Variable-Order Equivalent Circuit Modeling and State of Charge Estimation of Lithium-Ion Battery Based on Electrochemical Impedance Spectroscopy
Abstract
1. Introduction
2. Characteristic Analysis of Lithium-Ion Battery Based on EIS
2.1. Electrochemical Impedance Spectroscopy
- (1)
- Ultra-high frequency region (above 10 kHz), mainly affected by the wiring and windings, which is inductive, is represented by RL//L parallel circuit, earmarked by purple rectangle in the figure.
- (2)
- Ohmic internal resistance, the intersection of impedance spectrum and real axis, represented by R0.
- (3)
- High frequency region, characterized by a semicircle related to the diffusion and migration of lithium ions through the insulating layer on the surface of active electrode material particles, is represented by RS//CS parallel circuit, earmarked by red rectangle in the figure. Among them, RS is the resistance of lithium ion diffusion migration through the surface film on the positive and negative electrodes, which is approximately equal to the semicircle diameter [15], and capacitance CS describes the capacitance effect of surface films.
- (4)
- Middle frequency region, characterized by a semicircle related to the charge transfer process in the electrode reaction, is represented by Rct//Cdl parallel circuit, earmarked by green rectangle in the figure. Rct is the charge transfer resistance, which is approximately equal to the semicircle diameter, and the capacitance Cdl is the electric double layer capacitor.
- (5)
- Low frequency region, characterized by an oblique line associated with the solid diffusion process of lithium ions inside the active material particles, is represented by a Warburg impedance, earmarked by cyan rectangle in the figure.
2.2. The Experiment of EIS
3. Variable Order Equivalent Circuit Model
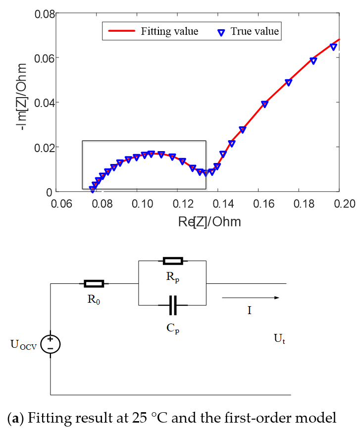
3.1. RC Equivalent Circuit Model
3.2. The Determination of the Order of Model
3.2.1. Bayesian Information Criterion
3.2.2. Result and Analysis of the Determination of Model Order
4. SOC Estimation Method Based on VOEM-AR-UKF
4.1. Autoregressive Equation
4.2. VOEM-AR-UKF Algorithm
- (1)
- Off line phase: the 3D drawing for order determination is generated according to BIC and the characteristic of EIS. The 1-RC and 2-RC model for order selection can be established by hybrid pulse power characteristic [30] (HPPC).
- (2)
- Online phase: input the real-time temperature, current and voltage values, and the model order is determined by looking up the 3D drawing, and then the order determination result can be arranged into corresponding autoregressive form, whose coefficients can be identified by FFRLS online. Finally, the UKF algorithm is adopted to estimate SOC, which is fed back to determine the model order at the next moment. Figure 12 shows the flow chart of the proposed method.
