Influence of the Calcination Temperature of Synthetic Gypsum on the Particle Size Distribution and Setting Time of Modified Building Materials
Abstract
1. Introduction
monoclinic monoclinic pseudo-hexagonal orthorhombic
2. Materials and Methods
2.1. Materials Used in the Research
2.1.1. Building Gypsum
2.1.2. Synthetic Gypsum
2.1.3. Tartaric Acid
2.1.4. Plast Retard
2.1.5. Other Ingredients
2.2. Measurements of Particle Diameters
2.3. Setting Time Measurement
2.4. Gypsum Pastes Used in the Research
2.5. New Masonry and Plastering Mortars on the Basis of Retardan and A63 Tartaric Acid
3. Research Results and Analysis
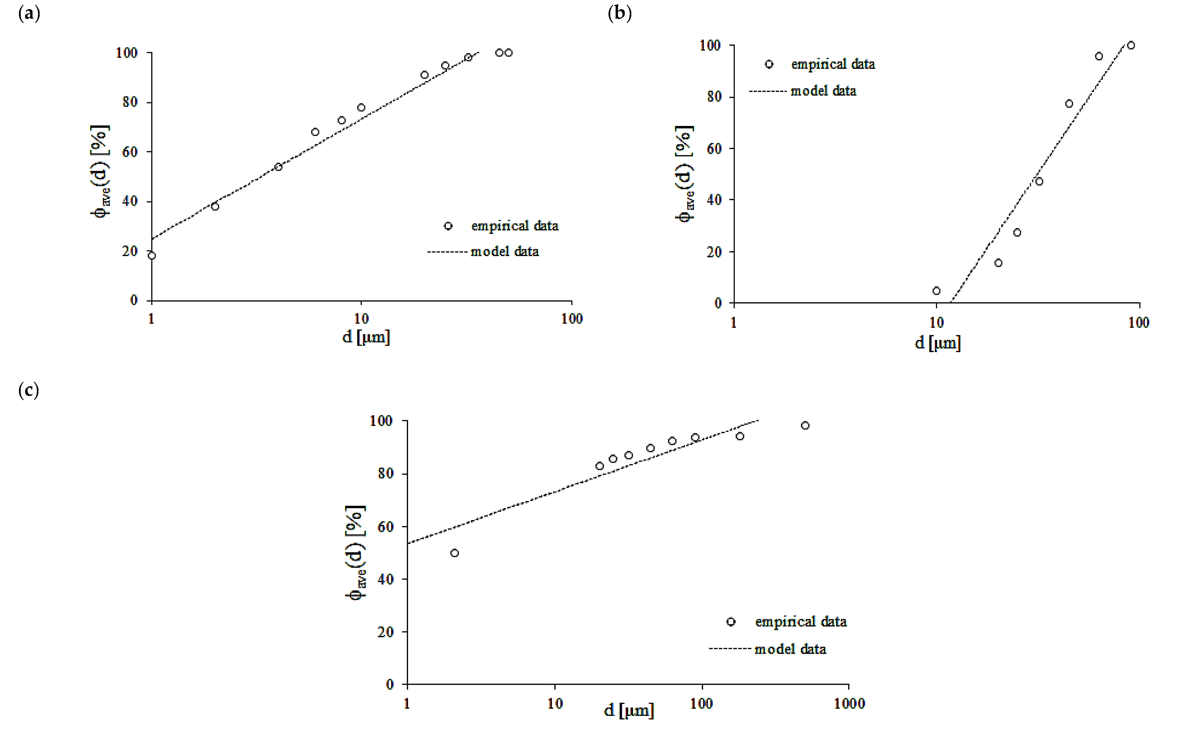
3.1. Results of Particle Size Distribution
3.2. The Results of the Setting Time of Gypsum Pastes and Masonry and Plastering Mortars
4. Conclusions
- The grain size distribution of the synthetic gypsum before the calcination process differed from that of commercial building gypsum. The synthetic gypsum before the calcination process was characterized by a larger share of particle size within the diameter range of 10–100 µm when compared to the building gypsum, which had particles with diameters from 0.1 to 40 µm. The calcination process caused the grains to break up into smaller diameters. Thanks to this, it was possible to use them when creating masonry and plastering mortars.
