Steam Cavity Expansion Model for Steam Flooding in Deep Heavy Oil Reservoirs
Abstract
:1. Introduction
2. Expansion of Steam Flooding Chamber
2.1. Assumptions
- (1)
- Homogeneous reservoirs and fractures were assumed to be absent.
- (2)
- The thermal conductivity values of the top and bottom rocks were the same, and the heat conduction in the horizontal direction was zero in top and bottom rocks.
- (3)
- The injected steam parameters were constant, and the steam did not undergo a phase change.
- (4)
- The wellbore friction loss was ignored.
- (5)
- The physical properties and fluid saturation of the oil layer were not affected by temperature.
- (6)
- The streamline is in the horizontal direction, and the flow only occurs in all planes perpendicular to the horizontal injection and production well; the cross-flow between vertical planes does not occur.
2.2. Vapor-Liquid Interface Shape
2.3. Wellbore Heat Loss Rate
2.4. Steam Cavity Expansion Model for Steam Flooding
3. Model Validation
4. Model Application
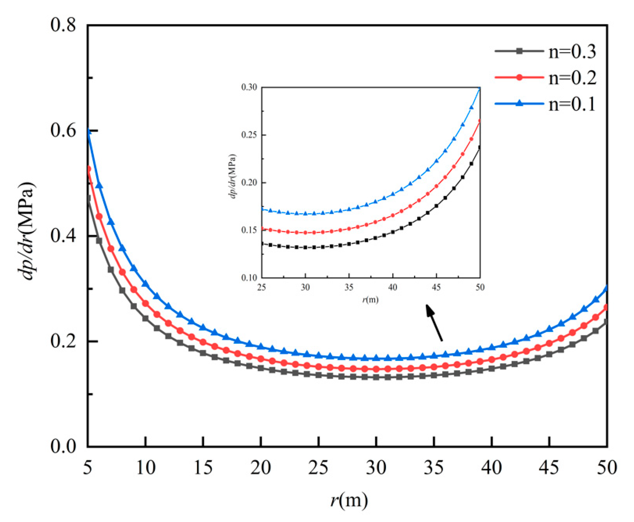
4.1. Gradient Analysis of Steam Belt Pressure
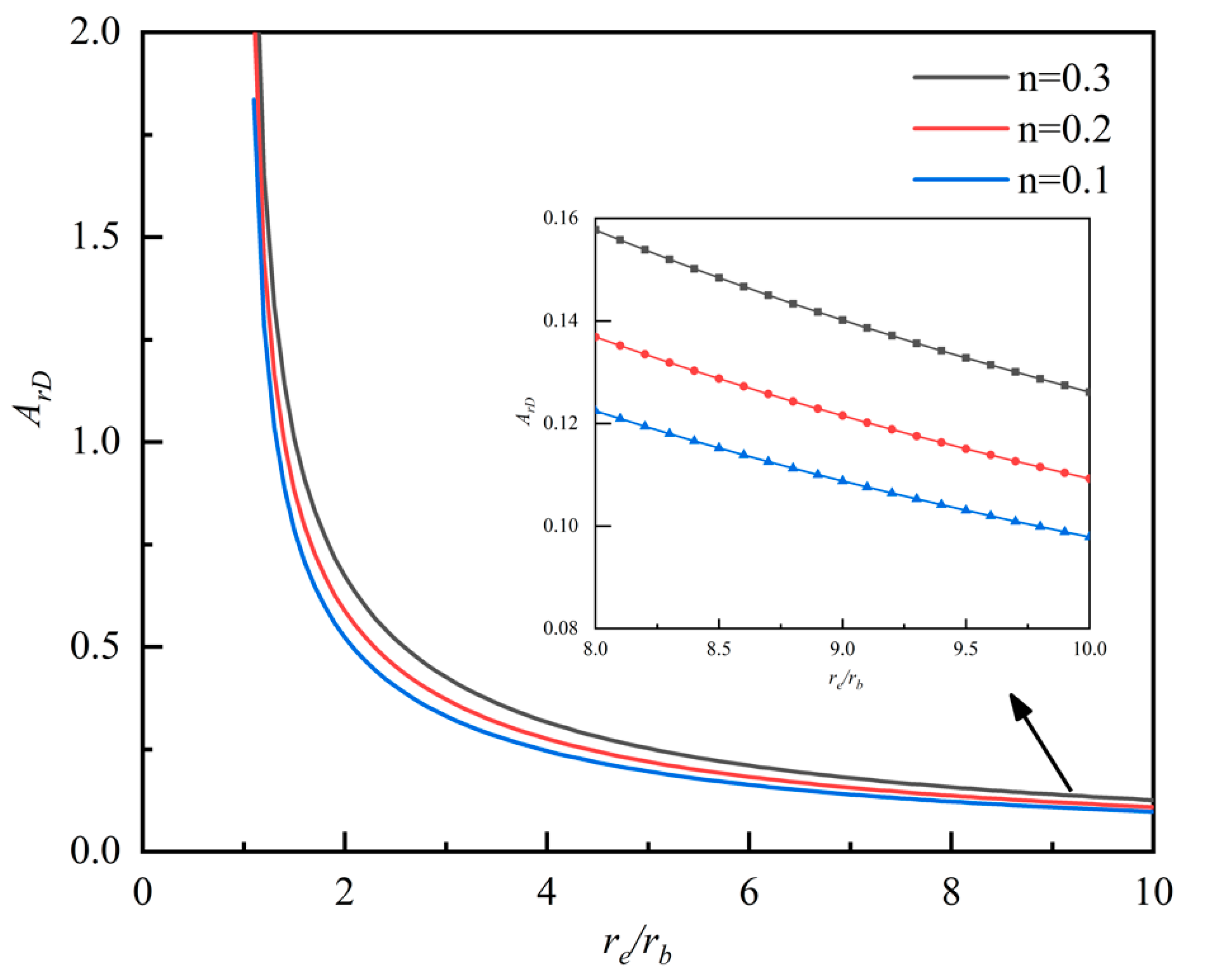
4.2. Calculate the Heat Dissipation Area
4.3. Sensitivity Analysis of Steam Chamber Expansion
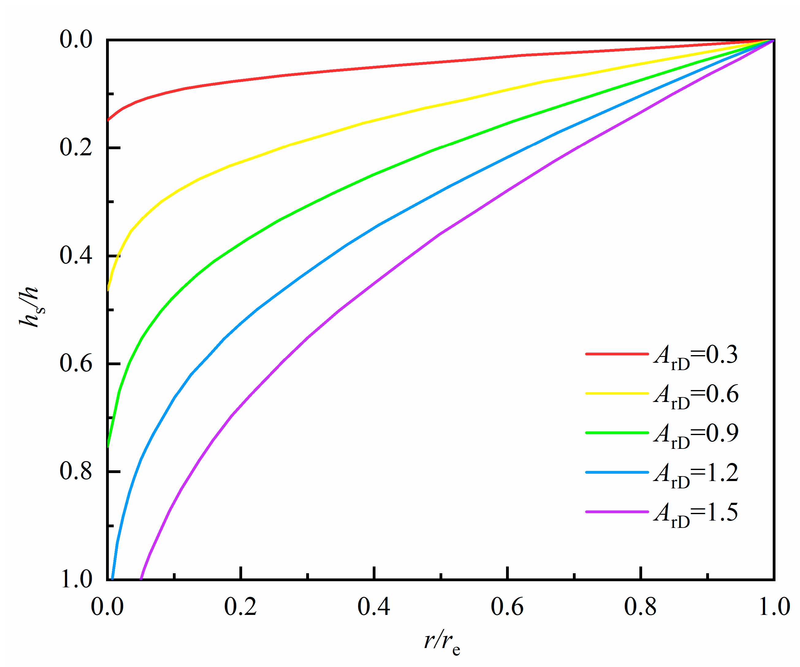
