Abstract
The heterogeneous phase combination flooding (HPCF) system which is composed of a branched-preformed particle gel (B-PPG), polymer, and surfactant has been proposed to enhance oil recovery after polymer flooding in heterogeneous reservoirs by mobility control and reducing oil–water interfacial tension. However, the high cost of chemicals can make this process economically challenging in an era of low oil prices. Thus, in an era of low oil prices, it is becoming even more essential to optimize the heterogeneous phase combination flooding design. In order to optimize the HPCF process, the injection strategy has been designed such that the incremental oil recovery can be maximized using the corresponding combination of the B-PPG, polymer, and surfactant, thereby ensuring a more economically-viable recovery process. Different HPCF injection strategies including simultaneous injection and alternation injection were investigated by conducting parallel sand pack flooding experiments and large-scale plate sand pack flooding experiments. Results show that based on the flow rate ratio, the pressure rising area and the incremental oil recovery, no matter whether the injection strategy is simultaneous injection or alternation injection of HPCF, the HPCF can significantly block high permeability zone, increase the sweep efficiency and oil displacement efficiency, and effectively improve oil recovery. Compared with the simultaneous injection mode, the alternation injection of HPCF can show better sweep efficiency and oil displacement efficiency. Moreover, when the slug of HPCF and polymer/surfactant with the equivalent economical cost is injected by alternation injection mode, as the alternating cycle increases, the incremental oil recovery increases. The remaining oil distribution at different flooding stages investigated by conducting large-scale plate sand pack flooding experiments shows that alternation injection of HPCF can recover more remaining oil in the low permeability zone than simultaneous injection. Hence, these findings could provide the guidance for developing the injection strategy of HPCF to further enhance oil recovery after polymer flooding in heterogeneous reservoirs in the era of low oil prices.
1. Introduction
Water flooding is one of the most widely used techniques for enhanced oil recovery by supplementing reservoir energy and displacing remaining oil. However, due to the heterogeneity of reservoirs and unfavorable mobility ratio between oil and water, the early breakthrough of the injected water occurs. It is certain that a large percentage of oil remains unrecovered in unswept zones after water flooding. It is estimated that only about 23%–35% of remaining oil is confined in water flooding zones and about 65%–77% of remaining oil is left in unswept zones [1,2,3]. Thus, it is crucial to sweep remaining oil from unswept zones to enhance oil recovery in heterogeneous reservoirs after water flooding. Hence, many technologies have been applied to counteract the heterogeneity of reservoirs and solve the unfavorable mobility ratio and improve the sweep efficiency, such as gel treatment [4,5,6], polymer flooding [7], and foam flooding [8].
Polymer flooding has been widely applied in various oilfields to enhance oil recovery by decreasing the mobility ratio of injected water and oil. It is estimated that the incremental oil recovery of polymer flooding is about 10% compared with water flooding. However, the remaining oil in the reservoir is still up to 50% after polymer flooding [9]. Moreover, it is found that there exist some problems after polymer flooding as follows. The reservoir heterogeneity becomes more serious and the distribution of residual oil in porous media becomes more scattered. The water breakthrough is aggravated due to the more serious reservoir heterogeneity after polymer flooding. Thus, with the popularization of polymer flooding technology, how to further enhance oil recovery after polymer flooding attracts more and more concerns. Therefore, many technologies including polymer-surfactant flooding [10,11], alkaline-surfactant-polymer flooding [12,13,14], foam flooding [15,16,17,18], and gel treatment [19,20,21,22] have been developed to further enhance oil recovery by improving the sweep efficiency and oil displacement efficiency. Gel treatment has been recognized as an effective technology to enhance oil recovery after polymer flooding. In principle, the gel can be divided into traditionally in situ polymer gel and preformed particle gel. The traditionally in situ polymer gel that is composed of polymer and cross linker was injected into the formation to form gel at reservoir condition. The disadvantages of in situ polymer gel are as follows [23,24,25]: (1) The effects of adsorption, dilution, and shear degradation on the cross-linking reaction; (2) it is hard to control the gelation time and gel strength; (3) possible damages on the low permeability unswept oil zone. To overcome the effect of adsorption, dilution, and shear degradation that usually occur in the in situ polymer gel, recently, the preformed particle gels have been widely studied and applied for conformance control. The preformed particle gels are formed at surface conditions before injection into the formation, which can avoid the uncertainty of gelation. Thus, preformed particle gels are attracting increasing interest for conformance control to improve oil recovery in mature oilfields. Recently, a novel branched-preformed particle gel (B-PPG) has been developed by the Shengli oilfield [26,27]. The B-PPG is a preformed particle gel with some branched chains. Due to the existence of cross-linked network and linear branched chains, the B-PPG cannot dissolve completely in water. Compared with the conventional preformed particle gel (PPG), the B-PPG suspension has viscosity and suspension properties. Previous experimental studies have shown that the B-PPG has a weak effect on increasing the viscosity, but it has an excellent elastic property to block, deform, and pass through pore throats [28,29,30].
