Field Measurements of Wind Characteristics Using LiDAR on a Wind Farm with Downwind Turbines Installed in a Complex Terrain Region
Abstract
1. Introduction
2. Test Site and Measurement Setup
3. Results and Discussion
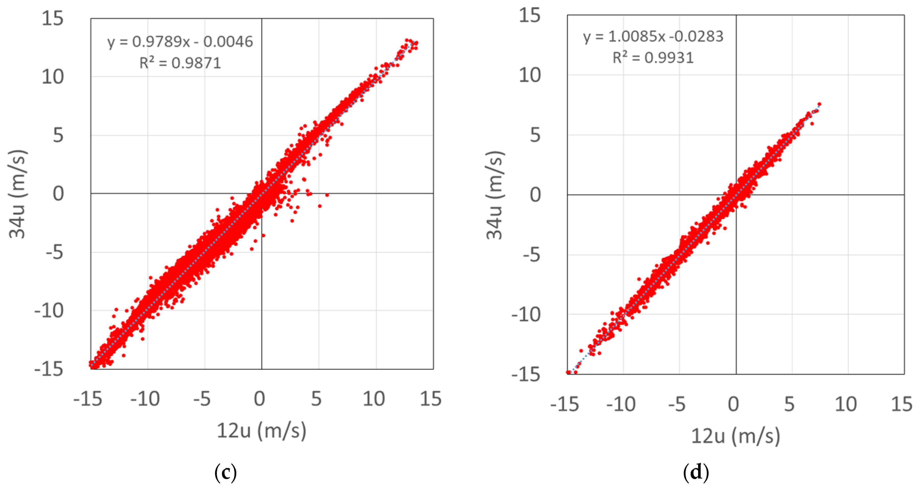
3.1. Comparison with Meteorological Mast Measurements
3.2. Measurements on the Wind Farm
3.2.1. Outline
3.2.2. Influence of Turbine Blade Interference on LiDAR Measurements
3.2.3. Wind Characteristics at the Measurement Location
4. Conclusions
Author Contributions
Funding
Acknowledgments
Conflicts of Interest
Abbreviations
| AGL | Above ground level |
| CFD | Computational fluid dynamics |
| LiDAR | Light detection and ranging |
| LOS | Line-of-sight |
| SNR | Signal-to-noise ratio |
| SNWS | Spatial nonuniformity in the wind speed |
References
- New Energy and Industrial Technology Development Organization (NEDO) Project Success Stories, From Remote Island Wind Turbines to Large Downwind Turbines. Available online: http://www.nedo.go.jp/hyoukabu/articles/201002fujijyuukou/index.html (accessed on 27 July 2020). (In Japanese)
- Yoshida, S. Performance of downwind turbines in complex terrains. Wind Eng. 2006, 30–36, 487–502. [Google Scholar] [CrossRef]
- Kress, C.; Chokani, N.; Abhari, R.S. Downwind wind turbine yaw stability and performance. Renew. Energy 2015, 83, 1157–1165. [Google Scholar] [CrossRef]
- Hayasaki, N. Assessment and Application of Remote Sensing Techniques, in the Report of the NEDO Research and Development Project of Next Generation Wind Turbine Technology (R&D of Basic and Applied Technology) (2008-2012); New Energy and Industrial Technology Development Organization (NEDO): Kawasaki, Japan, 2013. (In Japanese) [Google Scholar]
- Foussekis, D. Investing wind flow properties in complex terrain using 3 Lidars and a meteorological mast. In Proceedings of the European Wind Energy Conference and Exhibition 2009, Marseille, France, 16−19 March 2009. [Google Scholar]
- Bingoöl, F.; Mann, J.; Foussekis, D. LiDAR error estimation with WAsP Engineering. In Proceedings of the 14th International Symposium for the Advancement of Boundary Layer Remote Sensing 2008, Copenhagen, Denmark, 23−25 June 2008. [Google Scholar]
- Jeannotte, E.; Masson, C.; Faghani, D.; Boquet, M.; Boucher, B.; Osler, E. Estimation of LiDAR error over complex terrain covered with forest using numerical tools. Mech. Ind. 2014, 15, 169–174. [Google Scholar] [CrossRef]
- Vogstad, K.; Simonsen, A.H.; Brennan, K.J.; Lund, J.A. Uncertainty of Lidars in complex terrain. In Proceedings of the EWEA 2013 Annual Event, Vienna, Austria, 4−7 February 2013. [Google Scholar]
- Pitter, M.; Abiven, C.; Vogstad, K.; Harris, M.; Barker, W.; Brady, O. Lidar and computational fluid dynamics for resource assessment in complex terrain. In Proceedings of the EWEA 2012 Annual Event, Copenhagen, Denmark, 16−19 April 2012. [Google Scholar]
- Pena Diaz, A.; Hasager, C.B. Remote Sensing for Wind Energy, Risø–I–3184(EN); Technical University of Denmark (DTU): Roskilde, Denmark, 2011. [Google Scholar]
- Goit, J.P.; Shimada, S.; Kogaki, T. Can LiDARs replace meteorological masts in wind energy? Energies 2019, 12, 3680. [Google Scholar] [CrossRef]
- Wang, H.; Barthelmie, R.J.; Menke, R. Wind turbine wake detection with a single Doppler wind lidar. J. Phys. Conf. Ser. 2015, 625, 012017. [Google Scholar] [CrossRef]
