Abstract
Floating offshore wind has received more attention due to its advantage of access to incredible wind resources over deep waters. Modeling of floating offshore wind farms is essential to evaluate their impacts on the electric power system, in which the floating offshore wind turbine should be adequately modeled for real-time simulation studies. This study proposes a simplified floating offshore wind turbine model, which is applicable for the real-time simulation of large-scale floating offshore wind farms. Two types of floating wind turbines are evaluated in this paper: the semi-submersible and spar-buoy floating wind turbines. The effectiveness of the simplified turbine models is shown by a comparison study with the detailed FAST (Fatigue, Aerodynamics, Structures, and Turbulence) floating turbine model. A large-scale floating offshore wind farm including eighty units of simplified turbines is tested in parallel simulation and real-time software (OPAL-RT). The wake effects among turbines and the effect of wind speeds on ocean waves are also taken into account in the modeling of offshore wind farms. Validation results show sufficient accuracy of the simplified models compared to detailed FAST models. The real-time results of offshore wind farms show the feasibility of the proposed turbine models for the real-time model of large-scale offshore wind farms.
1. Introduction
Renewable energy is being considered as the best solution to replace fossil energy and reduce carbon dioxide emissions. All types of renewable generations keep growing in the last decade, and wind energy has accounted for about 50 percent of renewable generations by 2018 [1]. Offshore wind energy has recently shown greater interest in research and development as well as in investment rather than onshore wind energy. It is reported that the year 2019 was remarkable in the history of the global offshore wind industry with 6.1 GW of the new installation [2]. The total global floating wind reaches up to 65.7 MW by 2019. Among 65.7 MW floating wind [3], 32 MW is located in the UK [4], 19 MW in Japan [4], 10.4 MW in Portugal [4], 2.3 MW in Norway [4], and 2 MW in France [2].
Hywind is known as the first floating offshore wind farm (FOWF) in the world with a 30 MW capacity. It is located in the UK, known as the most established design of floating turbine today, verified through eight years of successful operation [5]. In this project, the floating foundation is a spar-buoy and anchored to the seabed. WindFloat 1 project implemented a demonstration unit using a 2MW turbine and semi-submersible floating foundation in Portugal in 2011. After succeeding in the demonstration phase, the next step would be the pre-commercial phase. So, WindFloat Atlantic was commissioned in January 2020, well known as the first floating wind farm in continental Europe [6]. In Japan, two pioneering floating offshore wind turbines (FOWT), using Hitachi turbines of 5 MW and 2 MW units, have been installed and investigated their performance at a test site off the coast of Fukushima, Japan [7,8]. The 2 MW Floatgen is the only floating wind turbine in France. Floatgen is comprised of a Vestas V80 turbine and damping pool foundation [9]. So far, the practical FOWF projects are only being tested on a small scale. In the future, when the FOWFs are scaled up to several hundred MWs or GW-class, the integration of FOWFs to the utility becomes a critical issue. Because the output power of FOWF will fluctuate depending not only on the wind variation but also on the ocean wave. So, the complicated variation of FOWF will threaten the stability of the power network such as voltage stability, frequency stability, power quality, etc. For a future study of grid-connection of the large-scale FOWF, a high fidelity FOWF modeling that can run in a real-time simulation environment is essential.
From the design stage, detailed mathematical models of floating offshore wind turbines (FOWTs) have been made to analyze the performance in terms of system dynamics, turbine loads, fatigue damage, cost assessment, etc. The detailed models of FOWT developed using the FAST (Fatigue, Aerodynamics, Structures, and Turbulence) simulation tool are well used not only for on-land but also for floating offshore wind turbine designs [10,11,12]. In [13] a linear, frequency-domain model with four planar degrees of freedom (DoFs): floater surge, heave, pitch and first tower modal deflection for quick load analysis of floating offshore wind turbines has been introduced. A simplified, control-oriented mathematical model of an offshore variable speed turbine with a tension leg platform has been introduced in [14]. In [15], a simplified, control-oriented mathematical model of an offshore wind turbine with a spar buoy platform was developed for analysis and control purposes. A nonlinear model with 6 DoFs has been developed for the 5 MW FOWT with a semi-submersible platform [16]. In [17], the authors presented a development of a simplified FOWT model for time-domain simulation. The model was validated by comparing it with the FAST model in several test cases.
