Abstract
A chance-constrained programming-based optimization model for the dynamic economic emission dispatch problem (DEED), consisting of both thermal units and wind turbines, is developed. In the proposed model, the probability of scheduled wind power (WP) is included in the set of problem-decision variables and it is determined based on the system spinning reserve and the system load at each hour of the horizon time. This new strategy avoids, on the one hand, the risk of insufficient WP at high system load demand and low spinning reserve and, on the other hand, the failure of the opportunity to properly exploit the WP at low power demand and high spinning reserve. The objective functions of the problem, which are the total production cost and emissions, are minimized using a new hybrid chaotic maps-based artificial bee colony (HCABC) under several operational constraints, such as generation capacity, system loss, ramp rate limits, and spinning reserve constraints. The effectiveness and feasibility of the suggested framework are validated on the 10-unit and 40-unit systems. Moreover, to test the robustness of the suggested HCABC algorithm, a comparative study is performed with various existing techniques.
1. Introduction
The integration of large-scale wind turbines in recent power systems has solved many problems linked to the conventional generating units. Indeed, wind power (WP) resources are considered environmentally friendly and they can play a key role in combating climate change and maintaining environmental biodiversity. From an economic point of view, wind energy is becoming more economically competitive with conventional energy production methods, due to continuous improvements in turbine efficiency and rising fuel prices. However, it is difficult to provide a precise forecast of WP output because it depends on wind speed and climate changes, which are uncertain and unpredictable. Moreover, for low wind speed, wind energy resources may shut down to prevent damage. Therefore, large-scale penetration of wind energy in power networks increases their uncertainty and confronts system operators with various technical challenges. For example, in the case of generation scheduling problems, power outputs of thermal units must be adjusted in order to meet the total system load and to cover WP fluctuations.
The dynamic economic and emission dispatch problem (DEED) is one of scheduling problems in the field of power systems. It aims to find an optimal online allocation of generation outputs of thermal units in order to cover the total load over a time horizon which is often divided into 24 h [1]. Mathematically, the DEED problem can be formulated as a multi-objective optimization problem (MOP), where total production cost and total emissions are the objective functions to be minimized. In general, the DEED problem constraints comprise generating unit limits, power balance constraint, ramp rate limits (RRLs), valve point loading effects (VPLEs), and prohibited operating zones (POZs) [2]. In a few works, the spinning reserve (SR) constraints have been also taken into account in the DEED formulation in order to ensure the power system security and reliability [3]. Indeed, SR is the production capacity available for the network operator in a finite time interval in order to meet the power demand in the event of a sudden generating unit outage or unexpected increase in the power demand.
Recently, the inclusion of WP resources, along with thermal generating units, in the generation scheduling problems, such as dispatch problems and unit commitment problems, has attracted much attention [4,5,6]. Unfortunately, under-estimation and over-estimation of available WP have posed many difficulties in the resolution of such problems. Thus, an adequate modeling of WP resources, when they are incorporated into generation scheduling problems, is required.
Over the past two decades, the development of effective methods to establish reliable forecasting of wind power generation has been of primordial concern for various research works [7,8,9,10]. These forecasting methods can be broadly divided into two main categories which are statistical methods [8] and physical methods [9,10]. An overview of WP forecasting models has been presented in [11], where advantages and disadvantages of each model have been introduced. Recently, some attempts for solving the scheduling problems with WP sources have introduced the over-estimation and under-estimation of costs of available WP involved in such problems [12,13,14,15]. In these attempted approaches, under-estimation and over-estimation of costs of WP have been combined with total production costs of thermal units. Under-estimation happens when scheduled power is less than available WP, while over-estimation means that scheduled power is greater than available WP. Therefore, a reserve cost can be imposed for the over-estimation case and a penalty cost can be imposed for the WP under-estimation. In [12], economic and environmental impacts of over-estimation and under-estimation of actual WP on the optimal results of the economic environmental dispatch problem with WP have been investigated. In order to describe the randomness of wind speed, the authors have adopted the mixture Gamma–Weibull distribution function. Jadoun et al. [13] have added the reserve and penalty costs of available power outputs of renewable sources to the fuel cost of thermal units into the problem formulation of the dynamic economic dispatch and, then, an enhanced version of the fireworks algorithm has been used for the minimization of the total cost function. Alternatively, other works have modelled the uncertainty of WP in power scheduling problems using stochastic programming models [16,17,18,19]. For instance, reference [16] have deployed a stochastic MOP for the optimal power flow incorporating intermittent WP and distributed load where variations of wind speed and bus loads have been characterized by probability distribution functions (PDF). The authors of [16] have also considered the maximization of WP penetration along with fuel cost minimization and they have applied a paired-bacteria optimization algorithm for solving the problem. Reference [17] has developed a model based on the wait-and-see approach for the economic load dispatch with stochastic renewable sources, where the stochastic variables involved in the problem have been evaluated using the two-point estimate technique. In [19], a multi-stage stochastic programming has been for the optimal dispatch of generation and reserve where the uncertainties have been described by a scenario tree, while the optimal network decision has been considered as a decision tree. Song et al. [20] have proposed a strategy for the improvement of the energy capture efficiency of wind turbines by using a stochastic model predictive yaw control (SMPYC). To do this, the authors of this reference have described the intermittent characteristics of predicted wind direction by intelligent scenarios generation (ISG).
Chance-constrained programming (CCP) is an interesting subclass of stochastic programming which can be used to describe random variables involved in the problem objective functions or in the constraints. It ensures that the optimal solution must satisfy a certain constraint with a probability more than a pre-specified tolerance set between 0 and 1. The CCP has been applied in various engineering domains [21,22]. More recently, CCP-based approaches have been widely adopted for handling uncertainties of renewable energy sources [23,24,25,26,27,28,29,30]. In reference [23], a detailed strategy for modeling the economic load dispatch problem with WP has been introduced where the power balance constraint has been described by a chance constraint. This strategy has drawn the attention of many researchers in the field of power scheduling. For example, Liu [24] has developed a stochastic optimization model for the economic dispatch, including large scale WP, where the probability of the random WP has been integrated into the problem constraints. However, the author has not focused on the optimization algorithm. In reference [25], a CCP-based model for the dynamic economic dispatch (DED) problem incorporating WP has been illustrated where a chance constraint representing the probability that the available WP can be sufficient is more than a pre-specified confidence level. Moreover, SR constraints have been integrated into the proposed model to compensate for WP fluctuations. Accordingly, Cheng et al. [26] have also used CCP to model the stochastic economic dispatch problem in such a way that the probability of the scheduled WP to be greater than a certain percentage of the total load is at least equal to a pre-specified level. Furthermore, energy storage has been added to mitigate the impacts of WP variability. In [29], a chance constraint describing the probability that the energy balance constraint cannot be met has been added to the constraints set of the economic and emission dispatch problem with WP where that probability has been considered to be less than a certain tolerance pre-specified between 0 and 1. However, the effects of the WP fluctuations have not been investigated. The same strategy has been used by Alshammari et al. [30] for solving such a problem, but the tolerance is set in a way that the system security, which has been calculated using different fuzzy membership functions, is ensured.
