat In Home At Present† | 9 (15.0) | (5.7, 24.3) | 751 (13.5) | (12.6, 14.4) | ||
| Any Pets At Home At Present† | 38 (63.3) | (50.8, 75.9) | 1,495 (29.4) | (28.1, 30.6) ‡ | ||
| Carpets in Child’s Bedroom | 46 (76.7) | (65.4, 87.7) | 2,358 (42.4) | (41.1, 43.7) ‡ | ||
| Air Conditioning | 58 (96.7) | (92.0, 100.0) | 4,074 (73.3) | (72.1, 74.5) ‡ | ||
| Roaches At Present† | 1 (1.7) | (0, 5.0) | 546 (9.8) | (9.0, 10.6) ‡ | ||
| Mice At Present | 10 (16.7) | (7.0, 26.4) | 5,013 (90.2) | (9.0, 10.6) | ||
| Damp Spots In House At Present† | 7 (11.7) | (3.3, 20.0) | 384 (6.9) | (6.2, 7.6) | ||
| Mould In House At Present | 28 (46.7) | (33.7, 59.7) | 336 (6.0) | (5.4, 6.7) | ||
| Mean (SD) | Median | |
|---|---|---|
| Indoor temperature (°C) | 22.5 (2.1) | 22.6 |
| Indoor relative humidity (%) | 51.7 (7.4) | 50.7 |
| Ventilation (air changes/hour) | 0.36 (0.34) | 0.30 |
| Indoor NO2 (ppb) | 10.0 (7.5) | 8.6 |
| Outdoor NO2 (ppb) | 15.6 (4.8) | 14.9 |
| Indoor PM2.5 (μg/m3) | 9.2 (5.6) | 7.8 |
| Outdoor PM2.5 (μg/m3) | 9.6 (3.7) | 9.0 |
| N | % | Mean (SD) [μg/g] | Median [μg/g] | Mean (SD) [μg/m2] | Median [μg/m2] | |
|---|---|---|---|---|---|---|
| Fel d 1 | 87.62 (268.52) | 1.42 | 31.73 (118.08) | 0.49 | ||
| Insufficient dust to perform analysis | 1 | 1.67 | ||||
| ≤1 μg/g | 26 | 43.33 | ||||
| >1 μg/g to 8 μg/g | 20 | 33.33 | ||||
| >8 μg/g | 13 | 21.67 | ||||
| Der p 1 | 0.60 (1.90) | 0.04 | 0.29 (0.91) | 0.02 | ||
| Insufficient dust to perform analysis | 2 | 3.33 | ||||
| Below detection limit (<0.01 μg/g) | 16 | 26.67 | ||||
| 10 ng/g to ≤2 μg/g | 39 | 65.00 | ||||
| >2 μg/g to 10 μg/g | 2 | 3.33 | ||||
| >10 μg/g | 1 | 1.67 | ||||
| Der f 1 | 44.50 (135.05) | 2.87 | 16.07 (63.79) | 0.77 | ||
| Insufficient dust to perform analysis | 1 | 1.67 | ||||
| ≤2 μg/g | 25 | 41.67 | ||||
| >2 μg/g to 10 μg/g | 14 | 23.33 | ||||
| >10 μg/g | 20 | 33.33 | ||||
| Bla g 1 | NA | NA | NA | NA | ||
| Insufficient dust to perform analysis | 1 | 1.7 | ||||
| Below detection limit (<0.04 U/g) | 59 | 98.3 | ||||
| Mus m 1 | 0.11(0.34) | 0.02 | 0.08 (0.36) | 0.01 | ||
| Insufficient dust to perform analysis | 8 | 13.33 | ||||
| =<0.001 μg/g | 1 | 1.67 | ||||
| Above detection limit (>0.001 μg/g) | 51 | 85.00 | ||||
| Endotoxin | 9.68 (6.67) | 8.93 | ||||
| Above detection limit (>0.000625 μg/g) | 60 | 100.00 | ||||
| (1→3)-β-D-glucan | 8,734.74 (6,985.22) | 6,562.32 | 4,384.81 (6,932.37) | 1,939.75 | ||
| Insufficient dust to perform analysis | 4 | 6.67 | ||||
| Above detection limit (>0.0625 μg/g) | 56 | 93.33 | ||||
| Alt a 1 | NA | NA | NA | NA | ||
| Insufficient dust to perform analysis | 7 | 11.7 | ||||
| Below detection limit (<0.032 μg/g) | 53 | 88.3 |
| N | Der f 1 (μg/g) | Der f 1 (μg/m2) | |||
|---|---|---|---|---|---|
| Mean | p-value | Mean | p-value | ||
| Self-reported variables from the T-CHEQ | |||||
| Any carpet in the child’s bedroom | 0.95 | 0.49 | |||
| Yes | 31 | 45.09 | 21.41 | ||
| No | 28 | 43.86 | 10.16 | ||
| Air conditioning in the home at present | 0.25 | 0.16 | |||
| Yes | 51 | 40.29 | 15.81 | ||
