Organic-Inorganic Novel Green Cation Exchange Membranes for Direct Methanol Fuel Cells
Abstract
:1. Introduction
2. Materials and Methods
2.1. Synthesis of ZrPO4
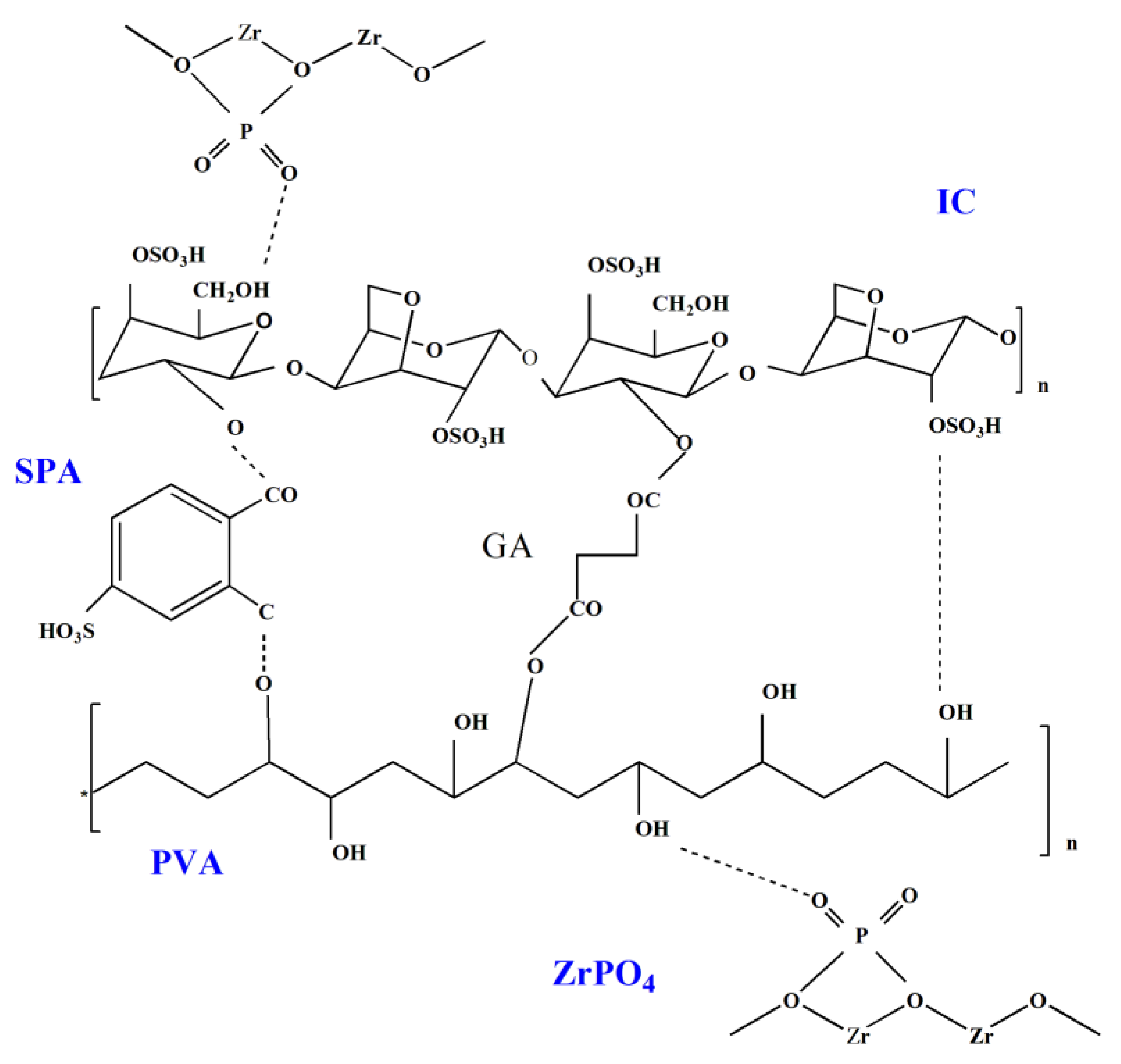
2.2. Preparation of IC/SPVA/ZrPO4 Membranes
2.3. Characterization
3. Results and Discussion
3.1. Characterization of Nano Zirconium Phosphate and the Membranes
3.2. Mechanical and Thermal Analysis
3.3. Oxidative Stability
3.4. Methanol Crossover, Ionic Conductivity, IEC, and Selectivity
4. Conclusions
Author Contributions
Funding
Data Availability Statement
Acknowledgments
Conflicts of Interest
References
- Yuan, C.; Wang, Y. Synthesis and characterization of a crosslinked membrane based on sulfonated poly (aryl ether sulfone) and sulfonated polyvinyl alcohol applied in direct methanol fuel cells. J. Polym. Res. 2020, 27, 329. [Google Scholar] [CrossRef]
- Beydaghi, H.; Javanbakht, M.; Salarizadeh, P.; Bagheri, A.; Amoozadeh, A. Novel proton exchange membrane nanocomposites based on sulfonated tungsten trioxide for application in direct methanol fuel cells. Polymer 2017, 119, 253–262. [Google Scholar] [CrossRef]
- Zhiwei, W.; Hao, Z.; Qiang, C.; Sumei, Z.; Feng, Y.; Jian, K.; Jinyao, C.; Ya, C.; Ming, X. Preparation and characterization of PVA proton exchange membranes containing phosphonic acid groups for direct methanol fuel cell applications. J. Polym. Res. 2019, 26, 200. [Google Scholar] [CrossRef]
- Pandey, R.P.; Shukla, G.; Manohar, M.; Shahi, V.K. Graphene oxide based nanohybrid proton exchange membranes for fuel cell applications: An overview. Adv. Colloid Interface Sci. 2017, 240, 15–30. [Google Scholar] [CrossRef]
- Ye, Y.S.; Rick, J.; Hwang, B.J. Water soluble polymers as proton exchange membranes for fuel cells. Polymers 2012, 4, 913–963. [Google Scholar] [CrossRef] [Green Version]
- Ma, J.; Choudhury, N.A.; Sahai, Y. A comprehensive review of direct borohydride fuel cells. Renew. Sustain. Energy Rev. 2020, 14, 183–199. [Google Scholar] [CrossRef]
- Merino-Jiménez, I.; León, C.P.; Shah, A.A.; Walsh, F.C. Developments in direct borohydride fuel cells and remaining challenges. J. Power Sources 2012, 219, 339–357. [Google Scholar] [CrossRef]
- Gouda, M.H.; Elnouby, M.; Aziz, A.N.; Youssef, M.E.; Santos, D.M.F.; Elessawy, N.A. Green and Low-Cost Membrane Electrode Assembly for Proton Exchange Membrane Fuel Cells: Effect of Double-Layer Electrodes and Gas Diffusion Layer. Front. Mater. 2020, 6. [Google Scholar] [CrossRef] [Green Version]
- Mohy Eldin, M.S.; Hashem, A.E.; Tamer, T.M.; Omer, A.M.; Yossuf, M.E.; Sabet, M.M. Development of cross linked chitosan/alginate polyelectrolyte proton exchanger membranes for fuel cell applications. Int. J. Electrochem. Sci. 2017, 12, 3840–3858. [Google Scholar] [CrossRef]
