Abstract
Surge tanks (STs) are important facilities for ensuring the safety of hydropower stations. Reducing the ST size under the premise of ensuring stable mass oscillations within the ST is the main issue. First, according to the basic equations of the mass oscillation for a hydropower station with an ST, a novel expression of the critical stability section of an ST is deduced considering the velocity head and throttle loss. Then, the sensitivity of each influencing factor of the proposed stability criterion is analyzed. Ultimately, through the simulation of small oscillation transients in two case studies, the water level oscillations (WLOs) in an ST based on three stability criteria are compared. The results show that a 20% smaller ST in a hydropower station may result in 10.4% larger oscillations and a 60% smaller ST in a pumped storage power station may result in 14.3% larger oscillations. Compared with the Thoma criterion and the Chinese specification criterion, the stability criterion proposed in this paper can safely reduce the size of the ST since it considers the influence of the velocity head and throttle loss. The proposed stability criterion can provide an important reference for the optimal design of the STs.
1. Introduction
To accelerate the construction of an environmentally friendly, safe and efficient modern energy system, China has formulated a development target of 60 million kilowatts from conventional hydropower stations and 60 million kilowatts from pumped-storage power stations during the 13th Five-Year Plan period [1], indicating that the vigorous construction of hydropower projects in China will continue in the future. However, if the power load changes or an accident-induced load rejection occurs, water hammer will be caused, the pressure pipelines and units of a power station may be damaged, threatening the safety and stability of the power station [2,3,4,5]. Surge tank (ST) is an effective engineering facility for water hammer protection. If properly sized, it will reduce the amplitude of pressure fluctuations by reflecting the incoming water hammer waves, thereby reducing acceleration or deceleration in the penstock and avoiding the transmission of transient pressures into the tunnel. Moreover, an ST can also improve the regulation and governing performance of the hydropower station and the pumped-storage power station. However, a large quantity of excavation and lining are necessary in the construction of STs, leading to high investment. Therefore, reducing the ST size under the premise of ensuring stable mass oscillations within the ST has become the focus of research.
In 1904, Thoma [6] first discovered the instability of water level oscillation (WLO) in the ST of the Heimbach hydropower station in Germany. In 1910, in his doctoral thesis, based on ideal assumptions, he systematically proposed the oscillation stability condition for STs, which is now known as the Thoma stability criterion. Based on Thoma’s work, Calame, Gaden, Jaeger and Frank subsequently studied the stability of different types of STs and its influencing factors and proposed corresponding correction formulas [7,8]. In 1970, Svee [9] pointed out that the Thoma criterion ignored the influence of the velocity head; as a result, the design of an ST for a power station with a short pressure headrace tunnel may be conservative. Seve thus proposed a new stability criterion that considers the turbine efficiency and changes in the velocity head at the bottom of the ST and is capable of significantly reducing the size of the ST required for stable operation. However, the formula of the Svee stability criterion is quite complex. Furthermore, Leknes [10] performed small oscillation numerical simulations of the Kvinen power station in southern Norway and found that, if the Svee stability criterion is used to design the ST size, the WLO of the ST may not be stable. Combined with the comprehensive characteristic curve of the turbine, Dong [11] proposed a formula for the critical stability section of the ST considering the influence of the speed governing system and pointed out that the cross-sectional size required for ST stability can be smaller than that of the Thoma criterion by reasonably selecting the speed governor parameters. Anderson [12] studied the stability of the ST in a pumped-storage power station after considering both the friction losses in the pipeline and ST and the junction losses. Lai et al. [13] used the T-junction head loss formula proposed by Gardel to represent the head loss at the junction between the riser and the tunnel and analyzed the influence of the velocity head and momentum exchange at the junction on the stable section of the downstream throttled ST. Guo et al. [14] established a mathematical model of a high-order hydraulic-governor system considering the water inertia of penstock and speed governor characteristics and proposed a critical stability section formula for STs. In 2015, Vereide [15] discussed the latest research on Austrian throttled STs and Norwegian air cushion STs and compared the two ST designs with engineering examples. In the same year, Teng [16] studied the stability of a power station system with two STs connected in series with that of a diversion tunnel and compared the influence of the cross-sectional area of the ST and the water flow inertia within the diversion pipe on the stability of the hydraulic-governor system under two schemes: Two upstream STs and a single ST. Yu et al. [17] established a theoretical analysis model for small oscillation stability and a time domain simulation model for small oscillation transient processes when the hydropower station is jointly operated; additionally, the stability and regulation quality of a single hydropower station under either joint operation or isolated operation were compared and analyzed through numerical simulations. Guo [18] proposed the concept of critical stable sectional area of ST under primary frequency regulation and pointed out that the critical stable sectional area of ST and governor parameters jointly determine the distributions of the system’s stability state. Moreover, he also systematically reviewed the relevant literature on the critical stable section of the ST based on hydraulic transients and hydraulic–mechanical–electrical coupling transients [19]. Considering the interconnected operating effect of two hydropower plants, Yu [20] analyzed the impact of the cross-sectional area of STs on the stable region. The results show that when a hydropower plant accounts for a large proportion of the total system output, the cross-sectional area of the ST needs to be accurately designed; while when the capacity of a hydropower plant is less than 1/3 of the total system capacity, the system can remain highly stable even if its size is considerably smaller than that corresponding to the Thoma criterion. Guo [21] proposed the critical stability section of ST considering power grid, which contains four terms reflecting the effect of headrace tunnel, penstock, governor and power grid, respectively. However, this formula seems to be inconvenient to apply for the preliminary design because it involves more influencing factors and some of their values are difficult to determine in the preliminary design stage. Considering that the nonlinearity of the head loss of a diversion tunnel and the steady output of the turbine are ignored in the Thoma criterion, Zhu [22] proposed three improved formulas for the critical-sectional area of an ST. These formulas considering both the nonlinearity of the head loss of the diversion tunnel and the steady output of the turbine can be expressed as an amplification coefficient multiplied by the Thoma criterion and have higher precision. Based on the coupling effects of the system and the physical meaning of the superimposed magnitude, Yang [23] derived a new formular of critical stable cross-sectional areas of STs considering the turbine characteristics and layouts of hydropower plants. The above studies demonstrate that considerable progress has been made in research on the operational stability of STs and numerous stability criteria of STs that consider various influencing factors have emerged. However, some criteria are too complicated for designers to use. For example, some criteria require known turbine characteristics and speed governor parameters, which are difficult to determine at the preliminary design stage and are therefore not suitable for engineering practice. Moreover, in the Thoma criterion and other existing criteria, only the head losses in the penstock and the diversion tunnel are considered, whereas the head loss of the water flowing into and out of the throttled orifice of the ST is ignored. Moreover, when this local head loss is considered, it is not suitable to include the whole velocity head at the bottom of the ST.
