Research on the Influence of Axisymmetric Endwall on EAT Performance
Abstract
:1. Introduction
2. Research Object and Numerical Method
2.1. Research Object
2.2. Discrete Modification Scheme
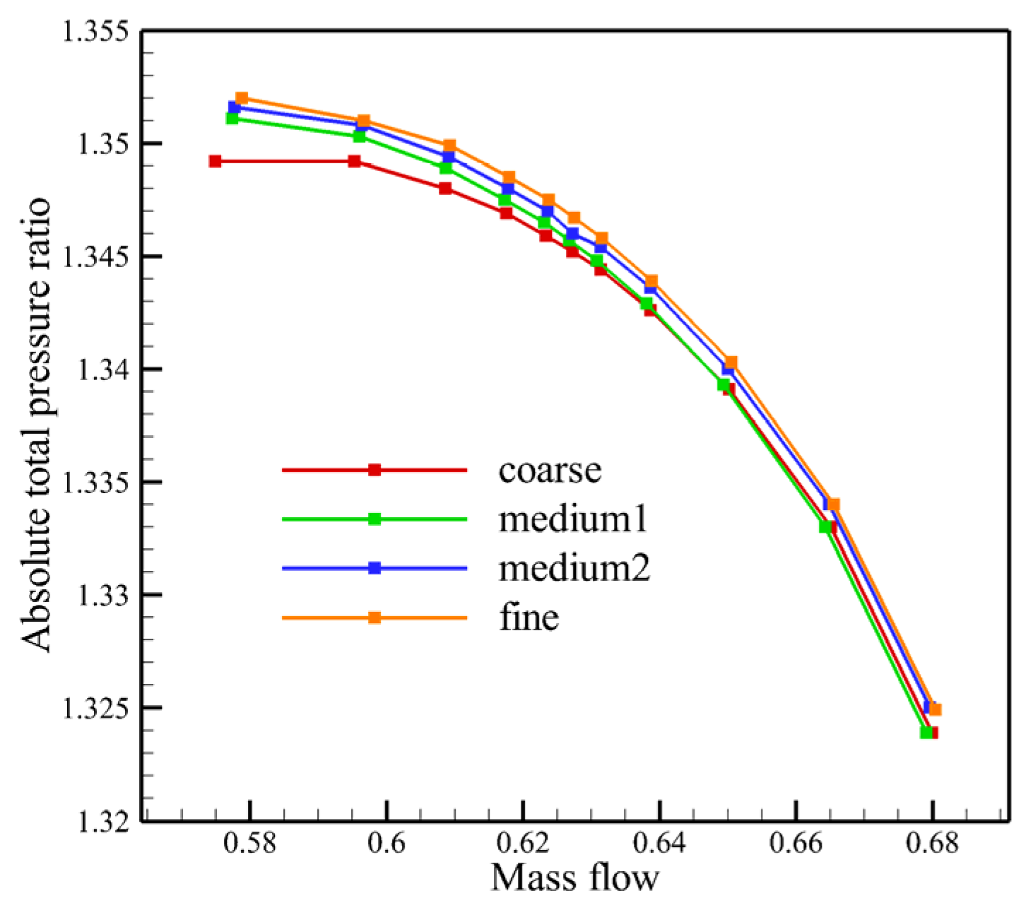
2.3. Numerical Method
3. Analysis of the Results
3.1. Characteristic Line Comparison
3.2. Flow Detail Analysis
4. Endwall Optimization Design
4.1. Optimization Process and Result
4.2. Analysis of the Optimization Results
5. Influences of Different Clearance Sizes
5.1. Comparison of Different Clearance Size Characteristic Lines
5.2. Analysis of Performance Variation
6. Conclusions and Future Work
Author Contributions
Funding
Institutional Review Board Statement
Informed Consent Statement
Data Availability Statement
Acknowledgments
Conflicts of Interest
References
- Burke, R.D. A numerical study of the benefits of electrically assisted boosting systems. J. Eng. Gas. Turbines Power 2016, 138. [Google Scholar] [CrossRef]
- Rothgang, S.; Pachmann, M.; Nigrin, S.; von Scheven, M. The Electric Supercharger Challenge, Conception and Implementation. MTZ Worldw. 2015, 76, 4–9. [Google Scholar] [CrossRef]
- Zhang, Y. Analysis of the development status and trend of fuel cell vehicle air compressor. I.C.E Parts 2019, 1, 201–202. [Google Scholar] [CrossRef]
- Zhang, K.S.; Wang, G.H.; Li, G.X. The Development of Electrically Assisted Turbocharger. I.C.E Powerpalant. 2008, 2, 31–35. [Google Scholar]
- Hoeger, M.; Cardamone, P.; Fottner, L. Influence of Endwall Contouring on the Transonic Flow in a Compressor Blade, Volume 5: Turbo. Expo. 2002, Parts A and B, Amsterdam. In Proceedings of the ASME Turbo Expo 2002: Power for Land, Sea, and Air, Amsterdam, The Netherlands, 3–6 June 2002; pp. 759–768. [Google Scholar] [CrossRef]
- Kröger, G.; Cornelius, C.; Nicke, E. Rotor Casing Contouring in High Pressure Stages of Heavy Duty Gas Turbine Compressors With Large Tip Clearance Heights, Volume 7: Turbomachinery, Parts A and B. In Proceedings of the ASME Turbo Expo 2009: Power for Land, Sea, and Air, Orlando, FL, USA, 8–12 June 2009; pp. 215–225. [Google Scholar] [CrossRef]
- Kröger, G.; Voß, C.; Nicke, E.; Cornelius, C. Theory and Application of Axisymmetric Endwall Contouring for Compressors, Volume 7: Turbomachinery, Parts A, B, and C. In Proceedings of the ASME 2011 Turbo Expo: Turbine Technical Conference and Exposition, Vancouver, BC, Canada, 6–10 June 2011; pp. 125–137. [Google Scholar] [CrossRef]
- Xu, Q.Y.; Hou, A.P.; Li, S.B.; Zhou, S. Influences of Hub Design on Rotor Performance in Transonic Compressor. J. Eng. Thermophys. 2009, 30, 761–764. [Google Scholar]
- Yang, C.; Li, Q.S.; Yuan, W.; Zhou, S. Effect of Hub-Shape Contouring on The Corner Blockage of Compressor Stator Cascade. J. Aero Power 2009, 24, 2333–2337. [Google Scholar]
- Zhang, L.X.; Zhou, X.; Wu, F.; Du, X.; Wang, S.T.; Wang, Z.Q. Application Study of Concave Axisymmetric Endwall Molding in a Compressor Cascade with High Stagger Angle. J. Propulsion. Technol. 2016, 37, 1870–1876. [Google Scholar] [CrossRef]