- Tamer, T.M.; Omer, A.M.; Sabet, M.M.; Youssef, M.E.; Hashem, A.I.; Mohy Eldin, M.S. Development of polyelectrolyte sulfonated chitosan-alginate as an alternative methanol fuel cell membrane. Desalination Water Treat. 2021, 227, 132–148. [Google Scholar]
- Pourzare, K.; Mansourpanah, Y.; Farhadi, S. Advanced nanocomposite membranes for fuel cell applications: A comprehensive review. Biofuel Res. J. 2016, 12, 496–513. [Google Scholar] [CrossRef] [Green Version]
- Bakangura, E.; Wu, L.; Ge, L.; Yang, Z.; Xu, T. Mixed matrix proton exchange membranes for fuel cells: State of the art and perspectives. Prog. Polym. Sci. 2016, 57, 103–152. [Google Scholar] [CrossRef]
- Wei, Q.; Zhang, Y.; Wang, Y.; Chai, W.; Yang, M. Measurement and modeling of the effect of composition ratios on the properties of poly(vinyl alcohol)/poly(vinyl pyrrolidone) membranes. Mater. Des. 2016, 103, 249–258. [Google Scholar] [CrossRef]
- Maarouf, S.; Tazi, B.; Guenoun, F. Preparation and characterization of new composite membranes containing polyvinylpyrrolidone, polyvinyl alcohol, sulfosuccinic acid, silicotungstic acid and silica for direct methanol fuel cell applications. J. Mater. Environ. Sci. 2017, 8, 2870–2876. [Google Scholar]
- Pintauro, P. Perspectives on Membranes and Separators for Electrochemical Energy Conversion and Storage Devices. Polym. Rev. 2015, 55, 201–217. [Google Scholar] [CrossRef]
- Chen, J.; Li, Y.; Zhang, Y.; Zhu, Y. Preparation and characterization of graphene oxide reinforced PVA film with boric acid as crosslinker. J. Appl. Polym. Sci. 2015, 132, 1–8. [Google Scholar] [CrossRef]
- Ye, Y.S.; Cheng, M.Y.; Xie, X.L.; Rick, J.; Huang, Y.J.; Chang, F.C.; Hwang, B.J. Alkali doped polyvinyl alcohol/graphene electrolyte for direct methanol alkaline fuel cells. J. Power Sources 2013, 239, 424–432. [Google Scholar] [CrossRef]
- Gouda, M.H.; Konsowa, A.H.; Farag, H.A.; Elessawy, N.A.; Tamer, T.M.; MohyEldin, M.S. Novel nanocomposite membranes based on cross-linked eco-friendly polymers doped with sulfated titania nanotubes for direct methanol fuel cell application. Nanomater. Nanotechnol. 2020, 10, 1–9. [Google Scholar] [CrossRef]
- MohyEldin, M.S.; Farag, H.A.; Tamer, T.M.; Konsowa, A.H.; Gouda, M.H. Development of novel iota carrageenan-g-polyvinyl alcohol polyelectrolyte membranes for direct methanol fuel cell application. Polym. Bull. 2020, 77, 4895–4916. [Google Scholar] [CrossRef]
- Karthikeyan, S.; Selvasekarapandian, S.; Premalatha, M.; Monisha, S.; Boopathi, G.; Aristatil, G.; Arun, A.; Madeswaran, S. Proton-conducting I-Carrageenan-based biopolymer electrolyte for fuel cell application. Ionics 2016, 23, 2775–2780. [Google Scholar] [CrossRef]