In this paper, the headrace ST of a hydropower station is taken as the research object. Through a theoretical derivation, a novel expression of the critical stability section of the ST is established considering the influences of the throttled orifice and the velocity head at the bottom of the ST. The proposed criterion is simple and easy for designers to use. Based on the proposed ST stability criterion, a sensitivity analysis is carried out for each influencing factor. Finally, through the numerical simulation of the small oscillation transient process of a hydropower station, the practicability of the ST stability criterion proposed in this paper is tested and a comparative study is performed with the Thoma stability criterion and the criterion used in the Chinese specification. The results of this work have important guiding significance for reasonably reducing both the design size of the ST and the engineering investment.
2. Basic Equations of the Mass Oscillation in an ST
Because the WLO in a simple ST without a riser is large while the attenuation is very slow during the large oscillation transient processes, the required design size of an ST is generally large and thus such simple riser-less STs have rarely been used in engineering practice. Instead, the design of a throttled ST with a riser is commonly used, a schematic diagram of which is shown in Figure 1.
Figure 1.
Schematic diagram of a hydropower station with a throttled ST.
2.1. Continuity Equation
Assuming that the water in both the tunnel and the ST is incompressible and rigid, the continuity of the water can be given as [24,25,26]
where Q, QT and QS are the turbine discharge, the discharge in the headrace tunnel and the discharge into and out of the ST, respectively, m3/s; VT and AT are the average velocity of the headrace tunnel, m/s and its cross-sectional area, m2, respectively; AS is the ST cross-sectional area, m2; ZS is the vertical distance (positive downward) from the water level of the ST to the static water level of the upper reservoir, m; and t denotes time, s.
2.2. Dynamic Equation
Taking the water body between sections 4-4 and 5-5 in Figure 1 as the control body, according to the momentum theorem,
where the first and second terms on the left side of the equation are the surface pressures of sections 4-4 and 5-5, respectively; the third and fourth terms on the left side of the equation are the weight of the water body and the wall friction of the ST, respectively. denotes the momentum of the water body in the ST, where P4 and P5 are the water surface pressure and the bottom pressure of the ST, respectively, Pa; A4 = A5 = AS; LS is the water depth in the ST, m; is the shear stress, Pa; fS is the loss coefficient of the ST; vs. is the water velocity in the ST, m/s; DS is the cross-sectional diameter of the ST, m; is the water density, kg/m3; and g is the gravitational constant of acceleration, m/s2.
Substituting A4 = A5 = AS and into Equation (2) yields
Dividing both sides of Equation (3) by ,
Because , substituting the total water heads in sections 4-4 and 5-5 ( and , where ) into Equation (4) yields
where H4 and H5 are the total water heads in sections 4-4 and 5-5, respectively, m; Z4 and Z5 are the altitudes of sections 4-4 and 5-5, respectively, m; is the section velocity head, m; and is the velocity head coefficient, in which, k is the kinetic energy correction factor and usually takes a value of 0.7–1.0.
If the water body between upper reservoir sections 1-1 and 4-4 in Figure 1 is taken as the control body, the momentum equations of the headrace tunnel and the ST can be obtained:
where LT is the length of the pressure headrace tunnel, m; H1 is the total water head of upper reservoir section 1-1, m; hw is the water head loss of the headrace tunnel (including the friction loss and local loss), m; is the local head loss between sections 2-2 and 5-5 (water flowing into the ST), m; and .
In general, and . Thus, substituting into Equation (6) and ignoring the difference between the atmospheric pressure at upper reservoir sections 1-1 and 4-4 of the ST, the velocity head of section 1-1 (i.e., ) and the quadratic term of the small VS, the above formula can be simplified to
2.3. Speed Governor Equation
Assuming that the speed governor is absolutely sensitive, the governor can act quickly to ensure that the turbine output does not change when the turbine discharge and head changes are small and the turbine efficiency remains the same during the turbine regulation process [22,27,28,29]. Thus,
where Q0 is the turbine discharge under steady flow conditions, m3/s; hw0, (h2-3)0 and are the head loss of the pressure headrace tunnel, the local head loss between sections 2-2 and 3-3 (water flowing through the ST) and the total head loss of the penstock downstream of the ST when the turbine discharge is Q0, respectively, m; is the local head loss between sections 5-5 and 3-3 (water flowing out of the ST), m; and hm is the total head loss for the penstock downstream of the ST, m.
3. Solving for the Stable Section of the ST
For small oscillations, . Ignoring the quadratic term of , the head loss of the penstock can be expressed as
where is the minute discharge change, m3/s.
Similarly, , ; in addition, because the flows into and out of the ST under small oscillations are small, there is an approximate relationship as follows: [30]. Substituting the above relations and Equation (9) into Equations (1) and (8) yields
where is the headrace tunnel loss coefficient; is the minute velocity change in the headrace tunnel, m/s; ; and .
Combining Equations (10) and (11) yields
where and .
According to Equation (12), and . Substituting the above relations and Equation (12) into Equation (7) yields
where ; ; and is the loss coefficient of the ST.
Equation (13) is a second-order linear homogeneous differential equation. According to the Hurwitz stability criterion, the necessary and sufficient conditions for the stable attenuation of Equation (13) are and . Thus,
Equation (14) is an expression of the critical stable section considering the influences of the throttled orifice and the velocity head at the bottom of the ST. In actual engineering projects, to ensure the stability of the ST, it is often necessary to consider a certain safety factor. The stable cross-sectional area of the upstream ST of a power station can be determined as follows.
where K is the safety coefficient and usually takes a value of 1.0–1.1. Note that Equation (16) implies that the hydropower station operates separately. When considering the interaction between the ST oscillations and the power systems, it is theoretically helpful to attenuate the WLO in the ST.
If the influences of the throttled orifice and the velocity head at the bottom of the ST are ignored; that is, if , then Equation (16) can be converted into
where .
