A New Production-Splitting Method for the Multi-Well-Monitor System
Abstract
:1. Introduction
2. Methodology
2.1. Physical Model and Assumptions
- The appearance of a curved section along the pipeline will not induce extra pressure drop;
- The temperature along the pipeline is linearly decreased from Twellhead at the wellhead to Tout at the outlet;
- The pipelines have the same properties, and these properties remain unchanged through the calculation.
2.2. Framework of the Proposed Method
- Dividing the total gas flow rate into ng gas flow rates that have the same interval. The minimum gas flow rate is 0 and the maximum gas flow rate is qgt. In a similar way, dividing the total water flow rate into nw water flow rates. Arranging these ng gas flow rates and nw water flow rates into ng × nw flow rate pairs;
- Assuming that the gas flow rate of the first pipe is qg1 (scf/d) and the water flow rate of the first pipe is qw1 (cubic ft/d) (qg1 is one of the ng gas flow rates and qw1 is one of the nw water flow rates). According to the theory of mass balance, the gas flow rate and water flow rate of the second pipe can be calculated with:
- Calculating the pressure loss along the two pipes with the gas and water flow rate. The detailed process for calculating the pressure loss along a pipe will be introduced in the next section;
- Calculating the pressure loss along the two pipes with all the ng × nw pairs of flow rate, such that we can obtain ng × nw pressure loss of the two pipes;
- Graphing the pressure loss of the two pipes with these flow rate pairs in 3D graphs, as shown in Figure 3. Figure 3a,b shows the pressure loss graphs of the first pipe and the second pipe, respectively. In Figure 3a,b, the x-axis represents the gas flow rate of the first pipe qg1, the y-axis represents the water flow rate of the first pipe qw1, and the z-axis represents the pressure loss ∆p;
- Since the pressure losses of the two pipes are known, we can obtain all the possible values of qg1 and qw1 that can induce such pressure loss by intersecting the planes of z = ∆p1 and z = ∆p2 with the pressure-loss planes shown in Figure 3, as shown in Figure 4. The lines that are induced by the intersection represent all the possible values of qg1 and qw1;
- Figure 5a,b shows the x–y plane view of the possible-value lines of the two pipes, as shown in Figure 4. It should be noted that a reasonable value of qg1 and qw1 should ensure that the pressure loss of the first pipe equals to ∆p1 and the pressure loss of the second pipe equals to ∆p2. For example, (qgi, qwi) indicates a point on the intersection line in Figure 5a but not on the intersection line in Figure 5b. This indicates that flow rate pair (qgi, qwi) can lead to a pressure loss of ∆p1 for the first pipe, but it cannot lead to a pressure loss of ∆p2 for the second pipe. Therefore, this flow rate pair is not reasonable. The reasonable flow rate pairs can be found by intersecting the possible-value line in Figure 5a and the possible-value line in Figure 5b, as shown in Figure 5c;
- The intersections in Figure 5c indicate the two reasonable flow rate pairs that can lead to a pressure loss of ∆p1 for the first pipe and a pressure loss of ∆p2 for the second pipe. One can figure out the real flow rate pair from these two reasonable flow rate pairs on the basis of the development strategy and reservoir properties. For example, if the first pipe is connected to a reservoir/layer that has a higher initial water saturation than that of the second pipe, the water flow rate of the first pipe can be higher than that of the second pipe. Hence, one can think that the flow rate pair b (x2, y2) in Figure 5c is the real flow rate pair of the first pipe. Additionally, the flow rate of the second pipe is qgt-x2 and qwt-y2.
2.3. Method of Calculating the Pressure Loss along a Pipeline
- Making an initial guess of the pressure of the 1st pipe segment. For example, one can use the pressure at the inlet surface as the initial guessed pressure of the 1st segment. Calculating the properties of the fluid with the guessed pressure by use of the equations in Appendix A;
- On the basis of the BB correlation, identifying the flow pattern in the 1st pipe segment and calculating the new pressure within the 1st pipe segment. The introduction of the BB correlation can be found in Appendix B;
- Using the calculated pressure to update the fluid properties and flow pattern in the 1st pipe segment and calculating the pressure of the 1st pipe segment with the BB correlation;
- If the difference between the new calculated pressure and the old calculated pressure is smaller than a certain threshold value, one can think that the new calculated pressure is the real pressure of the 1st pipe segment; otherwise, updating the fluid properties with the new calculated pressure and repeating the calculating. In this work, if the absolute value of the relative difference between the new pressure and the old pressure is smaller than 0.0001, we think the new calculated pressure is the real pressure;
- Calculating the pressure of the next pipe segment with a similar method that is introduced in Steps 1 through 4. For the nth segment, one can use the pressure of the (n − 1)th segment as the initial guess.