5. Results and Analysis
5.1. Model Validation
5.1.1. Constant Current Pulse Test
5.1.2. BJDST Test
5.2. SOC Estimation
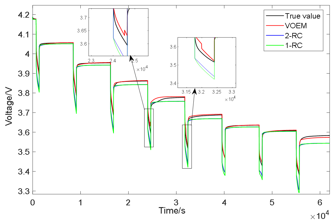
5.2.1. Constant Current Pulse Test
5.2.2. DST Test
6. Conclusions
Author Contributions
Funding
Institutional Review Board Statement
Informed Consent Statement
Data Availability Statement
Conflicts of Interest
References
- Rahimi-Eichi, H.; Ojha, U.; Baronti, F.; Chow, M.Y. Battery Management System: An Over-view of Its Application in the Smart Grid and Electric Vehicles. IEEE Ind. Electron. Mag. 2013, 7, 4–16. [Google Scholar] [CrossRef]
- Han, X.; Ouyang, M.; Lu, L.; Li, J. A comparative study of commercial lithium ion battery cycle life in electric vehicle: Capacity loss estimation. J. Power Sourse 2014, 268, 658–669. [Google Scholar] [CrossRef]
- Ng, K.S.; Moo, C.S.; Chen, Y.P.; Li, J. State-of-Charge Estimation for Lead-Acid Batteries Based on Dynamic Open-Circuit Voltage. In Proceedings of the IEEE International Power & Energy Conference, Johor Bahru, Malaysia, 1–3 December 2008. [Google Scholar]
- Pang, H.; Guo, L.; Wu, L.; Jin, X. An enhanced temperature-dependent model and state-of-charge estimation for a Li-Ion battery using extended Kalman filter. Int. J. Energy Res. 2020, 44, 7254–7267. [Google Scholar] [CrossRef]
- Yan, M.; Bingsi, L.; Guangyuan, L.; Li, G.; Zhang, J.; Chen, H. A Nonlinear Observer Approach of SOC Estimation Based on Hysteresis Model for Lithium-ion Battery. IEEE/CAA J. Autom. Sin. 2017, 4, 195–204. [Google Scholar]
- Gholizadeh, M.; Yazdizadeh, A. Systematic mixed adaptive observer and EKF approach to estimate SOC and SOH of lithium-ion battery. IET Electr. Syst. Transp. 2020, 10, 135–143. [Google Scholar] [CrossRef]
- Fuller, T.F.; Doyle, M.; Newman, J. Simulation and Optimisation of the Dual Lithium Ion Insertion Cell. J. Electrochem. Soc. 1994, 141, 1–10. [Google Scholar] [CrossRef]
- Lai, X.; Gao, W.K.; Zheng, Y.J.; Ouyang, M.; Li, J.; Han, X.; Zhou, L. A comparative study of global optimization methods for parameter identification of different equivalent circuit models for Li-ion batteries. Electrochim. Acta 2019, 295, 1057–1066. [Google Scholar] [CrossRef]
- Ding, X.; Zhang, D.; Cheng, J.; Wang, B.; Luk, P.C.K. An improved Thevenin model of lithium-ion battery with high accuracy for electric vehicles. Appl. Energy 2019, 254, 113615. [Google Scholar] [CrossRef]
- Castano-Solis, S.; Serrano-Jimenez, D.; Fraile-Ardanuy, J.; Sanz-Feito, J. Hybrid characterization procedure of Li-ion battery packs for wide frequency range dynamics applications. Electr. Power Syst. Res. 2019, 166, 9–17. [Google Scholar] [CrossRef]
- Wang, J.; Zhang, L.; Xu, D.; Zhang, P.; Zhang, G. A Simplified Fractional Order Equivalent Circuit Model and Adaptive Online Parameter Identification Method for Lithium-Ion Batteries. Math. Probl. Eng. 2019, 2019, 6019236. [Google Scholar] [CrossRef]
- Zhang, X.; Lu, J.; Yuan, S.; Yang, J.; Zhou, X. A novel method for identification of lithium-ion battery equivalent circuit model parameters considering electrochemical properties. J. Power Sources 2017, 345, 21–29. [Google Scholar] [CrossRef]
- Hu, M.; Li, Y.; Li, S.; Fu, C.; Qin, D.; Li, Z. Lithium-ion battery modeling and parameter identification based on fractional theory. Energy 2018, 165, 153–163. [Google Scholar] [CrossRef]