Equation (17) is the famous Thoma stability criterion. This formula is a special case of Equation (16) that ignores the influences of the throttled orifice and the velocity head at the bottom of the ST. Based on the Thoma criterion, China’s latest specification considers the effects of the velocity head and takes , so the following expression is obtained [31,32]:
4. Mathematical Model of Hydropower System
4.1. Modeling the Pipeline System
For a pressurized pipeline, by assuming that the flow velocity is uniformly distributed in the pipe cross section, its dynamic characteristics can be described by the momentum and continuity equations of the flow, which can be expressed by the following partial differential equation [33,34,35,36,37,38,39]:
where ; ; ; Q is the discharge, m3/s; h is the piezometric head, m; a is the wave speed, m/s; A is the cross-sectional area of the pipe, m2; is the friction coefficient; and D is the pipe diameter, m.
Equation (19) can be transformed into an ordinary differential equation by using the method of characteristics (MOC). Then, the following equations are obtained by integration [40,41,42]:
where Hpi and Qpi are the head and discharge at time t, respectively; , , and are known quantities at time ; i is the number of calculated sections in the pipe; ; ; is the time step, s; is the space step, m.
4.2. Modeling the Turbine
In the simulation of load rejection, the boundary conditions of hydroelectric generating units include the following equations:
where ; y is the relative guide vane opening; the subscripts u and d are the calculated boundary points at the runner inlet and outlet, respectively; , and represent the unit speed (rpm), unit discharge (m3/s) and unit torque (N·m); D1 is the runner diameter, m; n is the rotational speed, rpm; M is the torque, N·m; GD2 is the flywheel torque, N·m2.
4.3. Modeling the ST
Since the flow inertia and hydraulic loss in the water conveyance tunnel are much larger than those in the ST, the friction head loss in the ST can be neglected and the piezometric head at the bottom node of the ST is approximately equal to the sum of the water level and the head loss of the throttled orifice. Then, the boundary conditions of the throttled ST include the following equations:
where the parameters with the subscript 0 represent known quantities at time ; is the water level in the ST, m; is the piezometric head at the bottom node of the ST, m; and are the head loss coefficient and discharge coefficient of the throttled orifice, respectively; and is the cross-sectional area of the orifice, m2.
According to Equations (20) and (21), can also be written as follows:
Based on the continuity condition of water flow, the following equation is obtained:
where the subscripts 2 and 3 represent the outlet section of the headrace tunnel and the inlet section of the penstock, respectively.
Let , and . Thus, the following equation can be obtained:
The Newton–Raphson method is used to solve for QS, which is substituted back to obtain the variables HS, Hp, Q2 and Q3.
When the head losses of the tunnel and ST are ignored, the tunnel-ST system is an undamped system. Thus, the WLO period in the ST can be expressed as follows [22]:
where T is the water level oscillation period, s.
5. Sensitivity of the Influencing Factors
Equation (17) shows that the factors affecting the stable cross-sectional area of the upstream ST are , , , , , , and . To analyze the sensitivity of these influencing factors, the baseline values are selected based on reasonable assumptions as follows: LT = 1000 m, AT = 40 m2, H0 = 200 m, Q0 = 50 m3/s, αw = 0.118, , αv = 0.041, hm0 = 2.00 m and (h2-3)0 = 0.01 m. For safety concerns, K takes a value of 1.1. According to Equations (16)–(18), the corresponding stable cross-sectional areas are [AS] = 52.81 m2, [AS] = 97.79 m2 and [AS] = 68.35 m2; the maximum and minimum values of each influencing factor are obtained by taking 1 ± 20% of the baseline values. Figure 2 shows the variation in the stable cross-sectional area of the ST with various influencing factors under different stability criteria. The sensitivity analysis for each influencing factor are shown in Table 1. Figure 2 and Table 1 demonstrate that the stable cross-sectional areas [AS] of the ST calculated by the different stability criteria are obviously different. The [AS] value calculated by the Thoma criterion (Equation (17)) is the largest, followed by the [AS] value calculated by the criterion used in the Chinese specification (Equation (18)) and the [AS] value obtained by the proposed criterion (Equation (16)) is the smallest. Compared with the Thoma criterion, the [AS] value of the ST corresponding to the proposed criterion in this paper is even reduced by 46%. This is consistent with the previous view that by reasonably selecting the speed governor parameters, when the size of the ST is less than that of the Thoma criterion, the hydropower station can still be operated stably. The [AS] values calculated by the three stability criteria increase with increases in LT and AT and decrease with increases in H0 and αw. Among the calculated cross-sectional areas, [AS] is the most sensitive to changes in AT because the mass of water exchanged between the reservoir and the ST increases with the increase of AT, which requires a larger ST to ensure the stability of WLO and the change range is more than 23%;this is followed by H0, for which the change range is more than 17%; finally, the changes in Q0 and hm0 have little effect on [AS], with the change range being no more than 1.4%. For the Thoma criterion and Chinese specification criterion, the calculated [AS] values are independent of αk and αv, whereas for the stability criterion proposed in this paper, [AS] is inversely related to both αk and αv and the changes in which can cause maximum variations of 5.8% and 3.9% in [AS], respectively. Note that the Chinese specification criterion actually considers the influence of αv, but it regards αv as a constant value of . Therefore, compared with the Thoma criterion, the Chinese specification criterion can still safely reduce the size of the ST to a certain extent. For the ST stability criterion introduced in this paper, the sensitivity ranking of each influencing factor is .

Figure 2.
[AS] change process with respect to each influencing factor: (a) LT. (b) AT. (c) H0. (d) Q0. (e) αw. (f) αk. (g) αv. (h) hm0.
Table 1.
Sensitivity analysis results of the various influencing factors.
6. Case Study
6.1. Case 1
To test the practicability of the ST stability criterion proposed in this paper and compare the above three criteria, based on the engineering example shown in Figure 3, numerical simulations of the small oscillation hydraulic transient of a hydropower station are carried out and the WLO in the ST is analyzed. The water level difference between the upper and lower reservoirs is 315.0 m. The complete characteristic curves of the turbine are shown in Figure 4 and the design parameters of the pipeline and the turbine are shown in Table 2. The power station is equipped with a throttled headrace ST and the throttled orifice diameter is 4.0 m. The cross-sectional areas of the ST determined by the proposed criterion in this paper, the Thoma criterion and the stability criterion used in the Chinese specification are [AS] = 54.16 m2, [AS] = 67.82 m2 and [AS] = 60.14 m2, respectively.
