Abstract
Using Electric Vehicles (EV) as Flexible Resources (FR) to increase surplus Photovoltaic (PV) power utilisation is a well-researched topic. Our previous study showed that EVs are viable as supplementary FRs in large capacity PV power systems, where EVs are likely to gather (i.e., workplaces). However, that study assumed all EVs to have identical arrival and departure times (availability), and battery capacities. As these characteristics may vary between EVs and affect their performance as FRs, this study expands the modelling of EVs to consider a variety of availabilities and battery capacities. To effectively utilise a variety of EVs as FRs, an Optimisation Electric-load Dispatching model is used to formulate priority schemes for charging and discharging the EVs based on their potential to contribute to the power system. The priority schemes are evaluated by simulating the annual operation of the power system both with and without the priority schemes, and comparing results. The power system is simulated using a Unit-Scheduling and Time-series Electric-load Dispatching model. The priority schemes reduced annual CO2 emissions by nearly 1%, compared to the case without the priority schemes. The performances of different EVs as FRs when the priority schemes are used and not used are also analysed.
1. Introduction
1.1. Application of Electric Vehicles as Flexible Resources
Renewable energy sources, especially Photovoltaic (PV) systems, are being installed on a large scale to reduce emissions resulting from energy production. According to IEA’s ‘Net-Zero Emissions by 2050’ report, solar PV and wind power will supply around 40% of total energy demands by 2030 [1]. However, PV systems, in particular, have to be installed in capacities greater than the peak demand due to their low capacity factor. This will result in large quantities of surplus power in the grid, especially in power systems with high ratios of PV systems. With many businesses pledging to satisfy their energy demands via renewables [2], PV systems will likely be installed in workplaces, office buildings, etc., in much greater capacities.
Flexible Resources (FR) such as a Battery Energy Storage System (BESS) are useful for storing surplus power generated by PV systems to later supply demands when PV power generation is low. BESSs are popular as FRs due to their fast response times, but can be expensive to purchase and install in large capacities.
The transport sector has also undergone widespread electrification to reduce CO2 emissions. As Electric Vehicles (EV) depend on internal batteries to store electrical energy, it will be possible to use EVs to increase the capacity of FRs available to large PV power systems where EVs are likely to gather (i.e., workplaces).
Figure 1 shows an illustration of EVs being used as FRs in a workplace power system with high PV power generating capacity. When the total useable PV capacity is much greater than the peak demand, EVs can not only be used to store surplus PV power, but will also be able to supply the workplace’s demands, whilst maintaining sufficient energy reserves to satisfy the EV owner’s commuting and domestic energy requirements as well.
Figure 1.
Graphical illustration showing the challenges of utilising electric vehicles as flexible resources in a workplace power system with high PV power generating capacity.
However, unlike a stationary BESS, EVs can only be used as FRs while parked at the workplace. EVs may also vary in terms of their parking durations and capacities for storing surplus PV power, as shown in Figure 1. Furthermore, in high PV penetration scenarios, the EVs can only be discharged once PV power becomes less than the demand, as shown by the red coloured area of Figure 1. These limitations impact the viability of EVs as FRs. However, the full potential of EVs as FRs can be realised by prioritising EV charging and discharging based on each EV’s potential to contribute to the power system.
1.2. Literature Review
Utilising EVs as FRs is a well-researched topic [3]. References [4,5] have proposed methods for controlling the charging time of EVs in order to provide flexibility. However, in these studies, the EVs are assumed only to be used for commuting applications.
As the power and energy capacities of EV batteries increase, most EVs should have excess battery capacity that could be used in applications other than commuting (i.e., V2X applications) [6]. Households with EV charging/discharging facilities can benefit from Vehicle-to-Home (V2H) applications [7,8]. However, only a small portion of an EV’s surplus energy is needed to supply household demands at night.
Therefore, the full potential of EVs as FRs may be realised through V2X applications in workplaces, office buildings, etc. In the past, most Vehicle-to-Building (V2B) applications focused on decreasing the high kW-proportional component of the retail electricity fee (i.e., demand charge) [6,9]. However, recent studies have investigated V2B applications for increasing the utilisation of renewable energy sources. References [10,11] studied V2B applications in simulated campus buildings and evaluated the annual cost savings and CO2 reductions. Reference [12] presented a scheduling framework-based algorithm for peak load shaving in a team of cooperating microgrid powered smart buildings that take advantage of V2B. Reference [13] proposed a robust self-scheduling scheme for parking-lot microgrids to leverage the responsiveness of EVs. Reference [14] suggested a real-time optimal energy management controller for EV integration at a workplace microgrid. The controller was tested with real-world data in a real-time simulation test-bed. Reference [15] proposed a stochastic energy management algorithm in the electricity market. EVs were modelled and integrated into the management algorithm using the Copula method. Reference [16] proposed a ‘building-to-vehicle-to-building’ concept for sharing PV power between a home and a workplace. Reference [17] proposed two control algorithms: a Stochastic Programming and Load Forecasting for Energy management with Two stages (SPLET); a Sample Average Approximation based SPLET (SAA_SPLET). Reference [18] presented a mixed integer linear programming based collaborative decision model to study the energy sharing between a building and an EV charging station, while also considering the impact of driver behaviour.
A limitation of the aforementioned studies is that the PV capacities considered are either smaller than or close to the demand. However, with the likely increase of PV integration in workplaces (Section 1.1), using EVs as FRs in such power systems will present a unique set of opportunities and challenges. When PV power generation is large, EVs can not only store surplus PV power, but will be able to supply the workplace’s demands (V2B), whilst maintaining sufficient energy reserves to satisfy the EV’s owner commuting and domestic (V2H) energy demands. However, EVs are only useable as FRs for a limited amount of time and can only be discharged to supply demands once PV power generation becomes less than the demand.
1.3. Proposal for the Large Scale Utilisation of EVs as FRs in a Workplace Power System
Our previous study proposed a scheme for the large scale utilisation of EVs, used for commuting to work, as supplementary FRs in a workplace power system located in Japan. The feasibility of utilising EVs for this purpose was evaluated using a simplified model of the power system. PV power is the main power source, with Gas-Engine-driven generators (GE) and a BESS used to supplement the power supply. The EVs, alongside the BESS, were compared to a single larger capacity BESS (equal to the aggregated capacity of the EVs and the BESS that it replaces) as a cost-effective method of reducing the annual CO2 emissions of the workplace power system [19,20].
The proposal of this study is for EVs to be charged with surplus PV power after arriving at the workplace and then be discharged to satisfy the workplace’s demands before departing in the evening, whilst also retaining sufficient energy for commuting and domestic use (V2H). Even though the EVs are only usable as FRs for a limited amount of time, the results show that the EVs and the BESS are comparable to the single large capacity BESS at reducing the annual CO2 emissions of the workplace. When using the EVs as supplementary FRs, direct CO2 emissions decreased from 5.51 to 4.31 kt/y, while the single large capacity BESS reduced CO2 emissions to 4.02 kt/y.
A major limitation of our previous study was that all EVs had identical arrival and departure times (availability) and useable battery capacities. In practical applications, the availabilities of EVs can vary as different employees have different working hours—traffic and other factors may also influence an EV’s daily availability. An EV’s availability dictates the amount of time an EV is useable as a FR by the workplace power system. On the other hand, an EV’s useable battery capacity determines the amount of surplus PV power an EV can store. Combined with the fact that the FR capacity provided by the EVs is limited, it is necessary to prioritise the charging and discharging of EVs based on their potential to contribute to the power system in order to effectively utilise a variety of EVs as FRs.