4.3.1. Influence Analysis of Shape Factor
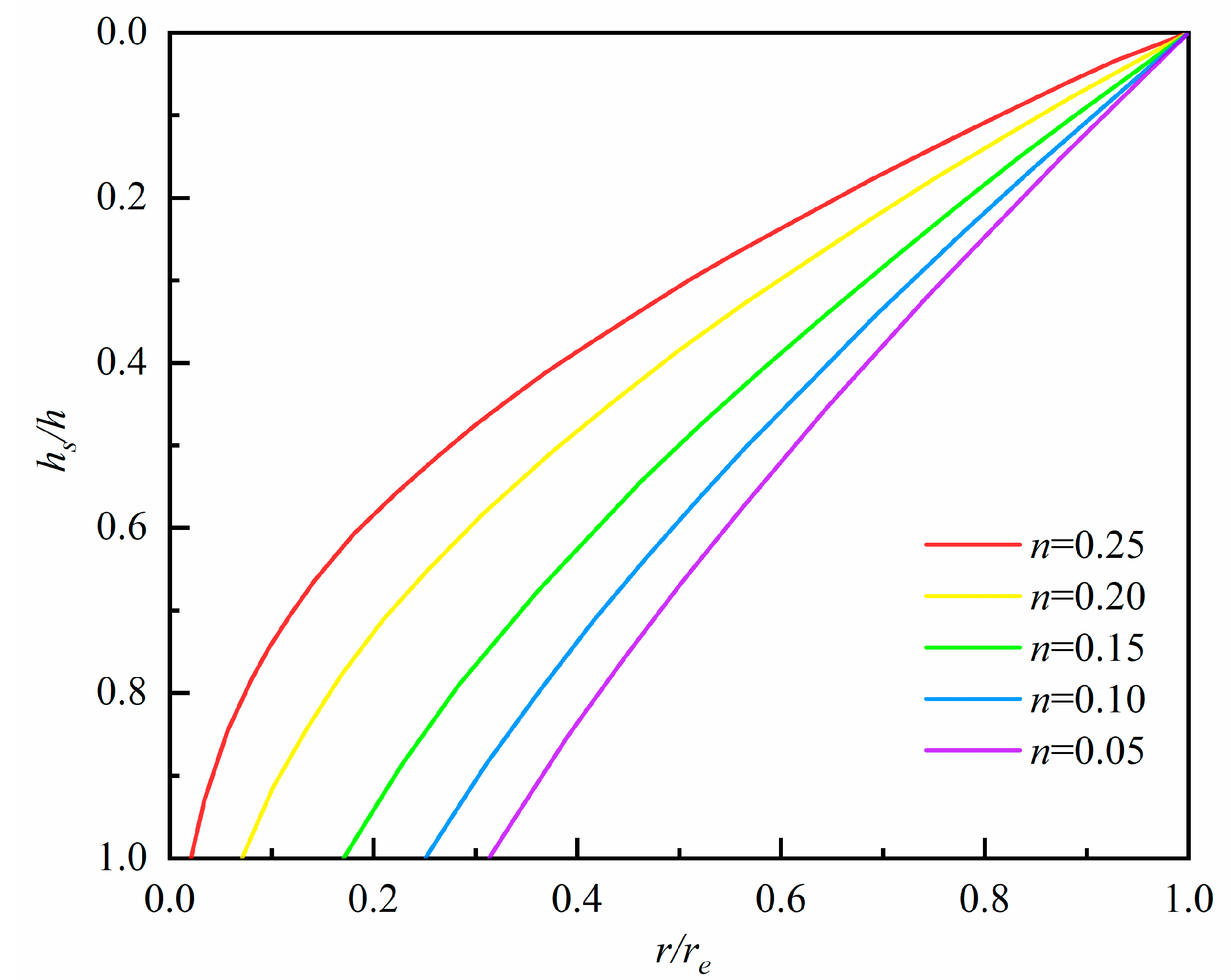
4.3.2. Influence Analysis of Pseudomobility Ratio
4.3.3. Influence Analysis of Wellbore Heat Loss Rate Coefficient
5. Discussion
6. Conclusions
- (1)
- During the steam flooding development of deep heavy oil reservoirs, after the steam is injected from the wellhead, energy loss occurs with increasing wellbore depth. The wellbore heat loss rate coefficient can accurately reflect the heat energy loss phenomenon during the steam injection process and provide a theoretical basis for the development of steam flooding in deep heavy oil reservoirs.