Figure 3.
Layout of the pipeline of a hydropower station.
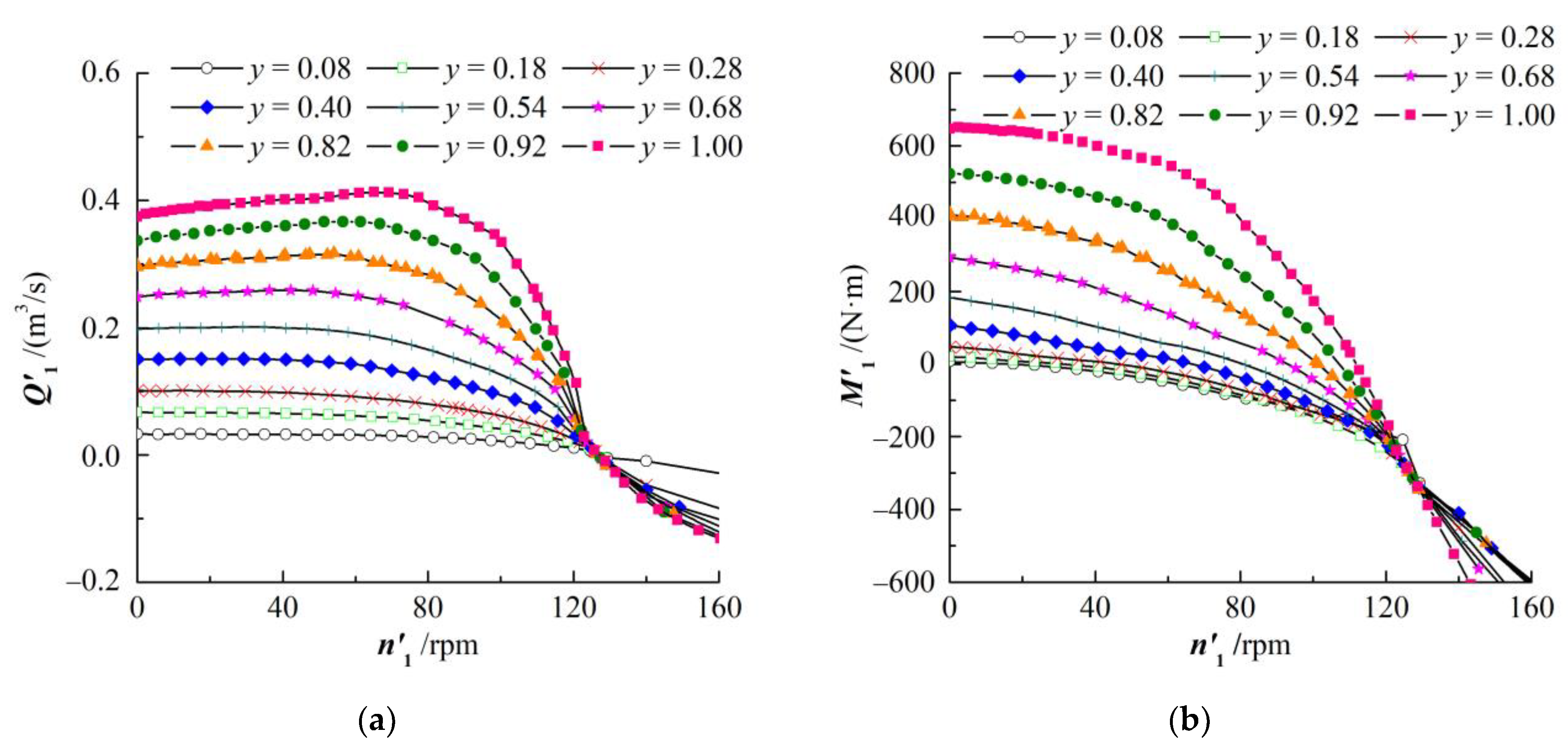
Figure 4.
Complete characteristic curves of the turbine: (a) curves. (b) curves.
Table 2.
Pipe and turbine design parameters.
Using the method of characteristics (MOC), numerical simulations of the one-dimensional hydraulic transient are carried out for the following two kinds of small oscillation operating conditions. Through steady-state calculation, the initial conditions under these two operating conditions are obtained: The initial net heads of the turbine are 311.96 m and 311.71 m; the initial discharges are 82.14 m3/s and 85.30 m3/s; the initial outputs are 206.64 MW and 229.6 MW, respectively; and the initial water levels of the ST are 312.96 m and 312.79 m, respectively. The WLO results of the ST are compared under different stable cross-sectional areas of the ST, as shown in Figure 5, and the corresponding WLO extreme values and oscillation periods are shown in Table 3.
Figure 5.
WLO process of the ST in case 1: (a) Working condition 1. (b) Working condition 2.
Table 3.
Extreme values and periods of WLO in the ST.
Working condition 1: The turbine unit is at 90% of the rated output and after 5 s of stable operation, it suddenly increases to the rated output.
Working condition 2: The turbine unit is at the rated output, but the output is suddenly reduced by 10% of the rated load after 5 s of stable operation.
Figure 5 demonstrates that for the cross-sectional areas of the ST obtained by these three stability criteria, the water levels of the ST can all be gradually attenuated under the above two small oscillation conditions and finally become stable. The stable cross-sectional area of the ST calculated by the proposed criterion in this paper is 54.16 m2, which is 20% lower than that of the Thoma criterion and 10% lower than that of the Chinese specification criterion; moreover, the maximum oscillation amplitude is larger than those of the other two formulas (increased by 10.4% and 4.2%, respectively) under both working conditions. Namely, a 20% smaller surge tank may result in 10.4% larger oscillations and a 10% smaller surge tank result in 4.2% larger oscillations. This indicates that the ST stability criterion oproposed in this paper can effectively reduce the size of the ST under the premise of ensuring stable WLOs, which is conducive to ensuring the stability of the surrounding rock of the underground cavern and reducing construction costs. In addition, according to the theoretical WLO period of the ST (Equation (38)), the WLO periods under the stability criterion proposed in this paper, Thoma criterion and the stability criterion used in Chinese specification are 156.87 s, 165.30 s and 175.53 s, respectively. The relative error between these theoretical WLO periods of the ST and the numerically simulated values are less than 0.65%, which also reflects the accuracy of the numerical simulations.