Full detailed models [10,11,12] representing all physical features of floating offshore wind turbines, which is suitable for dynamic studies of offshore wind turbines. The electric power produced by the FOWT is the main focus of electrical power system research. As a result, the comprehensive FOWT models can be represented in a simplified model while maintaining sufficient accuracy in the electric power responses. The simplified models should be efficient for real-time studies of large-scale offshore wind farms. The existing models are still complicated to model in real-time simulation and they have not been validated in real-time simulations. Efficient computation is an important factor for simplified models as complicated models might pose a computational burden on real-time simulators. Consequently, a limited number of turbines can be run in real-time simulations. For the real-time model of large-scale offshore wind farms, it is interesting to develop simpler, accurate physical turbine models that can represent the main dynamic of the overall system and suitable for real-time simulation programs such as real-time digital simulator (RTDS) or parallel simulation and real-time software (OPAL-RT).
We put effort into developing a simplified, linear, grid integration analysis-oriented FOWT model that is applicable for the real-time simulations of large-scale offshore wind farms. The proposed FOWT only considers three movements of the floating platform (surge, heave, and pitch) as they have the most impact on output electric power. Compared to existing models, the floater responses in this paper are estimated by the transfer functions, which are efficient and suitable for real-time simulations of large-scale offshore wind farms. The response of the proposed models and the FAST models to the same environment conditions was presented and compared to evaluate the accuracy of the developed models. Two FOWT models with different types of floating foundations: spar-buoy and semi-submersible platform were evaluated. The main contributions of this paper are listed as follows.
- A simplified FOWT model which is applicable for the real-time simulation of large-scale offshore wind farms is proposed. The simplified model is validated against the detailed FAST model.
- A simplified offshore wind farm model is developed with the consideration of wake effects and ocean waves throughout the offshore wind farms.
- A real-time modeling of the simplified floating offshore wind farm is developed and tested in Opal-RT real-time simulator to show the feasibility of the proposed FOWT models.
The rest of this paper is organized as follows. Section 2 presents the structure of FOWT with the spar-buoy and semi-submersible floaters. Section 3 describes the simplification of FOWT for power system studies. The validation of the simplified models and the performance of the large-scale offshore wind farms are presented in Section 4. Finally, the main findings of this paper are summarized in Section 5.
2. Floating Platforms for Offshore Wind Turbines
2.1. Floating Offshore Wind Turbines
This paper considers two typical floating platforms to support the NREL 5 MW reference offshore wind turbine [18], as shown in Figure 1. The first model is the OC4 DeepCwind semi-submersible [19], which is stabilized by the restoring moment obtained by a sufficiently large spacing and diameter of columns. The second model is the OC3 Hywind spar-buoy [20], which is stabilized by the lower center of gravity compared to the center of buoyancy of the system. Table 1 describes the main properties of the semi-submersible platform and spar platform. The detailed specification of mooring systems for the semi-submersible and the spar-buoy models are given in Table 2.
Figure 1.
Overall configuration of the semi-submersible and spar-buoy offshore wind turbines.
Table 1.
Physical properties of the OC4 DeepCwind semi-submersible and the OC3 Hywind spar-buoy floating platforms [19,20].
Table 2.
Specification of mooring systems [19,20].
Offshore wind turbines including floating platforms and wind turbines freely move in three-dimensional space, which is referred to as six degrees of freedom (DoFs). A rigid body of offshore wind turbine freely changes position in three perpendicular axes: surge motion in normal axis (backward/forward), heave motion in transverse axis (down/up), and sway motion in longitudinal axis (right/left); combining three rotational changes about three axes, namely, yaw, pitch, and roll, respectively.
2.2. FAST Wind Turbine Model
FAST is a publically accessible FOWT modeling program from NREL [REF], which predicts the coupled aero-hydroservo-elastic responses in the time domain, taking into consideration aerodynamics, control logic, structural elasticity, and first-order hydrodynamics plus viscous effects [12]. Wind-inflow data is used in the aerodynamic models, which solve for rotor-wake effects and blade-element aerodynamic stresses, including dynamic stall. Both regular and irregular waves can be simulated by the hydrodynamic models. The control and electrical system models simulate the turbine and generator controllers, including blade-pitch, generator-torque, nacelle-yaw, and other control devices. The structural-dynamics models take into account the control and electrical system responses, as well as aerodynamic and hydrodynamic loads, gravity loads, and the rotor, drivetrain, and support structure’s elasticity. A modular interface and coupler are used to connect all of the models. An executable version of FAST can be implemented in Matlab/Simulink environment. FAST_SFunc is a level-2 Matlab S-function that implements the FAST interface to Simulink, which is built in C, and it calls a DLL of FAST routines that are written in Fortran [21]. The complexity of the FAST interface poses a challenge to compile and run FAST models in real-time simulators such as OPAL-RT or RTDS.