One of the main greatest strengths of the majority of the above strategies is the use of meta-heuristic techniques in the optimization process. Unfortunately, the confidence levels and the tolerances involved in the aforementioned CCP-based models are set in advance, which may lead to an incorrect operation of the power network. In effect, when these parameters are fixed at high values, the risk of insufficient WP at high system load will increase. Moreover, fixing these parameters at small values may decrease the opportunity to properly exploit the WP at low power demand.
In this paper, a new model for the DEED problem incorporating intermittent WP is presented for an efficient operation of wind farms. The suggested model is based on CCP where the wind turbine output is characterised by a chance constraint describing the probability that the energy balance cannot be fulfilled. It is an expansion of the models presented in [23,30]. Unlike those references, the tolerance with regard to insufficient supply is not fixed beforehand but is added to the problem decision variables and it is determined according to the system spinning reserve. This may give the system operator an opportunity to predict more wind farm production, as long as the spinning reserve is greater than the scheduled WP.
Recently, several variants and modified versions of the artificial bee colony (ABC) have been introduced for handling various complex optimization problems [30,31,32]. Over the last few years, a particular focus has been given to the use of chaos theory in the improvement of optimization algorithms, including the ABC algorithm [30,33]. In fact, various research works have demonstrated that the hybridization of chaos with meta-heuristic techniques can significantly achieve better performance. For instance, in reference [30], two chaotic maps have been combined with the original ABC algorithm in order to enhance its performance. The first one has been the Ikeda map which has been used for the generation of the initial population. Moreover, all random numbers involved in the various phases of the algorithm have been substituted by chaotic sequences generated by Ikeda map. The second one has been the chaotic Zaslavsky map which has been used in the search process for the optimal solutions in order to ameliorate the global convergence of the ABC algorithm.
In this study, four various chaotic maps are embedded in all phases of the ABC algorithm to further improve and enhance its convergence characteristics. This new algorithm, called hybrid chaotic maps-based artificial bee colony (HCABC), can be considered as an expansion of the IABC presented in [30].
In summary, the main contributions of this paper are as follows.
- A new model for the DEED problem with uncertain WP is presented. Unlike other CCP-based strategies that fix the probability of scheduled WP in advance, this study considers that probability as a decision variable. This probability is used to describe the tolerance that energy balance constraint cannot be fulfilled. The value of this tolerance is determined over horizon time according to the variations of the system load and actual system spinning reserve. In the proposed model, all system constraints, such as generation capacity, VPLEs, RRLs, and spinning reserve constraints, are considered. Therefore, to the best of the authors’ knowledge, this study is the first attempt to hourly adjust the WP probability over a horizon time for DEED problem;
- A new ABC-based technique is adopted for solving the studied problem. In this technique, referred as HCABC, four chaotic maps—which are Ikeda chaotic map, Zaslavsky chaotic map, Lorenz attractor, and chaotic sine map—are employed to generate the random variables involved in the phases of the ABC method, which are initialization of the colony, employed bee, onlooker bee, and scout bee phases; and
- The effectiveness and robustness of the proposed CCP-based strategy, as well as the adopted algorithm, are evaluated on various test cases.
The outline of the rest of this paper is organized as follows. In Section 2, the classical DEED is formulated. Section 3 illustrates the stochastic model of the DEED problem with uncertain WP. In Section 4, the various chaotic maps adopted in this study are presented. Section 5 illustrates the proposed HCABC algorithm. Section 6 presents a discussion of the simulation results. Finally, conclusions are presented Section 7.
2. Description of the Classical DEED
The DEED problem is mostly handled as an optimization problem, which aims to find the optimal hourly generation schedule in power networks, so as to operate the system in the most economic and environmentally friendly way. This optimal generation must, obviously, satisfy the hourly load demand and system constraints. Generally, the objective functions to be optimized are the total production cost and the total emissions [2].
2.1. Objective Functions
In power networks incorporating wind energy, WP production is, generally, considered as zero cost and emission. Thus, the daily production cost is, mainly, associated with the total fuel cost. As given in (1), the fuel cost function of a thermal unit i, during a sub-interval of time t, is calculated, considering VPLEs can be expressed as the sum of quadratic and sinusoidal functions. The second criterion to be considered in the DEED problem is the total emissions of pollutants, such as nitrogen oxides (NOx) and sulfur oxides (SOx), caused by thermal plants. Generally, the total atmospheric emission of harmful gazes is modelled by a superposition of a quadratic formula and an exponential function. Thus, the total emissions caused by a thermal power plant i at a sub-interval of time t can be expressed as given in (2) [2].
where and are in $/h and ton/h, respectively.
In this study, the DEED problem is solved for a power network with N thermal units over the scheduling period where T is the number of hours. Therefore, the total fuel cost and total emissions can be expressed as given in Equations (3) and (4), respectively.
The goal of the economic emission dispatch problem is to simultaneously minimize both objective functions. Several works have combined TC and TE in a single objective function using a weighted sum approach in order to avoid the difficulties caused by the difference in the dimensions of the cost and emission functions [30]. To be more precise, each function is multiplied by a pre-defined weight which describes its importance level. Therefore, functions TC and TE can be added together as given in (5).
where is the weight and PF is the price penalty factor expressed in ($/ton), which can be calculated as given in (6).
where Cmax and Emax are the maximum fuel cost and maximum emission amount.
2.2. System Constraints
The objective function F is solved subject to various equality and inequality constraints, which comprise power balance constraint, production limits of units, RRLs constraints, POZ constraints, and spinning reserve constraints.
2.2.1. Real Power Balance Constraint
This constraint is an equality constraint which requires that the total power generation must satisfy the predicted load PD,t plus real power losses PL,t at each time . Thus, it can be written as follows [1].
2.2.2. Generating Unit Limits
At each time , the generation of ith unit must be bounded by the allowed bounds, as described below [1].
2.2.3. Generating Unit RRL Constraints
The RRLs define the permissible variations in MW/h at which the output power of each thermal unit at period t can be brought down and up regarding its output in the previous period. This gives rise to the following inequalities [2].
2.2.4. Spinning Reserve Constraints
To withstand the variation of the load and maintain the supply continuity over the scheduling period, a minimum system SR is required. Generally, the spinning reserve requirements are described as follows [3,24].
3. Stochastic DEED Modeling
To address the stochastic characteristic of wind speed, several models have been proposed [23,24,25,26,34]. For example, Song et al. [34] have proposed a systematic approach for an accurate estimation of the annual energy production of a wind turbine. Four power-curve models, including the linear, general, cubic, and quadratic models, have been investigated in order to show the effectiveness of the proposed approach. However, the linear model remains the most suitable for probability calculation of WP output, which is required in this study. For that purpose, wind power output can be assumed as a piecewise linear function of wind speed at each time t, as given in (14).