- Barthelmie, R.J.; Doubrawa, P.; Wang, H.; Pryor, S.C. Defining wake characteristics from scanning and vertical full-scale lidar measurements. J. Phys. Conf. Ser. 2016, 753, 032034. [Google Scholar] [CrossRef]
- Barthelmie, R.J.; Pryor, S.C.; Wildmann, N.; Menke, R. Wind turbine wake characterization in complex terrain via integrated Doppler lidar data from the Perdigão experiment. J. Phys. Conf. Ser. 2018, 1037, 052022. [Google Scholar] [CrossRef]
- Wang, H.; Barthelmie, R.J.; Clifton, A.; Pryor, S.C. Wind measurements from arc scans with Doppler wind lidar. J. Atmos. Ocean. Technol. 2015, 32, 2024–2040. [Google Scholar] [CrossRef]
- Honrubia, A.; Vigueras-Rodriguez, A.; Gomez L., E. Vertical wind profile measurement using a pulsed LIDAR system. In Proceedings of the 15th International Symposium for the Advancement of Boundary Layer Remote Sensing 2010, Paris, France, 28−30 June 2010. [Google Scholar]
- Lane, S.E.; Barlow, J.F.; Wood, C.R. An assessment of a three-beam Doppler lidar wind profiling method for use in urban areas. J. Wind Eng. Ind. Aerodyn. 2013, 119, 53–59. [Google Scholar] [CrossRef]
- Mitsubishi Electric Company. 2017. Available online: http://www.mitsubishielectric.co.jp/lidar/products/wind/pdf/test_results.pdf (accessed on 27 July 2020).
- IEC, IEC 61400-1. Wind Energy Generation Systems—Part 1: Design requirements, 4th ed.; International International Electrotechnical Commission (IEC): Geneva, Switzerland, 2019; ISBN 978-2-8322-6253-5. [Google Scholar]





























| Aspect | Characteristics |
|---|---|
| Observation range | 40 m–250 m AGL |
| Scanning pattern | Digital switching |
| Scanning direction | 0°, 90°, 180°, 270°, Vertical |
| Range resolution | Selectable from 20 m (selected in this study), 25 m, 30 m |
| Measurable wind speed range | 0 m/s–60 m/s |
| Data update rate | 2 s or less |
| Doppler velocity range | −30 m/s–+30 m/s |
| Doppler velocity accuracy error | ±0.1 m/s or less |
| Laser wavelength [μm] | 1.55 μm single frequency |
| Environmental conditions | −20 °C–+ 40 °C, 0–100% RH |
© 2020 by the authors. Licensee MDPI, Basel, Switzerland. This article is an open access article distributed under the terms and conditions of the Creative Commons Attribution (CC BY) license (http://creativecommons.org/licenses/by/4.0/).
Share and Cite
Kogaki, T.; Sakurai, K.; Shimada, S.; Kawabata, H.; Otake, Y.; Kondo, K.; Fujita, E. Field Measurements of Wind Characteristics Using LiDAR on a Wind Farm with Downwind Turbines Installed in a Complex Terrain Region. Energies 2020, 13, 5135. https://doi.org/10.3390/en13195135
Kogaki T, Sakurai K, Shimada S, Kawabata H, Otake Y, Kondo K, Fujita E. Field Measurements of Wind Characteristics Using LiDAR on a Wind Farm with Downwind Turbines Installed in a Complex Terrain Region. Energies. 2020; 13(19):5135. https://doi.org/10.3390/en13195135
Chicago/Turabian StyleKogaki, Tetsuya, Kenichi Sakurai, Susumu Shimada, Hirokazu Kawabata, Yusuke Otake, Katsutoshi Kondo, and Emi Fujita. 2020. "Field Measurements of Wind Characteristics Using LiDAR on a Wind Farm with Downwind Turbines Installed in a Complex Terrain Region" Energies 13, no. 19: 5135. https://doi.org/10.3390/en13195135
APA StyleKogaki, T., Sakurai, K., Shimada, S., Kawabata, H., Otake, Y., Kondo, K., & Fujita, E. (2020). Field Measurements of Wind Characteristics Using LiDAR on a Wind Farm with Downwind Turbines Installed in a Complex Terrain Region. Energies, 13(19), 5135. https://doi.org/10.3390/en13195135