In recent years, a heterogeneous phase combination flooding (HPCF) system that is composed of branched-preformed particle gel (B-PPG), hydrolyzed polyacrylamide (HPAM), and surfactant was developed to enhance oil recovery after polymer flooding. The proposed enhanced oil recovery (EOR) mechanism after polymer flooding is as follows: (1) The B-PPG can react with polymer to increase viscoelastic of the system to improve sweep efficiency; (2) surfactant can reduce the oil–water interfacial tension to improve the oil displacement efficiency. It is reported that the pilot test of heterogeneous combination flooding after polymer flooding was conducted in the Zhongyiqu Ng3 block, Gudao oil plant of Shengli oilfield, which has achieved remarkable incremental oil recovery of 6.62% [31]. Whereas, since mid-2014, oil prices have fallen dramatically and the economic benefit of heterogeneous phase combination flooding shows a decline trending due to high chemical costs. It is of great significance to reduce the dosage of surfactant and B-PPG to improve the economic benefit of heterogeneous phase combination flooding. Thus, in an era of low oil prices, it is becoming even more essential to optimize the heterogeneous combination flooding design under reservoir conditions. In this paper, different injection strategies including continuous injection and alternating injection modes of heterogeneous combination flooding systems have been investigated by conducting parallel sand pack flooding experiments and large-scale plate sand pack flooding experiments. The flow rate ratio, pressure drop change, and incremental oil recovery were investigated. The aim of this work is to provide an injection strategy of HPCF to further enhance oil recovery after polymer flooding in heterogeneous reservoirs in the era of low oil prices.
2. Experimental Study
2.1. Materials
Branched-preformed particle gel (B-PPG), partially hydrolyzed polyacrylamide (HPAM), and crude oil used in this study were provided by Shengli oilfield. The surfactant used in this study is the combination of petroleum sulfonate (SLPS) and nonionic surfactant (GD-3) with the ratio of 1:1 provided by Shengli oilfield. The concentration of surfactant was optimized as 0.4%. Due to the existence of cross-linked networks and linear branched chains, the B-PPG cannot dissolve completely in water. The appearance of B-PPG before and after being swollen in synthetic formation brine solution is shown in Figure 1. The size distribution of B-PPG was measured by a Beckman Coulter Multisizer, shown in Figure 2. The average particle diameter of the B-PPG after being swollen in synthetic formation brine solution is 240 μm. The viscosity-average molecular weight of HPAM was about 2.6 × 107. The viscosity of crude oil obtained from Shengli Oilfield was 68.5 mPa·s at 70 °C. The synthetic formation brine with total dissolved solids (TDS) of 7101 mg·L−1 containing 2502 mg·L−1 Na+, 82 mg·L−1 Ca2+, 25 mg·L−1 Mg2+, 3502 mg·L−1 Cl−, and 990 mg·L−1 HCO3−. The viscosities of the pre-slug and main slug for different injection modes were measured by a Brookfield viscometer DV-II. All the viscosity measurements were carried out at 30 °C. The viscosity of the pre-slug was composed of 1500 mg·L−1 polymer and 1500 mg·L−1 B-PPG was 74.5 mPa·s at 30 °C. The viscosities of main slug under different injection modes are shown in Table 1.
Figure 1.
The appearance of branched-preformed particle gel (B-PPG) before and after being swollen in brine solution: (a) before swollen; (b) after swollen.
Figure 2.
The apparatus of Beckman Coulter Multisizer.
Table 1.
The viscosities of the main slug under different injection modes.
2.2. Methods
2.2.1. Sand Pack Preparation and Property Determination
Sand packs were prepared at ambient temperature and the quartz sand including coarse sand (40–60 mesh) and fine sand (80–100 mesh sand and 160 mesh sand with a mass ratio of 2:1) were used to prepare high permeability and low permeability sand packs. The sand pack was placed in the vibration unit in a vertical position and filled with the simulated formation brine. Then a perfect packing was needed for the preparation of the porous media. The porosity was measured by the volumetric methods and the permeability was measured by Darcy’s law [32].
2.2.2. Parallel Sand Pack Flooding Experiment
The parallel sand pack flooding experiments were conducted to evaluate the enhanced oil recovery ability in heterogeneous reservoirs. The parallel sand pack model with high permeability and low permeability was used to simulate the heterogeneous reservoir. The schematic diagram of the parallel sand pack flooding experimental apparatus is shown in Figure 3. The parallel sand pack flooding experiments were conducted at the testing temperature (70 °C) and the atmospheric pressure. The experimental procedure was as follows:
Figure 3.
The schematic diagram of parallel sand pack flooding experimental apparatus.