3. Simplification of Floating Offshore Wind Turbine
Floating offshore wind turbine includes mainly two components, which are a wind turbine generator and floating platform. The overall configuration of the simplified FOWT model is shown in Figure 2.
Figure 2.
Overall configuration of simplified FOWT model.
3.1. Wind Turbine Modeling
As shown in Figure 2, the wind turbine model consists of an aerodynamics model, driver-train, generator, and power converter, and turbine control system including converter and pitch controls. In general, the wind turbine captures wind energy and produces electric power. Power captured by the turbine rotor is expressed as (1).
where is the air density, R is the rotor blade radius, is the blade pitch angle, represents the wind speed perceived by the blade in m/s. is the power coefficient which is a function of pitch angle () and tip speed ratio (). The tip speed ratio is the ratio between tip speed of and the blades pitch angle ().
A table data of with two different indexes and was derived from the FAST model of the 5 MW model, in which is selected from 0° to 90° and is selected from 0.25 to 25. The mechanical torque () of the wind turbine is expressed as (2)
Equations (1) and (2) are used to represent the aerodynamic model of the FOWT. The turbine rotor includes blades, hub, shaft, gearbox-if presented and generator is often represented as a single mass model, which is expressed in (3).
where is the mechanical torque, is the electrical torque, and is the inertia constant of the turbine rotor.
The turbine generator is simplified by a first-order function. Because the main focus of this study is on the active power management of floating offshore wind, the power converter system is excluded from the proposed modeling for additional simplification. Detailed modeling of turbine generators and power converter systems could be modeled in the same way as conventional turbine modeling. The difference between the FOWT and fixed wind turbine is the wave and hydrodynamic models, which will be explained in the next section.
The turbine control system includes two main controllers, which are the torque and pitch controls. Under these controllers, the turbine can operate under four regions depending on wind speeds, as shown in Figure 3. In region 2, the MPPT control algorithm based on the torque controller is implemented to capture the maximum power from the wind. The maximum power of the wind turbine is expressed as (4) [22].
where is the maximum power coefficient of the turbine, is the optimal tip speed ratio, is the optimal mechanical angular velocity of the rotor. In region 3, the pitch controller is activated to limit the power of the turbine at the rated value. The wind generator is shut down in regions 1 and 4 where the wind speed is smaller than the cut-in speed and larger than the cut-out speed.
Figure 3.
The output power versus wind speed.
3.2. Simplified Modeling of Floating Platforms
Unlike the conventional fixed wind turbine, total FOWT output power is affected by not only winds but also ocean waves. As FOWT is free to change position in six DoFs, the use of full six DoFs could increase the complexity of the turbine modeling, which would pose a significant impact on the computational burden. Thus, the 6 DoFs representation of FOWT is reduced to three DoFs that have the most significant impacts on the total output power, which are surge, heave, and pitch. The following assumptions are considered in this paper for simplification of the floating wind turbines:
- The aero-elastic effects are neglected.
- The wind turbine is always supposed to be aligned with the wind.
- The floating system is assumed to be aligned with the coming way.
The coordinate system that describes the wind turbine movements is depicted in Figure 4. The x-axis is aligned with the water surface and its direction is the same as the wind speed direction. The z-axis points upward. The y-axis is perpendicular to the x-axis and z-axis as shown in Figure 4. The origin is placed in the static equilibrium position. As shown in Figure 4, positive surge () coincides with the x-axis direction, positive heave() coincides with the z-axis direction, and positive pitch () is clockwise. The motion equation of the FOWT is expressed in (5) [23].
where is the structure mass and inertia matrix of whole FOWT systems, except for mooring systems; is angular frequency; is hydrodynamic added mass and inertia matrix; is hydrodynamic linear damping matrix; is a damping matrix; is restoring matrix; is the response for the three DoFs; is a vector of excitation forces and moments in the frequency domain.
Figure 4.