- Sun, S.J.; Chen, S.W.; Liu, W.; Wang, S.T. Impact of Shroud Contouring on Performance of Low-Reaction Transonic Highly Loaded Rotor. J. Propulsion. Technol. 2018, 39, 2710–2717. [Google Scholar] [CrossRef]
- Liu, X.F.; Liu, S.W.; Yang, X.H. Numerical Calculation of Hub-shape Contouring on a High Bypass Ratio Engine Fan. Aeroengine 2018, 44, 26–33. [Google Scholar] [CrossRef]
- Gao, Y. Investigation of Transonic Compressor Rotor for Three-dimensional Aerodynamic Design and Experiment. Ph.D. Thesis, Dalian Maritime University, Dalian, China, 2017. [Google Scholar]
- Wu, W.Y. Investigation of High Subsonic Compressor Cascade Tip Clearance Control Using Blade Tip Winglet. Ph.D. Thesis, Dalian Maritime University, Dalian, China, 2018. [Google Scholar]
- Hewkin-Smith, M.; Pullan, G.; Grimshaw, S.D.; Greitzer, E.M.; Spakovszky, Z.S. The Role of Tip Leakage Flow in Spike-Type Rotating Stall Inception, Volume 2D: Turbomachinery. In Proceedings of the ASME Turbo Expo 2017: Turbomachinery Technical Conference and Exposition, Charlotte, NC, USA, 26–30 June 2017. [Google Scholar] [CrossRef]
























| Parameter | Value | Parameter | Value |
|---|---|---|---|
| External diameter (mm) | 83 | Mean diameter solidity | 1.64 |
| Inlet hub ratio | 0.45 | Mass flow (kg/s) | 0.629 |
| Rotation speed (rpm) | 60,000 | Pressure ratio | 1.346 |
| Mean diameter aspect ratio | 0.68 | Isentropic efficiency | 88.68% |
| Hub Modification | Axial Position | Concave Depth | Casing Modification | Axial Position | Concave Depth |
|---|---|---|---|---|---|
| Hub-10%-0.06 h | 10% | 0.06 h | Shr-10%-0.03 h | 10% | 0.03 h |
| Hub-20%-0.06 h | 20% | 0.06 h | Shr-20%-0.03 h | 20% | 0.03 h |
| Hub-20%-0.09 h | 20% | 0.09 h | Shr-20%-0.06 h | 20% | 0.06 h |
| Hub-20%-0.12 h | 20% | 0.12 h | Shr-20%-0.09 h | 20% | 0.09 h |
| Hub-20%-0.15 h | 20% | 0.15 h | Shr-30%-0.03 h | 30% | 0.03 h |
| Hub-30%-0.06 h | 30% | 0.06 h | Shr-40%-0.03 h | 40% | 0.03 h |
| Root | Midspan | Tip | |
|---|---|---|---|
| Prototype | 1.165 | 0.984 | 0.587 |
| Optimal Hub | 1.171 | 0.985 | 0.591 |
| Optimal casing | 1.151 | 0.984 | 0.621 |
Publisher’s Note: MDPI stays neutral with regard to jurisdictional claims in published maps and institutional affiliations. |
© 2021 by the authors. Licensee MDPI, Basel, Switzerland. This article is an open access article distributed under the terms and conditions of the Creative Commons Attribution (CC BY) license (https://creativecommons.org/licenses/by/4.0/).
Share and Cite
Teng, H.; Wu, W.; Zhong, J. Research on the Influence of Axisymmetric Endwall on EAT Performance. Energies 2021, 14, 2215. https://doi.org/10.3390/en14082215
Teng H, Wu W, Zhong J. Research on the Influence of Axisymmetric Endwall on EAT Performance. Energies. 2021; 14(8):2215. https://doi.org/10.3390/en14082215
Chicago/Turabian StyleTeng, Han, Wanyang Wu, and Jingjun Zhong. 2021. "Research on the Influence of Axisymmetric Endwall on EAT Performance" Energies 14, no. 8: 2215. https://doi.org/10.3390/en14082215
APA StyleTeng, H., Wu, W., & Zhong, J. (2021). Research on the Influence of Axisymmetric Endwall on EAT Performance. Energies, 14(8), 2215. https://doi.org/10.3390/en14082215

