Abstract
In this analysis, we considered a comparative study of micropolar Casson nanofluid flow on a vertical nonlinear Riga stretching sheet. Effects of thermal and velocity slip are considered under thermophoresis and Brownian motions. Select nonlinear PDEs transformed into nonlinear coupled ODEs using the set of suitable transformations. The nonlinear coupled ODEs are solved through a numerical technique along with the Runge–Kutta 4th-order scheme. The impacts of pertinent flow parameters on skin friction, Nusselt number, temperature, and velocity distributions are depicted through tabular and graphical form. Brownian motion and the magnitude of the Sherwood number have opposite performances; likewise, the Nusselt number and Brownian motion also have opposite performances. The Sherwood number and Nusselt number succeeded with higher values. The increment of the Casson fluid parameter declined with fluid velocity, which shows that thickness is reduced due to the increment of the Casson fluid parameter. Fluid velocity distribution curves show increasing behavior due to increments of the micropolar parameter.
1. Introduction
Non-Newtonian fluids play an important role in the field of engineering and its related industries. Research on non-Newtonian liquids is prominent due to the wide range of potential uses, including the extraction of crude oil from petroleum products, the creation of plastic materials, and the development of syrup medications. Casson fluid is a non-Newtonian fluid with unique characteristics; it acts like an elastic solid and the basic equation includes a yield shear stress in this type of fluid. Non-Newtonian transport phenomena occur in a variety of mechanical and chemical engineering disciplines, as well as in food preparation. The authors of this study focused on investigating the mix of models of Casson and micropolar fluids in order to establish the theoretical results in different assumptions. We developed the mixed stress tensor of Casson fluid and micropolar fluid, which becomes the Casson micropolar fluid model. In our research, the Casson micropolar fluid, Brownian motion, and thermophoresis effects on the variable Riga stretching sheet is considered. Erigen [1] pioneered the micropolar fluid theory and highlighted the idea of thermo-micropolar fluid [2]. The micropolar fluid theory is familiar as an analytical miniature that can be used to characterize the action of non-Newtonian liquid in numerous constructive appliances. Micropolar fluids attract consideration from prosecutors, which has resulted in the spread of their application in industrial, accomplishment, and engineering uses. Micropolar fluid displays a conflict in the passage of fluid in relation to Newtonian fluid, which adds a large quantity of micropolar specification accompanying the absolute viscosity in the fluid flow. The micropolar fluid can be an intensely affective fluid medium in the environmental aspect of the examination of laminar flow. Micropolar theory investigates the impact of micro-rotation in fluid mechanics that consist of micro-constituents that force rotation. Comprehensive analysis of the theory and its appliances is established in an article by Ariman et al. [3], as well as a recent book written by Lukaszewicz [4] and Eringen [5] on the application of microfluid. Ahmadi [6] discussed the boundary layer flow for micropolar fluid over a semi-infinite plate under the effects of natural, forced, or mixed convection. Jena and Mathur [7] introduced the similarity solutions for the incompressible thermo-micropolar fluid flow past vertical non-isothermal flat plates and highlighted the impacts of forced, natural, and mixed convection for thermo-micropolar fluid. Gorla et al. [8] expand on this work by developing the results of micropolar fluid asymptotic boundary layer flow. Bhargava et al. [9] highlighted the influence of micropolar fluid flow with mixed convection using the finite element scheme on porous surfaces. The time-dependent flow of micropolar fluid on a sheet was studied by Hayat et al. [10] using the HAM technique. Ahmad et al. [11] investigated the impact of viscous dissipation on micropolar fluid flow with a nonlinear stretching sheet. Reddy et al. [12] studied the time-dependent flow of micropolar fluid using a vertical slender hollow cylinder. Lund et al. [13] studied the MHD micropolar fluid flow over a vertical shrinking sheet. Dawar et al. [14] discussed the influence of chemical radiations and microstructural slip over a stretching sheet. Singh et al. [15] discussed the influence of micropolar fluid flow numerically. Several investigators are developing the results concerning dynamic problems (see Refs. [15,16,17,18]).
The past research on flow and heat transmission on stretching sheets caught the attention of scholars in a variety of fields. It is important in polyamide production due to the many mechanical developments of polymers. This type of flow is also important in engineering appliances, such as dealing with polymers in the basics of chemical engineering, and also functions in metallurgy. The concept of movement restricting planes along with velocity, which linearly alters the distance from fixed points on a sheet, is examined by Crane [19]. Recently, a large number of creators have continued to utilize non-Newtonian fluids beyond, and along with, heat and mass transfer [20,21]. Nadeem et al. [22] examined the time autonomies stretching second-grade fluid. Majeed et al. [23] recommended the consequence of suction over a stretching surface for ferromagnetic non-Newtonian fluid flow. The most compelling results regarding micropolar fluid on various stretching surfaces are discussed under the assumptions (see Refs. [24,25,26,27,28]).