Movement of floating wind turbines under wind and wave conditions: (a) Semi-submersible; (b) Spar-buoy.
All data of matrices , and are derived from the FAST code for the 5 MW turbine model, as presented in [19,20]. By solving Equation (5), the response amplitude operators (RAOs) were obtained in the frequency domain, as given by a vector form in (6).
where () is the floater surge, () is the floater heave, () is the floater pitch.
The transfer functions are estimated based on the frequency response of RAOs by using tfest function that is provided by the system identification toolbox in Matlab. Based on the estimated transfer functions, RAOs can be represented in the time domain, which can be used for time-domain simulation such as Matlab/Simulink or PSCAD/EMTDC.
An overall diagram of the simplified floater response is depicted in Figure 5. It should be noted that only surge and pitch movements are considered as they introduced a significant impact on the total output power. RAOs movements in the time domain ( and ) are affected by both wind () and ocean waves (). By multiplying the specific time series of free surface elevation with the transfer functions of response amplitude operators (RAOs) including surge and pitch, the dynamic response of surge () and pitch () in time series can be obtained. Since the floating structure can move, the effective wind speed () is different from the absolute wind velocity (), as given by (7).
where is the variation of wind speed at the rotor hub due to the structure movement, is the turbine hub height, is a sum of dynamic , and static , and is a sum of dynamic , and static . The static values of the surge and pitch are extracted from the FAST model for each mean wind speed. Within this paper, we considered only the surge and pitch response because they affect directly the relative wind speed seen by blades.
Figure 5.
Overall configuration of simplified FOWT model.
3.3. Ocean Wave Modeling for Offshore Wind Farms
The ocean wave is generated by JONSWAP Spectrum, which is produced by the wind at each turbine, as given by (8). Thus, the ocean waves are simply modeled throughout offshore wind farms considering the effect of wind speeds.
where ; is the wave frequency; is the surface elevation spectrum at frequency ; m/s; ; ; is the wind speed measured at a height of 19.5 m above the sea surface, which is calculated based on wind power profile law relationship (12).
where is the wind speed measured at the nacelle of the wind turbine; is the turbine hub height in meter; is the constant coefficient. Recommended value of for the offshore wind farm application is 0.11 [24].
Wave amplitude at frequency is calculated by (13) then it is converted to the time domain by (14). Wave amplitude in time domain is used as input of the simplified turbine models. The wave spectra under different wind speeds shown in Figure 6 indicates that a stronger wind speed results in a stronger ocean wave.
Figure 6.
JOHNSWAP wave spectra under different wind speeds: (a) Surface elevation spectrum; (b) Amplitude of ocean wave.
4. Simulation Results
4.1. Validation of Simplified Models
4.1.1. System Parameters
The transfer functions of motion RAOs is converted from continuous domain to the discrete domain with the sample time of 0.0125 s. The discrete transfer functions of motion RAOs for the semi-submersible and spar-buoy platforms are given by (15) to (18).
Variation of static motion RAOs ( and ) under different wind speeds is shown in Figure 7, which is used as lookup tables for the simplified turbine models. Smaller mean values of motion RAOs of the semi-submersible platform indicate that the semi-submersible platform is more stable than the spar-buoy platform.
Figure 7.
Mean of motion RAOs under different wind speeds: (a) Surge; (b) Pitch.
4.1.2. Validation Results
The accuracy of the simplified models is validated against the FAST models in this section. Two types of floating wind turbines are investigated in this paper: semi-submersible and spar-buoy floating wind turbines, in which the rating of turbine generators is 5 MW. The motion RAOs and output turbine power under both regular and irregular wave conditions are calculated to validate the proposed models.