3. Validation of the Proposed Method
4. Sensitivity Analysis
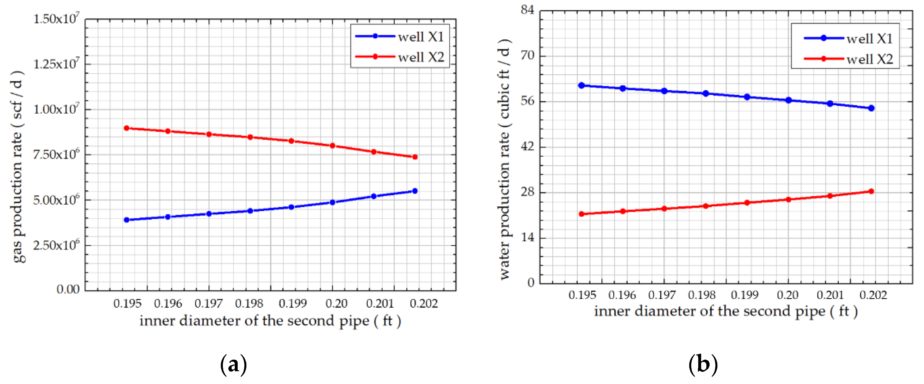
4.1. The Inner Diameter of Pipes
4.2. The Absolute Roughness of Pipes
4.3. The Pressure Loss of Pipes
5. Conclusion
Author Contributions
Funding
Acknowledgments
Conflicts of Interest
Appendix A
| Constants | Value |
|---|---|
| A1 | 0.3265 |
| A2 | −1.0700 |
| A3 | −0.5339 |
| A4 | 0.01569 |
| A5 | −0.05165 |
| A6 | 0.5475 |
| A7 | −0.7361 |
| A8 | 0.1844 |
| A9 | 0.1056 |
| A10 | 0.6134 |
| A11 | 0.7210 |
Appendix B

References
- Wei, G.; Xie, Z.; Li, J.; Yang, W.; Zhang, S.; Zhang, Q.; Liu, X.; Wang, D.; Zhang, F.; Cheng, H. New research progress of natural gas geological theories in China during the 12th Five-Year Plan period. Nat. Gas Ind. B 2018, 5, 105–117. [Google Scholar] [CrossRef]
- Wang, S. Shale gas exploitation: Status, problems and prospect. Nat. Gas Ind. B 2018, 5, 60–74. [Google Scholar] [CrossRef]
- Liao, T.T.; Lazaro, G.E.; Vergari, A.M.; Schmohr, D.R.; Waligura, N.J.; Stein, M.H. Development and Applications of Sustaining Integrated Asset Modeling Tool. SPE Prod. Oper. 2007, 22, 13–19. [Google Scholar] [CrossRef]
- Leskens, M.; Smeulers, J.P.M.; Gryzlov, A. Downhole Multiphase Metering in Wells by Means of Soft-sensing. In Proceedings of the Intelligent Energy Conference, Amsterdam, The Netherlands, 25–27 February 2008. [Google Scholar]
- Muradov, K.M.; Davies, D.R. Zonal Rate Allocation in Intelligent Wells. In Proceedings of the EUROPEC/EAGE Conference, Amsterdam, The Netherlands, 8–11 June 2009. [Google Scholar]
- Kabir, A.H.; Sanchez Soto, G.A. Accurate Inflow Profile Prediction of Horizontal Wells through Coupling of a Reservoir and a Wellbore Simulator. In Proceedings of the SPE Reservoir Simulation Symposium, The Woodlands, TX, USA, 2–4 February 2009. [Google Scholar]
- Yoshioka, K.; Zhu, D.; Hill, A.D. A New Inversion Method to Interpret Flow Profiles From Distributed Temperature and Pressure Measurements in Horizontal Wells. SPE Prod. Oper. 2007, 24, 510–521. [Google Scholar] [CrossRef]
- Von Schroeter, T.; Hollaender, F.; Gringarten, A.C. Deconvolution of Well-Test Data as a Nonlinear Total Least-Squares Problem. SPE J. 2004, 9, 375–390. [Google Scholar] [CrossRef]
- Levitan, M.M. Practical Application of Pressure-Rate Deconvolution to Analysis of Real Well Tests. SPE Reserv. Eval. Eng. 2005, 8, 113–121. [Google Scholar] [CrossRef]
- Levitan, M.M.; Crawford, G.E.; Hardwick, A. Practical Considerations for Pressure-Rate Deconvolution of Well Test Data. SPE J. 2006, 11, 35–47. [Google Scholar] [CrossRef]
- Ramey, H.J. Wellbore Heat Transmission. J. Pet. Technol. 1962, 14, 427–435. [Google Scholar] [CrossRef]
- Rasoul, R.R.A.; Refaat, E. A Case Study: Production Management Solution “A New Method of Back Allocation Using Downhole Pressure and Temperature Measurements and Advance Well Monitoring”. In Proceedings of the SPE/DGS Saudi Arabia Section Technical Symposium, Al-Khobar, Saudi Arabia, 15–18 May 2011. [Google Scholar]