(1) The sand packs were saturated with formation brine and the pore volume was calculated; (2) formation brine was injected at the flow rate of 1.0 mL·min-1 and the absolute permeability of the sand pack was calculated by using a measured pressure drop across the sand pack. The permeability to brine was measured at a flow rate of 1.0 mL·min−1. (3) The crude oil was injected to displace water until no water was produced at the end of sand pack and the initial oil saturation was calculated based on the volume of water displaced at a flow rate of 0.1 mL·min−1. Then the sand packs were aged for 48 h at 70 °C. (4) Water flooding was conducted until the water cut was 95%. The injection pressure, volume of water and oil produced, and water cut were recorded every few minutes; (5) Then a 0.3 PV polymer slug was injected into the sand packs, followed by subsequent water flooding until the water cut was 98%. (6) Then a different heterogeneous combination flooding system was injected into the sand packs by means of different injection modes and followed by subsequent water flooding until the water cut was 98%. The slug design of HPCF under different injection modes is shown in Figure 4 and Table 2. (7) Then according to the volume of water and oil produced at different times, the flow rate ratio as a function of injected pore volumes can be calculated. The amounts of produced fluid including water and oil of both parallel sand packs were recorded to calculate the flow rate ratios, respectively. The flow rate ratio of the high permeability sand pack or low permeability sand pack at a given time can be defined as follows:
where fhigh and flow is the flow rate ratio of the high permeability sand pack and low permeability sand pack at a given time, respectively, Qhigh is the volume flow rate of high permeability sand pack, and Qlow is the volume flow rate of low permeability sand pack.
Figure 4.
The slug design of the heterogeneous combination flooding system.
Table 2.
The slug design of the heterogeneous combination flooding system under different injection modes.
The injection pressure, oil recovery, and water cut as a function of injected pore volumes can be obtained. The changes in the flow rate ratios of the high permeability sand pack and low permeability sand pack can play a role in characterizing the mobility control ability of polymer and HPCF.
2.2.3. Large-Scale Plate Sand Pack Flooding Experiments
The large-scale plate sand pack flooding experimental apparatus includes an ISCO pump (Teledyne ISCO company, Lincoln, NE, USA), large-scale plate sand pack model (50 cm in length, 25 cm in width, and 1.8 cm in depth), LCR digital bridge (Changzhou Tonghui Electronic Co., Ltd., Changzhou, China), and oil-water saturation acquisition control system. Figure 5 shows the schematic diagram of large-scale plate sand pack flooding experimental apparatus. The large-scale plate sand pack flooding experiments were conducted at the ambient temperature and the atmospheric pressure.
Figure 5.
The schematic diagram of large-scale plate sand pack experimental apparatus.
The experimental procedure was as follows:
(1) Two different kinds of quartz sand including coarse sand (40–60 mesh) and fine sand (80–100 mesh sand and 160 mesh sand with the mass ratio is 2:1) were used to prepare the large-scale plate sand pack to simulate the high permeability and low permeability zone in the heterogeneous reservoir. (2) The large-scale plate sand pack model was vacuumed and saturated with the simulated formation brine. (3) Then the crude oil was injected into the plate sand pack model to displace the water until no water was produced at the end of the plate sand pack model and the initial oil saturation was calculated based on the volume of water displaced. Then the sand packs were aged for 48 h at 70 °C. (4) Water flooding was conducted until the water cut was 95%. (5) Then a 0.3 PV polymer slug was injected into the large-scale plate sand pack model and followed by subsequent water flooding until the water cut was 98%. (6) Then a different heterogeneous combination flooding system was injected into the sand packs according to different injection modes and followed by subsequent water flooding until the water cut was 98%. (7) Then the remaining oil saturation at different flooding stages can be obtained.
3. Results and Discussion
3.1. Enhanced Oil Recovery of Heterogeneous Phase Combination Flooding System
The heterogeneous phase combination flooding system is composed of branched-preformed particle gel (B-PPG), polymer, and surfactant. On one hand, the B-PPG can react with the polymer to increase its viscoelastic properties and improve sweep efficiency; on the other hand, the surfactant can reduce the oil-water interfacial tension and improve the oil displacement efficiency. Different HPCF injection strategies including simultaneous injection and alternation injection were investigated and optimized by conducting parallel sand pack flooding experiments. The diameter and length of sand pack was 2.5 cm and 50 cm, respectively. The main slug of HPCF injection mode and basic properties of the sand packs are illustrated in Table 3.
Table 3.
The injection mode of flooding fluid and basic properties of sand packs for flooding experiments.
3.1.1. Flow Rate Ratio Analysis
The flow rate ratio curves of the initial water flooding, polymer flooding and subsequent water flooding, and HPCF flooding and subsequent water flooding are plotted in Figure 6.
Figure 6.
The flow rate ratio curves of the parallel sand pack flooding test: (a) Simultaneous injection—HPCF flooding; (b) Simultaneous injection—SP flooding; (c) Alternation injection—alternating cycle 1; (d) Alternation injection—alternating cycle 2.
The flow rate ratio curves of the initial water flooding, polymer flooding, and subsequent water flooding for different injection modes have similar change trends as follows: It can be seen that during the water flooding period, water channels into the high permeability sand pack and the flow rate ratio of the high permeability sand pack is higher than 95%, while the flow rate ratio of the low permeability sand pack is lower than 5%. During the polymer flooding period, the flow rate ratio of the low permeability sand pack increases and the flow rate ratio of the high permeability sand pack decreases, which can indicate that the polymer can play a role in mobility control. However, after the subsequent water flooding, the flow rate ratio of the high permeability sand pack increases and the flow rate ratio of low permeability sand pack decreases.