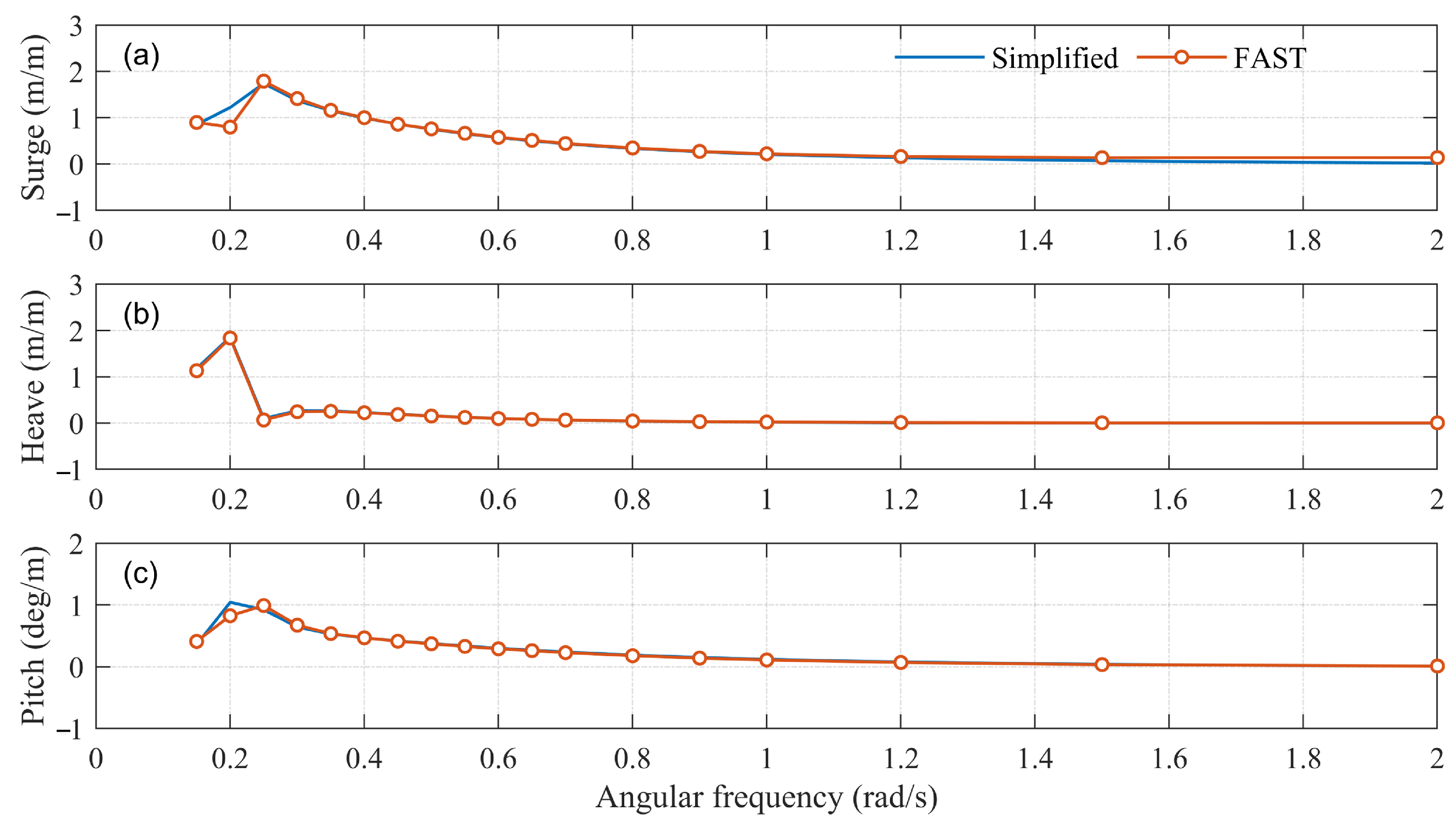
The validation results of RAO motions in the frequency domain for the simplified semi-submersible floating wind turbine are shown in Figure 8. It can be seen that the simplified model successfully captures the dynamic response of RAO motions at a frequency above 0.45 rad/s. There is a slight difference in pitch motion at a frequency below 0.45 rad/s. The RAO responses under a regular wave in the time domain are shown in Figure 9 and output power in this condition is shown in Figure 10. With the wind speed of 8 m/s, the turbine tower inclines with the mean pitch angle of 1.79 and oscillates around that mean value due to the regular wave effect. The output power oscillates around the mean value of 1.75 MW. Figure 11 and Figure 12 show the response of RAO motions and output power under the irregular wave condition. The comparison in form of mean and standard deviation (STD) of RAO motions and output power is shown in Table 3.
Figure 8.
Frequency response of motion RAO for semi-submersible floater: (a) Surge; (b) Heave; (c) Pitch.
Figure 9.
Time response of motion RAO for semi-submersible floater under regular wave: (a) Surge; (b) Pitch.
Figure 10.
Output power of the semi-submersible floating turbine under regular wave and wind speed of 8 m/s.