The throttled ST is formed by connecting the bottom of the cylindrical ST to the tunnel and penstock with a short rising pipe. The local head loss of the water flowing through the bottom of the ST is reduced when the ST is equipped with a throttled orifice; that is, is reduced, which is not conducive to the stability of the WLO in the ST. However, the stability of the oscillation can be increased by means of the partial velocity head () at the bottom of the ST.
To analyze the WLO of the ST with the [AS] calculated by the proposed criterion in this paper in the case of large oscillations, a numerical simulation is carried out under the condition of 100% load rejection and the result is shown in Figure 6. For the transient process of 100% load rejection, an ST designed according to the proposed criterion can still ensure the stability of the WLO in the ST. The oscillation period of the water level in the surge tank under large oscillation condition is 159.01 s, which is only 0.8% higher than that under small oscillation condition. This is because the water hammer phenomenon is essentially different from the oscillation phenomenon of the water level in the ST. The WLOs in the STs are mass waves caused by large amounts of water moving between the ST and the reservoir, while the water hammer phenomenon in the pressurized pipeline is an elastic wave caused by the compression of the water body and pipe wall. Therefore, the impact of water hammer waves on the WLO period can be ignored.
Figure 6.
WLO process of the ST in case 1 under 100% load rejection.
6.2. Case 2
To further verify that the stability criterion proposed in this paper can safely reduce the size of the ST, a pumped storage power station with headrace ST is selected as another verification object. Its layout diagram and complete characteristic curves of the pump-turbine are presented in Figure 7 and Figure 8, respectively. The water conservancy system is made of a 290 m long pressure headrace tunnel, a throttled headrace ST, a common penstock of about 1215 m long and 6.2 m of diameter connected to two pump-turbines, a common draft tube extension of about 135 m long connected to a throttled tailrace ST, a pressure tailrace tunnel of about 713 m long and 7.4 m of diameter connected to a gate shaft and a 45 m long tailrace diffusion section. The design parameters of the pipeline and the pump-turbine are shown in Table 4. The cross-sectional areas of the throttled headrace ST calculated by the proposed criterion in this paper, the Thoma criterion and the Chinese specification criterion are 14.41 m2, 36.84 m2 and 17.44 m2, respectively. Namely, the [AS] values corresponding to the proposed criterion and the Chinese specification criterion are 39.1% and 47.3% of the [AS] value corresponding to the Thomas criterion, respectively.
Figure 7.
Layout of the pipeline of a pumped storage power station.
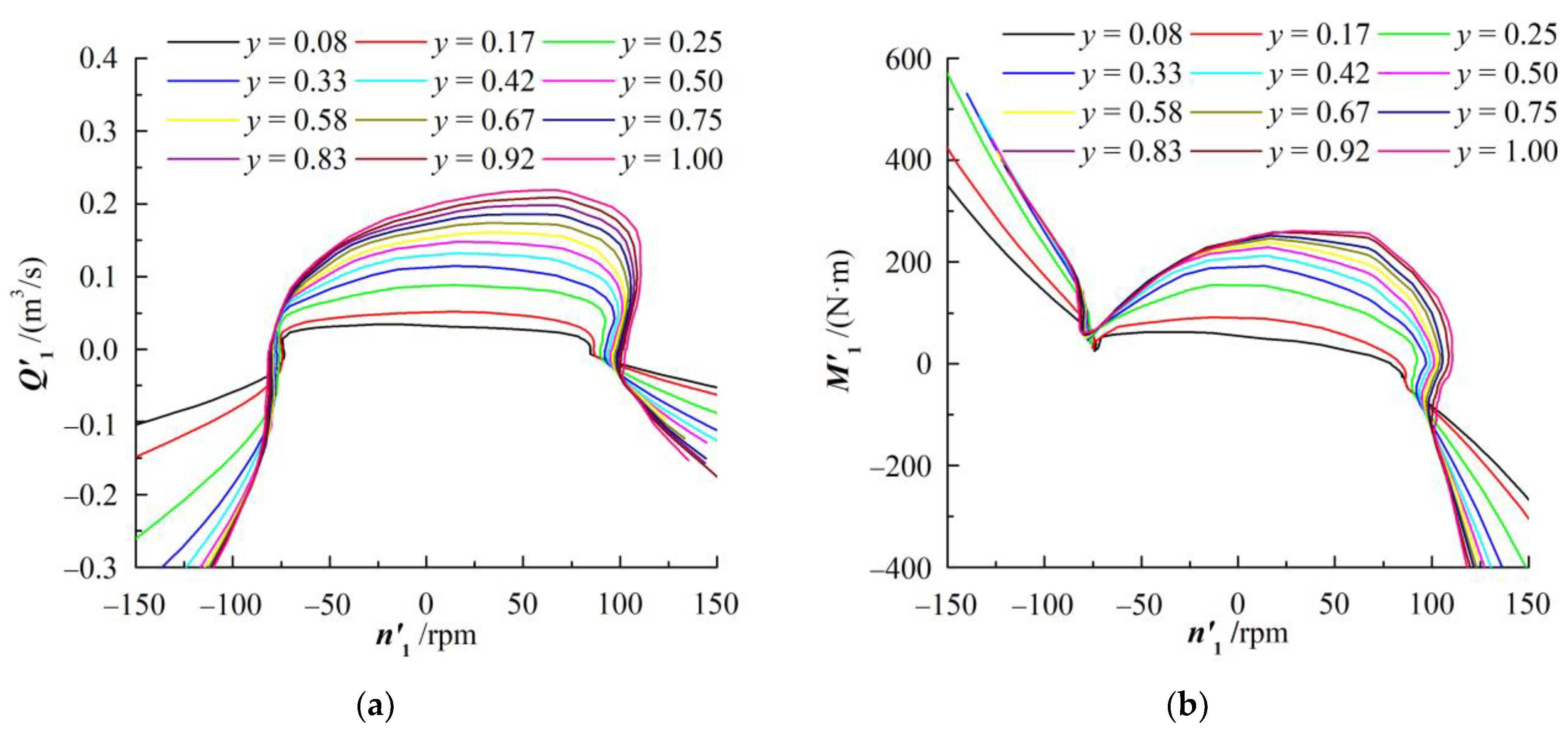
Figure 8.
Complete characteristics of the pump-turbine: (a) curves. (b) curves.
Table 4.
Pipe and pump-turbine design parameters.