To the best of our knowledge, priority schemes for charging and discharging EVs, especially in power systems with high PV penetration, have not been reported in other literature. In addition, very few studies evaluate the performance of EVs as FRs over a one year simulation period with daily operation models. While [17] does evaluate EVs as FRs over a one-year simulation, with both day-ahead and real-time power system scheduling, the PV capacity considered is much smaller than the demand.
1.4. Research Objective
The primary objective of this study is to propose a method for formulating priority schemes for charging and discharging EVs with a variety of availabilities and useable battery capacities. A two-step approach is taken to achieve this objective. First, optimised EV charging and discharging schemes are investigated by using a mixed integer linear programming model. However, the optimised schemes are inapplicable in a practical scenario due to the difficulty of accurately predicting EV usage patterns, PV power outputs, etc. Therefore, the second step is to formulate rule based EV charging and discharging priority schemes by analysing the optimised schemes obtained during the first step.
The formulated priority schemes are evaluated by simulating the power system with and without the priority schemes and then comparing the annual power system performance of each case. The performances of different EVs as FRs are also investigated for each case. An Optimisation Electric-load Dispatching (OED) model is used to formulate the priority schemes. The real-time operation of the power system is simulated using a Unit-Scheduling (US) model and Time-series Electric-load Dispatching (TED) model.
The structure of this paper is as follows. The first part gives an overview of the power system, and supply and demand data being considered in this study. Next, the modelling of EVs is described. Then, the formulation of EV charging and discharging priority schemes are detailed. Thereafter, the Unit-Scheduling (US) model (schedules the power system operation) and the Time-series Electric-load Dispatching (TED) model (time-series power system simulation) are outlined. Finally, the formulated priority schemes are evaluated and discussed based on annual power system simulation results.
2. Power System Overview
The power system considered in this study is located in Japan, at a workplace to which EV owners (employees) commute. As shown in Figure 2, the power system consists of PV power plants (situated in two locations) and GEs for generating electricity. A BESS is used as a FR. EVs parked at the workplace are used as supplementary FRs. The power system can also access electricity from the grid when necessary. The power system configuration is the same as our previous study [20], but the EV modelling has been expanded.
Figure 2.
Power system schematic diagram.
During the day, PV power is used to supply the electricity demands of the workplace. The BESS and EVs store surplus PV power to later supply the demand when the PV power generation becomes low (typical in the evening). The GEs are operated when power from the PV, BESS and EVs are insufficient to meet the demand. Electricity from the grid is purchased to respond to short-term power fluctuations. GE operations and purchases of grid electricity can be minimised by effectively utilising the BESS and EVs as FRs, thereby reducing the power system’s operating costs and CO2 emissions.
EV purchasing costs are assumed to be borne solely by the employees. In return, the power system provides energy to the employees as compensation for their EV’s contribution to the power system. This energy is stored in the EVs by the time of departure and is sufficient to satisfy each employee’s daily commuting and domestic energy needs.
The EVs cannot be discharged until PV power generation becomes less than the demand—typically after 3 p.m. As most employees depart from the workplace at around 7 p.m., the majority of EVs can only be discharged to supply demands between 3 and 7 p.m. This means that the energy that an EV can discharge before departing depends on the capacity of the EV inverter that the EV is paired with.
The capacities of the EV inverters installed at the workplace can be determined by analysing the workplace’s residual load (subtract PV power from demand) characteristics between 3 and 7 p.m., when EV discharging is expected.
An EV’s ability to perform as a FR also depends on its availability and useable battery capacity. In this study, the EVs are modelled with a variety of availabilities and useable battery capacities to better replicate the realistic application of EVs as FRs (Section 4).
3. Data and Power System Specifications
3.1. Demand Data
3.1.1. Measured Demand Data
Actual demand data were measured from the workplace. The maximum demand was 10 MW and the average daily energy consumption was 112 MWh/day on weekdays and 43 MWh/day on weekends.
3.1.2. Forecasted Demand Data
Forecasted demand data to be input to the US model (Section 6) were forecasted daily at noon. The temporal resolution of the forecasted demand data is 1 h. These data were obtained using the Random Forest method with the following input variables: demand data from the past 40 days, temperature, day of the week, level of office activity and status of power system maintenance.
3.2. PV Power Output Data
3.2.1. Measured PV Power Output Data
The total PV capacity is 33 MW, sufficient to cover at least 50% of the annual demand, based on measured demand data and a preliminary study of PV power data. Of the total PV capacity, 4 MW are installed inside the workplace (on-site), 11 MW at a nearby location (off-site—near) and 18 MW at a location further away (off-site—far). As shown in Figure 2, the PVs in the on-site and off-site—near locations are combined into a single location (Point-A), while off-site—far is considered to be a separate location (Point-B).
The time series PV power output per unit capacity data of Point-A were calculated using measured PV power data from the workplace. At Point-B, PV power output per unit capacity data were based on horizontal solar irradiance data (measured at a meteorological office, approximately 50 km southwest of the workplace) converted to a 10-degree southward inclination. The time series PV power output data of Point-B were then calculated from the outdoor air temperature, the tilted solar irradiance of an inclined surface and the PV power output to horizontal irradiance relationship formulated for the PVs of Point-A [21]. After calculating the PV power output per unit capacity for Point-A and -B, the weighted average of the PV power output per unit capacity was calculated using the installed PV capacities of Point-A and -B.
The daily standard deviation of PV power fluctuations was calculated to verify the smoothing effect that results from distributing the PV systems of Point-A and -B across a wide area. Figure 3 shows the daily standard deviation of PV power fluctuation calculated from 11:00 a.m. to 1:00 p.m., when PV power generation is generally highest. The results show that, on most days, the standard deviation of PV power fluctuations is small due to the difference in PV power outputs at Point-A and -B. This smoothing effect was taken into account when obtaining the forecasted PV power output data.
Figure 3.
Daily standard deviation of PV power fluctuations (11:00 a.m.–1:00 p.m.).
3.2.2. Forecasted PV Power Output Data
A multiple regression model [22] was used to obtain the forecasted PV power output data to be input into the US model. At Point-A, the three-layer cloud cover (low, middle, high) and the relative humidity of the closest grid point value to the PV’s location (calculated using Japan Meteorological Agency’s mesoscale numerical weather prediction model) were used as explanatory variables. PV power output was the response variable. At Point-B, the response variable was replaced with horizontal solar irradiance (obtained from the Meteorological Office at Point-B). The forecasted PV power output of Point-B was then determined by converting horizontal solar irradiance to PV power output, as described in Section 3.2.1.
3.3. Residual Load Analysis
The specifications of certain power system components are determined by analysing the residual load (subtract PV power from demand) characteristics of the workplace.