- The received statistical parameters of the grain diameters of the synthetic gypsum obtained in the calcination process did not differ from the parameters of the building gypsum. The research allowed the grain diameters of the ecological gypsum in complex multiphase systems, such as pastes and mortars, to be assessed.
- Based on the study of gypsum pastes, for all the samples, a generalized dependence of the mean particle size distribution with regards to the diameter of the tested samples was proposed.
- Pastes made of gypsum that was obtained in the calcination process at 170 and 180 °C resulted in longer setting times when compared to the reference sample that was made of building gypsum. The higher gypsum calcination temperature caused the shortening of the setting time. Correlations that determine the initial and final setting time as a function of calcination temperature were proposed for the tested synthetic gypsums.
- Masonry and plastering mortars based on the synthetic gypsum with the addition of A63 tartaric acid or Plast Retard caused the setting time to be extended to the expected standard values of 2 h, and can be successfully used in innovative building composites. The workability time of all the proposed modified masonry and plastering mortars was nearly equal to 90 min.
Author Contributions
Funding
Acknowledgments
Conflicts of Interest
References
- Klin, S. Analiza zmienności wytrzymałości i odkształcalności gipsu w różnych stanach naprężeń i wilgotności. Zesz. Naukowe Akad. Rol. Wroc. 2005, 227, 1–316. [Google Scholar]
- Prałat, K.; Kubissa, W.; Jaskulski, R.; Ciemnicka, J. Influence of selected micro additives content on thermal properties of gypsum. Archit. Civ. Eng. Environ. 2019, 3, 69–79. [Google Scholar] [CrossRef]
- Ng, S.; Jelle, B.P.; Zhen, Y.; Wallevik, Ó.H. Effect of storage and curing conditions at elevated temperatures on aerogel-incorporated mortar samples based on UHPC recipe. Constr. Build. Mater. 2016, 106, 640–649. [Google Scholar] [CrossRef]
- Pichniarczyk, P.; Niziurska, M.; Nosal, K.; Wieczorek, M. Wpływ metylocelulozy na mikrostrukturę zapraw gipsowych i cementowych. Szkło Iceramika. 2012, 63, 12–17. [Google Scholar]
- Kocemba, A.; Mucha, M. Zatrzymanie wody i zestalenie w kompozytach gips/polimer. Przem. Chem. 2016, 95, 1003–1005. [Google Scholar] [CrossRef]
- Schiavoni, S.; D’Alessandro, F.; Bianchi, F.; Asdrubali, F. Insulation materials for the building sector: A review and comparative analysis. Renew. Sust. Energ. Rev. 2016, 62, 988–1011. [Google Scholar] [CrossRef]
- Kairies, C.L.; Schroeder, K.T.; Cardone, C.R. Mercury in gypsum produced from flue gas desulfurization. Fuel 2006, 85, 2530–2536. [Google Scholar] [CrossRef]
- Galos, K.A.; Smakowski, T.S.; Szlugaj, J. Flue-gas desulphurisation products from Polish coal-fired power-plants. Appl. Energy 2003, 75, 257–265. [Google Scholar] [CrossRef]