Thus, to clarify the flow rate ratio differences during the HPCF flooding period, the flow rate ratios of the high permeability sand pack and low permeability sand pack have been analyzed.
During the heterogeneous combination flooding and subsequent water flooding period, the flow rate ratios of the high permeability and low permeability sand pack fluctuate. During the injection of HPCF period, the branched-preformed particle gel (B-PPG) can plug the pore throat of the high permeability sand pack and the injection pressure increases. Thus, the fluid is diverted into the low permeability sand pack which results in an increase in flow rate ratio of the low permeability sand pack. It also should be mentioned that when the injection strategy of HPCF is simultaneous injection mode and the main slug is HPCF, the flow rate ratio of the high permeability and low permeability sand pack do not fluctuate during the injection of HPCF period. The fluctuation of the flow rate ratio of high and low permeability sand packs occurs during the subsequent water flooding. A similar changing trend can be observed when the injection strategy of HPCF is alternation injection mode and the alternating cycle is 1. Whereas, when the injection strategy of HPCF is simultaneous injection and the main slug is polymer and surfactant, the flow rate ratio of the high permeability and low permeability sand pack fluctuate during the injection of HPCF period. A similar changing trend can be observed when the injection strategy of HPCF is alternation injection mode and the alternating cycle is 2. The trend can be accounted for as follows: The fluid diversion ability of B-PPG shows that the fluid diversion of subsequent injected water can occur when the pressure increases by plugging the high permeability zone. When the main slug is polymer/surfactant, the fluid diversion occurs earlier.
The above flow rate ratio behaviors of HPCF in parallel sand pack tests demonstrate that no matter whether it is alternation injection or simultaneous injection of HPCF, the injection of HPCF shows conformance control ability to adjust the flow rate ratio in heterogeneous reservoirs. Moreover, the alternation injection of HPCF has a better conformance control ability than simultaneous injection.
3.1.2. The Injection Pressure Drop Change during HPCF Flooding Period
The injection pressure drop change during all five flooding stages including initial water flooding, polymer flooding and subsequent water flooding, and HPCF flooding and subsequent water flooding as a function of injected pore volume are plotted in Figure 7.
Figure 7.
The pressure drop curves of different injection modes during different flooding periods: (a) Simultaneous injection—HPCF flooding; (b) Simultaneous injection—P/S flooding; (c) Alternation injection—alternating cycle 1; (d) Alternation injection—alternating cycle 2.
The injection pressure drop curves during different flooding periods for different injection modes have similar change trends as follows: It can be seen that during the water flooding period, the injection pressure decreases and reaches stable point. During the polymer flooding and subsequent flooding period, the injection pressure initially increases and then decreases. To further clarify the sweep efficiency improvement ability after polymer flooding, the pressure drop curves of the parallel sand pack flooding test during the HPCF flooding period are shown in Figure 8.
Figure 8.
The pressure drop curves of different injection modes during the heterogeneous phase combination flooding (HPCF) flooding period.
During the HPCF flooding period, as the HPCF propagates into the porous media, the injection pressure increases. When the injection mode of HPCF is different, the increase of injection pressure is different. Thus, based on the pressure drop change as a function of the injected pore volumes, the pressure rising area method was firstly proposed to analyze the ability of sweep efficiency improvement. The pressure rising area during the HPCF flooding was calculated as follows: (1) The relationship between injection pressure and injected pore volumes was fitted by polynomial regression; (2) then the pressure rising area was integrated by fitted function according to the fitted equation below:
The pressure rising area of different injection modes during HPCF flooding period was depicted in Figure 9.
Figure 9.
The pressure rising area of different injection modes during HPCF flooding period.
Based on the calculated pressure rising area, the alternation injection of HPCF and polymer/surfactant is higher than the simultaneous injection of HPCF. For the alternation injection mode, as the alternating cycle increases, the pressure rising area increases. For the simultaneous injection mode, when the main slug is HPCF, the pressure rising area is higher than that of the slug of polymer and surfactant. Thus, based on the calculated pressure rising area, it can be concluded that the alternation injection of slug of HPCF and polymer/surfactant shows better conformance control ability than the simultaneous injection of slug of HPCF or polymer/surfactant in a heterogeneous reservoir.
3.1.3. Enhanced Oil Recovery Ability
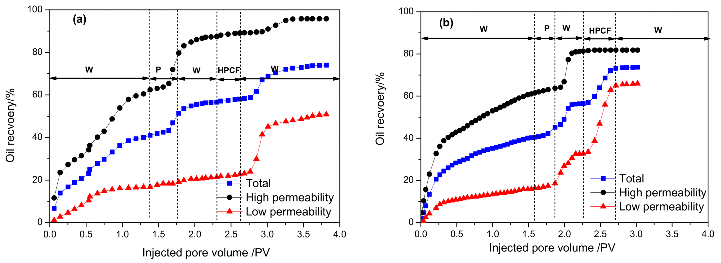
In order to evaluate the ability of enhanced oil recovery, the cumulative oil recoveries and water cut of the parallel sand pack flooding tests during different flooding stages are plotted as a function of injected pore volumes in Figure 10. The cumulative oil recoveries of high permeability and low permeability sand packs during different flooding stages are plotted as a function of injected pore volumes in Figure 11. The ability of enhanced oil recovery in parallel sand pack flooding test during different flooding stages are summarized in Table 4.