- PasiniCabello, S.D.; Mollá, S.; Ochoa, N.A.; Marchese, J.; Giménez, E.; Compañ, V. New bio-polymeric membranes composed of alginate-carrageenan to be applied as polymer electrolyte membranes for DMFC. J. Power Sources 2014, 265, 345–355. [Google Scholar] [CrossRef]
- Sedesheva, Y.S.; Ivanov, V.S.; Wozniak, A.I.; Yegorov, A.S. Proton-exchange membranes based on sulfonated polymers. Orient. J. Chem. 2016, 32, 2283–2296. [Google Scholar] [CrossRef]
- Awang, N.; Ismail, A.F.; Jaafar, J.; Matsuura, T.; Junoh, H.; Othman, M.H.D.; Rahman, M.A. Functionalization of polymeric materials as a high-performance membrane for direct methanol fuel cell: A review. React. Funct. Polym. 2015, 86, 248–258. [Google Scholar] [CrossRef]
- Vaivars, G.; Mokrani, T.; Hendricks, N.; Linkov, V. Inorganic membranes based on zirconium phosphate for fuel cells. J. Solid State Electrochem. 2004, 8, 882–885. [Google Scholar] [CrossRef]
- Yang, C.; Srinivasan, S.; Bocarsly, A.B.; Tulyani, S.; Benziger, J.B. Performance of Nafion/zirconium phosphate composite membranes in PEM fuel cells. J. Membr. Sci. 2004, 237, 145–161. [Google Scholar] [CrossRef]
- Bauer, F.; Willert-Porada, M. Characterisation of zirconium and titanium phosphates and direct methanol fuel cell (DMFC) performance of functionally graded Nafion (R) composite membranes prepared out of them. J. Power Sources 2005, 145, 101–107. [Google Scholar] [CrossRef]
- Rahaman, S.K.J.; Mukherjee, M.; Sarkhel, G. Effect of Zirconium Phosphate on Structural, Thermal, and Electrical Properties of Polyether Sulfone (PES) Membrane. Int. J. Polym. Mater. 2012, 61, 655–668. [Google Scholar] [CrossRef]
- Deshmukh, K.; Ahamed, M.B.; Sadasivuni, K.K.; Ponnamma, D.; Deshmukh, R.R.; Pasha, S.K.K.; AlMaadeed, M.A.; Chidambaram, K. Graphene oxide reinforced polyvinyl alcohol/polyethylene glycol blend composites as high-performance dielectric material. J. Polym. Res. 2016, 23, 159. [Google Scholar] [CrossRef]
- Li, C.; Xiao, L.; Jiang, Z.; Tian, X.; Luo, L.; Liu, W.; Xu, Z.L.; Yang, H.; Jiang, Z.J. Sulfonic acid functionalized graphene oxide paper sandwiched in sulfonated poly(ether ether ketone): A proton exchange membrane with high performance for semi-passive direct methanol fuel cells. Int. J. Hydrogen Energy 2017, 42, 16731–16740. [Google Scholar] [CrossRef]
- Sigwadi, R.; Dhlamini, M.S.; Mokrani, T.; Nemavhola, F.; Nonjola, P.F.; Msomi, P.F. The proton conductivity and mechanical properties of Nafion®/ZrP nanocomposite membrane. Heliyon 2019, 5, e02240. [Google Scholar] [CrossRef] [Green Version]