In this analysis, we analyzed the combined effects of the Casson micropolar fluid model over a vertical variable stretching Riga sheet. The Brownian motion and thermophoresis are considered to analyze the impacts over the vertical variable stretching Riga sheet in this analysis; thermal and velocity slip impacts are also analyzed. From the above assumptions, the coupled nonlinear PDEs transformed into nonlinear coupled ODEs using the set of suitable transformations. The nonlinear coupled ODEs are solved through numerical techniques along the Runge–Kutta scheme. The combined Casson and micropolar fluid models under the Brownian motion and thermophoresis over a vertical variable stretching Riga sheet is not discussed. When we compared our results to decay results, we found that our results were more suited with decay literature. These results are noteworthy and practical in both engineering and industry. The impacts of pertinent flow parameters on skin friction, the Nusselt number, and temperature and velocity distributions are depicted through tabular form, as well as in graphical form.
2. Flow Formulation
We considered the micropolar–Casson fluid flow with the Buongiorno Model on a vertical Riga sheet (see in Figure 1); the thermal slip and velocity slip were also implemented on the vertical Riga sheet. Heat and mass transportation is explored in the presence of a modified Hartmann number, buoyancy forces, thermophoresis, and Brownian motion. and wall concentration corresponded with ambient concentration. are the velocity component along - and -direction. and are the corresponding wall temperature and ambient temperature. Under the above assumptions, the mathematical model is developed by means of boundary layer approximation in the form of partial differential equations which is presented below (see Refs. [29,30,31,32]):
Figure 1.
Flow pattern of micropolar–Casson fluid.
The suitable boundary conditions are stated as
where the constant ranges from . The concentrated particle flows () cannot rotate due to a strong concentration of elements near the wall surface (Jena and Mathur [6]). When , the anti-symmetrical part of the stress tensor vanishes (Ahmadi [7]). In the case of turbulent boundary layer flows, Peddieson [33] suggests that . Introducing the suitable transformations are
The coupled nonlinear PDEs are changed into connected non-linear ODEs (ordinary differential equations) by adopting the similarity transformations given above. The continuity equation is directly fulfilled by adopting the suitable transformations which are represented as Equation (1) in this paper. The reduced nonlinear system of equations is presented as below:
With boundary conditions
3. Numerical Solution
The highly non-linear connected boundary layer problem of the third-order and the second-order form the Equations (8)–(11)—given the related boundary conditions in Equation (12)—and are solved through a numerical technique using the Matlab software packages. We started with an initial guess value and selected and solved the problems with certain subjective physical parameters to acquire the numerical results. These results are revealed by numerical data as well as in graphical form. The above network of connected nonlinear ODEs (ordinary differential equations) is solved with the help of the Runge–Kutta scheme’s built-in strategy. The significant value of the ɳ is chosen for the set of subjective physical parameters. From there, the Runge–Kutta methodology is applied to solve numerically ordinary differential equations. The description of the methodology diagram is provided in Figure 2. The numerical procedure is defined as:
Figure 2.
Description of the numerical scheme.
Subject to the boundary conditions
The nonlinear higher-order differential system is solved by using the fifth-order Runge–Kutta–Fehlberg scheme. The numerical results will converge if the boundary residuals are less than tolerance error, i.e., . Introductory approximations are altered with the Newton method and the method is repeated unless it meets the required convergence basis. The boundary residuals are presented as:
Hence, , , , and are computed boundary values.