Similarly, the MOC method is used to simulate two small oscillation operating conditions: (1) The two units suddenly increase the load by 10% after operating at rated load for 5 s; (2) the two units suddenly decrease the load by 10% after operating at rated load for 5 s. The initial water level of the headrace ST is 674.7 m and the initial discharge of the headrace tunnel is 171.4 m3/s. The WLO results of the headrace ST are compared under different [AS] values, as shown in Figure 9. The WLO extreme values and the periods are presented in Table 5. Figure 9 demonstrates that the cross-sectional size of the ST designed according to the three criteria can all keep the WLO stable and gradually attenuate with time under the both small oscillation conditions. Compared with the [AS] values calculated by the Thoma criterion and the Chinese specification criterion, the [AS] obtained by the proposed criterion is reduced by more than 60% and 17%, whereas the maximum amplitude of the WLO is only increased by 14.3% and 4.3%, respectively. It shows that the long used Thoma criterion for calculating the [AS] value is overly conservative since it does not include the two influencing factors (αk and αv). Since the influence of velocity head at the bottom of the ST is considered in the Chinese specification, the design size of the ST can also be reduced to a certain extent, but it is still conservative. For the proposed criterion and the Chinese specification criterion, the theoretical WLO periods are close to the simulated one and the relative deviation is no more than 1.2%. However, for the Thoma criterion, theoretical WLO period is quite different from the simulated period because when the cross-sectional area of the ST is large, the head losses of the pressure tunnel and the ST should not be ignored.
Figure 9.
WLO process of the headrace ST in case 2: (a) Working condition 1. (b) Working condition 2.
Table 5.
Extreme values and periods of WLO in the headrace ST.
To determine whether the cross-sectional area of the ST designed according to the proposed criterion can meet the requirements of stable WLO in the ST during the large oscillation transient process, it is necessary to simulate the control condition of 100% load rejection and the result is presented in Figure 10. It shows that the ST designed according to the proposed criterion can still ensure the WLO in the ST stable and attenuated under the condition of 100% load rejection. The maximum amplitude of WLO is 18.14 m and the period is 18.07 s. The relative deviation of WLO periods between large oscillation condition and small oscillation conditions is 0.3%. Due to the limitation of topography and geological conditions, the headrace ST in this case is set far away from the units. If conditions permit, moving the ST close to the units, i.e., increasing LT can effectively reduce the water hammer pressure and improve the regulation performance of the units. However, the sensitivity analysis in Section 5 demonstrates that the [AS] value corresponding to the proposed criteria will increase as LT increases and the increase rate exceeds the other two criteria, resulting in larger design size of the ST. Therefore, coordinating this contradiction is usually undertaken as part of the hydraulic transient analysis of the hydropower system.
Figure 10.
WLO process of the headrace ST in case 2 under 100% load rejection.
7. Conclusions
To investigate the small oscillation stability of the STs, this paper conducts a theoretical derivation to establish a new formula for the critical stability section of an ST considering the influences of the throttled orifice and the velocity head at the bottom of the ST. The sensitivity of each influencing factor is analyzed and several stability criteria of STs are compared and analyzed through one-dimensional numerical simulations of the hydraulic transients of a hydropower station. The following conclusions are obtained:
(1) The Thoma stability criterion ignores the influences of the throttled orifice and the velocity head at the bottom of the ST on the stability of the ST, resulting in a large and conservatively calculated stable cross-sectional size of the ST. The Chinese specification considers the influences of the velocity head at the bottom of the ST, which can reduce the design size of the ST to a certain extent, but the buffering effect of the throttled orifice is neglected.
(2) According to the stability criterion of the ST proposed in this paper, the stable cross-sectional area of the ST increases with increases in LT and AT and decreases with increases in H0 and αw. The sensitivity order of the influencing factors is .
(3) The study of case 1 demonstrates that the stable cross-sectional area of the ST corresponding to the proposed criterion is reduced by 20% compared with the Thoma criterion and by 10% compared with the criterion used in the Chinese specification, but the maximum oscillation amplitude is only 10.4% and 4.2% larger than that of both criteria, respectively. The study of case 2 shows that compared with the [AS] values calculated by the Thoma criterion and the Chinese specification criterion, the [AS] obtained by the proposed criterion is reduced by more than 60% and 17%, while the maximum amplitude of the WLO is only increased by 14.3% and 4.3%, respectively. These indicate that the long used Thoma criterion for calculating the [AS] value is overly conservative since it does not include the two influencing factors (αk and αv). The proposed ST stability criterion can effectively reduce the size of the ST while ensuring the stable oscillation of the water level in the ST under small oscillation conditions, which is beneficial to ensuring the stability of the surrounding rock of underground caverns and reducing construction costs. The proposed stability criterion can thus provide guidance for the preliminary design of STs.
(4) The proposed criterion can also ensure the stability of the WLO in the ST under large oscillation conditions. Compared with that under small oscillation conditions, the variation in the WLO period of the ST under large oscillation conditions is no more than 0.8%, indicating that the impact of water hammer waves on the WLO period can be ignored.
Author Contributions
Conceptualization, J.M. and W.H.; methodology, W.H. and X.G.; formal analysis, H.L. and J.L.; data curation, G.W.; writing—original draft preparation, W.H.; writing—review and editing, W.H., X.G. and H.L.; supervision, J.M.; project administration, W.H.; funding acquisition, W.H. and X.G. All authors have read and agreed to the published version of the manuscript.
Funding
This research was funded by the National Natural Science Foundation of China (Grant No. 51909115, 52079061), Natural Science Foundation of Jiangxi, China (Grant No. 20192BAB216038), Open Research Fund of State Key Laboratory of Simulation and Regulation of Water Cycle in River Basin, China Institute of Water Resources and Hydropower Research (Grant No. IWHR-SKL-KF201904), Water Science and Technology Projects of Water Resources Department of Jiangxi Province (Grant No. 202123YBKT04) and 2021 Annual Scientific Research Program of Wanjiazhai Water Holding Group Co., Ltd. (Grant No. 2021−30).
Institutional Review Board Statement
Not applicable.
Informed Consent Statement
Not applicable.
Data Availability Statement
Not applicable.
Acknowledgments
The authors sincerely appreciate the support of Christophe Nicolet in providing the measured characteristic curves of a turbine.
Conflicts of Interest
The authors declare no conflict of interest.