- Głomba, M.; Szmigielska, E. Conversion of calcium carbonate into synthetic gypsum in flue gas desulphurization technology using wet limestone method. Tech. Trans. 2011, 108, 49–60. [Google Scholar]
- Bilici, I. Alternative Evaluation of Synthetic Gypsum with Waste Polyethylene. Trans. Sci. Technol. 2018, 5, 239–244. [Google Scholar]
- DeSutter, T.M.; Cihacek, L.J.; Rahman, S. Application of flue gas desulfurization gypsum and its impact on wheat grain and soil chemistry. J. Environ. Qual. 2014, 43, 303–311. [Google Scholar] [CrossRef] [PubMed]
- Lanzón, M.; García-Ruiz, P.A. Effect of citric acid on setting inhibition and mechanical properties of gypsum building plasters. Constr. Build. Mater. 2012, 28, 506–511. [Google Scholar] [CrossRef]
- Nilles, V.; Plank, J. Study of the retarding mechanism of linear sodium polyphosphates on α-calcium sulphate hemihydrate. Cement Concr. Res. 2012, 42, 736–744. [Google Scholar] [CrossRef]
- Huang, Y.; Xu, C.; Li, H.; Jiang, Z.; Gong, Z.; Yang, X.; Chen, Q. Utilization of the black tea powder as multifunctional admixture for the hemihydrate gypsum. J. Clean. Prod. 2019, 210, 231–237. [Google Scholar] [CrossRef]
- Heim, D.; Mrowiec, A.; Prałat, K.; Mucha, M. Influence of Tylose MH1000 content on gypsum thermal conductivity. J. Mater. Civ. Eng. 2018, 30, 04018002. [Google Scholar] [CrossRef]
- Vimmrova, A.; Keppert, M.; Michalko, O.; Černý, R. Calcined gypsum–lime–metakaolin binders: Design of optimal composition. Cement Concr. Compos. 2014, 52, 91–96. [Google Scholar] [CrossRef]
- Marinkovic, S.; Kostic-Pulek, A. Examination of the system fly ash–lime–calcined gypsum–water. J. Phys. Chem. Solids 2007, 68, 1121–1125. [Google Scholar] [CrossRef]
- Maksoud, M.A.; Ashour, A. Heat of hydration as a method for determining the composition of calcined gypsum. Thermochim. Acta 1981, 46, 303–308. [Google Scholar] [CrossRef]
- Tydlitát, V.; Medveď, I.; Černý, R. Determination of a partial phase composition in calcined gypsum by calorimetric analysis of hydration kinetics. J. Therm. Anal. Calorim. 2012, 109, 57–62. [Google Scholar] [CrossRef]
- Hotta, Y.; Banno, T.; Oda, K. Characteristics of translucent alumina produced by slip casting method using gypsum mold. J. Mater. Sci. 2002, 37, 855–863. [Google Scholar] [CrossRef]
- Shen, Y.; Qian, J.; Zhang, Z. Investigations of anhydrite in CFBC fly ash as cement retarders. Constr. Build. Mater. 2013, 40, 672–678. [Google Scholar] [CrossRef]
- Misnikov, O.; Ivanov, V. Use of Deep Peat-Processing Products for Hydrophobic Modification of Gypsum Binder. In E3S Web of Conferences; EDP Sciences: Les Ulis, France, 2017; Volume 15, p. 01017. [Google Scholar]
- Kurdowski, W. Chemia materiałów budowlanych; AGH Uczelniane Wydawnictwa Naukowo-Dydaktyczne: Kraków, Poland, 2003. [Google Scholar]
- Product Card. Available online: https://baza.atlas.com.pl/pliki/pl_5468_20190607_135610.pdf (accessed on 1 November 2020).
