Forced Convection of Al2O3–Cu, TiO2–SiO2, FWCNT–Fe3O4, and ND–Fe3O4 Hybrid Nanofluid in Porous Media
Abstract
:1. Introduction
2. Experimental Description
2.1. Experimental Procedure
2.2. Measurement Error Analysis
3. Finite Element Analysis
3.1. Governing Equations and Boundary Conditions
3.1.1. Fluid Flow Model
3.1.2. Darcy–Brinkman Model
3.2. Mesh Sensitivity Analysis
3.3. Convergence Criteria
4. Results and Discussion
4.1. Experimental Measurement of Heat Enhancement
4.2. Heat Enhancement with Hybrid Al2O3–Cu Fluid: Experimental and Numerical Approach
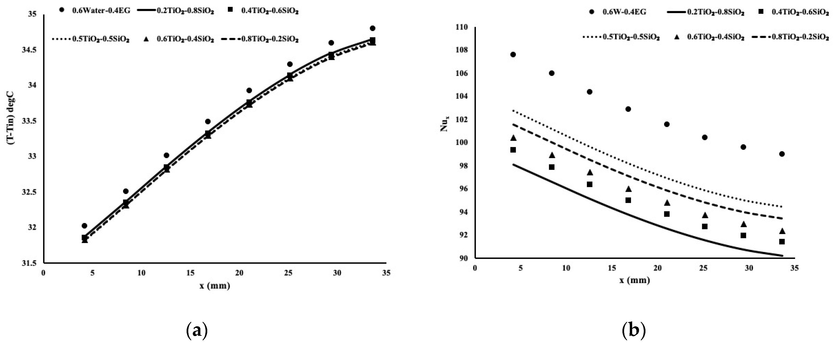
4.3. Heat Enhancement with Hybrid TiO2–SiO2 Fluid: Numerical Approach
4.4. Heat Enhancement with Hybrid MWCNT–Fe3O4 and ND–Fe3O4: Numerical Approach
4.5. Temperature Uniformity
4.6. Friction Factor, Pumping Power, and Thermal Efficiency
5. Conclusions
- Hybrid nanofluids provide attractive heat enhancement at the expense of higher pressure drop and pumping power.
- The effectiveness of cooling is noticeable for all of the studied hybrid nanofluids.
- Temperature uniformity across the cooling surface was found to be excellent for all four hybrid nanofluids. The MWCNT–Fe3O4 hybrid nanofluid was found to be the best amongst the different mixtures.
- Index of efficiency combining the average Nusselt number with the pressure drop and pumping power was found to be a good measure of hybrid nanofluid optimum performance. The hybrid nanofluid of 0.2% ND–Fe3O4 was found to be the best hybrid fluid to be used for the cooling process.
Author Contributions
Funding
Acknowledgments
Conflicts of Interest
References
- Bayomy, A.; Saghir, M.Z.; Yousefi, T. Electronic cooling using water flow in aluminum metal foam heat sink: Experimental and numerical approach. Int. J. Therm. Sci. 2016, 109, 182–200. [Google Scholar] [CrossRef]
- Bhattacharya, A.; Calmidi, V.V.; Mahajan, R.L. Thermophysical properties of high porosity metal foams. Int. J. Heat Mass Transf. 2002, 45, 1017–1031. [Google Scholar] [CrossRef]
- Xu, H.; Gong, L.; Huang, S.; Xu, M. Flow and heat transfer characteristics of nanofluid flowing through metal foams. Int. J. Heat Mass Transf. 2015, 83, 399–407. [Google Scholar] [CrossRef]
- Bayomy, A.; Saghir, M. Experimental and numerical study of the heat transfer characteristics of aluminum metal foam (with/without channels) subjected to steady water flow. J. Sci. Tech. 2017, 25, 221–246. [Google Scholar]
- Bayomy, A.; Saghir, M.Z. Experimental study of using γ-Al2O3–water nanofluid flow through aluminum foam heat sink: Comparison with numerical approach. Int. J. Heat Mass Transf. 2017, 107, 181–203. [Google Scholar] [CrossRef]
- Saghir, M.Z.; Welsford, C.; Thanapathy, P.; Bayomy, A.; Delisle, C. Experimental measurements and numerical computation of nano heat transfer enhancement inside a porous material. J. Therm. Sci. Eng. Appl. 2020, 12, 011003. [Google Scholar] [CrossRef]
- Alhajaj, Z.; Bayomy, A.M.; Saghir, M.Z.; Rahman, M.M. Flow of nanofluid and hybrid fluid in porous channels: Experimental and numerical approach. Int. J. Thermofluids 2020, 1-2, 100016. [Google Scholar] [CrossRef]
- Ho, C.; Chen, W. An experimental study on thermal performance of Al2O3/water nanofluid in a minichannel heat sink. Appl. Therm. Eng. 2013, 50, 516–522. [Google Scholar] [CrossRef]