The Weibull distribution function is frequently applied for describing randomness of WP in power scheduling problems [23,29,30]. For example, this function has been used in [34] to determine the mean of the wind turbine output in one hour. In this study, the Weibull distribution function is adopted to calculate the minimum and maximum values of the tolerance that the power balance constraint cannot be met. Then, this tolerance will be updated at each hour, based on the system spinning reserve. Then, the corresponding WP output can be determined.
The two-parameter Weibull distribution as (15) is used in this study. The cumulative distribution function of the Weibull distribution can be expressed as (16).
According to Equations (14) and (16), and using probability theory for random variables, the probabilities of events , and can be expressed as (17), (18), and (19), respectively.
where .
Traditionally, the integration of wind power into the dispatch problem has been characterised by its average. Although the implementation of this approach appears easy, it has been criticized for its probabilistic infeasibility [24]. To mitigate this problem, wind power availability can be described by a chance constraint, as follows.
Equation (20) describes the probability that the power balance constraint cannot be satisfied. It represents the risk degree of unsatisfying generation. According to (19), Equation (20) can be rewritten as the following equation.
It is noteworthy that the acceptable minimum () and maximum () values of are and , respectively. Thus, values of probability should satisfy the following constraint.
In this study, the following typical values of wind farm parameters, which are used in several works [23,30], are adopted: ; ; ; ; and . Thus, the bounds of the confidence level can be as follows.
As wind speed is stochastic, wind power cannot be estimated with high accuracy. Therefore, to ensure the operation reliability of the power system when wind farms are integrated an additional spinning reserve constraint is added to the dispatch problem.
From Equation (25), it can be seen that wind power must satisfy inequality (26).
As a result, wind power availability and spinning reserve constraints are taken into account in the stochastic DEED problem by adding constraints (21), (22), and (25).
In summary, the DEED problem incorporating wind power can be summarized mathematically, as follows.
Note that the vector of decision variables is . Moreover, all these constraints are simultaneously taken into account in the optimization process. If, at least, one of these constraints is not satisfied, the value of the objective function will be at a maximum value, fixed at . Where, and are maximum values of the total production cost and the total emissions, respectively.
4. Overview of Chaos Theory in Optimization
Chaos theory is a mathematical theory that has been applied in various fields, such as biology, meteorology, image processing, and engineering [35,36]. It studies dynamic systems, whose evolution over time is extremely sensitive to initial conditions. In recent years, chaos theory has captured much attention in the improvement of various optimization techniques due to its ergodicity propriety [37,38,39].
In most chaotic-based optimization techniques, chaotic maps have been adopted for generating chaotic sequences instead of using random parameters. Convergence characteristics of those techniques and solutions quality depend on which chaotic map is used and in which step it is applied.
In this section, four chaotic maps are presented. They are applied for the improvement of the ABC performance.
4.1. Ikeda Chaotic Map
The Ikeda map is a discrete-time dynamical system. In optimization techniques, the Ikeda map is mostly employed in its modified form, as presented in the following Equation [30].
where are the state variables. , , and are the operating parameters. In order to produce chaotic sequences, the following typical values of these parameters are, mostly, adopted for optimization algorithms [40].
, , , and .
A two-dimensional (2-D) Ikeda map, corresponding to these values, is shown in Figure 1.
Figure 1.
2-D plot of the Ikeda map.
4.2. Zaslavsky Chaotic Map
The Zaslavsky map is a discrete-time dynamical system. It was proposed by George Zaslavsky, in 1978. This chaotic map is highly sensitive to the initial values. This propriety has made it very useful for several domains, such as image encryption and optimization. Mostly, it has been employed as a generator of pseudo-random numbers. Mathematically, the pseudo-random numbers are generated by an iterative fashion, as expressed by the following two-dimensional map [30].
In order to exhibit a chaotic behavior, the following typical values of the control parameters of the Zaslavsky map are often employed [41]: , , and . In Equation (26), e is the exponentiation. The 2-D plot of the Zaslavsky is given in Figure 2.
Figure 2.
2-D plot of the Zaslavsky.
4.3. Lorenz Attractor
The Lorenz attractor is a fractal structure corresponding to the long-term behavior of the Lorenz oscillator. The attractor displays how the different variables of the dynamic system change over time in a non-periodic trajectory. The Lorenz model, also called the Lorenz dynamic system or Lorenz oscillator, is a three-dimensional dynamic system that generates chaotic behavior under certain conditions. Mathematically, the Lorenz model, also called the Lorenz dynamic system or Lorenz oscillator, is described by three ordinary differential equations, known as the Lorenz equations, which are expressed below [42].
where x, y, and z are the system state variables. , , and represent the system parameters. As presented in [43], the Lorenz map can have a strange chaotic attractor when these parameters are set as follows.
, , and .
The 2-D plot of the Lorenz attractor is given in Figure 3.
Figure 3.
Lorenz attractor trajectories.
4.4. Chaotic Sine Map
Sine map is a one-dimensional (1-D) discrete chaotic system. The mathematical description of the sine map is given in (31) [44].
where is the parameter of the sine map. Therefore, .
Figure 4 draws up the 1-D behavior of the sine map for , , and . It is worth mentioning that Figure 4 shows that the chaotic sine map is sensitive to its parameter a. In fact, it is clear that sequence is a periodic and non-convergent for . However, after few iterations, it becomes periodic for and convergent for . Thus, the two last values of parameter a cannot provide chaotic behavior for the sine map.
Figure 4.
1-D plots for the Sine map.
5. Basic Principles of HCABC
The ABC algorithm is a powerful population-based algorithm widely applied for the solution of nonlinear optimization problems. The ABC algorithm was introduced by Karaboga in 2005 [45]. It mimics the foraging behavior of honeybee colonies. In its basic version, the algorithm performs a kind of neighborhood search combined with a global search, and can be used for both combinatorial and continuous optimization. In this algorithm, a candidate solution of the optimization problem is represented by a food source. Each food source has a quantity of nectar which characterizes its fitness value. The colony’s population is divided into three groups of bees which cover the search space for looking for a food source. The effectiveness and specific properties of the ABC algorithm have been proven in numerous studies [46]. A review on the ABC technique and its applications in various engineering domains has been presented in [47]. From literature review, it is found that the ABC technique has been applied for medical image [48], power system problems [49], feature selection methods [50], optimal design of controllers [51], and so on. For example, an improved version of ABC based on variable coefficients has been proposed in [48] for image segmentation. In [49], an ABC-based method has been applied for robust decentralized controller design for power system stabilization. The ABC algorithm has also been applied in [52] for reactive power dispatch problem where the decision variables have been terminal voltages of generating units, tap transformers positions, and reactive power outputs of compensators.