- Alberti, G.; Casciola, M.; Capitani, D.; Donnadio, A.; Narducci, R.; Pica, M.; Sganappa, M. Novel Nafion–zirconium phosphate nanocomposite membranes with enhanced stability of proton conductivity at medium temperature and high relative humidity. Electrochim. Acta 2007, 52, 8125–8132. [Google Scholar] [CrossRef]
- Gouda, M.H.; Gouveia, W.; El Essawy, N.A.; Šljukić, B.; Nassr, A.A.A.; Santos, D.M.F. Simple design of PVA-based blend doped with SO4(PO4)-functionalised TiO2as an effective membrane for direct borohydride fuel cells. Int. J. Hydrogen Energy 2020, 45, 15226–15238. [Google Scholar] [CrossRef]
- Gouda, M.H.; Gouveia, W.; Afonso, M.L.; Šljukić, B.; Elessawy, N.A.; Santos, D.M.F. Novel Ternary Polymer Blend Membranes Doped with SO4/PO4-TiO2 for Low Temperature Fuel Cells. In Proceedings of the 5th World Congress on Mechanical, Chemical, and Material Engineering (MCM’19), Paper No. ICCPE 106, Lisbon, Portugal, 15–17 August 2019. [Google Scholar] [CrossRef]
- Gouda, M.H.; Gouveia, W.; Afonso, M.L.; Šljukić, B.; El Essawy, N.A.; Nassr, A.A.A.; Santos, D.M.F. Poly(vinyl alcohol)-based crosslinked ternary polymer blend doped with sulfonated graphene oxide as a sustainable composite membrane for direct borohydride fuel cells. J. Power Sources 2019, 432, 92–101. [Google Scholar] [CrossRef]
- Gouda, M.H.; Elessawy, N.A.; Santos, D.M.F. Synthesis and Characterization of Novel Green Hybrid Nanocomposites for Application as Proton Exchange Membranes in Direct Borohydride Fuel Cells. Energies 2020, 13, 1180. [Google Scholar] [CrossRef] [Green Version]
- Han, L.; Chen, Q.; Chen, H.; Yu, S.; Xiao, L.; Ye, Z. Synthesis and Performance of Functionalized α-Zirconium Phosphate Modified with Octadecyl Isocyanate. J. Nanomater. 2018, 2018. [Google Scholar] [CrossRef] [Green Version]
- Yu, X.; Qiang, L. Preparation for graphite materials and study on electrochemical degradation of phenol by graphite cathodes. Adv. Mater. Phys. Chem. 2012, 2, 63–68. [Google Scholar] [CrossRef] [Green Version]
- Bestaoui, N.; Spurr, N.A.; Clearfield, A. Intercalation of polyetheramines into α-zirconium phosphate. J. Mater. Chem. 2006, 16, 759–764. [Google Scholar] [CrossRef]
- Pica, M.; Donnadio, A.; Casciola, M.; Cojocaru, P.; Merlob, L. Short side chain perfluorosulfonic acid membranes and their composites with nanosized zirconium phosphate: Hydration, mechanical properties and proton conductivity. J. Mater. Chem. 2012, 22, 24902. [Google Scholar] [CrossRef]
- Casciola, M.; Capitani, D.; Comite, A.; Donnadio, A.; Frittella, V.; Pica, M.; Sganappa, M.; Varzi, A. Nafion–Zirconium Phosphate Nanocomposite Membranes with High Filler Loadings: Conductivity and Mechanical Properties. Fuel Cells 2008, 3–4, 217–224. [Google Scholar] [CrossRef]