Figure 11.
Time response of motion RAO for semi-submersible floater under irregular wave: (a) Surge; (b) Pitch.
Figure 12.
Output power of the semi-submersible floating turbine under an irregular wave and wind speeds of 8 m/s.
Table 3.
Mean and standard deviation of RAO motions and output power for the semi-submersible turbine model.
Similarly, the validation results for the spar-buoy floating wind turbine model are shown in Figure 13, Figure 14, Figure 15, Figure 16 and Figure 17. Compared results in Table 4 show that the simplified models show sufficient accuracy compared to the detailed FAST models.
Figure 13.
Frequency response of motion RAO for spar-buoy floater: (a) Surge; (b) Heave; (c) Pitch.
Figure 14.
Time response of motion RAO for spar-buoy floater under regular waves: (a) Surge; (b) Pitch.
Figure 15.
Output power of the spar-buoy floating turbine under regular wave and wind speeds of 8 m/s.
Figure 16.
Time response of motion RAO for the spar-buoy floater under irregular waves: (a) Surge; (b) Pitch.
Figure 17.
Output power of the spar-buoy floating turbine under irregular wave and wind speeds of 8 m/s.
Table 4.
Mean and standard deviation of RAO motions and output power for the spar-buoy turbine model.
The differences between FAST and proposed models are caused by the reduction of floating dynamic models. Although the FAST model is available in the simulation package, however, it is computationally intensive and unsuitable for real-time simulation of large-scale offshore wind farms with many turbines. The proposed turbine model overcomes the limitation as it is sufficient for real-time simulation while retaining acceptable accuracy. The real-time simulation of a large-scale offshore wind farm with eighty turbines was conducted in the next section to verify the effectiveness of the proposed turbine models.
4.2. Floating Offshore Wind Farm Using Simplified Models
The offshore wind farm system including 80 turbines is used to evaluate the performance of the simplified turbine models. The power rating of each turbine is 5 MW, resulting in a total of 400 MW capability of the offshore wind farm system. Eighty turbines are grouped into 10 clusters, in which each cluster consists of 8 turbines, as shown in Figure 18. This figure also shows the wake effects in the tested offshore wind farm system. It can be seen that the wind speeds of the downstream turbines are lower than the upstream turbines due to the wake effects. The wind field of the tested system considering wake effects is generated by using the SimWindFarm toolbox [25].
Figure 18.
Wind field throughout offshore wind farm.
The offshore wind farm system is managed by the central windplant level controller (WF control), as shown in Figure 19. The main objective of the central wind controller is to regulate the total power of offshore wind systems following the required power () from the transmission system operator (TSO). As the output power of each turbine is different due to the wake effects, the power command to each turbine () should be chosen regarding its available power (), as given by (19). The tested wind farm system is simulated in the OP5600 real-time simulator to evaluate the effectiveness of the proposed simplified turbine models for real-time application.
where N is the number of turbines in the offshore wind farm system.
Figure 19.
Offshore wind farm controller.
Two offshore wind farm systems are evaluated, one uses the semi-submersible turbine model and the other uses the spar-buoy turbine model. It is assumed that the power command from TSO is 300 MW and it is reduced to 240 MW at 1500 s. The central wind-plant level controller generated power set-points to each turbine based on its available power to meet the required power from TSO. The performance of two wind farms is shown in Figure 20, which includes the power output of semi-based and spar-based offshore wind farms. Due to the wake effect, the available power of the wind farm can be smaller than the required power of 300 MW. In this condition, all wind turbines operate under maximum power mode to produce maximum power. When the available power is larger than the required power, the pitch angle of the turbine is adjusted to regulate output turbine power following the set-point power from the central wind-plant level controller. It can be seen that the total output power of offshore wind farms tracks closely to the power reference of 240 MW. It is observed that the power fluctuation in the semi-based wind farm is smaller than the spar-based wind farm system as the semi-submersible floater is more stable than the spar-buoy floater, which is also indicated by a smaller value of standard deviation shown in Table 5.
Figure 20.
Total output power of offshore wind farms.
Table 5.
Mean and standard deviation of output wind farm power (MW).
Offshore wind farms can operate under deloaded conditions to participate in the primary frequency control. In this paper, two offshore wind farms are tested with the deloaded mode with 5% reserved power. Real-time simulation result in this condition is shown in Figure 21. It can be observed that wind farm output power is always lower than available wind power, which allows the wind farm to respond to frequency changes as necessary. It is also observed that the semi-based offshore wind farm is more stable than that of the spar-based offshore wind farm.
