Multi-Area Distribution System State Estimation Using Decentralized Physics-Aware Neural Networks
Abstract
1. Introduction
2. Distribution System State Estimation
2.1. Three-Phase Estimator
2.2. The Used Measurements
- PMUs: three-phase synchronized measurements. Normally, they are located near the step-down transformer, which is used to measure the voltage phasor at the node and the current phasor of the connected branches. With PMUs, the maximum error is 1% for the magnitude and 10 rad for the phase angle.
- Smart meters: these measurements are installed at the household (customer measurements). The power consumption of customers is obtained normally every 15 min. With smart meters, the maximum error is 2% for power measurements.
- Pseudo measurements: historical data are used at the buses where no measurement device is installed as pseudo measurements. These data include three-phase active and reactive power injections, and the maximum error of a pseudo measurement can be up to 50% for active and reactive power absorbed from loads.
- Zero injection buses: at the buses without any loads or generators connected, these buses are considered zero injection buses. The active and reactive power injection measured at these buses is zero with a maximum error equal to 0.001% (to be able to invert the covariance matrix).
3. Decentralized Pruned Physics-Aware Neural Network
3.1. Pruned Physics-Aware Neural Network
3.2. Decentralized Pruned Physics-Aware Neural Network Design Considerations
3.3. Model Implementation and Validation
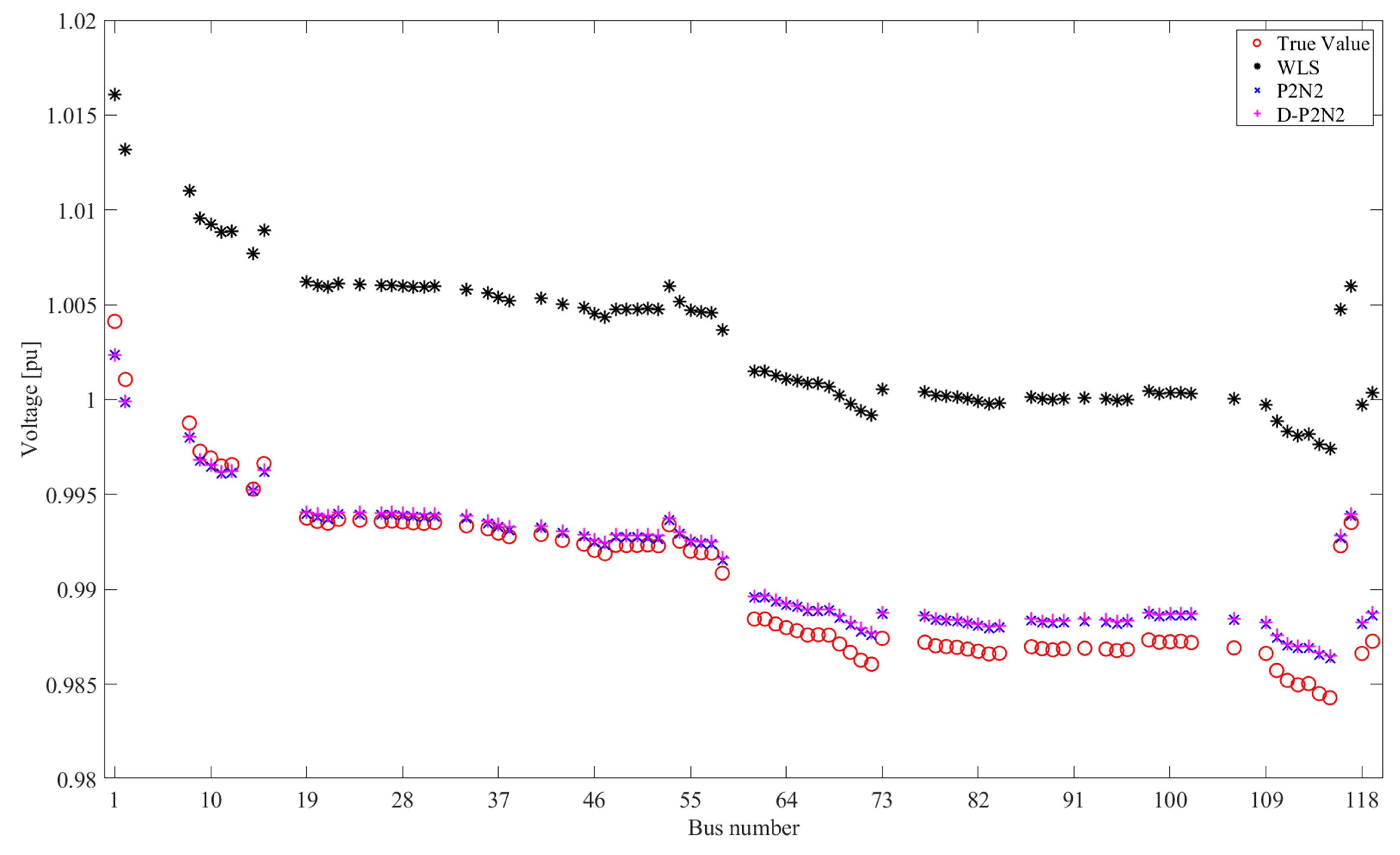
4. Simulation and Results
4.1. Test Network
4.2. Simulation Scenarios
- Scenario 1: the algorithms are tested with a large number of measurements.