- Middlemiss, L.A.; Rennie, A.J.R.; Sayers, R.; West, A.R. Characterisation of batteries by electrochemical impedance spectroscopy. Energy Rep. 2020, 6, 232–241. [Google Scholar] [CrossRef]
- Xiong, R.; Tian, J.; Mu, H.; Wang, C. A systematic model-based degradation behavior recognition and health monitoring method for lithium-ion batteries. Appl. Energy 2017, 207, 372–383. [Google Scholar] [CrossRef]
- Barsoukov, E.; Macdonald, R.J. Impedance Spectroscopy: Theory, Experiment, and Applications; John Wiley & Sons, Inc.: Hoboken, NJ, USA, 2005. [Google Scholar]
- Farmann, A.; Waag, W.; Sauer, D.U. Application-specific electrical characterization of high power batteries with lithium titanate anodes for electric vehicles. Energy 2016, 112, 294–306. [Google Scholar] [CrossRef]
- Waag, W.; Kaebitz, S.; Sauer, D.U. Experimental investigation of the lithium-ion battery impedance characteristic at various conditions and aging states and its influence on the application. Appl. Energy 2013, 102, 885–897. [Google Scholar] [CrossRef]
- Caiping, Z.; Jiuchun, J.; Weige, Z.; Qiujiang, L.; Yan, L. Characterization of Electrochemical Impedance Equivalent Model and Parameters for Li-ion Batteries Echelon Use. Autom. Electr. Power Syst. 2013, 37, 54–58. [Google Scholar]
- Galeotti, M.; Lucio, C.; Giammanco, C.; Cordiner, S.; Carlo, A.D. Performance analysis and SOH (state of health) evaluation of lithium polymer batteries through electrochemical impedance spectroscopy. Energy 2015, 89, 678–686. [Google Scholar] [CrossRef]
- Momma, T.; Matsunaga, M.; Mukoyama, D.; Osaka, T. Ac impedance analysis of lithium ion battery under temperature control. J. Power Sources 2012, 216, 304–307. [Google Scholar] [CrossRef]
- Svens, P.; Eriksson, R.; Hansson, J.; Behm, M.; Gustafsson, T.; Lindbergh, G. Analysis of aging of commercial composite metal oxide-Li4Ti5O12 battery cells. J. Power Sources 2014, 270, 131–141. [Google Scholar] [CrossRef]
- Coman, P.T.; Darcy, E.C.; Veje, C.T.; White, R.E. Modelling Li-Ion Cell Thermal Runaway Triggered by an Internal Short Circuit Device Using an Efficiency Factor and Arrhenius Formulations. J. Electrochem. Soc. 2017, 164, A587–A593. [Google Scholar] [CrossRef]
- Zhang, Y.; Wang, C.Y. Cycle-Life Characterization of Automotive Lithium-Ion Batteries with LiNiO2 Cathode. J. Electrochem. Soc. 2009, 156, A527–A535. [Google Scholar] [CrossRef]
- Lee, E.R.; Noh, H.; Park, B.U. Model selection via Bayesian information criterion for quantile regression models. J. Am. Stat. Assoc. 2014, 109, 216–229. [Google Scholar] [CrossRef]
- Fang, L.; Jie, M.; Weixing, S.; Ruzhen, D. State of Charge Estimation Method of Electric Vehicle Power Battery Life Cycle Based on Auto Regression Extended Kalman Filter. Trans. China Electrotech. Soc. 2020, 35, 698–707. (In Chinese) [Google Scholar]
- Long, H.-Y.; Zhu, C.-Y.; Huang, B.-B.; Piao, C.H.; Sun, Y.Q. Model Parameters Online Identification and SOC Joint Estimation for Lithium-Ion Battery Based on a Composite Algorithm. J. Electr. Eng. Technol. 2019, 14, 1485–1493. [Google Scholar] [CrossRef]
- Jinlong, Z.; Yanjun, W.; Xiangli, L.; Di, Z.; Hanhong, Q. Battery SOC Estimation Based on Online Parameter Identification. Trans. China Electrotech. Soc. 2014, 29, 23–28. [Google Scholar]
- He, Z.; Chen, D.; Pan, C.; Chen, L.; Wang, S. State of charge estimation of power Li-ion batteries using a hybrid estimation algorithm based on UKF. Electrochim. Acta 2016, 211, 101–109. [Google Scholar]