Abbreviations
| A | cross-sectional area of the pipe, m2 |
| AT | cross-sectional area of the headrace tunnel, m2 |
| AS | cross-sectional area of the surge tank, m2 |
| a | wave speed, m/s |
| DS | cross-section diameter of the surge tank, m |
| D | pipe diameter, m |
| D1 | runner diameter, m |
| fS | loss coefficient of the surge tank |
| g | gravitational constant of acceleration, m/s2 |
| H | total water head, m |
| Hs | water level in the surge tank, m |
| Hp | piezometric head at the bottom node of the surge tank, m |
| h | piezometric head, m |
| hv | velocity head, m |
| hw | head loss of the headrace tunnel, m |
| hm | head loss of the penstock, m |
| h2-5 | local head loss between sections 2-2 and 5-5, m |
| h2-3 | local head loss between sections 2-2 and 3-3, m |
| h5-3 | local head loss between sections 5-5 and 3-3, m |
| k | kinetic energy correction factor |
| K | safety coefficient |
| LS | water depth in the surge tank, m |
| LT | length of the pressure headrace tunnel, m |
| unit torque, N·m | |
| M | torque, N·m |
| unit speed, rpm | |
| n | rotational speed, rpm |
| P | pressure, Pa |
| unit discharge, m3/s | |
| Q | turbine discharge, m3/s |
| QT | discharge in the headrace tunnel, m3/s |
| QS | discharge into and out of the surge tank, m3/s |
| T | water level oscillation period, s |
| VT | cross-sectional average velocity of the headrace tunnel, m/s |
| VS | cross-sectional average velocity in the surge tank, m/s |
| y | relative guide vane opening; |
| Z | altitude, m |
| ZS | water level difference between the surge tank and upper reservoir, m |
| αv | velocity head coefficient |
| αw | headrace tunnel loss coefficient |
| αk | surge tank loss coefficient |
| ρ | water density, kg/m3 |
| τ | shear stress, Pa |
| friction coefficient | |
| μ | discharge coefficient of the throttled orifice |
| ω | cross-sectional area of the orifice, m2 |
| ΔQ | minute discharge change, m3/s |
| ΔVT | minute velocity change in the headrace tunnel, m/s |
| Δt | time step, s |
| Δx | space step, m |
| GD2 | flywheel torque, N·m2 |
| Subscripts and Superscripts | |
| 0 | steady flow condition |
| 1 | surface section of the upper reservoir |
| 2 | outlet section of the headrace tunnel |
| 3 | inlet section of the penstock |
| 4 | surface section of the surge tank |
| 5 | bottom section of the surge tank |
| i | serial number of the calculated section in the pipe |
| u | calculated boundary points at the runner inlet |
| d | calculated boundary points at the runner outlet |
References
- National Energy Administration of China. The 13th Five-Year Plan for Hydropower Development; National Energy Administration of China: Beijing, China, 2016.
- Afshar, M.H.; Rohani, M.; Taheri, R. Simulation of transient flow in pipeline systems due to load rejection and load acceptance by hydroelectric power plants. Int. J. Mech. Sci. 2010, 52, 103–115. [Google Scholar] [CrossRef]
- Trivedi, C.; Cervantes, M.J.; Gandhi, B.K.; Dahlhaug, O.G. Transient Pressure Measurements on a High Head Model Francis Turbine During Emergency Shutdown, Total Load Rejection, and Runaway. J. Fluids Eng. 2014, 136, 121107. [Google Scholar] [CrossRef]
- Zheng, Y.; Zhang, J. The Transition Process of Hydraulic Unit; Beijing University Press: Beijing, China, 2008. [Google Scholar]
- Koutnik, J.; Nicolet, C.; Schohl, G.A.; Avellan, F. Overload Surge Event in a Pumped-Storage Power Plant. In Proceedings of the 23rd IAHR Symposium on Hydraulic Machinery and Systems, Yokohama, Japan, 17–21 October 2006. [Google Scholar]
- Thoma, D. Zur Theorie des Wasserschlosses bei Selbsttaetig Geregelten Turbinenanlagen; Druck und Verlag von R. Oldenbourg: Munich, Germany; Berlin, Germany, 1910. (In German) [Google Scholar]
- Jaeger, C. A review of surge-tank stability criteria. J. Basic Eng. 1960, 82, 765–775. [Google Scholar] [CrossRef]
- Jaeger, C. Fluid Transients in Hydro-Electric Engineering Practice; Blackie: Glasgow, UK; London, UK, 1977. [Google Scholar]
- Svee, R.H. Untersuchungen uber die Stabilitat bei Wasserkraftanlagen mit idealer Regelun; Inst. fur Wasserwirtschaft und konstuktiven Wasserbau an der Technischen Hochschule Graz: Graz, Austria, 1970. [Google Scholar]
- Leknes, E. Comparison of the Svee and Thoma Stability Criteria for Mass Oscillations in Surge Tanks. Master’s Thesis, Norwegian University of Science and Technology, Trondheim, Norway, 2016. [Google Scholar]
- Dong, X.L. Research on stability section of surge chamber in hydropower station. J. Hydraul. Eng. 1980, 4, 37–48. [Google Scholar]
- Anderson, A. Surge shaft stability with pumped-storage schemes. J. Hydraul. Eng. 1984, 110, 687–706. [Google Scholar] [CrossRef]
- Lai, X.; Yang, J.; Chen, J. Effects of velocity head and momentum exchange on critical stable sectional area of downstream throttled surge tank. J. Energy Eng. 2003, 129, 96–106. [Google Scholar] [CrossRef]
- Guo, W.C.; Yang, J.D.; Chen, Y.M.; Shan, X.J. Study on critical stable sectional area of surge chamber considering penstock fluid inertia and governor characteristics. J. Hydroelectr. Eng. 2014, 33, 171–178. [Google Scholar]
- Vereide, K.; Lia, L.; Richter, W.; Zenz, G. Surge Tank Research in Austria and Norway. WASSERWIRTSCHAFT 2015, 105, 58–62. [Google Scholar] [CrossRef] [Green Version]
- Teng, Y.; Yang, J.D.; Guo, W.C.; Chen, J.P. Study on stability of waterpower-speed control system for hydropower station with two upstream series surge chambers. J. Hydroelectr. Eng. 2015, 34, 72–79. [Google Scholar]