4. Results and Discussion
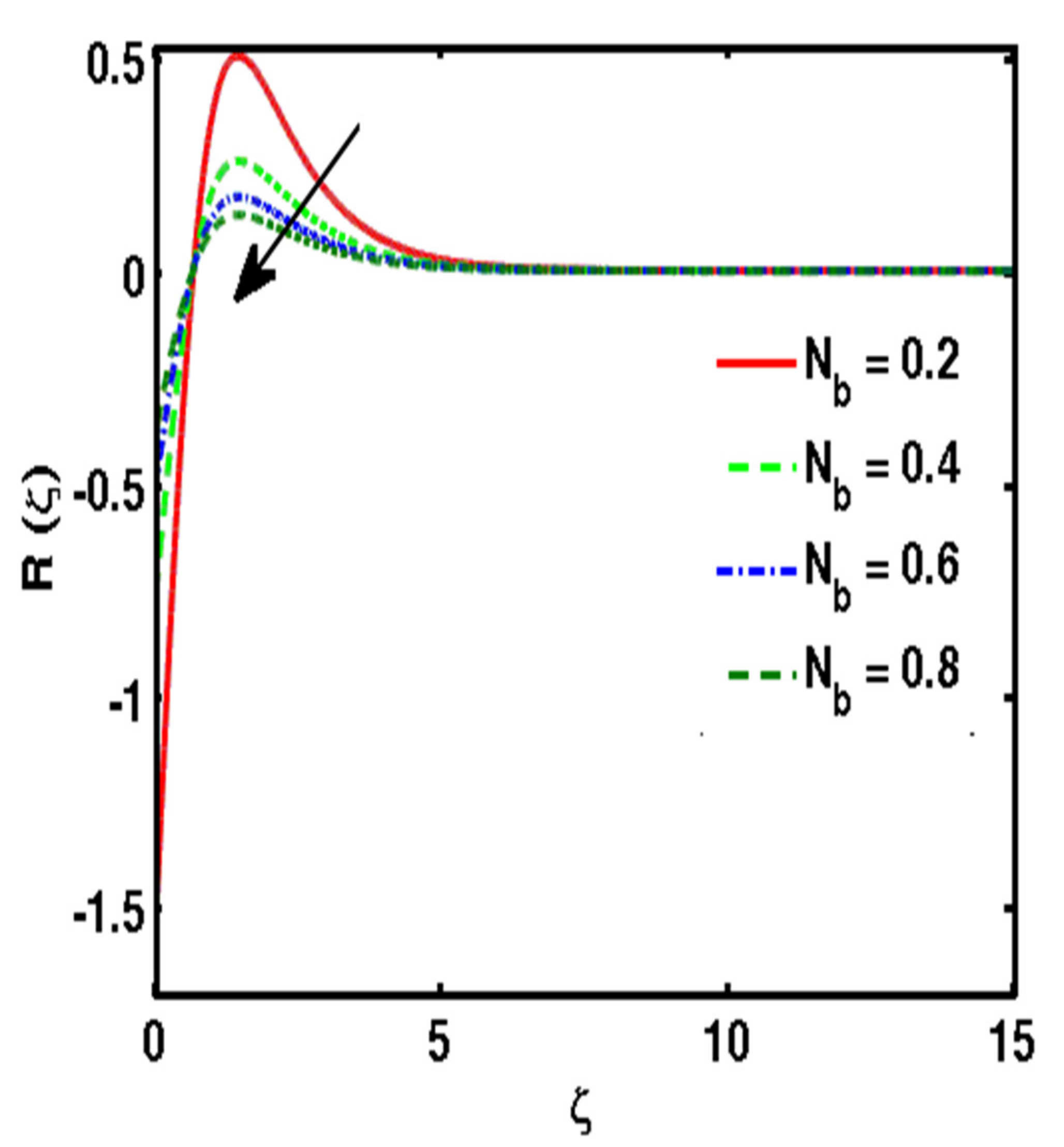
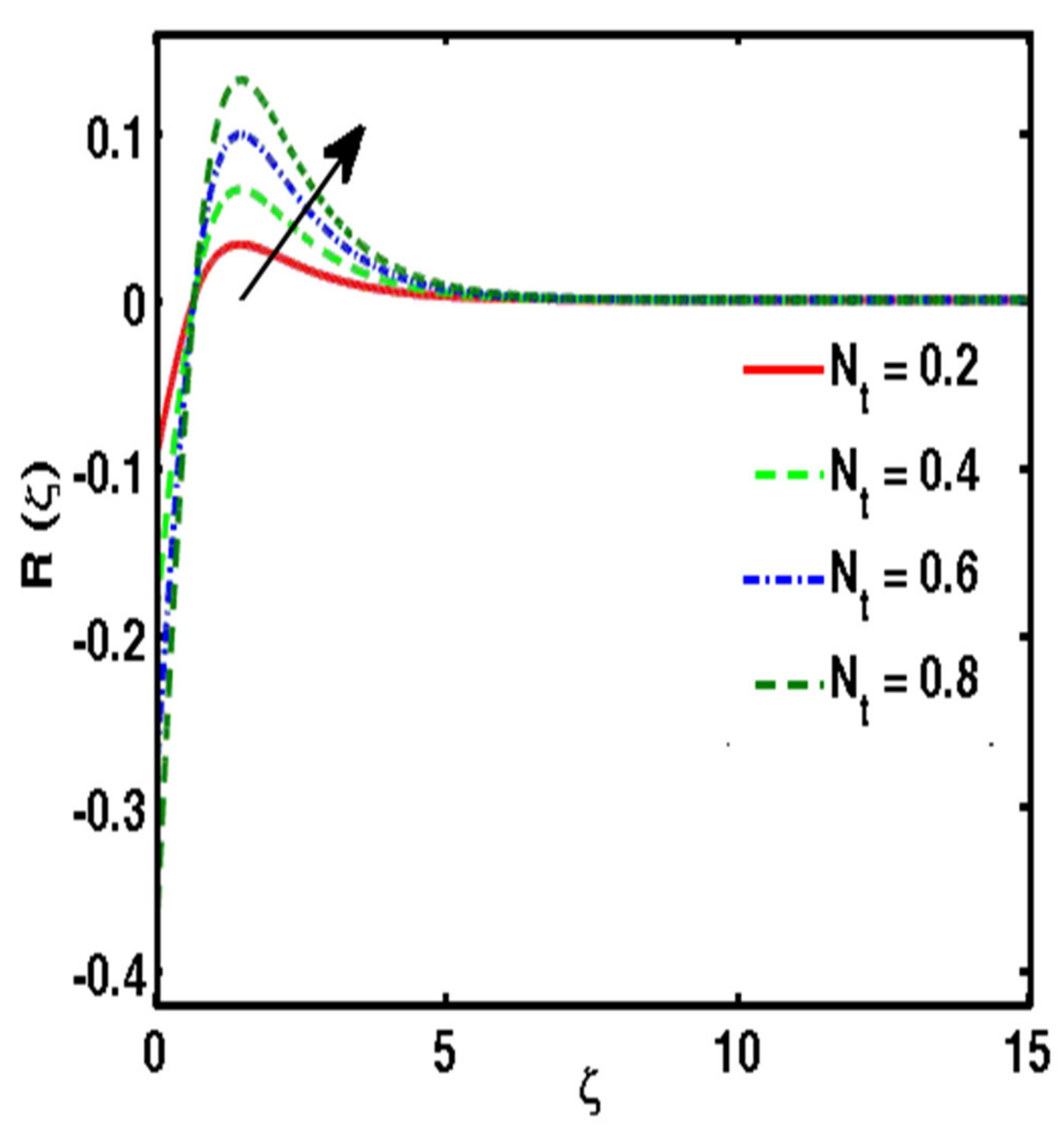
The impact of the numerous dimensionless parameters of the fluid velocity, micropolar, temperature, and concentration distributions are revealed through graphs and tables. Figure 3, Figure 4, Figure 5, Figure 6, Figure 7, Figure 8 and Figure 9 show the impacts of the Casson fluid parameter (, dimensionless parameter , micropolar parameter , buoyancy parameters , velocity slip , and modified the Hartman number on the fluid velocity distribution . The influence of Casson fluid parameter ( on fluid velocity distribution is presented in Figure 3. The increment of Casson fluid parameter ( declined the fluid velocity. The momentum thickness was physically enhanced due to the increment of the Casson fluid parameter (. The influence of the dimensionless parameter on fluid velocity distribution is expressed in Figure 4. The curves of fluid velocity distribution declined due to the increment of the dimensionless parameter . Physically, the distance from the sheet to magnetic fields declined exponentially, which ultimately reduced the fluid velocity function. The impact of the micropolar parameter on fluid velocity distribution is exhibited in Figure 5. The fluid velocity distribution curves show increasing behavior due to increments of the micropolar parameter due to the increase in the rotation of the fluid the velocity of fluid increased. Figure 6 and Figure 7 reveal the indication of buoyancy force parameters on fluid velocity distribution . The fluid velocity distribution and buoyancy force parameters revealed similar increasing behavior due to the increased gravity force, which developed pressure and led to enhanced fluid velocity distribution near the surface. Figure 8 exhibits the effect of the velocity slip on fluid velocity distribution . The reduction in curves of fluid velocity distribution is revealed due to the increment in velocity slip The velocity slip is increased, which causes a decline in the thickness of velocity distribution. The effect of the modified Hartman number on the fluid velocity distribution is presented in Figure 9. The increment in the modified Hartman number increased the momentum boundary layer thickness. The modified Hartmann number is the relation between electromagnetic and viscous forces; as the viscous forces declined, fluid velocity and electromagnetic force increased. Figure 10 shows the influence of micropolar parameter on micropolar distribution . The