- (2)
- The influence of the wellbore heat loss rate coefficient on the pressure gradient of the oil layer was primarily observed at a distance of 5–20 m from the steam injection well. At a greater distance, the influence of the wellbore heat loss rate becomes negligible, and deep heavy oil is obtained. Therefore, the optimum heating radius for reservoir steam flooding is approximately 35 m. When the radius of the steam zone exceeds the optimum range, the phenomenon of steam overburden becomes significant.
- (3)
- As the wellbore heat loss rate coefficient increased, the heat carried by the steam injected into the reservoir increased. The reduction of the heat dissipation area ratio of the top and bottom layers of the steam chamber means that the steam overlay effect is not obvious; the steam zone can maintain a vertical shape and advance toward the production well.
- (4)
- From the sensitivity analysis of the steam cavity expansion model, it was concluded that with increasing shape factor, the shape of the steam cavity is better developed. The pseudomobility ratio is inversely proportional to the shape of the steam cavity. In addition, with increasing well depth, the loss of steam heat energy becomes more severe. Thus, the greater the coefficient of heat loss rate of the wellbore, the less developed the steam chamber is, resulting in lower ultimate recovery.
Author Contributions
Funding
Institutional Review Board Statement
Informed Consent Statement
Data Availability Statement
Acknowledgments
Conflicts of Interest
References
- Marx, J.W.; Langenheim, R.H. Reservoir Heating by Hot Fluid Injection. Pet. Trans. 1959, 216, 312–315. [Google Scholar] [CrossRef]
- Neuman, C.H. A mathematical model of the steam drive process applications. In Proceedings of the SPE International Thermal Operations Symposium, Ventura, CA, USA, 2–4 April 1975; p. 4757. [Google Scholar]
- Myhill, N.A.; Stegemeier, G.L. Steam Drive Correlation and Prediction. J. Pet. Technol. 1979, 30, 173–182. [Google Scholar] [CrossRef]
- Van-Lookeren, J. Calculation methods for linear and radial steam flow in oil reservoirs. Soc. Pet. Eng. J. 1983, 23, 427–439. [Google Scholar] [CrossRef]
- Santos, M.D.; Neto, A.D.; Mata, W. New antenna modelling using wavelets for oil thermal recovering methods. J. Pet. Sci. Eng. 2011, 76, 64–75. [Google Scholar] [CrossRef]
- Zhang, Y.T.; Li, X.N.; Zhang, X. Four fundamental principles for design and follow-up of steam flooding in heavy oil reservoirs. Pet. Explor. Dev. 2008, 35, 715–719. [Google Scholar]
- Lai, L.B.; Pan, T.T.; Qin, Y.; Xu, C.X.; Li, X.F. A calculation method for heat loss considering steam overlap in steam flooding. J. Northwest Univ. Nat. Sci. Ed. 2014, 44, 105–110. [Google Scholar]
- Du, D.F.; Zhang, Y.Z.; Liu, X.; Zhang, L.N.; Ren, L.C.; Liu, P. New Gas Tracer Convection−Diffusion Model between Wells in Heavy Oil Reservoirs. ACS Omega 2021, 6, 24752–24764. [Google Scholar] [CrossRef]