- Crangle, R.D. Gypsum. Min. Eng. 2013, 2013, 49–50. [Google Scholar]
- Ibrahim, T.M.; El-Hussaini, O.M. Production of anhydrite–gypsum and recovery of rare earths as a by-product. Hydrometallurgy 2007, 87, 11–17. [Google Scholar] [CrossRef]
- Evans, T.J.; Majumdar, A.J.; Ryder, J.F.A. Semi-dry method for the production of lightweight glass-fibre-reinforced gypsum. Int. J. Cement Compos. Lightweight Concr. 1981, 3, 41–44. [Google Scholar] [CrossRef]
- Guan, B.; Shen, Z.; Wu, Z.; Yang, L.; Ma, X. Effect of pH on the Preparation of α-Calcium Sulfate Hemihydrate from FGD Gypsum with the Hydrothermal Method. J. Am. Ceram. Soc. 2008, 91, 3835–3840. [Google Scholar] [CrossRef]
- Coppola, L.; Coffetti, D.; Crotti, E. Use of tartaric acid for the production of sustainable Portland-free CSA-based mortars. Constr. Build. Mater. 2018, 171, 243–249. [Google Scholar] [CrossRef]
- Xiaowei, Z.; Chunxia, L.; Junyi, S. Influence of tartaric acid on early hydration and mortar performance of Portland cement-calcium aluminate cement-anhydrite binder. Constr. Build. Mater. 2016, 112, 877–884. [Google Scholar] [CrossRef]
- Yalcin, D.; Ozcalik, O.; Altiok, E.; Bayraktar, O. Characterization and recovery of tartaric acid from wastes of wine and grape juice industries. J. Therm. Anal. Calor. 2008, 94, 767–771. [Google Scholar] [CrossRef]
- Quoc, L.P.T.; Huyen, V.T.N.; Hue, L.T.N.; Hue, N.T.H.; Thuan, N.H.D.; Tam, N.T.T.; Duy, T.H. Extraction of pectin from pomelo (Citrus maxima) peels with the assistance of microwave and tartaric acid. Int. Food Res. J. 2015, 22, 1637. [Google Scholar]
- Ruiz-Caro, R.; Veiga, M.D.; Di Meo, C.; Cencetti, C.; Coviello, T.; Matricardi, P.; Alhaique, F. Mechanical and drug delivery properties of a chitosan–tartaric acid hydrogel suitable for biomedical applications. J. Appl. Polym. Sci. 2012, 123, 842–849. [Google Scholar] [CrossRef]
- Zhang, K.; Wang, M.; Wang, D.; Gao, C. The energy-saving production of tartaric acid using ion exchange resin-filling bipolar membrane electrodialysis. J. Membr. Sci. Res. 2009, 341, 246–251. [Google Scholar] [CrossRef]
- Product Card. Available online: http://www.evimex.pl/kwas_winowy_naturalny_z_dodatkiem_antyzb (accessed on 1 November 2020).
- Wu, C.; Chen, W.; Zhang, H.; Yu, H.; Zhang, W.; Jiang, N.; Liu, L. The hydration mechanism and performance of modified magnesium oxysulfate cement by tartaric acid. Constr. Build. Mater. 2017, 144, 516–524. [Google Scholar] [CrossRef]
- Chen, M.; Guo, X.; Zheng, Y.; Li, L.; Yan, Z.; Zhao, P.; Cheng, X. Effect of tartaric acid on the printable, rheological and mechanical properties of 3D printing sulphoaluminate cement paste. Materials 2018, 11, 2417. [Google Scholar] [CrossRef] [PubMed]
- Pyatina, T.; Sugama, T.; Moon, J.; James, S. Effect of tartaric acid on hydration of a sodium-metasilicate-activated blend of calcium aluminate cement and fly ash F. Materials 2016, 9, 422. [Google Scholar] [CrossRef]
- Product Card. Available online: http://www.evimex.pl/plast_retard_pe (accessed on 1 November 2020).
- Chen, Q.; Liu, W.; Wang, W.; Thomas, J.C.; Shen, J. Particle sizing by the Fraunhofer diffraction method based on an approximate non-negatively constrained Chin-Shifrin algorithm. Powder Technol. 2017, 317, 95–103. [Google Scholar] [CrossRef]
- Kanwal, R.P. Classical Fredholm Theory. In Linear Integral Equations; Springer: New York, NY, USA, 2013. [Google Scholar]
- Bentz, D.L.; Hansen, A.S.; Guynn, J.M. Optimization of cement and fly ash particle sizes to produce sustainable concretes. Cement Concr. Compos. 2011, 33, 824–831. [Google Scholar] [CrossRef]
- Coupland, J.N.; McClements, D.J. Droplet size determination in food emulsions: Comparison of ultrasonic and light scattering methods. J. Food Eng. 2001, 50, 117–120. [Google Scholar] [CrossRef]
- Diaz-de-Mera, Y.; Aranda, A.; Notario, A.; Rodriguez, D.; Rodriguez, A.M.; Bravo, I.; Adame, J.A. Submicron particle concentration and particle size distribution at urban and rural areas in the surroundings of building materials industries in central Spain. Atmos. Pollut. Res. 2015, 6, 521–528. [Google Scholar] [CrossRef]
- Hickey, A.J.; Jones, L.D. Particle-size analysis of pharmaceutical aerosols. Pharm. Tech. 2000, 24, 48–58. [Google Scholar]
- ISO, BS. 13320. Particle size analysis—Laser diffraction methods. ISO Stand. Auth. 2009. Available online: https://www.iso.org/standard/44929.html (accessed on 12 October 2020).