curves of micropolar distribution are enhanced due to an increment of the micropolar parameter the rotation of the fluid parameter increased and enhanced the micropolar fluid distribution. Figure 11, Figure 12 and Figure 13 indicate the influence of thermal slip (), Brownian motion (), and thermophoresis () parameters on temperature distribution (). Figure 11 connects the impact of thermal slip () on the temperature distribution (). The curves of temperature distribution () decline due to the enhancement in thermal slip (). The increment in thermal slip physically declined because the surface drag led to a decline in the production of heat amount and reduced the temperature distribution. Figure 12 communicates the impacts of Brownian motion () on the temperature distribution (). The curves of temperature distribution () show declined behavior due to the enhancement in Brownian motion (). According to Brownian motion, the nanoparticles in fluid transfer randomly. In addition to accelerating the collision between nanoparticles and fluid molecules, this random movement also converts the kinetic energy of molecules into thermal energy, which increased the temperature profile. Figure 13 indicates the influence of thermophoresis () on temperature distribution (). Increments in the thermophoresis () parameter declined the curves of temperature distribution (), causing nanofluid particles suspended in the fluid to migrate through the direction of the declining temperature of fluid. Figure 14, Figure 15 and Figure 16 indicate the influence of Brownian motion (), thermophoresis (), and Schmidt number parameters on concentration distribution (). Figure 14 indicates the influence of Brownian motion () on concentration distribution (). Increments in Brownian motion (), which declined the curves of concentration distribution (), increased curves of temperature distribution () after point of intersection. The influence of thermophoresis () on concentration distribution () is indicated in Figure 15. Increments in thermophoresis () increased the curves of concentration distribution ()because the particles increased; the concentration profile also increased, but the curves of concentration distribution reduced () after the point of intersection. Figure 16 indicates the influence of the Schmidt number on concentration distribution (). Increments in the Schmidt number caused a decline in the curves of concentration distribution () but increased curves of concentration distribution () after point of intersection.