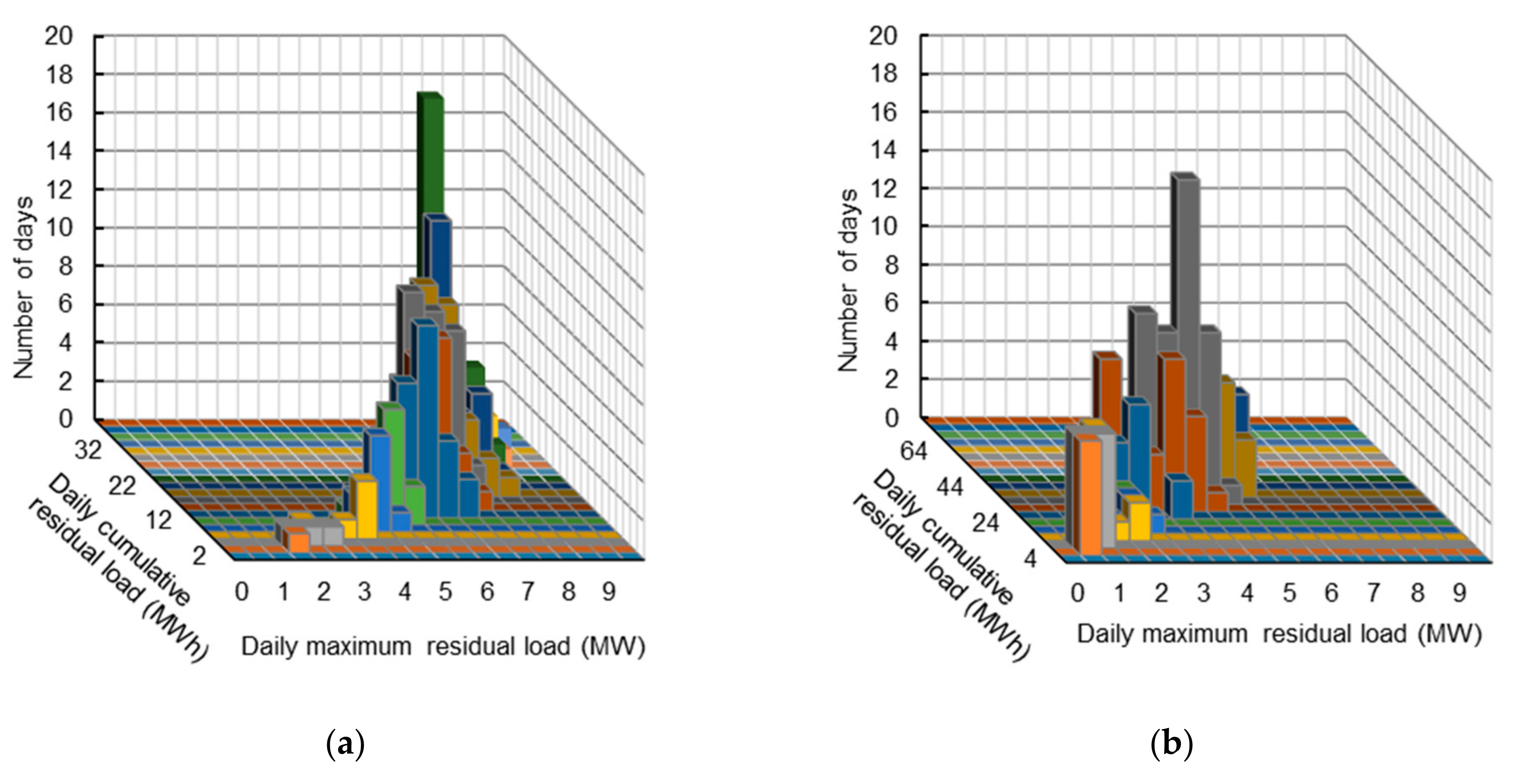
Figure 4a shows the maximum and cumulative residual loads on weekdays from 3 to 7 p.m., when EV discharging is expected. Around 90% of the time, the maximum and cumulative residual loads were less than 8 MW and 26 MWh, respectively. Therefore, these residual loads can often be supplied by 500 EVs, each with a battery capacity of 50 kWh and each paired to a 12.0 kW inverter.
Figure 4.
Comparison of daily cumulative and maximum residual loads: (a) From 3 to 7 p.m. and (b) From 7 p.m. to 8 a.m. (following day).
Figure 4b shows the maximum and cumulative residual loads on weekdays from 7 p.m. (current day) to 8 a.m. (following day), when most EVs are expected to not be parked at the workplace. Around 50% of the time, the maximum and cumulative residual loads exceeded 4.5 MW and 40 MWh, respectively. Therefore, a BESS of equivalent capacity to that of 500 EVs (assuming each EV has a 50 kWh battery) can satisfy these residual loads using stored surplus PV power.
Figure 5 shows the daily residual load forecast error. PV power forecast errors are shown with their signs reversed (positive is shown as negative and vice versa) and can be added to the demand forecast error to obtain the residual load forecast error. PV power forecast errors are the largest contributors to residual load forecast errors. The average daily residual load forecast error is 23.8 MWh/day.
Figure 5.
Daily residual load forecast error (weekdays only).
3.4. Power System Specifications
Table 1 shows the specifications of power system components, which were determined in consideration of the residual load profiles that were described earlier. The BESS has a 30 MWh capacity and is paired with a 2.5 MW inverter. As the BESS’s State-of-Charge (SOC) range is from 30 to 90%, its effective capacity is 18 MWh. Both the BESS’s and EVs’ charging and discharging efficiencies are assumed to be 90%.
Table 1.
Specifications of power system components.
The power system has six GEs, each with a maximum capacity of 1 MW. The hourly fuel consumption (FuelGE(j)(h)) of the jth GE under different load factors (LFj(h)) was also taken into account as shown in Equation (1), where CGE is the maximum capacity of a GE.
Up to 0.5 MW of grid electricity can also be purchased to handle short-term power fluctuations.
4. Electric Vehicle (EV) Modelling
4.1. EV Availability (Arrival and Departure Times)
The 500 EVs are divided into five groups as shown in Table 2. These groups are determined based on a survey of the employees’ arrival and departure times, to and from the workplace of which the demand data were provided. In Table 2, the expected (mean) arrival/departure times corresponding to each EV group are shown in parentheses. The expected arrival/departure times of the EVs are assumed to be the same throughout the year.
Table 2.
EV groups and their respective arrival and departure time ranges to and from the workplace.
The employees are assumed to only come to work during workdays (excluding holidays in Japan).
Table 2 also shows the ranges of possible actual arrival/departure times that correspond to each EV group—EVs of the same group may have different arrival/departure times due to traffic conditions, overtime, etc. These ranges are also assumed to not change throughout the year.
Daily fluctuations in each EV’s arrival and departure times are taken into consideration. Monte Carlo simulations are performed to obtain the daily arrival and departure times of each EV; the output results must comply with the ranges corresponding to the EV’s respective group, as shown in Table 2. The rate of EV arrivals and departures within a single EV group is unlikely to be constant as EVs may be likely to arrive/depart at some times more than others. Therefore, the arrivals/departures of the EVs in a group are modelled using beta distributions (as shown in Figure 6) to better depict realistic arrival/departure behaviour of the workplace’s employees.
Figure 6.
Beta distributions representing employee arrival/departure behaviour: (a) arrival ( = 3, = 2) and (b) departures ( = 2, = 3).