Mainly, the ABC algorithm comprises four phases, which are initialization step, employed bee phase, onlooker bee phase, and scout bee phase. A detailed description of the ABC algorithm can be found in various research works, such as [46]. A brief description of ABC phases is presented below.
In the initialization step, individuals are generated randomly, based on Equation (32). Note that an individual can be an employed bee or an onlooker bee. Each food source represents a candidate solution. For a D-dimensional optimization problem, a food source or solution is represented by the vector .
where is a random number in . and are lower and upper bounds of the j-th decision variable .
In the employed bee phase, each food source is updated by an employed bee so that a new food source at the neighborhood of is generated. To do so, a local search around is performed as given in Equation (33). Then, a greedy selection between solutions and is performed to choose the better one.
where j and k are selected randomly from and . is a random number.
In the onlooker bee phase, onlooker bees measure the nectar amount of food sources discovered by employed bees and then choose food sources based on probabilistic selection. Generally, the roulette wheel-based selection mechanism is used. The probability to select a food source is related to its nectar amount and it is calculated as given in (34). Similarly to what it is done in the employed bee phase, selected candidate solutions are changed to discover new food sources by using Equation (32). Then, a greedy selection between old and new food sources is applied.
where is a random number within .
In the scout bee phase, if any food source was not changed after a pre-specified number of cycles (LIMIT), it will be removed from the ABC colony and another food source will be created randomly, as given in Equation (36).
where is a random number within .
Although the ABC algorithm has showed good results in many optimization problems, it has suffered from some drawbacks, such as low colony diversity, premature convergence, and low convergence rate when solving complex optimization problems [53]. Similar to other meta-heuristic techniques, these negative points are mainly due to the use of random sequences in the various phases of the algorithm. In fact, it can be seen that four random numbers within are involved in the various phases of the original ABC. Generally, the randomness property used in the classical ABC is obtained by employing probability distribution, such as uniform distribution and the Gaussian method. However, randomness in the ABC method may get trapped in local optima, especially for multi-modal optimization problems. Because of randomicity and ergodicity of chaotic maps, chaotic sequences generated by a chaotic system changes randomly in the search space and can, eventually, go through the whole space if the number of iterations is relatively high. These characteristics of chaos systems can help the optimization algorithms to escape local optima convergence and ensure the diversity of the search process. Therefore, the search performance of such stochastic optimization method can be improved.
In this study, the idea of employing chaotic sequences in lieu of random numbers is suggested to overcome the aforementioned ABC drawbacks. To do so, sequences of the Ikeda chaotic map, the Zaslavsky chaotic map, the Lorenz attractor, and the sine map are employed for manipulating the initialization step, employed bee phase, onlooker bee phase, and scout bee phase, respectively. It is noteworthy to point out that sequences of the Ikeda map and the Lorenz attractor are not within . Therefore, these sequences are normalized, as follows.
The steps of the suggested hybrid chaotic maps-based ABC (HCABC) technique are summarized in Figure 5.
Figure 5.
HCABC flowchart.
6. Implementation of the HCABC Method
In this section, four test cases are investigated to verify the applicability and effectiveness of the suggested method for solving the stochastic DEED problem. For comparison with other techniques presented in the literature, the common test systems, namely 10-unit and 40-unit systems, are adopted. The test cases are described as follows.
- Case 1. The static economic emission dispatch (EED) problem for the 10-unit system;
- Case 2. The static EED problem for the 40-unit system;
- Case 3. The classical DEED problem without spinning reserve; and
- Case 4. The stochastic DEED problem, including spinning reserve constraints.
System losses and VPLE constraints are considered for all cases, except case 2. For simulation and comparison purposes, cost coefficients, emission coefficients, and ramp rate bounds of both systems are extracted from [2,54].
Matlab R2018b software installed in a personal computer with an Intel Core i7 1.99 GHz and 8 GB of random-access memory (RAM), is used for the simulation. Moreover, optimal solutions for all studied cases are obtained after 30 trial runs. The parameters of the HCABC technique are listed in Table 1.
Table 1.
HCABC parameters.
6.1. Case 1
To investigate the performance of the proposed optimization method, the static EED problem is solved for the 10-unit system, where the total demand power is set to 2000 MW. As shown in the following equation, the decision variables (DV) of the problem are the output powers () of thermal units.
The results obtained using the proposed method are compared with other techniques, such as classical ABC, PSO, DE, and IABC [30].
According to the expression of the combined objective function given in (5), the optimal solution for the minimum cost can be obtained for whilst the optimal solution for the minimum emission corresponds to . Since the EED problem is a multi-objective optimization problem, it is preferable to provide diverse optimal Pareto solutions for the system operator instead of one solution. These solutions may be obtained by varying the weighting factor from 0 to 1. Indeed, it has been shown in various recent works [55,56,57,58,59,60] that this strategy can provide good results for the EED problem because cost and emission are conflicting objective functions.
The convergence characteristics of the HCABC are shown in Figure 6. From Figure 6, it is obvious that the minimum cost and minimum emission are obtained after 25 and 20 cycles, respectively. The optimal Pareto front of the HCABC is depicted in Figure 7. Compromise solutions, corresponding to HCABC, ABC, PSO, and DE, are also marked in Figure 7. It is noteworthy that the compromise solution can be obtained using a fuzzy-based method, as detailed in [55]. From Figure 7, it can be seen that compromise solutions corresponding to ABC, PSO, and DE methods are outside the Pareto front. In addition, the compromise solution obtained in the proposed HCABC dominates that of the classical ABC technique.
Figure 6.
Convergence characteristics of the proposed method for case 1.
Figure 7.
Pareto front for case 1.
In some cases, a compromise solution selected from the Pareto front is requested. In this regard, optimal power generation for the minimum cost, minimum emission, and compromise solution obtained using the proposed technique, are tabulated in Table 2. Table 2 shows that the power balance constraint and generation limits are respected for the optimal solutions.
Table 2.
Optimal power dispatch in MW for case 1.
The statistical results of case 1 for the economic dispatch and emission dispatch over 30 runs are tabulated in Table 3. These results comprise the best, mean, and standard deviation values. For fair comparison, all algorithms presented in this table are applied with the same population size and maximum number of iterations. Table 3 shows that the HCABC outperforms the other techniques and provides the lowest standard deviation. Thus, the HCABC exhibits powerful robustness.
Table 3.
Statistical results for case 1 ( ).
6.2. Case 2
The performance of the proposed HCABC technique is also evaluated using large and complex system, which is the 40-unit system. The HCABC is applied to solve the static EED for that system where the total system load is set 10,500 MW. In this case, the vector of decision variables (DV) comprises the output powers () of thermal units. It can be described as follows.
The optimal generation for economic dispatch, emission dispatch, and compromise solutions shown in Table 4 are obtained after 30 runs of the HCABC algorithm. From Table 4, clearly the best minimum cost is 121,375.06 $/h while the best minimum emission is 176,682.26 ton/h. The best cost and best emissions for the compromise solution are 127,805.67 $/h and 185,749.57 ton/h, respectively.