| No | 8 | 71.35 | 17.73 | ||
| Total number of people in the household | 0.63 | 0.52 | |||
| 3 or fewer | 11 | 28.26 | 7.65 | ||
| 4 | 27 | 44.63 | 9.40 | ||
| 5 | 17 | 63.70 | 36.04 | ||
| 6 or more | 4 | 4.36 | 0.23 | ||
| Report from HI questionnaire | |||||
| Year home was built | |||||
| Pre-1990 | 54 | 47.61 | 0.04* | 17.53 | 0.01* |
| 1990 or later | 5 | 10.96 | 0.20 | ||
| Frequency of humidifier use | 0.23 | 0.56 | |||
| Never | 23 | 46.07 | 12.80 | ||
| Yes for less than 60 days | 9 | 26.11 | 19.63 | ||
| Yes for at least 60 days | 26 | 98.60 | 15.91 | ||
| Frequency of central air conditioning use | |||||
| Less than 30 days per year | 20 | 46.36 | 0.06 | 29.51 | 0.01* |
| At least 30 days per year | 29 | 33.82 | 5.20 | ||
| Variables from home inspection measurements | |||||
| Sampling surface | 0.67 | 0.06 | |||
| Carpet | 47 | 50.73 | 19.20 | ||
| Hardwood | 10 | 14.02 | 0.74 | ||
| Calendar season | 0.96 | 0.80 | |||
| Summer | 32 | 51.62 | 20.98 | ||
| Fall | 27 | 32.54 | 7.81 | ||
| Mean indoor relative humidity | 0.002* | 0.007* | |||
| Mean RH ≤ 50% | 18 | 6.24 | 1.68 | ||
| Mean RH > 50% | 14 | 61.30 | 22.39 | ||
| Correlation coefficient (r) | Correlation coefficient (r) | ||||
| Percent of time indoor RH > 50% | 0.39 | 0.002* | 0.36 | 0.005* | |
| Mean indoor temperature | −0.01 | 0.95 | −0.04 | 0.75 | |
© 2010 by the authors; licensee Molecular Diversity Preservation International, Basel, Switzerland. This article is an open-access article distributed under the terms and conditions of the Creative Commons Attribution license (http://creativecommons.org/licenses/by/3.0/).
Share and Cite
Loo, C.K.J.; Foty, R.G.; Wheeler, A.J.; Miller, J.D.; Evans, G.; Stieb, D.M.; Dell, S.D. Do Questions Reflecting Indoor Air Pollutant Exposure from a Questionnaire Predict Direct Measure of Exposure in Owner-Occupied Houses? Int. J. Environ. Res. Public Health 2010, 7, 3270-3297. https://doi.org/10.3390/ijerph7083270
Loo CKJ, Foty RG, Wheeler AJ, Miller JD, Evans G, Stieb DM, Dell SD. Do Questions Reflecting Indoor Air Pollutant Exposure from a Questionnaire Predict Direct Measure of Exposure in Owner-Occupied Houses? International Journal of Environmental Research and Public Health. 2010; 7(8):3270-3297. https://doi.org/10.3390/ijerph7083270
Chicago/Turabian StyleLoo, C.K. Jennifer, Richard G. Foty, Amanda J. Wheeler, J. David Miller, Greg Evans, David M. Stieb, and Sharon D. Dell. 2010. "Do Questions Reflecting Indoor Air Pollutant Exposure from a Questionnaire Predict Direct Measure of Exposure in Owner-Occupied Houses?" International Journal of Environmental Research and Public Health 7, no. 8: 3270-3297. https://doi.org/10.3390/ijerph7083270
APA StyleLoo, C. K. J., Foty, R. G., Wheeler, A. J., Miller, J. D., Evans, G., Stieb, D. M., & Dell, S. D. (2010). Do Questions Reflecting Indoor Air Pollutant Exposure from a Questionnaire Predict Direct Measure of Exposure in Owner-Occupied Houses? International Journal of Environmental Research and Public Health, 7(8), 3270-3297. https://doi.org/10.3390/ijerph7083270