Figure 10.
The oil recovery and water cut curves of the parallel sand pack flooding test: (a) Simultaneous injection—HPCF flooding; (b) Simultaneous injection—SP flooding; (c) Alternation injection—alternating cycle 1; (d) Alternation injection—alternating cycle 2.

Figure 11.
The cumulative oil recovery curve of high permeability, low permeability sand pack, and total sand packs: (a) Simultaneous injection—HPCF flooding; (b) Simultaneous injection—SP flooding; (c) Alternation injection—alternating cycle 1; (d) Alternation injection—alternating cycle 2.
Table 4.
Oil displacement effect of heterogeneous composite flooding in different injection modes.
The cumulative oil recovery covers all five flooding stages: initial water flooding, polymer flooding, subsequent water flooding, HPCF flooding, and subsequent water flooding. The incremental oil recovery of high permeability and low permeability sand packs at different flooding stages is analyzed as follows:
(1) During the initial water flooding, due to the permeability contrast between the high permeability and low permeability sand packs, the injection water can preferentially flow into the high permeability sand pack and result in large amounts of residual oil remaining in the low permeability sand pack unrecovered. Thus, the oil recovery of the high permeability sand pack is much higher than that of the low permeability sand pack. The total oil recovery of water flooding is about 40%. Large amounts of oil remains unrecovered in the low permeability sand pack.
(2) During the polymer flooding and subsequent water flooding period, the water cut firstly decreases and oil recovery increases quickly. Then after subsequent water flooding, water cut increases and oil recovery increases slowly. Moreover, it can be found that the oil recovery in the low permeability and high permeability sand pack increases, and the incremental recovery of the high permeability sand pack is higher than that of low permeability. The results indicate that the polymer solution can play a role in mobility control and improve the sweep efficiency, thus enhancing the oil recovery of the low permeability zone.
(3) During the HPCF flooding period, the incremental recovery of the high permeability sand pack and low permeability sand pack is different for different injection strategies. As shown in Table 4 and Figure 12, it is clear that the oil recovery in the low permeability sand pack can be enhanced by 29.5%–45.9% and the total oil recovery can be enhanced by 17.4%–24.1% by HPCF flooding after polymer flooding. The results illustrate that the oil recovery can be enhanced by HPCF flooding after polymer flooding. The incremental oil recovery of HPCF flooding is different for different injection modes. The incremental oil recovery of the low permeability sand pack for alternation injection of the HPCF slug is higher than that of simultaneous injection of the HPCF slug. This phenomenon can be accounted for as follows: when the slug of HPCF and polymer/surfactant with the equivalent economical cost is injected by the alternation injection mode, after the slug of HPCF is injected into the sand pack, due to the conformance control ability, the subsequent injected polymer/surfactant combined system can be diverted into the low permeability sand pack. Combining the effects of mobility control and oil displacement of the polymer/surfactant combined system, the oil recovery in low permeability can be improved greatly. Moreover, the more of the polymer/surfactant combined system that is diverted into the low permeability sand pack, the less of the HPCF slug is injected into the high permeability sand pack. Thus, the incremental oil recovery of the high permeability sand pack for the alternation injection of the HPCF slug is slightly lower than that of the simultaneous injection of the HPCF slug. However, after polymer flooding, the remaining oil in the high permeability sand pack is far less than that in low permeability. Therefore, the total incremental oil recovery of the alternation injection of the HPCF slug is higher than that of the simultaneous injection of the HPCF slug. Moreover, when the slug of HPCF and polymer/surfactant with equivalent economical cost is injected by the alternation injection mode, the alternating cycle increases and the incremental oil recovery increases. Based on the above discussions, to enhance oil recovery after polymer flooding, it is key to recover the oil which remains in the low permeability sand pack.
Figure 12.
The incremental oil recovery of the parallel sand pack flooding test after polymer flooding.
3.2. The Remaining Oil Distribution at Different Flooding Stages
The remaining oil distribution at different flooding stages was studied by conducting large-scale plate sand pack flooding experiments. The plate sand pack model with water and oil saturation acquisition system can be used to monitor the remaining oil distribution in porous media. The results of the remaining oil distribution at different flooding stages are analyzed.
3.2.1. Water Flooding Period
During the water flooding stage, due to the permeability contrast between the high permeability zone and low permeability zone, the injected water preferentially enters the high permeability zone and gradually flows through the high permeability zone, shown in Figure 13a. As the injection time lengthens, due to the lack of barrier between the high permeability zone and low permeability zone, the injected water flows through the junction of the high permeability zone and low permeability zone. Then when the injected water flows to the end of plate sand pack model, a water channel through the high permeability zone occurs, which results in large amounts of remaining oil unrecovered in the low permeability zone. When the water cut reaches 95%, the water flooding is terminated and the remaining oil distribution at the end of water flooding is shown in Figure 13b.
Figure 13.