- Prałat, K.; Krymarys, E. A particle size distribution measurements of selected building materials using laser diffraction method. Tech. Trans. 2018, 11, 95–108. [Google Scholar] [CrossRef]
- Polska, P.K.N. Spoiwa gipsowe i tynki gipsowe—Cz. 2: Metody badań PN-EN 13279-2; PKN: Plock, Poland, 2006; ISBN 8325110783, 9788325110789. [Google Scholar]
- Meng, W.; Valipour, M.; Khayat, K.H. Optimization and performance of cost-effective ultra-high performance concrete. Mater. Struct. 2017, 50, 29. [Google Scholar] [CrossRef]
- Ważyński, P. Badanie wpływu temperatury wyprażania spoiwa gipsowego na wybrane właściwości zapraw budowlanych. Bachelor’s Thesis, Politechnika Warszawska, Płock, Poland, 2017. [Google Scholar]
- Schaefer, C.O.; Cheriaf, M.; Rocha, J.C. Production of synthetic phosphoanhydrite and its use as a binder in self-leveling underlayments (SLU). Materials 2017, 10, 958. [Google Scholar] [CrossRef] [PubMed]
- Salih, M.A.; Hussein, A.A. Enhancing the compressive strength property of gypsum used in walls plastering by adding lime. J. Univ. Babylon Eng. Sci. 2018, 26, 58–66. [Google Scholar]
- Çakal, G.Ö.; Eroğlu, İ.; Özkar, S. Gypsum crystal size distribution in four continuous flow stirred slurry boric acid reactors in series compared with the batch. J. Cryst. Growth 2006, 290, 197–202. [Google Scholar] [CrossRef]
- Borgwardt, R.H. Calcination kinetics and surface area of dispersed limestone particles. AICHE J. 1985, 31, 103–111. [Google Scholar] [CrossRef]
- Wieczorek, M.; Sobala, M. Ocena możliwości otrzymywania spoiw gipsowo-ettringitowych. Prace Inst. Szkła, Ceram. Mater. Ogniotrw. Bud. 2010, 3, 177–187. [Google Scholar]
- Singh, M.; Garg, M. Retarding action of various chemicals on setting and hardening characteristics of gypsum plaster at different pH. Cement Concr. Res. 1997, 27, 947–950. [Google Scholar] [CrossRef]
- Zhang, Y.; Yang, J.; Cao, X. Effects of several retarders on setting time and strength of building gypsum. Constr. Build. Mater. 2020, 240, 117927. [Google Scholar] [CrossRef]
- Dvorkin, L.; Lushnikova, N.; Sonebi, M.; Khatib, J. Properties of modified phosphogypsum binder. Acad. J. Civ. Eng. 2017, 35, 96–102. [Google Scholar] [CrossRef]
- Bisegna, F.; Mattoni, B.; Gori, P.; Asdrubali, F.; Guattari, C.; Evangelisti, L.; Sambuco, S.; Bianchi, F. Influence of insulating materials on green building rating system results. Energies 2016, 9, 712. [Google Scholar] [CrossRef]
- Švajlenka, J.; Kozlovská, M. Effect of accumulation elements on the energy consumption of wood constructions. Energy Build. 2019, 198, 160–169. [Google Scholar] [CrossRef]
- Janus, M.; Zatorska, J.; Zając, K.; Kusiak-Nejman, E.; Czyżewski, A.; Morawski, A.W. The mechanical and photocatalytic properties of modified gypsum materials. Mater. Sci. Eng. B 2018, 236, 1–9. [Google Scholar] [CrossRef]