- Kowsari, E.; Zare, A.; Ansari, V. Phosphoric acid-doped ionic liquid-functionalized graphene oxide/sulfonated polyimide composites as proton exchange membrane. Int. J. Hydrogen Energy 2015, 40, 13964–13978. [Google Scholar] [CrossRef]
- Bayer, T.; Cunning, B.V.; Selyanchyn, R.; Daio, T.; Nishihara, M.; Fujikawa, S.; Sasaki, K.; Lyth, S.M. Alkaline anion exchange membranes based on KOH-treated multilayer graphene oxide. J. Membr. Sci. 2016, 508, 51–61. [Google Scholar] [CrossRef] [Green Version]
- Pandey, R.; Shahi, V. Sulphonated imidized graphene oxide (SIGO) based polymer electrolyte membrane for improved water retention, stability and proton conductivity. J. Power Sources 2015, 299, 104–113. [Google Scholar] [CrossRef]
- Gomaa, M.M.; Hugenschmidt, C.; Dickmann, M.; Abdel-Hady, E.E.; Mohamed, H.F.M.; Abdel-Hamed, M.O. Crosslinked PVA/SSA proton exchange membranes: Correlation between physiochemical properties and free volume determined by positron annihilation spectroscopy. Phys. Chem. Chem. Phys. 2018, 20, 28287–28299. [Google Scholar] [CrossRef] [PubMed]
- Shirdast, A.; Sharif, A.; Abdollahi, M. Effect of the incorporation of sulfonated chitosan/sulfonated graphene oxide on the proton conductivity of chitosan membranes. J. Power Sources 2016, 306, 541–551. [Google Scholar] [CrossRef]
- Beydaghi, H.; Javanbakht, M.; Kowsari, E. Synthesis and Characterization of Poly(vinyl alcohol)/Sulfonated Graphene Oxide Nanocomposite Membranes for Use in Proton Exchange Membrane Fuel Cells (PEMFCs). Ind. Eng. Chem. Res. 2014, 53, 16621–16632. [Google Scholar] [CrossRef]
- Cheng, T.; Feng, M.; Huang, Y.; Liu, X. SGO/SPEN-based highly selective polymer electrolyte membranes for direct methanol fuel cells. Ionics 2017, 23, 2143–2152. [Google Scholar] [CrossRef]
- Luo, T.; Xu, H.; Li, Z.; Gao, S.; Fang, Z.; Zhang, Z.; Wang, F.; Ma, B.; Zhu, C. Novel proton conducting membranes based on copolymers containing hydroxylated poly(ether ether ketone) and sulfonated polystyrenes. J. Appl. Polym. Sci. 2017, 134, 1–8. [Google Scholar] [CrossRef]
- Ozdena, A.; Ercelik, M.; Devrim, Y.; Colpan, C.O.; Hamdullahpur, F. Evaluation of sulfonated polysulfone/zirconium hydrogen phosphate composite membranes for direct methanol fuel cells. Electrochim. Acta 2017, 256, 196–210. [Google Scholar] [CrossRef]
- Li, M.; Scott, K. A Polymer Electrolyte Membrane Fuel Cell Based on Zirconium Phosphate and Phosphoric Acid. Electrochem. Solid State Lett. 2009, 12, 171–175. [Google Scholar] [CrossRef]
- Ahmad, H.; Kamarudin, S.K.; Hasran, U.A.; Daud, W.R.W. A novel hybrid Nafion-PBI-ZP membrane for direct methanol fuel cells. Int. J. Hydrogen Energy 2011, 36, 14668–14677. [Google Scholar] [CrossRef]