The remaining oil distribution during water flooding: (a) the initial stage; (b) the end of water flooding.
3.2.2. Polymer Flooding Period
After water flooding, an 0.3 PV polymer slug was injected into the large-scale plate sand pack model and followed by subsequent water flooding until the water cut was 98%. The remaining oil distribution at the end of polymer flooding is shown in Figure 14. Compared with the remaining oil distribution at the end of water flooding, it can be clearly seen that most of the remaining oil in the high permeability zone at the end of water flooding has been displaced and only a small amount of remaining oil remains unrecovered. The remaining oil nearby the injection and outlet section of the low permeability zone has been recovered. Moreover, it can be inferred that the remaining oil in the area of the low permeability zone, far away from the high permeability zone, cannot be displaced and there may still be a large amount of remaining oil after polymer flooding. This phenomenon can be explained as follows: due to the viscosity property of the polymer solution, it can decrease the mobility ratio between oil and water and increase the sweep efficiency. Whereas, the polymer solution has a limit ability of conformance control in heterogeneous reservoir, resulting in a large amount of remaining oil in the low permeability zone far away from the high permeability zone.
Figure 14.
The remaining oil distribution at the end of polymer flooding.
3.2.3. Heterogeneous Phase Combination Flooding Period
After polymer flooding, the heterogeneous phase combination flooding system slug was injected into the large-scale plate sand pack model and followed by subsequent water flooding until the water cut was 98%. The remaining oil distribution at the end of heterogeneous combination flooding is shown in Figure 15. It can be seen clearly that compared with polymer flooding, the water flow channel has formed in the high permeability zone and the remaining oil distribution area obviously decreases at the end of heterogeneous combination flooding. Moreover, compared with the simultaneous injection mode of HPCF, for the alternation injection mode of HPCF, the remaining oil in the high permeability zone can be basically recovered and only a small amount of oil remains unrecovered near the edge of plate sand pack model, which indicates that the alternation injection can show better sweep efficiency and oil displacement efficiency.
Figure 15.
The remaining oil distribution at the end of heterogeneous phase combination flooding: (a) simultaneous injection; (b) alternation injection.
3.3. Potential EOR Mechanism of HPCF after Polymer Flooding in Heterogeneous Reservoirs
Based on the above discussions, an enhanced oil recovery mechanism for the heterogeneous phase combination flooding system composed of branched-preformed particle gel (B-PPG), polymer, and surfactant after polymer flooding in heterogeneous reservoirs was proposed, as shown in Figure 16. After polymer flooding, subsequent injected water can more easily channel through the high permeability zone, resulting in more remaining oil distributed in the low permeability zone than the high permeability zone (Figure 16b). Therefore, it is key to recover the remaining oil in the low permeability zone to enhance oil recovery after polymer flooding. Then the slug of HPCF is injected and the HPCF slug preferentially enters into the high permeability zone and diverts the subsequent water into the low permeability zone (Figure 16c). During the subsequent water flooding, the B-PPG can propagate through porous media by blocking, deforming, and passing through the throat, which can change the fluid diversion and improve the sweep efficiency (Figure 16d). Moreover, the surfactant can reduce oil–water interfacial tension and improve oil displacement efficiency.
Figure 16.
The proposed enhanced oil recovery (EOR) mechanism of HPCF: (a) initial distribution of oil in heterogeneous reservoir; (b) water channel through high permeability zones after polymer flooding; (c) injection of slug of HPCF; (d) subsequent water injection after HPCF flooding.
4. Conclusions
In this study, laboratory experiments have been conducted to investigate the injection strategy of a branched-preformed particle gel/polymer/surfactant heterogeneous phase combination flooding system for enhanced oil recovery after polymer flooding in heterogeneous reservoirs. Some conclusions can be drawn from this study, and are as follows:
(1) The parallel sand pack flooding experimental results show that based on the flow rate ratio, the pressure rising area and the incremental oil recovery, no matter whether the injection strategy is simultaneous injection or alternation injection of HPCF, the HPCF can significantly block the high permeability zone, increase sweep efficiency and oil displacement efficiency, and effectively improve oil recovery. Compared with the simultaneous injection mode, the alternation injection of HPCF can show better sweep efficiency and oil displacement efficiency. Moreover, when a slug of HPCF and polymer/surfactant with the equivalent economical cost is injected by alternation injection mode, as the alternating cycle increases, the incremental oil recovery increases.
(2) The remaining oil distribution at different flooding stages investigated by conducting large-scale plate sand pack flooding experiments demonstrates that most of the remaining oil is distributed in the low permeability zone after polymer flooding and thus it is key to recover the remaining oil in the low permeability zone to enhance oil recovery after polymer flooding. Moreover, alternation injection of HPCF can recover more remaining oil in the low permeability zone than simultaneous injection.
Author Contributions
H.H. and F.Y. conceived and designed the experiments; J.F. and B.H. performed the experiments; H.H. and Q.Y. analyzed the data; L.G. and Z.L. contributed reagents/materials/analysis tools; H.H. wrote the paper.