Figure 3.
Variation of and .
Figure 4.
Variation of and .
Figure 5.
Variation of and .
Figure 6.
Variation of and .
Figure 7.
Variation of and .
Figure 8.
Variation of and .
Figure 9.
Variation of and .
Figure 10.
Variation of and .
Figure 11.
Variation of and .
Figure 12.
Variation of and .
Figure 13.
Variation of and .
Figure 14.
Variation of and .
Figure 15.
Variation of and .
Figure 16.
Description of the numerical scheme.
Table 1 indicates the effects of the Casson fluid parameter (, dimensionless parameter , buoyancy parameters , micropolar parameter , modified Hartman number , and velocity slip on skin friction () for both weak () and strong () cases of concentration. Increment in the Casson fluid parameter declined skin friction in both weak () and strong () concentration cases. Table 1 indicates the impact of the dimensionless parameters on skin friction (). The skin friction () and dimensionless parameter have the same growing behavior; physically, the distance from surface to magnetic field declines exponentially and ultimately enhances the skin friction. The impression of buoyancy force parameters on skin friction is exhibited in Table 1. The increment in is increased skin friction (); however, and skin friction () have been found to behave oppositely. The influence of the micropolar parameter on skin friction () is indicated in Table 1. Micropolar parameters () and skin friction () are found to be an increasing behavior. Rotation of fluid also increased, which, in turn, increased the friction between surface and fluid. Table 1 indicates the effects of the modified Hartman number on skin friction (); the impression shows that the modified Hartman number and skin friction () have opposite performances. The modified Hartmann number is the relation between electromagnetic and viscous forces; as the viscous forces declined, the electromagnetic force increased and skin friction declined. Table 1 indicates the effects of velocity slip on skin friction (). The impression shows that velocity slip and skin friction () have opposite performances. The velocity slip is the contact point for the ratio of fluid and surface. As the skin friction declined, the velocity slip increased. Table 2 indicates the impacts of Brownian motion (), thermophoresis (), Schmidt number , thermal slip (), Casson fluid parameter (, and micropolar parameter on the Sherwood number () and Nusselt number (). The impact of Brownian motion () on the Sherwood number () and Nusselt number (), which are presented in Table 2, show that Brownian motion () and the magnitude of the Sherwood number () have opposite performances; the Nusselt number () and Brownian motion () also have opposite performances in cases of both weak () and strong () concentration. The Sherwood number () and Nusselt number () show successively higher values in case of strong () concentration as compared to weak concentration . In addition to accelerating the collision between nanoparticles and fluid molecules, this random movement also converts molecules’ kinetic energy into thermal energy, which reduced both the Nusselt number and Sherwood number. The impact of thermophoresis () on the Sherwood number () and Nusselt number () is presented in Table 2. Thermophoresis () and the magnitude of the Sherwood number () both increase, while the Nusselt number () and thermophoresis () have opposite performances in cases of both weak () and strong () concentration. The Sherwood number () and Nusselt number () showed higher values in case of strong () concentration as compared to weak () concentration. Increments in the thermophoresis () parameter declined with the Nusselt number. Nanofluid particles suspended in the fluid migrate through the direction of decline with the Nusselt number but react oppositely with the thermophoresis parameter. The influence of the Schmidt number on the Sherwood number () and Nusselt number () is indicated in Table 2. The values of the Sherwood number () and Nusselt number () both decline due to increments in the Schmidt number The Sherwood number () and Nusselt number () show higher values in cases of strong () concentration as compared to weak () concentration. Variations in thermal slip (), Sherwood number (), and Nusselt number () are shown in Table 2. It is noted that thermal slip () and the magnitude of the Sherwood number () and Nusselt number () have opposite performance in both cases of weak () and strong () concentrations. Variations of the Casson fluid parameter ( and Sherwood number () and Nusselt number () are shown in Table 2. The Casson fluid parameter ( and the magnitude of both the Sherwood number () and Nusselt number () have opposite performance in both cases of weak () and strong () concentration as the shear-thinning is increased, which declines with the Sherwood number () and Nusselt number (). The indications of the micropolar parameter , Sherwood number () and Nusselt number () are shown in Table 2. It is noted that micropolar parameter and magnitude of both the Sherwood number () and Nusselt number () have similar increases in cases of both weak () and strong () concentration. Table 3 is provided the comparison of results with two different techniques—bvp4c and NDsolve—for different values of and while the rest of physical parameters remained fixed, which was found to be in agreement with other results. Table 4 is presented the comparison of our results with Khan and Pop [34], Wang [35], and Gorla and Sidawi [36] when the rest of the physical parameters were considered zero. Our results are in agreement with decay results.