- Scenario 2: we kept the same amount of measurements and we increased the error of the pseudo measurements from 30% to 50%.
- Scenario 3: limited measurements are used for this scenario, i.e., 14 pseudo measurements are removed.
5. Conclusions
Author Contributions
Funding
Institutional Review Board Statement
Informed Consent Statement
Data Availability Statement
Acknowledgments
Conflicts of Interest
References
- Grilo, A.; Casaca, A.; Nunes, M.; Bernardo, A.; Rodrigues, P.; Almeida, J.P. A management system for low voltage grids. In Proceedings of the 2017 IEEE Manchester PowerTech, Manchester, UK, 18–22 June 2017. [Google Scholar]
- Boglou, V.; Karavas, C.S.; Arvanitis, K.; Karlis, A. A fuzzy energy management strategy for the coordination of electric vehicle charging in low voltage distribution grids. Energies 2020, 13, 3709. [Google Scholar] [CrossRef]
- Marzband, M.; Sumper, A.; Ruiz-álvarez, A.; Domínguez-García, J.L.; Tomoiagâ, B. Experimental evaluation of a real time energy management system for stand-alone microgrids in day-ahead markets. Appl. Energy 2013, 106, 365–376. [Google Scholar] [CrossRef]
- Jiang, W.; Zhen, Y. A Real-Time EV Charging Scheduling for Parking Lots with PV System and Energy Store System. IEEE Access 2019, 7, 86184–86193. [Google Scholar] [CrossRef]
- Dehghanpour, K.; Wang, Z.; Wang, J.; Yuan, Y.; Bu, F. A survey on state estimation techniques and challenges in smart distribution systems. IEEE Trans. Smart Grid 2019, 10, 2312–2322. [Google Scholar] [CrossRef]
- Tran, M.Q.; Nguyen, P.H.; Mansour, O.; Bijwaard, D. Utilizing Measurement Data from Low-voltage Grid Sensor in State Estimation to Improve Grid Monitoring. In Proceedings of the 2020 55th International Universities Power Engineering Conference (UPEC), Turin, Italy, 1–4 September 2020; pp. 1–5. [Google Scholar]
- Primadianto, A.; Lu, C.N. A Review on Distribution System State Estimation. IEEE Trans. Power Syst. 2017, 32, 3875–3883. [Google Scholar] [CrossRef]
- Majdoub, M.; Belfqih, A.; Boukherouaa, J.; Sabri, O.; Cheddadi, B.; Haidi, T. A review on distribution system state estimation techniques. In Proceedings of the 2018 6th International Renewable and Sustainable Energy Conference, Rabat, Morocco, 5–8 December 2018; pp. 1–6. [Google Scholar]
- Gou, B.; Abur, A.H. A direct numerical method for observability analysis. IEEE Trans. Power Syst. 2000, 15, 625–630. [Google Scholar] [CrossRef]
- Gou, B.; Abur, A. An improved measurement placement algorithm for network observability. IEEE Trans. Power Syst. 2001, 16, 819–824. [Google Scholar] [CrossRef]
- Dehghanpour, K.; Yuan, Y.; Wang, Z.; Bu, F. A Game-Theoretic Data-Driven Approach for Pseudo-Measurement Generation in Distribution System State Estimation. IEEE Trans. Smart Grid 2019, 10, 5942–5951. [Google Scholar] [CrossRef]
- Gahrooei, Y.R.; Khodabakhshian, A. A New Pseudo Load Profile Determination Approach in Low Voltage Distribution Networks. IEEE Trans. Power Syst. 2018, 33, 463–472. [Google Scholar] [CrossRef]
- Yuan, Y.; Dehghanpour, K.; Bu, F.; Wang, Z. A Probabilistic Data-Driven Method for Photovoltaic Pseudo-Measurement Generation in Distribution Systems. In Proceedings of the IEEE Power and Energy Society General Meeting, Atlanta, GA, USA, 4–8 August 2019. [Google Scholar]
- Yuan, Y.; Dehghanpour, K.; Bu, F.; Wang, Z. A Multi-Timescale Data-Driven Approach to Enhance Distribution System Observability. IEEE Trans. Power Syst. 2019, 34, 3168–3177. [Google Scholar] [CrossRef]
- Nguyen, P.H.; Kling, W.L.; Myrzik, J.M. Completely decentralized state estimation for active distribution network. In Proceedings of the 9th IASTED European Conference on Power and Energy Systems, Palma de Mallorca, Spain, 7–9 September 2009; pp. 245–250. [Google Scholar]