The EVs of a group are assumed to arrive at the workplace over a range of 40 min. Most EVs are assumed to arrive at the workplace at or around their group’s expected arrival time. This is based on the assumption that most employees would be punctual for work. After a group’s expected arrival time, the number of EV arrivals is expected to rapidly decrease over the following 10 min. EVs arriving after their group’s expected arrival time are presumed to have been affected by traffic and/or other factors. This pattern of EV arrivals within a group is expressed using a beta distribution with alpha and beta parameters equal to 3 and 2, respectively, as shown in Figure 6a.
Unlike the arrival times, the EVs of a group are assumed to depart from the workplace over a range of 90 min. Most EVs are assumed to depart at or around their respective group’s expected departure time, with very few EVs departing before this time.
As some employees may work overtime, EVs departing after their respective group’s expected departure time are assumed to gradually decrease over the next 60 min. This pattern of EV departures within a group is expressed using a beta distribution with alpha and beta parameters equal to 2 and 3, respectively, as shown in Figure 6b.
Figure 7 shows the daily average number of EVs parked at the workplace throughout the day. The increase and decrease in the number of parked EVs indicate EV arrivals and departures, respectively. In Figure 7, the increase and decrease in the number of parked EVs follow the beta distributions shown in Figure 6a,b, respectively.
Figure 7.
Daily average number of EVs parked at the workplace throughout the day (results of Monte Carlo simulations).
4.2. EV Useable Battery Capacities
In ref. [20], each EV was assumed to have a 50 kWh battery. This capacity refers to the battery capacity that is useable as an FR, instead of the EV’s actual battery capacity.
In this study, the EVs may have different useable battery capacities due to the physical capacity of the EV’s battery (which may depend on the model of the EV) or due to restrictions placed by the employee to limit the power system’s access to their EV’s actual battery capacity. A Monte Carlo simulation is performed to obtain the useable battery capacity of each EV (referred to as the ‘battery capacity’ henceforth).
The probabilities for EVs to have different battery capacities are expressed as a uniform distribution: 30 kWh (10%), 40 kWh (20%), 50 kWh (40%), 60 kWh (20%) and 70 kWh (10%). These probabilities are arbitrarily selected to ensure that the average EV battery capacity is about 50 kWh/EV, similar to [20].
Figure 8 shows the distribution of different battery capacities among the EVs of each group. The average battery capacity of all EVs is 50.6 kWh/EV.
Figure 8.
Distribution of different battery capacities in the EVs of each group (Monte Carlo simulation results).
4.3. Commuting and Domestic Energy Consumption
An EV’s daily round-trip energy consumption is calculated to be 2.5 kWh/day, by assuming a one-way commuting distance of 10 km and an EV energy efficiency of 8 km/kWh. Each employee is also assumed to consume 7.5 kWh of their EV’s stored energy to satisfy their daily domestic energy needs (V2H). Therefore, an EV’s SOC should decrease by 10 kWh, from the time of departure to the time of arrival on the following day (between two consecutive workdays). This energy consumption is assumed to be identical for all EVs, regardless of their group or battery capacity, and is also assumed to not fluctuate. However, fluctuations may occur due to weather, temperature, etc. It should be noted that different EV models may also have different efficiencies. These factors and their effect on an EV’s commuting and domestic energy consumption need to be accounted for in future research.
As EV purchasing costs are assumed to be borne by the employees, the power system shall provide at least 10 kWh of energy to each employee as compensation for their EV’s contributions to the power system. This should be sufficient to cover each employee’s daily commuting and domestic energy demands. If PV power is insufficient to maintain a minimum EV SOC of 10 kWh at the time of departure, then an employee’s domestic energy demands will be supplied from the grid to conserve the EV’s energy reserves for commuting on the following day.
The employees are assumed to only come to the workplace during workdays. On holidays and weekends, the employees may spend more time at home and/or travel to various destinations. As a result, an employee’s energy consumption during holidays/weekends may be greater than 10 kWh/day. Therefore, it is assumed that the employees shall completely deplete their EV’s energy reserves (in the useable battery capacity) by the time they return to work after a holiday/weekend. The power system does not provide any additional energy to cover the employees’ energy demands over the holidays and weekends.
5. Priority Scheme Formulation
5.1. Optimisation Electric-Load Dispatching (OED) Model
The Optimisation Electric-load Dispatching (OED) model simulates the power system by performing optimisation calculations based on measured PV power and demand data. The OED model has a 36 h time horizon and a 1 h temporal resolution. The objective function is the minimisation of the 36 h operating costs of the power system. The output results of the OED model can be analysed to formulate the EV charging and discharging priority schemes.
Each EV’s availability is based on their respective group’s expected arrival and departure times. To simplify the analysis of OED model results, each EV is assumed to have a 50 kWh battery (approximately the mean battery capacity of the EVs).
The main constraints of this model are as follows (refer to Appendix A for the equations that correspond to each operational constraint):
- The objective function minimises the 36 h operating costs of the power system.
- Maintain electricity supply and demand balancing.
- Consider a 10% greater demand when maintaining supply and demand balancing to account for demand forecast errors.
- Each EV’s SOC should be 10 kWh or greater at the time of departure.
- An EV’s SOC on arrival is obtained by subtracting the EV’s SOC (measured in kWh) during departure on the previous day by the daily commuting and domestic energy consumption of 10 kWh.
- The final SOC of the BESS should be 35% or greater.
- GE loading must be 50% or greater. The number of daily starts and stops are not limited, but the minimum stop time between two operations must be 2 h.
- The available SOC range of the BESS is 30 to 90%.
- The available SOC range of each EV is 0 to 100%. Note that an EV’s SOC is measured with respect to its useable battery capacity.
The OED model assumes that PV power and demand data can be accurately forecasted, without error. As the OED model solves an optimisation problem, it is able to determine the most ideal power system operation by adjusting the operations of each power system component (including each EV’s charging/discharging operations) until the objective function is satisfied. However, the OED model is not representative of the real-time operation of the power system as forecast errors can and do occur, as shown in Figure 5.
One of the real-time power system simulation models used in this study is the Time-series Electric-load Dispatching (TED) model (Section 6). This model performs time-series calculations based on a set of predetermined rules. While this model cannot output an optimised solution, it is designed to compensate for forecasts errors.
As the output solution of the OED model is optimised, it is useful for formulating comprehensive rule-based EV charging and discharging priority schemes; which can then be implemented into a real-time power system simulation model, such as the TED model.
5.2. OED Result Analysis
Figure 9 shows results obtained by simulating the power system using the OED model. The workplace’s demand is shown as a broken black line and the power supplied by the various power system components are shown by different coloured areas (refer to the left-hand y-axis for power outputs). The solid lines show the SOC levels of the BESS (black) and the 5 EV groups (lime, brown, pink, purple and blue) (refer to the right-hand y-axis for SOC levels). EV charging/discharging behaviour of the OED model can be identified by studying the changes in SOC level (the slope of the solid lines) of each EV group.
Figure 9.
OED simulation results: (a) 30 May (Tuesday) and 31 May (Wednesday); (b) 25 May (Thursday) and 26 May (Friday).