Table 1.
Numerical results of skin friction for different values of parameters.
Table 2.
Numerical results of the Sherwood number and Nusselt number for different values of parameters.
Table 3.
Comparison of results with two different techniques (bvp4c and NDsolve) for and while the rest of physical parameters remained fixed.
Table 4.
The comparison results of Khan and Pop [34], Wang [35], and Gorla and Sidawi [36] with present analysis when the rest of the physical parameters were considered zero.
5. Final Remarks
The investigation of micropolar Casson nanofluid flow with thermal and velocity slip over vertical Riga stretching surfaces has been discussed in this study. Significant effects of physical parameters, namely the Casson fluid parameter (, dimensionless parameter , micropolar parameter , buoyancy parameters , velocity slip , Brownian motion (), thermophoresis (), Schmidt number , thermal slip (), and modified Hartman number on the fluid velocity distribution , temperature distribution (), concentration distribution (), micropolar distribution , Sherwood number (), skin friction (), and Nusselt number () are presented through graphs and tabular form. Some useful results are discussed below:
- The increment of the Casson fluid parameter ( declined with the fluid velocity; thus, thickness is reduced due to the increment of the Casson fluid parameter (;
- Fluid velocity distribution curves show increasing behavior due to increments of the micropolar parameter ;
- The reduction in curves of fluid velocity distribution is revealed due to the increment in velocity slip ;
- The curves of temperature distribution () show declining behavior due to enhancement in Brownian motion ();
- Increments in Brownian motion () led to declining curves of concentration distribution (); increased curves of concentration distribution () were found after the point of intersection;
- The curves of temperature distribution () show declining behavior due to an enhancement in Brownian motion ();
- Brownian motion () and the magnitude of the Sherwood number have opposite performances; Nusselt number and Brownian motion () also have opposite performance in cases of both weak () and strong () concentration. The Sherwood number and Nusselt number achieved higher values in cases of strong () concentration;
- Thermophoresis () and the magnitude of the Sherwood number show similar behavior; Nusselt number and thermophoresis () have opposite performances in cases of both weak () and strong () concentration. The Sherwood number and Nusselt number showed higher values in cases of strong () concentration when compared to cases of weak () concentration.
Author Contributions
N.A. wrote the manuscript under the supervision of W.S. All authors have read and agreed to the published version of the manuscript.
Funding
The authors would like to acknowledge the support of Prince Sultan University for paying the Article Processing Charges (APC) of this publication.
Institutional Review Board Statement
Not applicable.
Informed Consent Statement
Not applicable.
Data Availability Statement
The manuscript included all required data and implementing information.
Acknowledgments
We are thankful to the anonymous referees for their valuable comments, which helped us improve the paper’s quality. The authors wish to express their gratitude to Prince Sultan University for facilitating the publication of this article through the research lab Theoretical and Applied Sciences Lab.
Conflicts of Interest
The authors declare no potential conflict of interest with respect to the research, authorship, and/or publication of this article.