Figure 21.
Total output power of offshore wind farms under deloaded operation: (a) Semi-based wind farm; (b) Spar-based wind farm.
5. Conclusions
This paper has proposed a simplified floating wind turbine model that can be easily modeled in the real-time electromagnetic transient environments such as RT-LAB or RSCAD. As the effect of an ocean wave on the floater is simplified as transfer functions, the proposed simplified models bring significant benefits of computations compared to the detailed FAST model, especially for the case of a wind farm system consisting a large number of turbines. Two types of floating wind turbines were conducted in this paper, which are the semi-submersible and spar-buoy turbines. The performance of the simplified models was evaluated in conditions of regular and irregular waves. The validation of the simplified models against detailed FAST models showed sufficient accuracy of the proposed model. Advantage of proposed models over existing detailed models is the computational efficiency, which allows real-time simulation of the large-scale offshore wind farm systems. Two offshore wind farm systems including eighty units of the 5-MW turbine were developed based on both types of floating turbines to show the effectiveness of the simplified turbine models for the large-scale wind farm studies. The wake effects among turbines and the effect of wind speeds on ocean waves were involved in the offshore wind farm simulation. Real-time simulation studies on Opal-RT real-time simulator showed the promising application of the simplified models for the large-scale offshore wind farm system. The real-time model of floating offshore wind farm based on proposed FOWT models will be used to develop the offshore wind farm controllers and reveal its impact on the interconnected power system.
Author Contributions
Conceptualization, T.-D.P. and M.-C.D.; validation, M.-C.D. and T.-T.N.; writing—original draft preparation, T.-D.P.; writing—review and editing, M.-C.D., H.-M.K. and T.-T.N.; supervision, T.-T.N.; All authors have read and agreed to the published version of the manuscript.
Funding
This research received no external funding.
Institutional Review Board Statement
Not applicable.
Informed Consent Statement
Not applicable.
Conflicts of Interest
The authors declare no conflict of interest.
References
- Dudley, B. BP statistical review of world energy. BP Stat. Rev. 2018, 6, 00116. [Google Scholar]
- Council, G.W.E. GWEC|Global Wind Report 2021; Global Wind Energy Council: Brussels, Belgium, 2017. [Google Scholar]
- Skopljak, N. GWEC Launches Floating Offshore Wind Task Force. Available online: https://www.offshorewind.biz/2020/07/07/gwec-launches-floating-offshore-wind-task-force/ (accessed on 12 July 2021).
- Patel, S. Global Offshore Wind Capacity Slated to Multiply Eight-Fold by 2030. Available online: https://www.powermag.com/global-offshore-wind-capacity-slated-to-multiply-eight-fold-by-2030/ (accessed on 12 July 2021).
- Equinor. The Future of Offshore Wind is Afloat. Available online: https://www.equinor.com/en/what-we-do/floating-wind.html (accessed on 22 May 2021).
- Principle Power, I. Principle Power and Partners Inaugurate the First Portuguese Offshore Wind Turbine. Available online: https://www.prnewswire.com/news-releases/principle-power-and-partners-inaugurate-the-first-portuguese-offshore-wind-turbine-159415035.html (accessed on 22 May 2021).
- Japan, M. Failure of World’s 1st Offshore Floating Wind Farm in Fukushima Disappoints 3.11 Survivors. Available online: https://mainichi.jp/english/articles/20210305/p2a/00m/0na/034000c (accessed on 22 May 2021).
- Utsunomiya, T.; Shiraishi, T.; Sato, I.; Inui, E.; Ishida, S. Floating offshore wind turbine demonstration project at Goto Islands, Japan. In Proceedings of the OCEANS 2014-TAIPEI, Taipei, Taiwan, 7–10 April 2014; pp. 1–7. [Google Scholar]
- Durakovic, A. France’s Only Offshore Wind Turbine Overdelivers. Available online: https://www.offshorewind.biz/2021/02/01/frances-only-offshore-wind-turbine-overdelivers/ (accessed on 22 May 2021).