Table 4.
Optimum solutions for case 2.
The statistical results for case 2 are tabulated in Table 5. In this table, the best, mean, and standard deviation values calculated over 30 runs for various techniques, such as KSO [56], NGPSO [57], SAIWPSO [56], and GQPSO [56], are also tabulated. It can be seen that the proposed HCABC provides the best results, and it appears more robust than the other algorithms.
Table 5.
Statistical results for case 2.
6.3. Case 3
In order to further test the effectiveness of the proposed HCABC, the DEED for the 10-unit system is investigated in this case. The HCABC is used to find the optimal outputs of thermal units for forecasted power demand over horizon time subdivided into 24 h. The hourly load considered in this case is extracted from [2]. The decision variables for the DEED problem are described below.
The hourly generation schedules obtained after 30 runs for the dynamic economic dispatch and the dynamic emission dispatch are tabulated in Table 6 and Table 7, respectively. From these tables, it is obvious that generating unit limits and RRLs constraints are met. The minimum total production cost and minimum total emissions obtained using HCABC method are $2,479,622.2547 and 294,044.8177 ton, respectively.
Table 6.
Dynamic economic dispatch for case 3.
Table 7.
Dynamic emission dispatch for case 3.
To assess the robustness of the proposed method, statistical results for 30 independent runs are performed. Thus, best, average, and worst values of minimum cost and minimum emissions can be easily determined from the experiments. Statistical results obtained by the HCABC method and other techniques published recently in some works are presented in Table 8. It can be clearly seen that the best cost and best emissions of the HCABC are the minimal. In addition, the average values of the suggested method are also lower than those of the other methods. Table 8 shows also that the worst results of the HCABC are better than the best results of the majority of the other studied techniques, such as ABC, RCGA, CRO, CSO, CSO-MH, HCRO, and MAMODE.
Table 8.
Statistical results for case 3.
6.4. Case 4
In this case, intermittency of WP source is introduced into the classical DEED problem, and spinning reserve constraints are considered. In order to accommodate the random characteristic of WP, the confidence level and wind farm output are added to the decision variables of the problem. Thus, the system decision variables become as follows.
In this case, the outputs of thermal units and the wind farm are regulated in such a way that the spinning reserve requirement is kept. The hourly spinning reserve requirement is set at 5% of the system load whilst the maximum reserve contribution of each thermal unit is set equal to its up-ramp limit. Parameters of WP source are the same as given in Section 3. It is noteworthy to mention that the rated WP is set at 400 MW.
In order to prove the robustness and effectiveness of the proposed method, this case is solved by HCABC, ABC, PSO, and DE algorithms. The convergence characteristics of the suggested optimization method are obtained after 30 runs, and are shown in Figure 8.
Figure 8.
Optimal schedule of thermal units and WP source for case 4.
To verify whether the spinning constraints and probability limits of WP output are satisfied or not, values of and corresponding to the HCABC method, for the dynamic economic dispatch, dynamic emission dispatch, and combined dynamic economic emission dispatch, are tabulated in Table 9. Total system loss for each hour is calculated and added to the table. From Table 9, it can be seen that is within the lower and upper limits. Furthermore, is positive over Schedule time horizon, which implies that the spinning reserve level is fulfilled at all hours. Results given in Table 9 also show that is around its maximum limit, which is 0.6337 when . This condition implies that the system operator can bet on the wind farm to operate at its maximum production since the spinning reserve is more than the rated WP. It is, however, important to forecast the WP output in such a way that the generation outputs of all thermal units are greater than the lower bounds. That is why is slightly less than at the first hour, despite . Table 9 also shows that when the load becomes more than , probability becomes less than and the more the load increases, the more decreases. This is due to the decrease in the actual spinning reserve.
Table 9.
Variations of , , and over the scheduling period.
The hourly optimal generation outputs of thermal units, as well as the optimal hourly output power of the wind farm, are depicted in Figure 9. Optimal solutions shown in Figure 9 are obtained for minimum cost, minimum emission, and compromise solution.
Figure 9.
Hourly variation of .
6.5. Comparison of Results
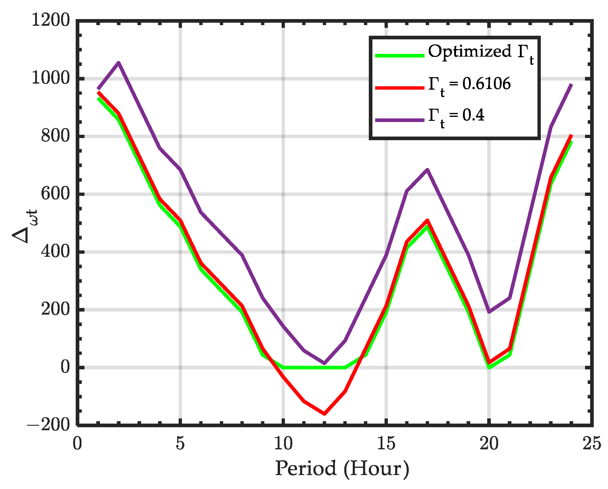
In order to show the effectiveness of the proposed strategy, the results obtained when the confidence level is included in the decision variables set are compared with the results of the problem when the confidence level is pre-specified. In this sub-section, two values for the pre-specified confidence level are considered. The first one is the average value of the optimized over the horizon time, which is equal to 0.6106. The second one has a relatively low value (0.4). Table 10 shows the minimum cost and emission for these three cases of . It can be clearly seen that the best results are obtained when the probability is fixed at , while the worst results are obtained for . The case corresponding to the proposed strategy when is optimized over the scheduled period cannot provide the best results because the spinning reserve is considered. However, in cases where is fixed, these constraints are not considered which implies that the system operator cannot intervene for large fluctuations in WP. In order to further investigate the usefulness of taking into account the spinning reserve constraints and using optimum WP probability, the hourly variation of given in inequality (26) is calculated for optimized , , and , and then plotted in Figure 5. From Figure 9, it is clear that when , is negative in hours 10, 11, 12, and 13, which means that the generated WP is more than the total spinning reserve. It is noteworthy to point out that the total loads at these hours are the high values of power. Thus, fixing at high values may increase the risk of insufficient WP for high system load demand. However, choosing high values of increases the opportunity to benefit from WP at low system load. Concerning the case , seems positive in all hours, which implies that spinning reserve constraints are fulfilled. However, selecting small values of may decrease the opportunity to properly harness the WP at low power demand. For the case when is incorporated into the set of decision variables of the stochastic DEED problem, it is clear that is positive and less than in the case . This means that WP can be well exploited in each hour by optimally changing the probability according to the load profile.
Table 10.
Minimum cost and minimum emission for various values of .