- Yu, X.D.; Zhang, J.; Liu, J.C. Study on small oscillation stability of hydraulic mechanical system of combined operation hydropower station. J. Hydraul. Eng. 2017, 48, 234–240. [Google Scholar]
- Guo, W.C.; Yang, J.D. Stability performance for primary frequency regulation of hydro-turbine governing system with surge tank. Appl. Math. Model. 2018, 54, 446–466. [Google Scholar] [CrossRef]
- Guo, W.; Liu, Y.; Qu, F.; Xu, X. A Review of Critical Stable Sectional Areas for the Surge Tanks of Hydropower Stations. Energies 2020, 13, 6466. [Google Scholar] [CrossRef]
- Yu, X.; Yang, X.; Zhang, J. Stability analysis of hydro-turbine governing system including surge tanks under interconnected operation during small load disturbance. Renew. Energy 2019, 133, 1426–1435. [Google Scholar] [CrossRef]
- Guo, W.; Peng, Z. Hydropower system operation stability considering the coupling effect of water potential energy in surge tank and power grid. Renew. Energy 2019, 134, 846–861. [Google Scholar] [CrossRef]
- Zhu, D.Y.; Guo, W.C. Critical sectional area of surge chamber considering nonlinearity of head loss of diversion tunnel and steady output of turbine. Chaos Solitons Fractals 2019, 127, 165–172. [Google Scholar] [CrossRef]
- Yang, X.; Lian, J.; Yu, X.; He, W. Critical stable cross-sectional area of surge tank in hydropower plant with multiple units sharing common hydraulic system. Int. J. Electr. Power Energy Syst. 2021, 131, 107067. [Google Scholar] [CrossRef]
- Liu, Q.Z.; Hu, M. Hydropower Station; China Water Conservancy and Hydropower Press: Beijing, China, 2010. [Google Scholar]
- Yu, X.; Yang, X.; Liu, Z.; Zhang, J. Mechanism and quantified criteria of stability characteristics of hydropower plants with surge tanks during regulation. Int. J. Electr. Power Energy Syst. 2020, 122, 106160. [Google Scholar] [CrossRef]
- Chen, S.; Wang, J.; Zhang, J.; Yu, X.; He, W. Transient behavior of two-stage load rejection for multiple units system in pumped storage plants. Renew. Energy 2020, 160, 1012–1022. [Google Scholar] [CrossRef]
- Group IEEE. Hydraulic turbine and turbine control model for system dynamic studies. IEEE Trans. Power Syst. 1992, 7, 167–179. [Google Scholar] [CrossRef]
- Fang, H.Q.; Chen, L.; Dlakavu, N.; Shen, Z. Basic modeling and simulation tool for analysis of hydraulic transients in hydroelectric power plants. IEEE T Energy Conver. 2008, 23, 834–841. [Google Scholar] [CrossRef]
- Kendir, T.E.; Ozdamar, A. Numerical and experimental investigation of optimum surge tank forms in hydroelectric power plants. Renew. Energy 2013, 60, 323–331. [Google Scholar] [CrossRef]
- Liu, Q.Z.; Peng, S.Q. Hydropower Station Surge Chamber; China Water & Power Press: Beijing, China, 1995. [Google Scholar]
- National Energy Board of China. Design Code for Surge Chamber of Hydropower Stations; NB/T 35021-2014; China Electric Power Press: Beijing, China, 2014.
- Ministry of Water Resources of the People’s Republic of China. Design Specifications for Surge Chamber of Water Resources and Hydropower Project; SL 655-2014; China Water Conservancy and Hydropower Press: Beijing, China, 2014.
- Zhang, X.; Cheng, Y.; Yang, Z.; Chen, Q.; Liu, D. Water column separation in pump-turbine after load rejection: 1D-3D coupled simulation of a model pumped-storage system. Renew. Energy 2020, 163, 685–697. [Google Scholar] [CrossRef]
- Huang, W.; Yang, K.L.; Guo, X.L.; Ma, J.; Li, J. Coordinated regulation of ball valves in pumped storage power stations for extreme conditions. J. Tsinghua Univ. (Sci. Technol.) 2019, 59, 635–644. [Google Scholar]
- Nicolet, C. Hydroacoustic Modelling and Numerical Simulation of Unsteady Operation of Hydroelectric Systems. Ph.D. Thesis, École Polytechnique Fédérale de Lausanne, Lausanne, Switzerland, 2007. [Google Scholar]
- Riasi, A.; Tazraei, P. Numerical analysis of the hydraulic transient response in the presence of surge tanks and relief valves. Renew. Energy 2017, 107, 138–146. [Google Scholar] [CrossRef] [Green Version]
- Minakov, A.; Platonov, D.; Dekterev, A.; Sentyabov, A.; Zakharov, A. The numerical simulation of low frequency pressure pulsations in the high-head Francis turbine. Comput. Fluids 2015, 111, 197–205. [Google Scholar] [CrossRef]
- Li, H.; Xu, B.; Riasi, A.; Szulc, P.; Chen, D.; M’Zoughi, F.; Skjelbred, H.I.; Kong, J.; Tazraei, P. Performance evaluation in enabling safety for a hydropower generation system. Renew. Energy 2019, 143, 1628–1642. [Google Scholar] [CrossRef]
- Yang, W.; Norrlund, P.; Bladh, J.; Yang, J.; Lundin, U. Hydraulic damping mechanism of low frequency oscillations in power systems: Quantitative analysis using a nonlinear model of hydropower plants. Appl. Energy 2018, 212, 1138–1152. [Google Scholar] [CrossRef]
- Chen, D.; Ding, C.; Ma, X.; Yuan, P.; Ba, D. Nonlinear dynamical analysis of hydro-turbine governing system with a surge tank. Appl. Math. Model. 2013, 37, 7611–7623. [Google Scholar] [CrossRef]
- Wylie, E.B.; Streeter, V.L. Fluid Transient in Systems; Prentice-Hall: Englewood Cliffs, NJ, USA, 1993. [Google Scholar]
- Chaudhry, M.H. Applied Hydraulic Transients; Springer: New York, NY, USA, 2014. [Google Scholar]
Publisher’s Note: MDPI stays neutral with regard to jurisdictional claims in published maps and institutional affiliations. |
© 2021 by the authors. Licensee MDPI, Basel, Switzerland. This article is an open access article distributed under the terms and conditions of the Creative Commons Attribution (CC BY) license (https://creativecommons.org/licenses/by/4.0/).