Nomenclature
| Casson fluid parameter | |
| Dimensionless parameter | |
| Buoyancy force parameters | |
| Micropolar parameter | |
| Modified Hartman number | |
| Velocity slip | |
| Brownian motion | |
| Thermophoresis | |
| Skin friction | |
| Nusselt number | |
| Velocity components | |
| Schimdt number | |
| Thermal slip | |
| Ambient concentration | |
| Ambient temperature | |
| Wall temperature | |
| Concentration distribution | |
| Temperature distribution | |
| Velocity distribution | |
| Sherwood number | |
| Micropolar distribution | |
| Wall concentration |
References
- Eringen, A.C. Theory of micropolar fluids. J. Math. Mech. 1966, 16, 1–18. [Google Scholar] [CrossRef]
- Eringen, A.C. Theory of thermomicrofluids. J. Math. Anal. Appl. 1972, 38, 480–496. [Google Scholar] [CrossRef]
- Ariman TT, N.D.; Turk, M.A.; Sylvester, N.D. Applications of microcontinuum fluid mechanics. Int. J. Eng. Sci. 1974, 12, 273–293. [Google Scholar] [CrossRef]
- Lukaszewicz, G. Micropolar Fluids: Theory and Applications; Springer Science & Business Media: Berlin/Heidelberg, Germany, 1999. [Google Scholar]
- Eringen, A.C. Microcontinuum Field Theories: II. Fluent Media; Springer Science & Business Media: Berlin/Heidelberg, Germany, 2001; Volume 2. [Google Scholar]
- Ahmadi, G. Self-similar solution of imcompressible micropolar boundary layer flow over a semi-infinite plate. Int. J. Eng. Sci. 1976, 14, 639–646. [Google Scholar] [CrossRef]
- Jena, S.K.; Mathur, M.N. Similarity solutions for laminar free convection flow of a thermomicropolar fluid past a non-isothermal vertical flat plate. Int. J. Eng. Sci. 1981, 19, 1431–1439. [Google Scholar] [CrossRef]
- Gorla RS, R.; Lin, P.P.; An-Jen, Y. Asymptotic boundary layer solutions for mixed convection from a vertical surface in a micropolar fluid. Int. J. Eng. Sci. 1990, 28, 525–533. [Google Scholar] [CrossRef][Green Version]
- Bhargava, R.; Kumar, L.; Takhar, H.S. Finite element solution of mixed convection micropolar flow driven by a porous stretching sheet. Int. J. Eng. Sci. 2003, 41, 2161–2178. [Google Scholar] [CrossRef]
- Hayat, T.; Nawaz, M.; Obaidat, S. Axisymmetric magnetohydrodynamic flow of micropolar fluid between unsteady stretching surfaces. Appl. Math. Mech. 2011, 32, 361–374. [Google Scholar] [CrossRef]
- Ahmad, K.; Ishak, A.; Nazar, R. Micropolar fluid flow and heat transfer over a nonlinearly stretching plate with viscous dissipation. Math. Probl. Eng. 2013, 2013, 257161. [Google Scholar] [CrossRef]
- Reddy, G.J.; Kethireddy, B.; Umavathi, J.C.; Sheremet, M.A. Heat flow visualization for unsteady Casson fluid past a vertical slender hollow cylinder. Therm. Sci. Eng. Prog. 2018, 5, 172–181. [Google Scholar] [CrossRef]
- Lund, L.A.; Omar, Z.; Khan, I. Mathematical analysis of magnetohydrodynamic (MHD) flow of micropolar nanofluid under buoyancy effects past a vertical shrinking surface: Dual solutions. Heliyon 2019, 5, e02432. [Google Scholar] [CrossRef]
- Dawar, A.; Shah, Z.; Tassaddiq, A.; Islam, S.; Kumam, P. Joule heating in magnetohydrodynamic micropolar boundary layer flow past a stretching sheet with chemical reaction and microstructural slip. Case Stud. Therm. Eng. 2021, 25, 100870. [Google Scholar] [CrossRef]
- Singh, K.; Pandey, A.K.; Kumar, M. Numerical solution of micropolar fluid flow via stretchable surface with chemical reaction and melting heat transfer using Keller-Box method. Propuls. Power Res. 2021, 10, 194–207. [Google Scholar] [CrossRef]
- Muhammad, N.; Zaman, F.D.; Mustafa, M.T. OpenFOAM for computational combustion dynamics. Eur. Phys. J. Spec. Top. 2022, 1–15. [Google Scholar] [CrossRef]
- Muhammad, N.; Nadeem, S.; Khan, U.; Sherif ES, M.; Issakhov, A. Insight into the significance of Richardson number on two-phase flow of ethylene glycol-silver nanofluid due to Cattaneo-Christov heat flux. Waves Random Complex Media 2021, 1–19. [Google Scholar] [CrossRef]