5.2.1. OED Result—30 May (Tuesday) and 31 May (Wednesday) 2017
On 30 May, group (D) has the highest discharging priority, followed by (B), (A), (E) and (C). The EVs are discharged in the order of earliest to latest departure time. In the case of group (C) and (E), which have the same departure time and SOC level, (E) receives discharging priority—perhaps due to its earlier arrival time on the following day. On 31 May, the EVs are discharged once again in the order of earliest to latest departure time—group (D) receives the highest discharging priority followed by (B), (A), (C) and (E). Group (C) initially receives discharging priority over (E). However, priority is then given to group (E) in the following hour. Once group (C) and (E) have the same SOC level, the priority order between the two groups cannot be distinguished. As it is difficult to identify the discharging priority orders of group (C) and (E) based on the results in Figure 9a, other OED simulation results need to be studied to determine the discharging priority orders of EVs that share the same departure time.
On 31 May, groups (B) and (E) are charged first as they are the earliest to arrive at the workplace. However, once group (A) arrives, (A) and (E) receive the highest charging priority, followed by (B). Once all EV groups are present, group (C) receives the highest charging priority, followed by (E) and (A). This indicates that the OED model prioritises the charging of EV groups in the order of latest to earliest departure time. In the case of group (C) and (E), which have the same departure time, (C) may have received charging priority over (E) because of its lower SOC level, or earlier arrival time on the following day.
5.2.2. OED Result—25 May (Thursday) and 26 May (Friday) 2017
On 25 and 26 May, discharging priority is given to EVs with earlier departure times. On the 25th, (E) has discharging priority over (C), either because of its higher SOC level or earlier arrival time on the following day. However, on the 26th, (C) has higher priority because of its higher SOC level. This indicates that, if two or more groups share a departure time, the EV group with the higher SOC level should receive discharging priority.
On 26 May, charging priority is given to EV groups with later departure times. Only groups (C) and (E) are charged because of low PV power generation. At first, group (C) appears to have charging priority over (E) because of its lower SOC level. However, after noon, group (C) receives charging priority again, despite having a slightly higher SOC level compared to (E). As the number of EVs and the departure times of groups (C) and (E) are the same, it can be deduced that the OED model is giving charging priority to the EV group with the later arrival time on the following day, if two or more EV groups share a departure time.
5.3. Overview of the Formulated Priority Schemes
By performing a one-year OED simulation and analysing the results, EV charging and discharging priority schemes are formulated as shown in Figure 10.
Figure 10.
Formulated EV charging and discharging priority schemes: (a) discharging priority scheme and (b) charging priority scheme.
5.3.1. EV Discharging Priority Scheme
Figure 10a shows the formulated EV discharging priority scheme. First, discharging priority is given to EVs with earlier departure times to extract as much energy stored in the EVs before their departure. If two or more EVs share a departure time, then discharging priority is given to the EV with the higher SOC (kWh) level—the group with the higher SOC level has the greatest potential to supply the demand. The SOC level is measured in kWh as the Time-series Electric-load Dispatching (TED) model (Section 6.2) considers EVs with different battery capacities. Finally, if two or more EVs also share the same SOC level, then discharging priority is given to the EV with the earlier arrival time on the following day—EVs that arrive earlier can utilise surplus PV power in the morning and charge for longer. This highlights how the discharging priority scheme not only increases the dischargeable energy of the EVs, but can also play a role in increasing EV charging on the following day.
5.3.2. EV Charging Priority Scheme
The blue part of Figure 10b shows the EV charging priority scheme that is formulated by analysing OED results. First, charging priority is given to the EVs with later departure times. As PV power decreases into the evening, EVs with later departure times need to have higher SOC levels to satisfy the workplace’s electricity demands. This highlights how the charging priority scheme also plays a role in increasing the dischargeable energy of the EVs. Next, if two or more EVs share the same departure time, then charging priority is given to the EV with the later arrival time on the following day—EVs with later arrival times have limited time for charging. The red part of Figure 10b shows modifications to the charging priority scheme that will be explained later.
6. Power Supply and Demand Simulation
In this study, the real-time operation of the workplace power system is simulated using two models. First, the US model schedules the operation of the BESS, EVs and GEs for the next 36 h based on forecasted residual load data in order to maximise the usage of the BESS and EVs as FRs. The TED model then reschedules power system operations to compensate for forecast errors in the US model’s result.
6.1. Unit-Scheduling (US) Model
The US model has the same operational constraints as the OED model, but performs optimisation calculations using forecasted PV power and demand data instead.
Similar to the OED model, an EV’s availability is based on its respective group’s expected arrival and departure times. However, unlike the OED model, the US model accounts for the different battery capacities of the EVs (as determined in Figure 8). This is done to obtain appropriate scheduling of each EV’s charging and discharging operations to be input into the TED model.
By scheduling power system operations for the next 36 h, the SOC of the BESS can be scheduled (BESS SOC target) according to the forecasted PV output of the following day. The first 24 h of power system operation scheduled by the US model are used as input data of the TED model, which has a 24 h time horizon.
6.2. Time-Series Electric-Load Dispatching (TED) Model
The TED model performs time-series calculations based on measured PV power and demand data. This model has a 24 h time horizon and a 10 min temporal resolution. The primary purpose of this model is to compensate for forecast errors in the output of the US model. The final operational statuses of the power system (including the SOC levels of the BESS and EVs) that are determined by the TED model are used as input data in the next US model simulation. Figure 11 shows the calculation flow of the TED model.
Figure 11.
Calculation flow of the TED model.
In this model, EV availability is based on the actual arrival/departure times of the EVs that were obtained through the Monte Carlo simulations (Section 4.1). EV battery capacities are modelled as shown in Figure 8.
The TED model operates as follows:
- If the demand is greater than the total output of PV, BESS, EV and operating GE, adjust power system operation as follows:
- ○
- Reduce curtailed PV power → Reduce BESS charging → Reduce EV charging → Increase power output of GEs in operation → Start additional GEs → Increase Grid power.
- If the demand is less than the total output of PV, BESS, EV and scheduled GE, adjust power system operation as follows:
- ○
- Decrease grid power → Decrease GE power output → Increase BESS charging → Increase EV charging → Increase PV power curtailments.
- Calculate the total required EV charging/discharging power and distribute it to the EVs using the priority schemes.
- ○
- Charging/discharging priorities are determined based on the EVs’ expected arrival and departure times. This is done to reflect the practical application of the priority schemes, as it is difficult to accurately forecast the actual arrival and departure times of the EVs.
- ○
- If the EVs are unable to supply the required total EV charging/discharging power, then adjust the operation of other power system components to compensate.
- ○
- As shown in the red part of Figure 10b, the highest charging priority should be given to EVs with SOC less than 10 kWh. This is done to increase the likelihood of each EV having at least 10 kWh of stored energy at the time of departure.
- After 12 midnight, modify the BESS’s charging and discharging operations in order to meet the BESS SOC target set by the US model by the end of the simulation.
- If the SOC of the BESS is less than 30% (emergency status for low BESS SOC), operate three additional GEs at maximum capacity until the SOC of the BESS recovers to 40%.
- ○
- If the SOC of the BESS drops to 20% or less due to high residual load, operate all GEs at maximum capacity until the SOC of the BESS recovers to 30%.
- If the SOC of the BESS exceeds 90% (emergency status for high BESS SOC), stop all GE operations. Resume GE operations once the SOC of the BESS drops to 80%.
- The BESS should not be discharged to charge the EVs.
- Adjust GE start/stop operations on an hourly basis, according to the previous hour’s residual load forecast error.