- Sheikholeslami, M.; Sadoughi, M.K. Numerical modeling for Fe3O4 -water nanofluid flow in porous medium considering MFD viscosity. J. Mol. Liq. 2017, 242, 255–264. [Google Scholar] [CrossRef]
- Soltani, O.; Akbari, M. Effects of temperature and particles concentration on the dynamic viscosity of MgO-MWCNT/ethylene glycol hybrid nanofluid: Experimental study. Phys. E 2016, 84, 564–570. [Google Scholar] [CrossRef]
- Moldoveanu, G.M.; Minea, A.A.; Iacob, M.; Ibanescu, C.; Danu, M. Experimental study on viscosity of stabilized Al2O3, TiO2 nanofluids and their hybrid. Thermochim. Acta 2018, 659, 203–212. [Google Scholar] [CrossRef]
- Suresh, S.; Venkitaraj, K.; Selvakumar, P.; Chandrasekar, M. Synthesis of Al2O3–Cu/water hybrid nanofluids using two step method and its thermo physical properties. Colloids Surf. A Physicochem. Eng. Asp. 2011, 388, 41–48. [Google Scholar] [CrossRef]
- Selvakumar, P.; Suresh, S. Use of Al2O3–Cu/water hybrid nanofluid in an electronic heat sink. IEEE Trans. Compon. Packag. Manuf. Technol. 2012, 2, 1600–1607. [Google Scholar] [CrossRef]
- Suresh, S.; Venkitaraj, K.P.; Selvakumar, P.; Chandrasekar, M. Effect of Al2O3–Cu/water hybrid nanofluid in heat transfer. Exp. Therm. Fluid Sci. 2012, 38, 54–60. [Google Scholar] [CrossRef]
- Takabi, B.; Shokouhmand, H. Effects of Al2O3–Cu/water hybrid nanofluid on heat transfer and flow characteristics in turbulent regime. Int. J. Mod. Phys. C 2015, 26, 155047. [Google Scholar] [CrossRef]
- Abdul Hamid, K.; Azmi, W.H.; Nabil, M.F.; Mamat, R.; Sharma, K.V. Experimental investigation of thermal conductivity and dynamic viscosity on nanoparticle mixture ratios of TiO2-SiO2 nanofluids. Int. J. Heat Mass Trans. 2016, 116, 1143–1152. [Google Scholar] [CrossRef]
- Nabil, M.F.; Azmi, W.H.; Abdul Hamid, K.; Mamat, R.; Hagos, F.Y. An experimental study on the thermal conductivity and dynamic viscosity of TiO2-SiO2 nanofluids in water: Ethylene glycol mixtures. Int. Commun. Heat Mass Transf. 2017, 86, 181–191. [Google Scholar] [CrossRef]
- Sundar, L.S.; Sharma, K.V.; Singh, M.K.; Sousa, A.C.M. Hybrid nanofluids preparation, thermal properties, heat transfer and friction factor—A review. Renew. Sustain. Energy Rev. 2017, 68, 185–198. [Google Scholar] [CrossRef]
- Sundar, L.S.; Singh, M.K.; Sousa, A.C.M. Enhanced heat transfer and friction factor of MWCNT-Fe3O4/water hybrid nanofluids. Int. Commun. Heat Mass Transf. 2014, 52, 73–83. [Google Scholar] [CrossRef]
- Sundar, L.S.; Naik, M.T.; Sharma, K.V.; Singh, M.K.; Reddy, T.C.S. Experimental investigation of forced convection heat transfer and friction factor in a tube with Fe3O4 magnetic nanofluid. Exp. Therm. Fluid Sci. 2012, 37, 65–71. [Google Scholar] [CrossRef]
- Sundar, L.S.; Ramana, E.V.; Graca, M.P.F.; Singh, M.K.; Sousa, A.C.M. Nanodiamond-Fe3O4 nanofluids: Preparation and measurement of viscosity, electrical and thermal conductivities. Int. Commun. Heat Mass Transf. 2016, 73, 62–74. [Google Scholar] [CrossRef]
- Welsford, C.A.; Delisle, C.S.; Plant, R.D.; Saghir, M.Z. Effects of nanofluid concentration and channeling on the thermal effectiveness of highly porous open-cell foam metals: A numerical and experimental study. J. Therm. Anal. Calorim. 2019, 140, 1507–1517. [Google Scholar] [CrossRef]