| Building Material | Density d (kg·m−3) | Bulk Density dB (kg·m−3) | pH | Color | Appearance | Setting Time (min) |
|---|---|---|---|---|---|---|
| Building gypsum | 2300 | 900 | 7/8 | grey | grey-yellow powder | 3 |
| Solubility at 25 °C in 100 cm3 | Solid Density | Apparent Density | Melting Temperature | ||
|---|---|---|---|---|---|
| of water (g) | of ethanol (g) | of ether (g) | ρs (kg/m3) | ρa (kg/m3) | Tm (°C) |
| 147 | 33 | 0.4 | 1760 | 800/1100 | 168/170 |
| Color | Physical Form | pH in a 10% Solutions | Apparent Density | Active Substances | Water Content |
|---|---|---|---|---|---|
| (–) | (–) | (–) | ρa (kg/m3) | (%) | (%) |
| White | Solid, powder | 8 | 300 | >95 | <5 |
| Gypsum Paste Ingredients | Amount of Components (g) |
|---|---|
| BG, SG170, SG180, SG185, SG190 * | |
| Water | 230 |
| Gypsum | 300 |
| The obtained diameter of the slump for the determination of consistency (mm) | 175 |
| Mortar Ingredients | Designations of Mansonry Mortars | |||||
|---|---|---|---|---|---|---|
| MBG | MSG170 | MSG180 | MSG185 | MSG190 | ||
| With the addition of Plast Retard | ||||||
| Gypsum | (g) | 700.00 | 700.00 | 700.00 | 700.00 | 700.00 |
| Vistula sand 0–2 mm | 245.50 | 245.98 | 245.95 | 246.04 | 246.13 | |
| Methylcellulose | 3.00 | 3.00 | 3.00 | 3.00 | 3.00 | |
| Hydrated lime | 50.00 | 50.00 | 50.00 | 50.00 | 50.00 | |
| Plast Retard | 1.50 | 1.02 | 1.05 | 0.96 | 0.87 | |
| Water | 550.00 | 620.00 | 620.00 | 620.00 | 620.00 | |
| With the addition of tartaric acid A63 | ||||||
| Gypsum | (g) | 700.00 | 700.00 | 700.00 | 700.00 | 700.00 |
| Vistula sand 0–2 mm | 246.64 | 246.58 | 246.61 | 246.64 | 246.58 | |
| Methylcellulose | 3.00 | 3.00 | 3.00 | 3.00 | 3.00 | |
| Hydrated lime | 50.00 | 50.00 | 50.00 | 50.00 | 50.00 | |
| Tartaric acid A63 | 0.36 | 0.42 | 0.39 | 0.36 | 0.42 | |
| Water | 550.00 | 620.00 | 620.00 | 620.00 | 620.00 | |
| Mortar Ingredients | Designations of Plastering mortars | |||||
|---|---|---|---|---|---|---|
| PMBG | PMSG170 | PMSG180 | PMSG185 | PMSG190 | ||
| With the addition of Plast Retard | ||||||
| Gypsum | (g) | 700.00 | 700.00 | 700.00 | 700.00 | 700.00 |
| Limestone flour | 221.15 | 221.04 | 220.86 | 221.04 | 221.04 | |
| Methylcellulose | 4.00 | 4.00 | 4.00 | 4.00 | 4.00 | |
| Perlite | 34.00 | 34.00 | 34.00 | 34.00 | 34.00 | |
| Methylcellulose | 40.00 | 40.00 | 40.00 | 40.00 | 40.00 | |
| Plast Retard | 0.85 | 0.96 | 1.14 | 0.96 | 0.96 | |
| Water | 800.00 | 860.00 | 860.00 | 860.00 | 860.00 | |
| With the addition of tartaric acid A63 | ||||||
| Gypsum | (g) | 700.00 | 700.00 | 700.00 | 700.00 | 700.00 |
| Limestone flour | 221.58 | 221.58 | 221.61 | 221.64 | 221.65 | |
| Methylcellulose | 4.00 | 4.00 | 4.00 | 4.00 | 4.00 | |
| Perlite | 34.00 | 34.00 | 34.00 | 34.00 | 34.00 | |
| Methylcellulose | 40.00 | 40.00 | 40.00 | 40.00 | 40.00 | |
| Tartaric acid A63 | 0.42 | 0.42 | 0.39 | 0.36 | 0.35 | |
| Water | 800.00 | 860.00 | 860.00 | 860.00 | 860.00 | |