- Jonkman, J.M. Dynamics of offshore floating wind turbines—Model development and verification. Wind Energy 2009, 12, 459–492. [Google Scholar] [CrossRef]
- Henderson, A.R.; Patel, M.H. On the modelling of a floating offshore wind turbine. Wind Energy 2003, 6, 53–86. [Google Scholar] [CrossRef]
- Laboratory, N.R.E. FAST Wind Research. Available online: https://www.nrel.gov/wind/nwtc/fast.html (accessed on 22 May 2021).
- Pegalajar-Jurado, A.; Borg, M.; Bredmose, H. An efficient frequency-domain model for quick load analysis of floating offshore wind turbines. Wind Energy Sci. 2018, 3, 693–712. [Google Scholar] [CrossRef] [Green Version]
- Betti, G.; Farina, M.; Guagliardi, G.A.; Marzorati, A.; Scattolini, R. Development of a control-oriented model of floating wind turbines. IEEE Trans. Control. Syst. Technol. 2013, 22, 69–82. [Google Scholar] [CrossRef]
- Betti, G.; Farina, M.; Marzorati, A.; Scattolini, R.; Guagliardi, G. Modeling and control of a floating wind turbine with spar buoy platform. In Proceedings of the 2012 IEEE International Energy Conference and Exhibition (ENERGYCON), Florence, Italy, 9–12 September 2012; pp. 189–194. [Google Scholar]
- Homer, J.R.; Nagamune, R. Control-oriented physics-based models for floating offshore wind turbines. In Proceedings of the 2015 American Control Conference (ACC), Chicago, IL, USA, 1–3 July 2015; pp. 3696–3701. [Google Scholar]
- Dinh, M.C.; Park, M.; Nguyen, T.T. Simplified Floating Offshore Wind Turbine Model for Time-domain Simulation. In Proceedings of the 2019 8th International Conference on Renewable Energy Research and Applications (ICRERA), Brasov, Romania, 3–6 November 2019; pp. 270–275. [Google Scholar]
- Jonkman, J.; Butterfield, S.; Musial, W.; Scott, G. Definition of a 5-MW Reference wind Turbine for Offshore System Development; Technical Report; National Renewable Energy Lab. (NREL): Golden, CO, USA, 2009. [Google Scholar]
- Robertson, A.; Jonkman, J.; Masciola, M.; Song, H.; Goupee, A.; Coulling, A.; Luan, C. Definition of the Semisubmersible Floating System for Phase II of OC4; Technical Report; National Renewable Energy Lab.(NREL): Golden, CO, USA, 2014. [Google Scholar]
- Jonkman, J. Definition of the Floating System for Phase IV of OC3; Technical Report; National Renewable Energy Lab. (NREL): Golden, CO, USA, 2010. [Google Scholar]
- Laboratory, N.R.E. Global Offshore Wind Capacity Slated to Multiply Eight-Fold by 2030. Available online: https://raf-openfast.readthedocs.io/en/docs-fast8readme/source/user/openfast/simulink.html (accessed on 12 July 2021).
- Wu, B.; Lang, Y.; Zargari, N.; Kouro, S. Power Conversion and Control of Wind Energy Systems; John Wiley & Sons: Hoboken, NJ, USA, 2011; Volume 76. [Google Scholar]
- Pham, T.D.; Shin, H. A New Conceptual Design and Dynamic Analysis of a Spar-Type Offshore Wind Turbine Combined with a Moonpool. Energies 2019, 12, 3737. [Google Scholar] [CrossRef] [Green Version]
- Wikipedia Contributors. Wind Profile Power Law—Wikipedia, The Free Encyclopedia. 2020. Available online: https://en.wikipedia.org/wiki/Wind_profile_power_law.html (accessed on 10 June 2021).
- Grunnet, J.D.; Soltani, M.; Knudsen, T.; Kragelund, M.N.; Bak, T. Aeolus toolbox for dynamics wind farm model, simulation and control. In Proceedings of the European Wind Energy Conference and Exhibition, EWEC 2010: Conference Proceedings, Warsaw, Poland, 20–23 April 2010. [Google Scholar]
Publisher’s Note: MDPI stays neutral with regard to jurisdictional claims in published maps and institutional affiliations. |
© 2021 by the authors. Licensee MDPI, Basel, Switzerland. This article is an open access article distributed under the terms and conditions of the Creative Commons Attribution (CC BY) license (https://creativecommons.org/licenses/by/4.0/).




