- If the forecasted residual load is less than its actual value (), the SOC of the BESS should decrease from the scheduled value by that amount. GE operations should be extended during start-up to compensate for this deficit. If the final SOC of the BESS is less than the scheduled value, even after extending GE operations to midnight, start additional GE.
- If the forecasted residual load is greater than its actual value (), the SOC of the BESS should increase over the scheduled value by that amount. GE operations should be shortened or stopped completely.
7. Simulation Results
This section investigates the impact on power system performance caused by increasing the variety of EVs being considered during the power system simulation, and the effectiveness of the formulated priority schemes towards curtailing that impact. Three simulation cases are considered:
- Case A (identical EV)—All EVs are modelled to be identical (the same as [20]). The EVs arrive to work at 8 a.m. and depart from the workplace at 7 p.m. Each EV has a 50 kWh battery.
- Case B (EV variety w/o priority)—EVs are modelled as described in Section 4. The TED model distributes the total EV charging/discharging power evenly to the EVs parked at the workplace, without using the formulated priority schemes.
- Case C (EV variety with priority)—EVs are modelled as described in Section 4. The TED model uses the priority schemes to distribute the total EV charging/discharging power to the EVs parked at the workplace.
7.1. Example US–TED Simulation—30 March (Thursday) and 31 March (Friday) 2017
Figure 12 is an example US–TED simulation performed on the 30 and 31 March. Figure 12a shows the US model’s result, Figure 12b shows the TED result of Case B and Figure 12c shows the TED result of Case C. Please note that, in Figure 12a–c, the SOC levels of the EVs are shown for each EV group rather than each individual EV to maintain clarity.

Figure 12.
US–TED simulation on 30 March (Thursday) and 31 March (Friday): (a) US results, (b) TED result of Case B (EV variety w/o priority) and (c) TED result of Case C (EV variety with priority).
Figure 12a can be compared to both Figure 12b,c to understand the differences in the scheduled power system operation of the US model and the TED models. On 30 March, the forecasted PV power (shown in grey and dark blue in Figure 12a) is similar to the measured PV power (shown in grey and dark blue in Figure 12b,c). Therefore, the power system operation of all three models is relatively similar to each other. However, on 31 March, the difference in the forecasted and measured PV power is a result of a PV power forecast error. As shown in Figure 12b,c, the TED models compensate for this forecast error by operating the GEs (shown in red).
Case B (Figure 12b) and Case C (Figure 12c) can be compared to evaluate the effectiveness of the formulated priority schemes. The implementation of the priority schemes in Case C can be identified by studying the changes in SOC levels of the different EV groups. In Case C, the priority schemes have increased EV discharging by 5% compared to Case B. This has in turn resulted in Case C’s GE operations reducing by 0.1%, compared to Case B. It should also be noted that on 31 March, all EV groups in Case C depart from the workplace with an SOC level of at least 20% (roughly 10 kWh/EV). However, in Case B, EV Group (C) is unable to recover their SOC level to 20% before departing from the workplace. Therefore, most EV owners are able to enjoy more useable energy for commuting and domestic use in Case C compared to Case B. This is a result of the modifications made to the charging priority scheme, shown by the red part of Figure 10b.
7.2. Annual Power Supply Mix
Figure 13a shows the annual power supply mix of the workplace power system that was calculated from the one-year simulation results of the TED model. As shown in Figure 13a, the power system performance of the three simulation cases are very similar. PV utilisation is greatest in Case A, and is the least in Case B (a 1% decrease compared to Case A). The decreased PV utilisation of Case B, compared to Case A, is primarily due to EV charging and discharging decreasing by 2.3% and 2.8%, respectively. As a result, power supplied by the GEs and grid in Case B have increased by 2.3% and 5.3%, respectively, compared to Case A.
Figure 13.
Annual power system simulation results (TED model): (a) power generation mix and (b) CO2 emissions.
In Case C, PV utilisation has increased by 0.3% compared to Case B. This is because in Case C the priority schemes improved EV charging and discharging by 3.3% and 1.8%, respectively, compared to Case B. As a result, the power supplied by the GEs and grid in Case C has decreased by 0.6% and 27%, respectively, compared to Case B.
Reference [20] (Case A) concluded that EVs are feasible as FRs. As the overall power system performance of Case B and C are very similar to Case A, the impact of increasing the variety of EVs has not affected this conclusion significantly.
7.3. Annual CO2 Emissions
In the workplace power system, the GEs and the grid are the only two sources of CO2 emissions due to energy production. Therefore, the annual CO2 emissions of the power system can be calculated as shown in Equation (2).
and are the CO2 emissions due to the consumption of 1 kWh of grid electricity and the consumption of 1 Nm3 of fuel by the GEs, respectively (shown in Table 3). is the hourly electricity supplied by the grid and is the hourly fuel consumption of the jth GE (calculated by using Equation (1)).
Table 3.
Unit CO2 emissions due to grid and gas engine operation.
Figure 13b compares the annual CO2 emissions of the three simulation cases. Case A has the lowest CO2 emissions and Case B has the highest (an increase of 2% compared to Case A). These results were to be expected based on the annual power supply analysis, although it should be noted that Case C has 1% less CO2 emissions (a decrease of 40 t-CO2/yr.) compared to Case B. Case C’s CO2 reduction compared to Case B is significant as it is achieved simply through the control of EV charging and discharging, and does not require the purchase and installation of any additional equipment.
7.4. Analysis of Annual Charged Energy Utilisation of the EVs
In Case B and C, the EVs are modelled to have a variety of availabilities and battery capacities. Therefore, it is possible to assess how different EVs perform as flexible resources for both cases. Figure 14a,b shows the average annual charged energy utilisation per EV for Case B and C, respectively. The height of a bar shows the average annual electrical energy charged into an EV of each battery capacity for each EV group. The bars are subdivided to show how the charged energy is utilised by an EV—blue shows energy discharged back to the workplace, orange shows energy received for domestic use and black shows efficiency losses.
Figure 14.
Average Annual Energy Utilisation per EV of each Battery Capacity of each EV Group: (a) Case B (EV Variety w/o Priority; (b) Case C (EV Variety with Priority).
In Case B and C, EVs with later departure times, such as group (C) and (E), discharge the most energy back to the workplace. This is because these EVs have more time to discharge their stored energy and are also required to provide greater support to the power system as PV power generation decreases later into the evening. When comparing EVs of the same group, EVs with larger battery capacities discharge more energy as they can store greater amounts of surplus PV power (shown by the height of the bars).
When comparing the results of Case B and C, EVs with later departure times are charged and discharged more in Case B, while EVs with earlier departure times (i.e., group (B) and (D)) are charged and discharged more in Case C. This is because in Case C, discharging priority is given to EVs with earlier departure times to maximise the utilisation of energy stored in the EVs.
In both cases, EVs with earlier departure times receive slightly more energy for domestic use. This means that EVs with later departure times do not receive proportional compensation for their increased contribution to the power system (reducing PV power curtailments by charging more and supplying workplace demands by discharging more).
In Case C, compared to Case B, the energy received by the EVs for domestic use is more evenly distributed. This is because in Case C, the priority schemes are able to increase the contributions by EVs with earlier departure times, thus reducing the energy they receive for domestic use. However, the priority schemes alone are insufficient at fairly compensating the EVs based on their contributions to the power system.