7. Conclusions
In this paper, a CCP-based strategy for handling uncertainty of WP in the DEED problem is developed. In this strategy, a chance constraint describing the probability of fulfilment of energy balance constraint is added to the constraints’ set. This chance constraint imposes that this probability must be less than, or equal to, a certain tolerance. Unlike previous CCP-based methods, this tolerance is added to the set of decision variables, and it is optimally updated according to the system load changes and actual system spinning reserve. Therefore, the system operator can properly harness the available WP and avoid the risk of insufficient WP at high system load or low spinning reserve. In order to solve the studied problem, a new optimization technique combining the classical ABC method and four chaotic maps is applied. In this technique denoted by the HCABC, chaotic sequences generated by various chaotic maps are employed instead of the random variables involved in the different phases of the classical ABC algorithm. Indeed, the sensitivity of chaotic systems to the initial conditions and their ergodicity propriety can help the optimization algorithms to avoid convergence into local optima and improve performance. To test the feasibility and practicability of the proposed stochastic DEED problem, as well as the effectiveness of the HCABC algorithm, various case studies are investigated. Simulation results showed that the HCABC method outperformed the other studied techniques from the perspective of robustness and performance. In order to show the effectiveness of the proposed modeling for the stochastic DEED problem, results obtained when the confidence level is included in the decision variables set are compared with the results of the problem when the confidence level is pre-specified. Obtained results showed that:
- Fixing high values for the confidence level may increase the risk of insufficient WP for high system load demand;
- Small values of that confidence level may decrease the chance to properly profit from the WP source at low power demand; and
- Optimally adjusting the confidence level according to the load profile and spinning reserve can avoid the wrongful operation of the wind turbine.
Future works may focus on the inclusion of energy storage systems in the illustrated modeling. Therefore, other constraints, such as energy capacity and charging/discharging constraints of the energy storage, must be considered. Moreover, including other models, such as presented in reference [34], in the stochastic DEED problem can be considered as an expansion of this study.
Author Contributions
Conceptualization, M.E.A. and M.A.M.R.; methodology, M.E.A. and M.A.M.R.; software, M.E.A.; validation, M.E.A., M.A.M.R. and I.M.M.; formal analysis, M.E.A. and M.A.M.R.; investigation, M.A.M.R. and I.M.M.; resources, M.E.A.; data curation, M.E.A.; writing—original draft preparation, M.E.A.; writing—review and editing, M.E.A.; visualization, M.E.A. and M.A.M.R.; supervision, M.A.M.R. and I.M.M.; project administration, M.A.M.R.; funding acquisition, M.A.M.R. All authors have read and agreed to the published version of the manuscript.
Funding
The authors extend their appreciation to the Deputyship of Research & Innovation, Ministry of Education in Saudi Arabia for funding this research work through the project number IFPRC-190-135-2020 and King Abulaziz University, DSR, Jeddah, Saudi Arabia.
Institutional Review Board Statement
Not applicable.
Informed Consent Statement
Not applicable.
Data Availability Statement
Not applicable.
Conflicts of Interest
The authors declare no conflict of interest.
Nomenclature
| Fuel cost of i-th unit at time t. | |
| Emissions of i-th unit at time t. | |
| and | Total fuel cost and total emissions, respectively. |
| Output power in MW of i-th unit at time t. | |
| , , , , | Cost coefficients of i-th unit. |
| , , , , | Emission coefficients of i-th unit. |
| System load in MW at time t. | |
| System loss in MW at time t. | |
| and | Lower and upper bounds of , respectively. |
| and | Down/up ramp limits of i-th unit. |
| Spinning reserve at time t. | |
| Spinning reserve of i-th unit at time t. | |
| Maximum spinning reserve of i-th unit. | |
| , and | Rated, cut-in, cut-out wind speeds in m/s, respectively. |
| Wind speed at time t. | |
| Rated wind farm output in MW. | |
| Scheduled wind power in MW at time t. | |
| k and c | Shape and scale factors of Weibull distribution. |
| Weibull distribution function. | |
| Cumulative distribution function. | |
| Wind power tolerance at time t. | |
| Exponential function. | |
| Population size. | |
| Fitness function of i-th solution. | |
| LIMIT | Maximum number of trials. |
| D | Problem dimension. |
| , and | Chaotic sequences. |
| Normalized value of . | |
| and | Lower and upper bounds of . |
References
- Liu, Z.; Li, L.L.; Liu, Y.W.; Liu, J.Q.; Li, H.Y.; Shen, Q. Dynamic economic emission dispatch considering renewable energy generation: A novel multi-objective optimization approach. Energy 2021, 235, 121407. [Google Scholar] [CrossRef]
- Basu, M. Dynamic economic emission dispatch using nondominated sorting genetic algorithm-II. Int. J. Electr. Power Energy Syst. 2008, 30, 140–149. [Google Scholar] [CrossRef]
- Niknam, T.; Azizipanah-Abarghooee, R.; Aghaei, J. A new modified teaching-learning algorithm for reserve constrained dynamic economic dispatch. IEEE Trans. Power Syst. 2013, 28, 749–763. [Google Scholar] [CrossRef]
- Jiang, S.; Ji, Z.; Wang, Y. A novel gravitational acceleration enhanced particle swarm optimization algorithm for wind–thermal economic emission dispatch problem considering wind power availability. Int. J. Electr. Power Energy Syst. 2015, 73, 1035–1050. [Google Scholar] [CrossRef]
- Qiao, B.; Liu, J. Multi-objective dynamic economic emission dispatch based on electric vehicles and wind power integrated system using differential evolution algorithm. Renew. Energy 2020, 154, 316–336. [Google Scholar] [CrossRef]