Funding
This work was supported by National Natural Science Foundation of China (Project Number: 51604037), National Natural Science Foundation of China (Youth Fund) (Grant No.: 51704036) and Research Institute of Exploration and Development of Shengli Oilfield.
Conflicts of Interest
The authors declare no conflicts of interest.
References
- Liu, Y.; Bai, B.; Wang, Y. Applied Technologies and Prospects of Conformance Control Treatments in China. Oil Gas Sci. Technol. 2010, 65, 859–878. [Google Scholar] [CrossRef]
- You, Q.; Wang, H.; Zhang, Y.; Liu, Y.; Fang, J.; Dai, C. Experimental study on spontaneous imbibition of recycled fracturing flow-back fluid to enhance oil recovery in low permeability sandstone reservoirs. J. Pet. Sci. Eng. 2018, 166, 270–278. [Google Scholar] [CrossRef]
- Liu, S.; Wang, J.; He, H.; Wang, H. Mechanism on Imbibition of Fracturing Fluid in Nanopore. Nanosci. Nanotechnol. Lett. 2018, 10, 87–93. [Google Scholar] [CrossRef]
- Sydansk, R.D.; Southwell, G.P. More than 12 Years’ Experience with a Successful Conformance-Control Polymer-Gel Technology. AAPG Bull. 1998, 15, 270–278. [Google Scholar]
- Chung, T.; Bae, W.; Nguyen, N.T.B.; Dang, C.T.Q.; Lee, W.; Jung, B. A Review of Polymer Conformance Treatment: A Successful Guideline for Water Control in Mature Fields. Energy Sources 2011, 34, 122–133. [Google Scholar] [CrossRef]
- Bai, B.; Zhou, J.; Yin, M. A comprehensive review of polyacrylamide polymer gels for conformance control. Pet. Explor. Dev. 2015, 42, 525–532. [Google Scholar] [CrossRef]
- Wang, D.; Han, P.; Shao, Z.; Hou, W.; Seright, R.S. Sweep-improvement options for the Daqing oil field. SPE Reserv. Eval. Eng. 2008, 11, 18–26. [Google Scholar] [CrossRef]
- Zhang, Y.; Yue, X.; Dong, J.; Yu, L. New and effective foam flooding to recover oil in heterogeneous reservoir. In Proceedings of the SPE/DOE Improved Oil Recovery Symposium, Tulsa, OK, USA, 3–5 April 2000. [Google Scholar]
- Zhang, Z.; Li, J.; Zhou, J. Microscopic roles of “viscoelasticity” in HPMA polymer flooding for EOR. Transp. Porous Media 2011, 86, 199–214. [Google Scholar] [CrossRef]
- Shen, P.; Wang, J.; Yuan, S.; Zhong, T.; Jia, X. Study of enhanced-oil-recovery mechanism of alkali/surfactant/polymer flooding in porous media from experiments. SPE J. 2009, 14, 237–244. [Google Scholar] [CrossRef]
- Hongyan, W.; Xulong, C.; Jichao, Z.; Aimei, Z. Development and application of dilute surfactant–polymer flooding system for Shengli oilfield. J. Pet. Sci. Eng. 2009, 65, 45–50. [Google Scholar] [CrossRef]
- Vargo, J.; Turner, J.; Bob, V.; Pitts, M.J.; Wyatt, K.; Surkalo, H.; Patterson, D. Alkaline-Surfactant-Polymer Flooding of the Cambridge Minnelusa Field. SPE Reserv. Eval. Eng. 2000, 3, 552–558. [Google Scholar] [CrossRef]
- Liu, S.; Zhang, D.; Yan, W.; Puerto, M.; Hirasaki, G.J.; Miller, C.A. Favorable attributes of alkaline-surfactant-polymer flooding. SPE J. 2008, 13, 5–16. [Google Scholar] [CrossRef]
- Olajire, A.A. Review of ASP EOR (alkaline surfactant polymer enhanced oil recovery) technology in the petroleum industry: Prospects and challenges. Energy 2014, 77, 963–982. [Google Scholar] [CrossRef]
- Hou, Q.; Zhu, Y.; Luo, Y.; Weng, R. Studies on foam flooding EOR technique for daqing reservoirs after polymer flooding. In Proceedings of the SPE Improved Oil Recovery Symposium, Tulsa, OK, USA, 14–18 April 2012; Society of Petroleum Engineers: Houston, TX, USA, 2012. [Google Scholar]
- Wang, D.; Cheng, J.; Yang, Z.; Qun, L.; Wu, W.; Yu, H. Successful field test of the first ultra-low interfacial tension foam flood. In Proceedings of the SPE Asia Pacific Improved Oil Recovery Conference, Kuala Lumpur, Malaysia, 6–9 October 2001; Society of Petroleum Engineers: Houston, TX, USA, 2001. [Google Scholar]
- Wang, D.; Hou, Q.; Luo, Y.; Zhu, Y.; Fan, H. Feasibility Studies on CO2 Foam Flooding EOR Technique after Polymer Flooding for Daqing Reservoirs. J. Dispers. Sci. Technol. 2015, 36, 453–461. [Google Scholar] [CrossRef]