8. Discussion
8.1. Fairly Compensating the Employees for their EV’s Contributions
The proposal to utilise EVs as FRs is to provide the workplace power system with a cost-effective means of increasing the amount of available FRs, without having to invest in a BESS of increased capacity. However, this requires the employees to be willing to participate in such a scheme; the employees would likely want to receive benefits in return for their participation. Therefore, in this study, the power system provides each employee with at least 10 kWh of energy to be used for commuting and domestic use.
Figure 14 shows that the priority schemes distribute the energy compensation received by the employees more evenly compared to the case where the priority schemes are not used. In spite of this improvement, EVs that contribute less to the power system (i.e., EVs with earlier departure times) receive more energy for commuting and domestic use. It is imperative to fairly compensate the employees for their EV’s contributions in order to convince them to participate in this scheme. Therefore, providing fair compensation to the employees, based on their EV’s contribution to the power system, is an issue that needs to be addressed in future research. One possible solution is to provide energy compensation to the employees based on their EV’s past contributions to the power system, rather than providing a fixed 10 kWh of energy to each and every EV.
8.2. Limitations of this Study and Recommendations for Future Research
While the method for formulating priority schemes (Section 5) can be applied universally to any power system, the priority schemes themselves (Figure 10) are specifically designed for the power system configuration and EV availability conditions considered in this study. Therefore, it should be noted that the priority schemes used in this study cannot guarantee positive results in other power system configurations and EV availability conditions. The priority schemes presented in this study should perform best under the following conditions:
- The installed PV capacity is at least greater than the average demand and surplus PV power generation occurs frequently.
- A variety of EV availabilities are considered, with some EVs useable as FRs even after the residual load (subtract PV power from demand) becomes negative.
- ○
- The total chargeable/dischargeable power of the EVs at a particular time tends to be larger than the typical residual load.
- The expected arrival/departure time of an EV is within one hour of the EV’s actual arrival/departure.
- ○
- If the difference between the expected and actual arrival/departure times of the EVs is greater than one hour, EV users may have to update their arrival/departure information to ensure the reliability of the priority schemes.
It should be noted that the primary focus of this study is to assess the benefits to the workplace power system when utilising EVs (owned by the employees) as additional flexible resources. However, as this scheme relies on the participation of the workplace’s employees, it is necessary to determine whether this scheme is beneficial to the employees in return. Therefore, the following topics are areas to be considered for future research:
- Investigating a system to fairly compensate the employees based on their EV’s contribution to the power system.
- A study on EV battery degradation when utilising EVs as FRs. The battery degradation of the EVs considered in this study may be determined by using the battery degradation calculation method proposed by [23], who calculated the battery degradation cost of V2B using the battery wear model developed by [24].
As this study only focuses on a workplace power system, the feasibility of using EVs as FRs is higher than other types of power systems, due to the relative predictability of EV usage in workplaces. Therefore, an additional topic to be considered for future research is the evaluation of EVs as FRs in other types of power systems, such as shopping malls, parking lots, etc.
9. Conclusion
This study expands upon our previous research [20] by evaluating the practical performance of EVs as flexible resources by considering EVs with a variety of arrival/departure times and battery capacities, and simulating a workplace power system with large PV power generating capacity. To maximise the potential of each EV as a flexible resource, this study proposes a method for formulating EV charging/discharging priority schemes. The priority schemes are used to charge and discharge the EVs based on their potential to contribute to the power system. The formulated priority schemes are evaluate by simulating the power system both with and without the priority schemes. The power system is simulated using a combined Unit-Scheduling and Time-Series Electric-Load Dispatching model. The key results are as follows:
- The priority schemes increased annual EV charging and discharging by 0.18 GWh (1.8%) and 0.19 GWh (3.3%), respectively, compared to a case where the priority schemes are not used. This in turn resulted in annual PV utilisation increasing by 0.14 GWh (0.3%) compared to the case where the priority schemes were not used.
- The priority schemes reduced annual CO2 emissions by 40 tonnes (nearly 1%) compared to the case without the priority schemes, which is significant as no additional equipment needs to be purchased or installed.
- The priority schemes were able to more evenly distribute the energy received by the employees for domestic use. However, the compensation received by the employees is still not proportional to their EV’s contribution.
Author Contributions
Conceptualization, H.C., M.I., M.K., S.S. and T.K.; methodology, H.C., M.I. and T.K.; software, H.C.; writing—original draft preparation, H.C. and M.I.; writing—review and editing: M.K., S.S. and T.K.; supervision, S.S. and T.K. All authors have read and agreed to the published version of the manuscript.
Funding
This research did not receive external funding.
Institutional Review Board Statement
Not applicable.
Informed Consent Statement
Not applicable.
Conflicts of Interest
M.I., M.K. and S.S. belong to Systems Research/Energy Systems (Chubu Electric Power) Funded Research Division, Institute of Materials and Systems for Sustainability, Nagoya University.
Appendix A
The main constraints of the OED and US models are as follows (nomenclature of variables listed in Table A1):
- The objective function (obj) minimises the 36 h operating costs of the power system.
- 2.
- Maintain electricity supply and demand balancing.
- 3.
- Consider a 10% greater demand when maintaining supply and demand balancing to account for demand forecast errors.
- 4.
- Each EV’s SOC should be 10 kWh or greater at the time of departure.
- 5.
- An EV’s SOC on arrival is obtained by subtracting the EV’s SOC (measured in kWh) during departure on the previous day by the daily commuting and domestic energy consumption of 10 kWh.
- 6.
- Final SOC of the BESS should be 35% or greater.
- 7.
- GE loading must be 50% or greater. The number of daily starts and stops is not limited, but the minimum stop time between two operations must be 2 h.
- 8.
- The available SOC range of the BESS is 30 to 90%.
- 9.
- The available SOC range of each EV is 0 to 100%. Note that an EV’s SOC is measured with respect to its useable battery capacity.
Table A1.
Nomenclature of variables.
Table A1.
Nomenclature of variables.
| Power output of a power system component during simulation hour () | |
| Charging/discharging power of EVs during simulation hour () | |
| Maximum power output of a power system component | |
| SOC of BESS/EV during simulation hour ( | |
| GE cost functions ( JPY 3022.4, = JPY 166.4) | |
| Penalties for PV power curtailments, power surplus or power shortages (= 20 JPY/kWh, = = JPY 1,000,000) | |
| Dummy prices for controlling EV charging/discharging | |
| PV power usage ratio during simulation hour () | |
| Stop GE operation (Binary Signal) | |
| GE start-up operation (Binary Signal) | |
| GE operational status (Binary Signal) | |
| Discharging status of BESS/EV (Binary Signal) |
Table A2.
Dummy prices for controlling EV charging/discharging.
Table A2.