- Yang, B.; Cao, X.; Cai, Z.; Yang, T.; Chen, D.; Gao, X.; Zhang, J. Unit commitment comprehensive optimal model considering the cost of wind power curtailment and deep peak regulation of thermal unit. IEEE Access 2020, 8, 71318–71325. [Google Scholar] [CrossRef]
- Song, D.; Tu, Y.; Wang, L.; Jin, F.; Li, Z.; Huang, C.; Xia, E.; Rizk-Allah, R.M.; Yang, J.; Su, M.; et al. Coordinated optimization on energy capture and torque fluctuation of wind turbines via variable weight NMPC with fuzzy regulator. Appl. Energy 2022, 312, 118821. [Google Scholar] [CrossRef]
- Chang, G.; Lu, H.J.; Wang, P.K.; Chang, Y.R.; Lee, Y.D. Gaussian mixture model-based neural network for short-term wind power forecast. Int. Trans. Electr. Energy Syst. 2017, 27, e2320. [Google Scholar] [CrossRef]
- De Felice, M.; Alessandri, A.; Ruti, P.M. Electricity demand forecasting over Italy: Potential benefits using numerical weather prediction models. Electr. Power Syst. Res. 2013, 104, 71–79. [Google Scholar] [CrossRef]
- Hanifi, S.; Liu, X.; Lin, Z.; Lotfian, S. A critical review of wind power forecasting methods—past, present and future. Energies 2020, 13, 3764. [Google Scholar] [CrossRef]
- Bazionis, I.K.; Georgilakis, P.S. Review of deterministic and probabilisticwind power forecasting: Models, methods, and future research. Electricity 2021, 2, 13–47. [Google Scholar] [CrossRef]
- Jin, J.; Zhou, D.; Peng, Z.; Zhuang, M. Environmental/economic power dispatch with wind power. Renew. Energy 2014, 71, 234–242. [Google Scholar] [CrossRef]
- Jadoun, V.K.; Pandey, V.C.; Gupta, N.; Niazi, K.R.; Swarnkar, A. Integration of renewable energy sources in dynamic economic load dispatch problem using an improved fireworks algorithm. IET Renew. Power Gener. 2018, 12, 1004–1011. [Google Scholar] [CrossRef]
- Biswas, P.P.; Suganthan, P.N.; Qu, B.Y.; Amaratunga, G.A.J. Multiobjective economic-environmental power dispatch with stochastic wind-solar-small hydro power. Energy 2018, 150, 1039–1057. [Google Scholar] [CrossRef]
- Khamees, A.K.; Abdelaziz, A.Y.; Eskaros, M.R.; El-Shahat, A.; Attia, M.A. Optimal Power Flow Solution of Wind-Integrated Power System Using Novel Metaheuristic Method. Energies 2021, 14, 6117. [Google Scholar] [CrossRef]
- Li, M.S.; Wu, Q.H.; Ji, T.Y.; Rao, H. Stochastic multi-objective optimization for economic-emission dispatch with uncertain wind power and distributed loads. Electr. Power Syst. Res. 2014, 116, 367–373. [Google Scholar] [CrossRef]
- Tan, Y.; Cao, Y.; Li, Y.; Li, Y.; Zhang, Z.; Tang, S. Microgrid stochastic economic load dispatch based on two-point estimate method and improved particle swarm optimization. Int. Trans. Electr. Energy Syst. 2014, 25, 2144–2164. [Google Scholar] [CrossRef]
- Haberg, M. Fundamentals and recent developments in stochastic unit commitment. Int. J. Electr. Power Energy Syst. 2019, 109, 38–48. [Google Scholar] [CrossRef]
- Lu, R.; Ding, T.; Qin, B.; Ma, J.; Fang, X.; Dong, Z. Multi-Stage Stochastic Programming to Joint Economic Dispatch for Energy and Reserve With Uncertain Renewable Energy. IEEE Trans. Sustain. Energy 2020, 11, 1140–1151. [Google Scholar] [CrossRef]
- Song, D.; Li, Z.; Wang, L.; Jin, F.; Huang, C.; Xia, E.; Rizk-Allah, R.M.; Yang, J.; Su, M.; Joo, Y.H. Energy capture efficiency enhancement of wind turbines via stochastic model predictive yaw control based on intelligent scenarios generation. Appl. Energy 2022, 312, 118773. [Google Scholar] [CrossRef]
- Weigert, J.; Esche, E.; Hoffmann, C.; Repke, J.U. Generation of Data-Driven Models for Chance-Constrained Optimization. Comput. Aided Chem. Eng. 2019, 47, 311–316. [Google Scholar]
- Häussling Löwgren, B.; Weigert, J.; Esche, E.; Repke, J.-U. Uncertainty Analysis for Data-Driven Chance-Constrained Optimization. Sustainability 2020, 12, 2450. [Google Scholar] [CrossRef] [Green Version]
- Liu, X.; Xu, W. Economic load dispatch constrained by wind power availability: A here-and-now approach. IEEE Trans. Sustain. Energy 2010, 1, 2–9. [Google Scholar] [CrossRef]
- Liu, G.; Tomsovic, K. Quantifying Spinning Reserve in Systems with Significant Wind Power Penetration. IEEE Trans. Power Syst. 2012, 27, 2385–2393. [Google Scholar] [CrossRef]
- Cheng, W.; Zhang, H. A Dynamic Economic Dispatch Model Incorporating Wind Power Based on Chance Constrained Programming. Energies 2015, 8, 233–256. [Google Scholar] [CrossRef] [Green Version]
- Cheng, J.; Chen, R.L.Y.; Najm, H.N.; Pinar, A.; Safta, C.; Watson, J.P. Chance-constrained economic dispatch with renewable energy and storage. Comput. Optim. Appl. 2018, 70, 479–502. [Google Scholar] [CrossRef] [Green Version]
- Huo, D.; Gu, C.; Ma, K.; Wei, W.; Xiang, Y.; Le Blond, S. Chance-Constrained Optimization for Multienergy Hub Systems in a Smart City. IEEE Ind. Electron. Mag. 2019, 66, 1402–1412. [Google Scholar] [CrossRef]
- Alismail, F.; Abdulgalil, M.A.; Khalid, M. Optimal Coordinated Planning of Energy Storage and Tie-Lines to Boost Flexibility with High Wind Power Integration. Sustainability 2021, 13, 2526. [Google Scholar] [CrossRef]
- Guesmi, T.; Farah, A.; Marouani, I.; Alshammari, B.M.; Hadj Abdallah, H. Chaotic sine–cosine algorithm for chance–constrained economic emission dispatch problem including wind energy. IET Renew. Power Gener. 2020, 14, 1808–1821. [Google Scholar] [CrossRef]
- Alshammari, M.E.; Ramli, M.A.M.; Mehedi, I.M. A New Chaotic Artificial Bee Colony for the Risk-Constrained Economic Emission Dispatch Problem Incorporating Wind Power. Energies 2021, 14, 4014. [Google Scholar] [CrossRef]
- Alrosan, A.; Alomoush, W.; Norwawi, N.; Alswaitti, M.; Makhadmeh, S.N. An improved artificial bee colony algorithm based on mean best-guided approach for continuous optimization problems and real brain MRI images segmentation. Neural Comput. Appl. 2021, 33, 1671–1697. [Google Scholar] [CrossRef]
- Celik, Y. An enhanced artificial bee colony algorithm based on fitness weighted search strategy. Automatika 2021, 62, 300–310. [Google Scholar] [CrossRef]
- Jin, Q.; Lin, N.; Zhang, Y. K-Means Clustering Algorithm Based on Chaotic Adaptive Artificial Bee Colony. Algorithms 2021, 14, 53. [Google Scholar] [CrossRef]