| Studied Building Materials | Constants | R2 | |
|---|---|---|---|
| A | B | ||
| Building Gypsum | 23.58 | 22.62 | 0.9913 |
| Synthetic gypsum before the calcination process | 63.29 | −166.12 | 0.9778 |
| Synthetic gypsum after the calcination process | 18.28 | 29.94 | 0.9784 |
| Initial Setting Time (min) | ||||
|---|---|---|---|---|
| Gypsum Pastes: BG-Building Gypsum, BS-Synthetic Gypsum | ||||
| BG | SG170 | SG180 | SG185 | SG190 |
| 6.5 | 7 | 7 | 6 | 5.5 |
| Mortar Based on Building Gypsum with Plast Retard (MBG-PR) Mortar Based on Synthetic Gypsum with Plast Retard (MSG-PR) | ||||
| MBG-PR | MSG170-PR | MSG180-PR | MSG185-PR | MSG190-PR |
| 120 | 120 | 124 | 120 | 120 |
| Mortar Based on Building Gypsum with Tartaric Acid (MBG-A63) Mortar Based on Synthetic Gypsum with Tartaric Acid (MSG-A63) | ||||
| MBG-A63 | MBG170-A63 | MBG180-A63 | MBG185-A63 | MBG190-A63 |
| 120 | 122 | 126 | 120 | 124 |
| Plastering Mortar Based on Building Gypsum with Plast Retard (PMBG-PR) Plastering Mortar Based on Synthetic Gypsum with Plast Retard (PMSG-PR) | ||||
| PMBG-PR | PMSG170-PR | PMSG180-PR | PMSG185-PR | PMSG190-PR |
| 118 | 120 | 120 | 118 | 118 |
| Plastering Mortar Based on Building Gypsum with Tartaric Acid (PMBG-A63) Plastering Mortar Based on Synthetic Gypsum with Tartaric Acid (PMSG-A63) | ||||
| PMBG-A63 | PMSG170-A63 | PMSG180-A63 | PMSG185-A63 | PMSG190-A63 |
| 126 | 120 | 120 | 118 | 122 |
Publisher’s Note: MDPI stays neutral with regard to jurisdictional claims in published maps and institutional affiliations. |
© 2020 by the authors. Licensee MDPI, Basel, Switzerland. This article is an open access article distributed under the terms and conditions of the Creative Commons Attribution (CC BY) license (http://creativecommons.org/licenses/by/4.0/).
Share and Cite
Koper, A.; Prałat, K.; Ciemnicka, J.; Buczkowska, K. Influence of the Calcination Temperature of Synthetic Gypsum on the Particle Size Distribution and Setting Time of Modified Building Materials. Energies 2020, 13, 5759. https://doi.org/10.3390/en13215759
Koper A, Prałat K, Ciemnicka J, Buczkowska K. Influence of the Calcination Temperature of Synthetic Gypsum on the Particle Size Distribution and Setting Time of Modified Building Materials. Energies. 2020; 13(21):5759. https://doi.org/10.3390/en13215759
Chicago/Turabian StyleKoper, Artur, Karol Prałat, Justyna Ciemnicka, and Katarzyna Buczkowska. 2020. "Influence of the Calcination Temperature of Synthetic Gypsum on the Particle Size Distribution and Setting Time of Modified Building Materials" Energies 13, no. 21: 5759. https://doi.org/10.3390/en13215759
APA StyleKoper, A., Prałat, K., Ciemnicka, J., & Buczkowska, K. (2020). Influence of the Calcination Temperature of Synthetic Gypsum on the Particle Size Distribution and Setting Time of Modified Building Materials. Energies, 13(21), 5759. https://doi.org/10.3390/en13215759