- Yang, Q.; Xu, J.; Li, X.; Xu, D.; Cao, B. State-of-health estimation of lithium-ion battery based on fractional impedance model and interval capacity. Electr. Power Energy Syst. 2020, 119, 105883. [Google Scholar] [CrossRef]




















| Step | Content |
|---|---|
| 1 | Charge with constant current of 1.5 A at room temperature until the terminal voltage reaches 4.2 V |
| 2 | Charge at constant voltage of 4.2 V until the current is less than 150 mA, that is, the battery is fully charged. |
| 3 | Adjust the incubator to T °C and let the battery stand for 3 h |
| 4 | EIS measurement, frequent range: 0.01 Hz—10 kHz |
| 5 | The battery is discharged at constant current 1C to 90% SOC, 70% SOC, 50% SOC, 30% SOC, 20% SOC and 10% SOC respectively, and then repeat steps 3–5 until EIS under all SOC is measured. |
| Step | Content |
|---|---|
| 1 | Charge with constant current of 1.5 A at room temperature until the terminal voltage reaches 4.2 V |
| 2 | Charge at constant voltage of 4.2 V until the current is less than 150 mA, that is, the battery is fully charged. |
| 3 | Standing for 3 h at −10 °C |
| 4 | The discharge at constant current of 1C is suspended when the battery SOC drops by 0.1, and the OCV is recorded after standing for 1 h, and then continues until the battery is empty. Data were collected every 0.2 s. |
| 5 | Standing for 3 h and repeat steps 1–2 |
| 6 | Change the temperature T = 0 °C, 25 °C and 45 °C respectively, and then repeat the test steps 4–6 |
| aT | bT | SSE | R-Square |
|---|---|---|---|
| 17.5860 | 844.1388 | 0.00162 | 0.99164 |
| 1RC-UKF | 2RC-UKF | VOEM-AR-UKF | |
|---|---|---|---|
| MAE | 0.0114 | 0.0107 | 0.0008 |
| RMSE | 0.0128 | 0.0123 | 0.0015 |
| Ttotal/s | 6.83 | 8.59 | 6.32 |
| 1RC-UKF | 2RC-UKF | VOEM-AR-UKF | |
|---|---|---|---|
| MAE | 0.0169 | 0.0103 | 0.0007 |
| RMSE | 0.0176 | 0.0115 | 0.0055 |
| Ttotal/s | 4.35 | 5.22 | 4.16 |
Publisher’s Note: MDPI stays neutral with regard to jurisdictional claims in published maps and institutional affiliations. |
© 2021 by the authors. Licensee MDPI, Basel, Switzerland. This article is an open access article distributed under the terms and conditions of the Creative Commons Attribution (CC BY) license (http://creativecommons.org/licenses/by/4.0/).
Share and Cite
Zhang, J.; Wang, P.; Liu, Y.; Cheng, Z. Variable-Order Equivalent Circuit Modeling and State of Charge Estimation of Lithium-Ion Battery Based on Electrochemical Impedance Spectroscopy. Energies 2021, 14, 769. https://doi.org/10.3390/en14030769
Zhang J, Wang P, Liu Y, Cheng Z. Variable-Order Equivalent Circuit Modeling and State of Charge Estimation of Lithium-Ion Battery Based on Electrochemical Impedance Spectroscopy. Energies. 2021; 14(3):769. https://doi.org/10.3390/en14030769
Chicago/Turabian StyleZhang, Ji’ang, Ping Wang, Yushu Liu, and Ze Cheng. 2021. "Variable-Order Equivalent Circuit Modeling and State of Charge Estimation of Lithium-Ion Battery Based on Electrochemical Impedance Spectroscopy" Energies 14, no. 3: 769. https://doi.org/10.3390/en14030769
APA StyleZhang, J., Wang, P., Liu, Y., & Cheng, Z. (2021). Variable-Order Equivalent Circuit Modeling and State of Charge Estimation of Lithium-Ion Battery Based on Electrochemical Impedance Spectroscopy. Energies, 14(3), 769. https://doi.org/10.3390/en14030769