- Son, D.; Zheng, S.; Yang, S.; Yang, J.; Dong, M.; Su, M.; Joo, Y.H. Annual Energy Production Estimation for Variable-speed Wind Turbine at High-altitude Site. J. Mod. Power Syst. 2021, 9, 684–687. [Google Scholar]
- Hua, Z.; Zhou, Y. Exponential Chaotic Model for Generating Robust Chaos. IEEE Trans. Syst. Man Cybern. Syst. 2021, 51, 3713–3724. [Google Scholar] [CrossRef]
- Wang, X.; Guan, N.; Zhao, H.; Wang, S.; Zhang, Y. A new image encryption scheme based on coupling map lattices with mixed multi-chaos. Sci. Rep. 2020, 10, 9784. [Google Scholar] [CrossRef]
- El-Shorbagy, M.A.; Mousa, A.A.; Nasr, S.M. A chaos-based evolutionary algorithm for general nonlinear programming problems. Chaos Solitons Fractals 2016, 85, 8–21. [Google Scholar] [CrossRef]
- Tutueva, A.V.; Nepomuceno, E.G.; Karimov, A.I.; Andreev, V.S.; Butusov, D.N. Adaptive chaotic maps and their application to pseudo-random numbers generation. Chaos Solitons Fractals 2020, 133, 1–8. [Google Scholar] [CrossRef]
- Liu, Y.; Shi, Y.; Chen, H.; Heidari, A.A.; Gui, W.; Wang, M.; Chen, H.; Li, C. Chaos-assisted multi-population salp swarm algorithms: Framework and case studies. Expert Syst. Appl. 2021, 168, 114369. [Google Scholar] [CrossRef]
- Yang, D.; Liu, Z.; Zhou, J. Chaos optimization algorithms based on chaotic maps with different probability distribution and search speed for global optimization. Commun. Nonlinear Sci. Numer. Simul. 2014, 19, 1229–1246. [Google Scholar] [CrossRef]
- Yang, D.; Liu, Z.; Yi, P. Computational efficiency of accelerated particle swarm optimization combined with different chaotic maps for global optimization. Neural Comput. Appl. 2017, 28, 1245–1264. [Google Scholar] [CrossRef]
- Yüzgeç, U.; Eser, M. Chaotic based differential evolution algorithm for optimization of baker’s yeast drying process. Egypt. Inform. J. 2018, 19, 151–163. [Google Scholar] [CrossRef]
- Lazzús, J.A.; Rivera, M.; López-Caraballo, C.H. Parameter estimation of Lorenz chaotic system using a hybrid swarm intelligence algorithm. Phys. Lett. 2016, 380, 1164–1171. [Google Scholar] [CrossRef]
- Chen, K.; Zhou, F.; Liu, A. Chaotic dynamic weight particle swarm optimization for numerical function optimization. Knowl.-Based Syst. 2018, 139, 23–40. [Google Scholar] [CrossRef]
- Karaboga, D. An Idea based On Honey Bee Swarmfor Numerical Optimization; Technical Report-Tr06; Computer Engineering Department, Engineering Faculty, Erciyes University: Kayseri, Turkey, 2015. [Google Scholar]
- Karaboga, D.; Gorkemli, B.; Ozturk, C.; Karaboga, N. A comprehensive survey: Artificial bee colony (ABC) algorithm and applications. Artif. Intell. Rev. 2014, 42, 21–57. [Google Scholar] [CrossRef]
- Sharma, A.; Sharma, A.; Choudhary, S.; Pachauri, R.K.; Shrivastava, A.; Kumar, D. A review on artificial bee colony and its engineering applications. J. Crit. Rev. 2020, 7, 4097–4107. [Google Scholar]
- Li, L.F.; Qi, M.R. Medical image segmentation method based on the improved artificial bee colony algorithm. Matrix Sci. Pharma 2019, 3, 5–8. [Google Scholar] [CrossRef]
- Ravi, V.; Duraiswamy, K. Artificial bee colony optimization for effective power system stabilization. IU-JEEE 2011, 11, 367–1374. [Google Scholar]
- Keleş, M.K.; Kılıç, U. Artificial bee colony algorithm for feature selection on SCADI dataset. In Proceedings of the 3rd International Conference on Computer Science and Engineering (UBMK), Sarajevo, Bosnia and Herzegovina, 20–23 September 2018; pp. 463–466. [Google Scholar]
- Bagis, A.; Halit Senberber, H. ABC Algorithm Based PID Controller Design for Higher Order Oscillatory Systems. Electron. Electr. Eng. 2017, 23, 3–9. [Google Scholar] [CrossRef] [Green Version]
- Ettappan, M.; Vimala, V.; Ramesh, S.; Thiruppathy Kesavan, V. Optimal reactive power dispatch for real power loss minimization and voltage stability enhancement using Artificial Bee Colony algorithm. Microprocess. Microsyst. 2020, 76, 103085. [Google Scholar] [CrossRef]
- Pian, J.; Wang, G.; Li, B. An Improved ABC Algorithm Based on Initial Population and Neighborhood Search. IFAC-PapersOnLine 2018, 51, 251–256. [Google Scholar] [CrossRef]
- Tlijani, K.; Guesmi, T.; Hadj Abdallah, H. Extended Dynamic Economic Environmental Dispatch using Multi-Objective Particle Swarm Optimization. Int. J. Electr. Eng. Inform. 2016, 8, 117–131. [Google Scholar]
- Huang, W.T.; Yao, K.; Chen, M.K.; Wang, F.Y.; Zhu, C.H.; Chang, Y.R.; Lee, Y.D.; Ho, Y.H. Derivation and Application of a New Transmission Loss Formula for Power System Economic Dispatch. Energies 2018, 11, 417. [Google Scholar] [CrossRef] [Green Version]
- Dong, R.; Wang, S. New Optimization Algorithm Inspired by Kernel Tricks for the Economic Emission Dispatch Problem with Valve Point. IEEE Access 2020, 8, 16584–16594. [Google Scholar] [CrossRef]
- Zou, D.; Li, S.; Li, Z.; Kong, X. A new global particle swarm optimization for the economic emission dispatch with or without transmission losses. Energy Convers. Manag. 2017, 139, 45–70. [Google Scholar] [CrossRef]
- Roy, P.K.; Bhui, S. A multi-objective hybrid evolutionary algorithm for dynamic economic emission load dispatch. Int. Trans. Electr. Energy Syst. 2016, 26, 49–78. [Google Scholar] [CrossRef]
- Chinnadurrai, C.; Victoire, T.A.A. Dynamic Economic Emission Dispatch Considering Wind Uncertainty Using Non-Dominated Sorting Crisscross Optimization. IEEE Access 2020, 8, 94678–94696. [Google Scholar] [CrossRef]
- Jiang, X.; Zhou, J.; Wang, H.; Zhang, Y. Dynamic environmental economic dispatch using multiobjective differential evolution algorithm with expanded double selection and adaptive random restart. Int. J. Electr. Power Energy Syst. 2013, 49, 399–407. [Google Scholar] [CrossRef]
Publisher’s Note: MDPI stays neutral with regard to jurisdictional claims in published maps and institutional affiliations. |
© 2022 by the authors. Licensee MDPI, Basel, Switzerland. This article is an open access article distributed under the terms and conditions of the Creative Commons Attribution (CC BY) license (https://creativecommons.org/licenses/by/4.0/).