- Fuzhang, W.; Ali, S.; Nadeem, S.; Muhammad, N.; Nofal, T.A. Numerical analysis for the effects of heat transfer in modified square duct with heated obstacle inside it. Int. Commun. Heat Mass Transf. 2021, 129, 105666. [Google Scholar] [CrossRef]
- Crane, L.J. Flow past a stretching plate. Z. Angew. Math. Phys. ZAMP 1970, 21, 645–647. [Google Scholar] [CrossRef]
- Dandapat, B.S.; Gupta, A.S. Flow and heat transfer in a viscoelastic fluid over a stretching sheet. Int. J. Non-Linear Mech. 1989, 24, 215–219. [Google Scholar] [CrossRef]
- Andersson, H.I.; Hansen, O.R.; Holmedal, B. Diffusion of a chemically reactive species from a stretching sheet. Int. J. Heat Mass Transf. 1994, 37, 659–664. [Google Scholar] [CrossRef]
- Nadeem, S.; Rehman, A.; Lee, C.; Lee, J. Boundary layer flow of second grade fluid in a cylinder with heat transfer. Math. Probl. Eng. 2012, 2012, 13. [Google Scholar] [CrossRef]
- Majeed, A.; Zeeshan, A.; Alamri, S.Z.; Ellahi, R. Heat transfer analysis in ferromagnetic viscoelastic fluid flow over a stretching sheet with suction. Neural Comput. Appl. 2018, 30, 1947–1955. [Google Scholar] [CrossRef]
- Pal, D.; Das, B.C. Soret-Dufour magneto-thermal radiative convective heat and mass transfer of chemically and thermally stratified micropolar fluid over a vertical stretching/shrinking surface in a porous medium. Int. J. Comput. Methods Eng. Sci. Mech. 2021, 22, 410–424. [Google Scholar] [CrossRef]
- Muhammad, N.; Nadeem, S.; Issakhov, A. Finite volume method for mixed convection flow of Ag–ethylene glycol nanofluid flow in a cavity having thin central heater. Phys. A Stat. Mech. Its Appl. 2020, 537, 122738. [Google Scholar] [CrossRef]
- Nadeem, S.; Ahmad, S.; Muhammad, N. Analysis of ferrite nanoparticles in liquid. Pramana 2020, 94, 1–9. [Google Scholar] [CrossRef]
- Megahed, A.M.; Reddy, M.G.; Abbas, W. Modeling of MHD fluid flow over an unsteady stretching sheet with thermal radiation, variable fluid properties and heat flux. Math. Comput. Simul. 2021, 185, 583–593. [Google Scholar] [CrossRef]
- Afsar Khan, A.; Batool, R.; Kousar, N. Examining the behavior of MHD micropolar fluid over curved stretching surface based on the modified Fourier law. Sci. Iran. 2021, 28, 223–230. [Google Scholar]
- Muhammad, N.; Ullah, N. Simulation of flow on the hydroelectric power dam spillway via OpenFOAM. Eur. Phys. J. Plus 2021, 136, 1191. [Google Scholar] [CrossRef]
- Muhammad, N. Finite volume method for simulation of flowing fluid via OpenFOAM. Eur. Phys. J. Plus 2021, 136, 1010. [Google Scholar] [CrossRef]
- Tahir, H.; Khan, U.; Din, A.; Chu, Y.M.; Muhammad, N. Heat transfer in a ferromagnetic chemically reactive species. J. Thermophys. Heat Transf. 2021, 35, 402–410. [Google Scholar] [CrossRef]
- Abbas, N.; Rehman, K.U.; Shatanawi, W.; Malik, M.Y. Numerical study of heat transfer in hybrid nanofluid flow over permeable nonlinear stretching curved surface with thermal slip. Int. Commun. Heat Mass Transf. 2022, 135, 106107. [Google Scholar] [CrossRef]
- Peddieson, J., Jr. An application of the micropolar fluid model to the calculation of a turbulent shear flow. Int. J. Eng. Sci. 1972, 10, 23–32. [Google Scholar] [CrossRef]
- Khan, W.A.; Pop, I. Boundary-layer flow of a nanofluid past a stretching sheet. Int. J. Heat Mass Transf. 2010, 53, 2477–2483. [Google Scholar] [CrossRef]
- Wang, C.Y. Free convection on a vertical stretching surface. ZAMM-J. Appl. Math. Mech. Z. Angew. Math. Mech. 1989, 69, 418–420. [Google Scholar] [CrossRef]
- Reddy Gorla, R.S.; Sidawi, I. Free convection on a vertical stretching surface with suction and blowing. Appl. Sci. Res. 1994, 52, 247–257. [Google Scholar] [CrossRef]
Publisher’s Note: MDPI stays neutral with regard to jurisdictional claims in published maps and institutional affiliations. |
© 2022 by the authors. Licensee MDPI, Basel, Switzerland. This article is an open access article distributed under the terms and conditions of the Creative Commons Attribution (CC BY) license (https://creativecommons.org/licenses/by/4.0/).