- Kappos, L.; Economids, M.J.; Buscaglia, R. A Holistic Approach to Back Allocation of Well Production. In Proceedings of the SPE Reservoir Characterisation and Simulation Conference, Abu Dhabi, UAE, 9–11 October 2011. [Google Scholar]
- Hamad, M.; Sudharman, S.; Al-Mutairi, A. Back Allocation System with Network Visualization. In Proceedings of the Abu Dhabi International Conference, Abu Dhabi, UAE, 10–13 October 2004. [Google Scholar]
- Abdelmoula, D.; Dunlop, J.E.M. Qatargas Well Production Back Allocation Project—Methodology & System Requirements. In Proceedings of the International Petroleum Technology Conference, Doha, Qatar, 6–9 December 2015. [Google Scholar]
- Beggs, D.H.; Brill, J.P. A Study of Two-Phase Flow in Inclined Pipes. J. Pet. Technol. 1973, 25, 607–617. [Google Scholar] [CrossRef]
- Vu-Bac, N.; Nguyen-Thoi, T.; Rabczuk, T. A software framework for probabilistic sensitivity analysis for computationally expensive models. Adv. Eng. Softw. 2016, 100, 19–31. [Google Scholar] [CrossRef]
- Sutton, R.P. Compressibility Factors for High-Molecular-Weight Reservoir Gases. In Proceedings of the SPE Annual Technical Conference, Las Vegas, NV, USA, 22–26 September 1985. [Google Scholar]
- Hall, K.; Yarborough, L. A new equation of state for Z-factor calculations. Oil Gas J. 1973, 71, 82–92. [Google Scholar]
- Lee, A.L.; Gonzalez, M.H.; Eakin, B.E. The Viscosity of Natural Gases. J. Pet. Technol. 1966, 18, 997–1000. [Google Scholar] [CrossRef]


















| Parameters | Value | Parameters | Value |
|---|---|---|---|
| Pipeline length of X1 | 32.81 ft | Pipeline length of X2 | 39.37 ft |
| Inner diameter of X1 | 0.2 ft | Inner diameter of X2 | 0.2 ft |
| Pipeline gradient of X1 | Downhill | Pipeline gradient of X2 | Downhill |
| Absolute roughness of X1 | 0.00015 ft | Absolute roughness of X2 | 0.00015 ft |
| Parameter Name | Well X1 | Well X2 |
|---|---|---|
| Reservoir thickness h | 16.4 ft | 22.17 ft |
| Reservoir porosity ϕ | 0.12 | 0.32 |
| Reservoir gas saturation Sg | 0.52 | 0.57 |
Publisher’s Note: MDPI stays neutral with regard to jurisdictional claims in published maps and institutional affiliations. |
© 2020 by the authors. Licensee MDPI, Basel, Switzerland. This article is an open access article distributed under the terms and conditions of the Creative Commons Attribution (CC BY) license (http://creativecommons.org/licenses/by/4.0/).
Share and Cite
Zhang, J.; He, C.; Yu, J.; Teng, B.; Luo, W.; Liu, X. A New Production-Splitting Method for the Multi-Well-Monitor System. Energies 2020, 13, 5677. https://doi.org/10.3390/en13215677
Zhang J, He C, Yu J, Teng B, Luo W, Liu X. A New Production-Splitting Method for the Multi-Well-Monitor System. Energies. 2020; 13(21):5677. https://doi.org/10.3390/en13215677
Chicago/Turabian StyleZhang, Jiaqi, Chang He, Jichen Yu, Bailu Teng, Wanjing Luo, and Xinfei Liu. 2020. "A New Production-Splitting Method for the Multi-Well-Monitor System" Energies 13, no. 21: 5677. https://doi.org/10.3390/en13215677
APA StyleZhang, J., He, C., Yu, J., Teng, B., Luo, W., & Liu, X. (2020). A New Production-Splitting Method for the Multi-Well-Monitor System. Energies, 13(21), 5677. https://doi.org/10.3390/en13215677