Dummy prices for controlling EV charging/discharging.
| Period | ||
|---|---|---|
| 12 p.m.–1 p.m. | 1.0 | 1.0 |
| 1 p.m.–2 p.m. | 15.5 | 0.5 |
| 2 p.m.–3 p.m. | 30.0 | 0.0 |
| 3 p.m.–4 p.m. | 44.5 | −0.5 |
| 4 p.m.–5 p.m. | 59.0 | −1.0 |
| 5 p.m.–6 p.m. | 73.5 | −1.5 |
| 6 p.m.–7 p.m. | 88.0 | −2.0 |
| 7 p.m.–8 p.m. | 102.5 | −2.5 |
| 8 p.m.–9 p.m. | 117.0 | −3.0 |
| … | … | … |
| 7 a.m.–8 a.m. | 1.0 | 9.0 |
| 8 a.m.–9 a.m. | 1.0 | 7.5 |
| 9 a.m.–10 a.m. | 1.0 | 6.0 |
| 10 a.m.–11 a.m. | 6.8 | 4.5 |
| 11 a.m.–12 a.m. | 12.6 | 3.0 |
References
- IEA. Net Zero by 2050 a Roadmap for the Global Energy Sector. 2021. Available online: https://iea.blob.core.windows.net/assets/4719e321-6d3d-41a2-bd6b-461ad2f850a8/NetZeroby2050-ARoadmapfortheGlobalEnergySector.pdf (accessed on 9 November 2021).
- Glumac, A.; Shailesh, T.; Lambert, C. Growing Renewable Power: Companies Seizing Leadership Opportunities. RE100 Annual Progress and Insights Report. 2020. Available online: https://resource-platform.eu/wp-content/uploads/RE100_Growing_Renewable_Power_2020_annual_report.pdf (accessed on 9 November 2021).
- Liu, L.; Kong, F.; Liu, X.; Peng, Y.; Wang, Q. A review on electric vehicles interacting with renewable energy in smart grid. Renew. Sustain. Energy Rev. 2015, 51, 648–661. [Google Scholar] [CrossRef]
- Chandra Mouli, G.R.; Bauer, P.; Zeman, M. System design for a solar powered electric vehicle charging station for workplaces. Appl. Energy 2016, 168, 434–443. [Google Scholar] [CrossRef] [Green Version]
- Sengor, I.; Erdinc, O.; Yener, B.; Tascikaraoglu, A.; Catalao, J.P.S. Optimal energy management of EV parking lots under peak load reduction based DR programs considering uncertainty. IEEE Trans. Sustain. Energy 2019, 10, 1034–1043. [Google Scholar] [CrossRef]
- Pearre, N.S.; Ribberink, H. Review of research on V2X technologies, strategies, and operations. Renew. Sustain. Energy Rev. 2019, 105, 61–70. [Google Scholar] [CrossRef]
- Erdinc, O. Economic impacts of small-scale own generating and storage units, and electric vehicles under different demand response strategies for smart households. Appl. Energy 2014, 126, 142–150. [Google Scholar] [CrossRef]
- Naghibi, B.; Masoum, M.A.S.; Deilami, S. Effects of V2H Integration on Optimal Sizing of Renewable Resources in Smart Home Based on Monte Carlo Simulations. IEEE Power Energy Technol. Syst. J. 2018, 5, 73–84. [Google Scholar] [CrossRef]
- Pang, C.; Dutta, P.; Kezunovic, M. BEVs/PHEVs as dispersed energy storage for V2B uses in the smart grid. IEEE Trans. Smart Grid 2012, 3, 473–482. [Google Scholar] [CrossRef]
- Karan, E.; Mohammadpour, A.; Asadi, S. Integrating building and transportation energy use to design a comprehensive greenhouse gas mitigation strategy. Appl. Energy 2016, 165, 234–243. [Google Scholar] [CrossRef]
- Clarke, A.D.; Makram, E.B. A Comprehensive Analysis of Plug in Hybrid Electric Vehicles to Commercial Campus (V2C). J. Power Energy Eng. 2015, 3, 24–36. [Google Scholar] [CrossRef]
- Ouammi, A. Peak Loads Shaving in a Team of Cooperating Smart Buildings Powered Solar PV-Based Microgrids. IEEE Access 2021, 9, 24629–24636. [Google Scholar] [CrossRef]
- Daryabari, M.K.; Keypour, R.; Golmohamadi, H. Robust self-scheduling of parking lot microgrids leveraging responsive electric vehicles. Appl. Energy 2021, 290, 116802. [Google Scholar] [CrossRef]
- Lakshminarayanan, V.; Chemudupati, V.G.S.; Pramanick, S.K.; Rajashekara, K. Real-time optimal energy management controller for electric vehicle integration in workplace microgrid. IEEE Trans. Transp. Electrif. 2019, 5, 174–185. [Google Scholar] [CrossRef]
- Hasankhani, A.; Hakimi, S.M. Stochastic energy management of smart microgrid with intermittent renewable energy resources in electricity market. Energy 2021, 219, 119668. [Google Scholar] [CrossRef]
- Barone, G.; Buonomano, A.; Calise, F.; Forzano, C.; Palombo, A. Building to vehicle to building concept toward a novel zero energy paradigm: Modelling and case studies. Renew. Sustain. Energy Rev. 2019, 101, 625–648. [Google Scholar] [CrossRef]
- Wu, D.; Zeng, H.; Lu, C.; Boulet, B. Two-Stage Energy Management for Office Buildings with Workplace EV Charging and Renewable Energy. IEEE Trans. Transp. Electrif. 2017, 3, 225–237. [Google Scholar] [CrossRef]
- Kuang, Y.; Chen, Y.; Hu, M.; Yang, D. Influence analysis of driver behavior and building category on economic performance of electric vehicle to grid and building integration. Appl. Energy 2017, 207, 427–437. [Google Scholar] [CrossRef]
- Cumaratunga, H.; Imanaka, M.; Kurimoto, M.; Sugimoto, S.; Kato, T. Impact of Electric Vehicle Availability on Flexibility Management of Power Systems with High Penetration of Photovoltaic Systems. In Proceedings of the 37th JSER Conference on Energy, Economy and Environment, Online, 26–27 January 2021; pp. 16–24. [Google Scholar]
- Imanaka, M.; Chen, G.; Cumaratunga, H.; Kurimoto, M.; Sugimoto, S.; Kato, T. Contribution of Electric Vehicles’ Discharging before quitting time to Utilize Large-scale Photovoltaic Power Generation in Factory-scale Power System. J. JSER 2021, 42. in press. [Google Scholar]
- Japan Solar Energy Conference New Solar Energy Utilization Handbook; Japan Solar Energy Conference: Tokyo, Japan, 2000.
- Kataoka, Y.; Kato, T.; Suzuoki, Y. A study on spatial average insolation forecast in electric utility service area using meso-scale model grid point value. IEEJ Trans. Power Energy 2013, 133, 548–554. [Google Scholar] [CrossRef]
- Nefedov, E.; Sierla, S.; Vyatkin, V. Internet of energy approach for sustainable use of electric vehicles as energy storage of prosumer buildings. Energies 2018, 11, 2165. [Google Scholar] [CrossRef] [Green Version]
- Han, S.; Han, S.; Aki, H. A practical battery wear model for electric vehicle charging applications. Appl. Energy 2014, 113, 1100–1108. [Google Scholar] [CrossRef]
Publisher’s Note: MDPI stays neutral with regard to jurisdictional claims in published maps and institutional affiliations. |
© 2021 by the authors. Licensee MDPI, Basel, Switzerland. This article is an open access article distributed under the terms and conditions of the Creative Commons Attribution (CC BY) license (https://creativecommons.org/licenses/by/4.0/).