- Vogel, J.V. Simplified heat calculations for steamfloods. J. Pet. Technol. 1984, 36, 1127–1136. [Google Scholar] [CrossRef]
- Farouq, A.S.M. Steam injection theories: A unified approach. In Proceedings of the Caliornia Regional Meeting of SPE, San Francisco, CA, USA, 24 March 1982. [Google Scholar]
- Peake, W.T. Steamflood Material Balance Applications. SPE Reserv. Eng. 1989, 4, 357–362. [Google Scholar] [CrossRef]
- Closmann, P.J. A simplified gravity drainage oil production model for mature steam drives. In Proceedings of the SPE International Thermal Operations Symposium, Bakersfield, CA, USA, 8–10 February 1993; p. 25790. [Google Scholar]
- Cheng, L.S.; Liu, D.; Gao, H.L.; Zhou, F.J. Research on steam flooding front prediction model considering pseudo mobility ratio. J. Southwest Pet. Univ. Nat. Sci. Ed. 2009, 31, 160–162. [Google Scholar]
- Gomma, E.E. Correlations for Predicting Oil Recovery by Steamflood. J. Pet. Technol. 1980, 32, 325–332. [Google Scholar] [CrossRef]
- Hou, J.; Wei, B.; Du, Q.J.; Wang, J.C.; Wang, Q.L.; Zhang, G.F. Production prediction of cyclic multi-thermal fluid stimulation in a horizontal well. J. Pet. Sci. Eng. 2016, 146, 949–958. [Google Scholar] [CrossRef]
- Aydelotte, S.R.; Pope, G.A. A Simplified Predictive Model for Steamdrive Performance. J. Pet. Technol. 1983, 35, 991–1002. [Google Scholar] [CrossRef]
- Ding, Z.P.; Luo, Y.Y.; Cheng, L.S.; Shen, Y. Mathematical model of steam front considering the starting pressure gradient of oil phase. Sci. Technol. Eng. 2014, 14, 46–48. [Google Scholar]
- Huang, S.J.; Xia, Y.; Cao, M.; Chen, X. An Prediction Model of Steam Front of Horizontal Steam Flooding for Thin Heavy Oil Reservoirs. In Proceeding of the SPE International Heavy Oil Conference and Exhibition, Kuwait City, Kuwait, 10–12 December 2018; p. 193740. [Google Scholar]
- Tian, Y.P.; Ju, B.S.; Lu, G.Z.; Liu, N.N.; Dong, Y.T.; Ma, S. The comprehensive model for solvent assisted steam flooding in thin heavy oil reservoirs considering asphaltene deposition. J. Pet. Sci. Eng. 2020, 185, 106676. [Google Scholar] [CrossRef]
- Lai, L.B.; Pan, T.T. Evaluation method of steam overlap between injection and production wells in steam flooding. Spec. Oil Gas Reserv. 2013, 20, 80–83. [Google Scholar]
- Wang, H.T.; Fan, H.F. Steam flooding and oil recovery by different types of horizontal well pattern. Pet. Sci. Technol. 2017, 35, 479–487. [Google Scholar] [CrossRef]
- Pang, Z.X.; Liu, H.Q.; Zhu, L. A laboratory study of enhancing heavy oil recovery with steam flooding by adding nitrogen Foams. J. Pet. Sci. Eng. 2015, 128, 184–193. [Google Scholar] [CrossRef]
- Farzain, U.D.K.; Arshad, R.; Raoof, G.; Muhammad, Z.H.; Chaudary, S.F. Analyzing the effect of steam quality and injection temperature on the performance of steam flooding. Energy Geosci. 2021, 2, 83–86. [Google Scholar]
- Pang, Z.X.; Wang, L.T.; Yin, F.H.; Lyu, X.C. Steam chamber expanding processes and bottom water invading characteristics during steam flooding in heavy oil reservoirs. Energy 2021, 234, 121214. [Google Scholar] [CrossRef]