- Cao, R.; Yang, H.; Sun, W.; Ma, Y.Z. A new laboratory study on alternate injection of high strength foam and ultra-low interfacial tension foam to enhance oil recovery. J. Pet. Sci. Eng. 2015, 125, 75–89. [Google Scholar] [CrossRef]
- Chen, X.; Feng, Q.; Sepehrnoori, K.; Goudarzi, A.; Bai, B. Mechanistic modeling of gel microsphere surfactant displacement for enhanced oil recovery after polymer flooding. In Proceedings of the SPE/IATMI Asia Pacific Oil & Gas Conference and Exhibition, Nusa Dua, Bali, Indonesia, 20–22 October 2015. [Google Scholar]
- Chen, X.; Feng, Q.; Liu, W.; Sepehrnoori, K. Modeling preformed particle gel surfactant combined flooding for enhanced oil recovery after polymer flooding. Fuel 2017, 194, 42–49. [Google Scholar] [CrossRef]
- Jia, H.; Pu, W.F.; Zhao, J.Z.; Liao, R. Experimental Investigation of the Novel Phenol−Formaldehyde Cross-Linking HPAM Gel System: Based on the Secondary Cross-Linking Method of Organic Cross-Linkers and Its Gelation Performance Study after Flowing through Porous Media. Energy Fuels 2011, 25, 727–736. [Google Scholar] [CrossRef]
- He, H.; Wang, Y.; Zhang, J. Novel Gel with Controllable Strength for In-Depth Conformance Control: Bulk Gelation Performance and Propagation Properties in Porous Media. J. Dispers. Sci. Technol. 2015, 36, 626–633. [Google Scholar] [CrossRef]
- Zhang, J.; He, H.; Wang, Y.; Xu, X.; Zhu, Y.; Li, R. Gelation Performance and Microstructure Study of Chromium Gel and Phenolic Resin Gel in Bulk and Porous Media. J. Energy Resour. Technol. 2014, 136, 042903. [Google Scholar] [CrossRef]
- He, H.; Wang, Y.; Zhang, J.; Xu, X.; Zhu, Y.; Bai, S. Comparison of Gelation Behavior and Morphology of Resorcinol–Hexamethylenetetramine–HPAM Gel in Bulk and Porous Media. Transp. Porous Media 2015, 109, 377–392. [Google Scholar] [CrossRef]
- Bai, B.; Li, L.; Liu, Y.; Liu, H.; Wang, Z.; You, C. Preformed Particle Gel for Conformance Control: Factors Affecting its Properties and Applications. SPE Reserv. Eval. Eng. 2007, 10, 415–421. [Google Scholar] [CrossRef]
- Cui, X.; Li, Z.; Cao, X.; Song, X.; Chen, X.; Zhang, X. A novel PPG enhanced surfactant-polymer system for EOR. In Proceedings of the SPE Enhanced Oil Recovery Conference, Kuala Lumpur, Malaysia, 19–21 July 2011. [Google Scholar]
- Cao, X. Design and Performance Evaluation on the Heterogeneous Combination Flooding System. Acta Pet. Sin. 2013, 29, 115–121. [Google Scholar]
- Sang, Q.; Li, Y.; Yu, L.; Li, Z.; Dong, M. Enhanced oil recovery by branched-preformed particle gel injection in parallel-sandpack models. Fuel 2014, 136, 295–306. [Google Scholar] [CrossRef]
- Gong, H.; Zhang, H.; Xu, L.; Li, K.; Yu, L.; Li, Y.; Dong, M. Further enhanced oil recovery by branched-preformed particle gel/HPAM/surfactant mixed solutions after polymer flooding in parallel-sandpack models. RSC Adv. 2017, 7, 39564–39575. [Google Scholar] [CrossRef]
- Gong, H.; Zhang, H.; Xu, L.; Li, K.; Yu, L.; Qian, S.; Li, Y.; Dong, M. The Synergistic Effect of Branched-Preformed Particle Gel and Hydrolyzed Polyacrylamide on Further-Enhanced Oil Recovery after Polymer Flooding. Energy Fuels 2017, 31, 7904–7910. [Google Scholar] [CrossRef]
- Cao, X.; Guo, L.; Wang, H.; Wei, C.; Liu, Y. The Study and Pilot on Heterogeneous Combination Flooding System for High Recovery Percent of Reservoirs after Polymer Flooding. In Proceedings of the 22nd World Petroleum Congress, Istanbul, Turkey, 9–13 July 2017; World Petroleum Congress: London, UK, 2017. [Google Scholar]
- He, H.; Wang, Y.; Qi, Z.; Sun, X. Gelation Performance and Feasibility Study of an Environmental Friendly Improved Inorganic Aluminum Gel for Conformance Control under Harsh Reservoir Conditions. J. Energy Resour. Technol. 2016, 139, 012911. [Google Scholar] [CrossRef]
© 2018 by the authors. Licensee MDPI, Basel, Switzerland. This article is an open access article distributed under the terms and conditions of the Creative Commons Attribution (CC BY) license (http://creativecommons.org/licenses/by/4.0/).
