- Plant, R.D.; Hodgson, G.K.; Impellizzeri, S.; Saghir, M.Z. Experimental and numerical investigation of heat enhancement using a hybrid nanofluid of Copper Oxide/Alumina nanoparticles in water. J. Therm. Anal. Calorim. 2020, in press. [Google Scholar] [CrossRef]














| Mixtures/Properties | Prnf | ||||
|---|---|---|---|---|---|
| Water | 0.001002 | 998.2 | 4182 | 0.613 | 6.835 |
| 0.001Al2O3–0.999 Water | 0.001007 | 1000.802 | 4169.708655 | 0.614817 | 6.8306128 |
| Mixtures/Properties | Prhnf | ||||
|---|---|---|---|---|---|
| 0.001(Al2O3-Cu)–0.999 Water | 0.00097 | 1001.3 | 4176.83 | 0.6201 | 6.56 |
| 0.0033(Al2O3-Cu)–0.9967Water | 0.00110 | 1006.64 | 4143.5184 | 0.6312 | 7.22 |
| 0.0075(Al2O3-Cu)–0.9925Water | 0.00139 | 1017.37 | 4095.5 | 0.6491 | 8.75 |
| 0.01(Al2O3-Cu)–0.99 Water | 0.00160 | 1023.75 | 4067.415 | 0.65727 | 9.92 |
| 0.02(Al2O3-Cu)–0.98 Water | 0.00194 | 1049.25 | 3958.623 | 0.68565 | 11.21 |
| 60%Water–40%EG | 0.0024 | 1055.39 | 3497.2848 | 0.41297 | 20.31 |
| 0.01[20% TiO2, 80% SiO2 in (60% water,40% EG)] | 0.00265 | 1071.08 | 3469.3319 | 0.45512 | 20.18 |
| 0.01[40% TiO2, 60% SiO2 in (60% water,40% EG)] | 0.00261 | 1075.08 | 3469.3019 | 0.44947 | 20.21 |
| 0.01[50% TiO2, 50% SiO2 in (60% water,40%EG)] | 0.0029846 | 1077.09 | 3469.2869 | 0.4351 | 23.8 |
| 0.01[60% TiO2, 40% SiO2 in (60% water,40% EG)] | 0.0026903 | 1080 | 3469.2719 | 0.44506 | 20.97 |
| 0.01[80% TiO2, 20% SiO2 in (60% water,40% EG)] | 0.0025026 | 1083.12 | 3469.2419 | 0.44012 | 19.73 |
| 0.001(MWCNT-Fe3O4)–0.999Water | 0.00075 | 999.1 | 4181.16 | 0.6943 | 4.52 |
| 0.003(MWCNT-Fe3O4)–0.997Water | 0.00089 | 1006.8 | 4182.49 | 0.7241 | 5.13 |
| 0.002(Fe3O4)–0.998 Water | 0.000687 | 1006.56 | 4174.976 | 0.689 | 4.16 |
| 0.0005(ND-Fe3O4)–0.999Water | 0.000826 | 1000.06 | 4180.89167 | 0.6324 | 5.46 |
| 0.001(ND-Fe3O4)–0.997Water | 0.00087 | 1001.92 | 4179.12 | 0.6526 | 5.57 |
| 0.002(ND-Fe3O4)–0.997Water | 0.000911 | 1005.63 | 4175.59 | 0.6804 | 5.59 |
| Mixture | Pumping Power in W/m2 |
|---|---|
| 0.002(Fe3O4)–0.998Water | 6.30694 × 10−6 |
| 0.001(MWCNT-Fe3O4)–0.999Water | 6.89378 × 10−6 |
| 0.003(MWCNT-Fe3O4)–0.997Water | 8.1499 × 10−6 |
| 0.0005(ND-Fe3O4)–0.999Water | 7.58929 × 10−6 |
| 0.001(ND-Fe3O4)–0.997Water | 7.98727 × 10−6 |
| 0.002(ND-Fe3O4)–0.997Water | 8.35572 × 10−6 |
© 2020 by the authors. Licensee MDPI, Basel, Switzerland. This article is an open access article distributed under the terms and conditions of the Creative Commons Attribution (CC BY) license (http://creativecommons.org/licenses/by/4.0/).
Share and Cite
Saghir, M.Z.; Rahman, M.M. Forced Convection of Al2O3–Cu, TiO2–SiO2, FWCNT–Fe3O4, and ND–Fe3O4 Hybrid Nanofluid in Porous Media. Energies 2020, 13, 2902. https://doi.org/10.3390/en13112902
Saghir MZ, Rahman MM. Forced Convection of Al2O3–Cu, TiO2–SiO2, FWCNT–Fe3O4, and ND–Fe3O4 Hybrid Nanofluid in Porous Media. Energies. 2020; 13(11):2902. https://doi.org/10.3390/en13112902
Chicago/Turabian StyleSaghir, M. Z., and M. M. Rahman. 2020. "Forced Convection of Al2O3–Cu, TiO2–SiO2, FWCNT–Fe3O4, and ND–Fe3O4 Hybrid Nanofluid in Porous Media" Energies 13, no. 11: 2902. https://doi.org/10.3390/en13112902
APA StyleSaghir, M. Z., & Rahman, M. M. (2020). Forced Convection of Al2O3–Cu, TiO2–SiO2, FWCNT–Fe3O4, and ND–Fe3O4 Hybrid Nanofluid in Porous Media. Energies, 13(11), 2902. https://doi.org/10.3390/en13112902