- Wang, M.K. Quantitative Calculation of Heat Transfer in Steam Injection Well. J. Pet. Univ. 1994, 18, 77–82. [Google Scholar]
- Wang, Z.G.; Zhang, L.; Jia, Y.Y.; Song, Y.C.; Gong, K.Q. Heat loss calculation method for thermal fluid injection along the wellbore. J. Liaoning Tech. Univ. Nat. Sci. Ed. 2013, 32, 1345–1348. [Google Scholar]
- Zhao, D.W.; Wang, J.; Ian, D.G. Optimized solvent-aided steam-flooding strategy for recovery of thin heavy oil reservoirs. Fuel 2013, 112, 50–59. [Google Scholar] [CrossRef]
- Zhou, Y.; Lu, T.; Wu, S.Y.; Shi, L.; Du, X.; Wang, J. Models of steam-assisted gravity drainage (SAGD) steam chamber expanding velocity in double horizontal wells and its application. Pet. Explor. Dev. 2019, 46, 334–341. [Google Scholar] [CrossRef]
- Khansari, Z.; Kapadia, P.; Mahinpey, N.; Gates, L.D. A new reaction model for low temperature oxidation of heavy oil: Experiments and numerical modeling. Energy 2014, 64, 419–428. [Google Scholar] [CrossRef]









| Item | Value | Item | Value | 
|---|---|---|---|
| Reservoir density/kg·m−3 | 980 | Oil layer thickness/m | 15 | 
| Steam density/kg·m−3 | 20 | Well spacing/m | 70 | 
| Steam viscosity/mPa·s | 1.44 × 10−2 | Steam injection rate/kg·s−1 | 1.5 | 
| Oil viscosity/mPa·s | 7.5 × 105 | Wellbore heat loss rate coefficient/f | 0.15 | 
| Item | Value | 
|---|---|
| Production well output/m3·d−1 | 150 | 
| Steam injection volume/m3·d−1 | 200 | 
| Fluid viscosity near production wells/mPa·s | 500 | 
| Fluid viscosity near injection wells/mPa·s | 10 | 
| Permeability/10−3μm2 | 1500 | 
| Publisher’s Note: MDPI stays neutral with regard to jurisdictional claims in published maps and institutional affiliations. | 
© 2022 by the authors. Licensee MDPI, Basel, Switzerland. This article is an open access article distributed under the terms and conditions of the Creative Commons Attribution (CC BY) license (https://creativecommons.org/licenses/by/4.0/).
Share and Cite
Zhang, L.; Du, D.; Zhang, Y.; Liu, X.; Fu, J.; Li, Y.; Ren, J. Steam Cavity Expansion Model for Steam Flooding in Deep Heavy Oil Reservoirs. Energies 2022, 15, 4816. https://doi.org/10.3390/en15134816
Zhang L, Du D, Zhang Y, Liu X, Fu J, Li Y, Ren J. Steam Cavity Expansion Model for Steam Flooding in Deep Heavy Oil Reservoirs. Energies. 2022; 15(13):4816. https://doi.org/10.3390/en15134816
Chicago/Turabian StyleZhang, Lina, Dianfa Du, Yaozu Zhang, Xin Liu, Jingang Fu, Yuan Li, and Jianhua Ren. 2022. "Steam Cavity Expansion Model for Steam Flooding in Deep Heavy Oil Reservoirs" Energies 15, no. 13: 4816. https://doi.org/10.3390/en15134816
APA StyleZhang, L., Du, D., Zhang, Y., Liu, X., Fu, J., Li, Y., & Ren, J. (2022). Steam Cavity Expansion Model for Steam Flooding in Deep Heavy Oil Reservoirs. Energies, 15(13), 4816. https://doi.org/10.3390/en15134816
 
         
                                                

 
       