| Membrane | Thickness (µm) | WU * (%) | SR * (%) | Contact Angle (°) | Tensile Strength (MPa) | Oxidative Stability (RW, %) * |
|---|---|---|---|---|---|---|
| IC/SPVA | 110 | >100 ± 0.5 | 90 ± 0.4 | 45.36 ± 2 | 12.2 ± 0.5 | 81 ± 2 |
| IC/SPVA/ZrPO4-1 | 150 | 49 ± 0.4 | 45 ± 0.4 | 48.23 ± 1.5 | 22.9 ± 1 | 90 ± 1.5 |
| IC/SPVA/ZrPO4-2.5 | 170 | 20 ± 0.2 | 15 ± 0.3 | 50.36 ± 1.5 | 29.5 ± 1 | 98 ± 1.5 |
| IC/SPVA/ZrPO4-5 | 174 | 19 ± 0.1 | 16 ± 0.2 | 50.31 ± 1 | 35.3 ± 1.5 | 99 ± 0.5 |
| IC/SPVA/ZrPO4-7.5 | 180 | 20 ± 0.05 | 16 ± 0.1 | 49.50 ± 1 | 39.1 ± 2 | 98.5 ± 0.5 |
| Nafion 117 | 183 | 15 | 8 | 102 | 25 | 92 |
| Membrane | Ionic Conductivity (mS cm−1) | IEC (meq g−1) | Methanol Permeability (10−7 cm2 s−1) | Selectivity (105 S cm−3 s) | Reference |
|---|---|---|---|---|---|
| IC/SPVA | 10.1 ± 0.04 | 0.20 ± 0.02 | 3.9 | 0.25 | This study |
| IC/SPVA/ZrPO4-1 | 15.7 ± 0.04 | 0.20 ± 0.02 | 3.5 | 0.45 | This study |
| IC/SPVA/ZrPO4-2.5 | 17.3 ± 0.04 | 0.25 ± 0.02 | 3.0 | 0.57 | This study |
| IC/SPVA/ZrPO4-5 | 25.5 ± 0.02 | 0.35 ± 0.02 | 2.7 | 0.94 | This study |
| IC/SPVA/ZrPO4-7.5 | 25.5 ± 0.02 | 0.40 ± 0.02 | 2.5 | 1.02 | This study |
| Nafion 117 | 34.0 | 0.89 | 14.1 | 0.24 | [1] |
| PVA/ZrPO4 | 10–30 | 3–3.2 | 2–3.5 | - | [51] |
Publisher’s Note: MDPI stays neutral with regard to jurisdictional claims in published maps and institutional affiliations. |
© 2021 by the authors. Licensee MDPI, Basel, Switzerland. This article is an open access article distributed under the terms and conditions of the Creative Commons Attribution (CC BY) license (https://creativecommons.org/licenses/by/4.0/).
Share and Cite
Gouda, M.H.; Tamer, T.M.; Konsowa, A.H.; Farag, H.A.; Mohy Eldin, M.S. Organic-Inorganic Novel Green Cation Exchange Membranes for Direct Methanol Fuel Cells. Energies 2021, 14, 4686. https://doi.org/10.3390/en14154686
Gouda MH, Tamer TM, Konsowa AH, Farag HA, Mohy Eldin MS. Organic-Inorganic Novel Green Cation Exchange Membranes for Direct Methanol Fuel Cells. Energies. 2021; 14(15):4686. https://doi.org/10.3390/en14154686
Chicago/Turabian StyleGouda, Marwa H., Tamer M. Tamer, Abdelaziz H. Konsowa, Hassan A. Farag, and Mohamed S. Mohy Eldin. 2021. "Organic-Inorganic Novel Green Cation Exchange Membranes for Direct Methanol Fuel Cells" Energies 14, no. 15: 4686. https://doi.org/10.3390/en14154686
APA StyleGouda, M. H., Tamer, T. M., Konsowa, A. H., Farag, H. A., & Mohy Eldin, M. S. (2021). Organic-Inorganic Novel Green Cation Exchange Membranes for Direct Methanol Fuel Cells. Energies, 14(15), 4686. https://doi.org/10.3390/en14154686