- Netto, M.; Krishnan, V.; Mili, L.; Susuki, Y.; Zhang, Y. A Hybrid Framework Combining Model-Based and Data-Driven Methods for Hierarchical Decentralized Robust Dynamic State Estimation. In Proceedings of the IEEE Power and Energy Society General Meeting, Atlanta, GA, USA, 4–8 August 2019. [Google Scholar]
- Lin, C.; Wu, W.; Guo, Y. Decentralized Robust State Estimation of Active Distribution Grids Incorporating Microgrids Based on PMU Measurements. IEEE Trans. Smart Grid 2020, 11, 810–820. [Google Scholar] [CrossRef]
- Zamzam, A.S.; Sidiropoulos, N.D. Physics-Aware Neural Networks for Distribution System State Estimation. IEEE Trans. Power Syst. 2020, 35. [Google Scholar] [CrossRef]
- Tran, M.Q.; Zamzam, A.S.; Nguyen, P.H. Enhancement of Distribution System State Estimation Using Pruned Physics-Aware Neural Networks. arXiv 2021, arXiv:2102.03893. [Google Scholar]
- Muscas, C.; Sulis, S.; Angioni, A.; Ponci, F.; Monti, A. Impact of different uncertainty sources on a three-phase state estimator for distribution networks. IEEE Trans. Instrum. Meas. 2014, 63, 2200–2209. [Google Scholar] [CrossRef]
- Abadi, M.; Agarwal, A.; Barham, P.; Brevdo, E.; Chen, Z.; Citro, C.; Corrado, G.S.; Davis, A.; Dean, J.; Devin, M.; et al. TensorFlow: Large-Scale Machine Learning on Heterogeneous Distributed Systems. arXiv 2016, arXiv:1603.04467. [Google Scholar]
- Kingma, D.P.; Ba, J.L. Adam: A method for stochastic optimization. In Proceedings of the 3rd International Conference on Learning Representations, ICLR 2015—Conference Track Proceedings, San Diego, CA, USA, 7–9 May 2015; pp. 1–15. [Google Scholar]
- Schneider, K.P.; Mather, B.A.; Pal, B.C.; Ten, C.W.; Shirek, G.J.; Zhu, H.; Fuller, J.C.; Pereira, J.L.; Ochoa, L.F.; De Araujo, L.R.; et al. Analytic Considerations and Design Basis for the IEEE Distribution Test Feeders. IEEE Trans. Power Syst. 2018, 33, 3181–3188. [Google Scholar] [CrossRef]
- Zhang, L.; Wang, G.; Giannakis, G.B. Real-Time Power System State Estimation and Forecasting via Deep Unrolled Neural Networks. IEEE Trans. Signal Process. 2019, 67, 4069–4077. [Google Scholar] [CrossRef]











| Scenario | WLS | P2N2 | D-P2N2 | 
|---|---|---|---|
| 1 | 0.0019 | 0.0346 | 0.0346 | 
| 2 | 0.1188 | 0.0346 | 0.0348 | 
| 3 | - | 0.0347 | 0.0346 | 
| Scenario | WLS | P2N2 | D-P2N2 | 
|---|---|---|---|
| 1 | 2.7299 s | 0.0173 s | 0.0042 s | 
| 2 | 2.8212 s | 0.0171 s | 0.0042 s | 
| 3 | - | 0.0156 s | 0.0041 s | 
| Publisher’s Note: MDPI stays neutral with regard to jurisdictional claims in published maps and institutional affiliations. | 
© 2021 by the authors. Licensee MDPI, Basel, Switzerland. This article is an open access article distributed under the terms and conditions of the Creative Commons Attribution (CC BY) license (https://creativecommons.org/licenses/by/4.0/).
Share and Cite
Tran, M.-Q.; Zamzam, A.S.; Nguyen, P.H.; Pemen, G. Multi-Area Distribution System State Estimation Using Decentralized Physics-Aware Neural Networks. Energies 2021, 14, 3025. https://doi.org/10.3390/en14113025
Tran M-Q, Zamzam AS, Nguyen PH, Pemen G. Multi-Area Distribution System State Estimation Using Decentralized Physics-Aware Neural Networks. Energies. 2021; 14(11):3025. https://doi.org/10.3390/en14113025
Chicago/Turabian StyleTran, Minh-Quan, Ahmed S. Zamzam, Phuong H. Nguyen, and Guus Pemen. 2021. "Multi-Area Distribution System State Estimation Using Decentralized Physics-Aware Neural Networks" Energies 14, no. 11: 3025. https://doi.org/10.3390/en14113025
APA StyleTran, M.-Q., Zamzam, A. S., Nguyen, P. H., & Pemen, G. (2021). Multi-Area Distribution System State Estimation Using Decentralized Physics-Aware Neural Networks. Energies, 14(11), 3025. https://doi.org/10.3390/en14113025
 
         
                                                


 
       