Abstract
The yeast Yarrowia lipolytica is an industrially relevant microorganism, which is able to convert low-value wastes into different high-value, bio-based products, such as enzymes, lipids, and other important metabolites. Waste cooking oil (WCO) represents one of the main streams generated in the food supply chain, especially from the domestic sector. The need to avoid its incorrect disposal makes this waste a resource for developing bioprocesses in the perspective of a circular bioeconomy. To this end, the strain Y. lipolytica W29 was used as a platform for the simultaneous production of intracellular lipids and extracellular lipases. Three different minimal media conditions with different pH controls were utilized in a small-scale (50 mL final volume) screening strategy, and the best condition was tested for an up-scaling procedure in higher volumes (800 mL) by selecting the best-performing possibility. The tested media were constituted by YNB media with high nitrogen restriction (1 g L−1 (NH4)2SO4) and different carbon sources (3% w v−1 glucose and 10% v v−1 WCO) with different levels of pH controls. Lipase production and SCO content were analyzed. A direct correlation was found between decreasing FFA availability in the media and increasing SCO levels and lipase activity. The simultaneous production of extracellular lipase (1.164 ± 0.025 U mL−1) and intracellular single-cell oil accumulation by Y. lipolytica W29 growing on WCO demonstrates the potential and the industrial relevance of this biorefinery model.
1. Introduction
In the latest years, studies related to the use of waste products as alternative raw materials for the development of innovative and sustainable processes applied to the production of commodities and products with high values have increased due to the growth of the global population and the over-exploitation of available resources [1]. Organic waste products are strategic alternatives to fossil resources due to their high availability and constant worldwide production. Due to their high availability and low cost, lipidic wastes, such as waste cooking oils (WCOs), are of great interest for the production of biofuels, such as hydrotreated vegetable oils (HVOs) and fatty acid methyl esters (FAMEs) [2]. However, these products need to have a low price on the market to be competitive with fossil fuels, reducing the possibility to create revenue for the entire value chain, as well as to increment the collection of this waste. In fact, a high loss of WCO is present along the value chain, both at the industrial and domestic levels. WCO is often wrongly disposed of in public sewage systems, where it can create fat, oil, and grease (FOG) deposits upon interacting with wastewater components, also known as “fatbergs”, which can clog the sewage system, increasing maintenance costs for municipalities and introducing pollutants and pathogens into the environment [3]. Recently, several WCO-based platforms for biofuel production have been studied using oleaginous microorganisms [4,5], which are able to accumulate lipids in the form of triglycerides, also known as single-cell oils (SCOs) [6]. SCOs can find applications in the biofuel industry for the production of different biofuel products, such as FAMEs and HVOs [7]. There are different species of oleaginous microorganisms, ranging from microalgae, bacteria, fungi, and yeasts [8]. The latter represent interesting microbial factories due to their ability to rapidly grow and to use a wide variety of raw materials [5].
Yarrowia lipolytica is an oleaginous, nonconventional yeast that can be widely found in nature. It is considered the model organism for this class of microorganisms due to its unique physiological features [9]. Most strains of this species are grown at temperatures up to 32 °C with strict aerobic metabolism. This yeast is able to grow on unconventional carbon sources and conditions, which has increased its interest, as well as recently developed molecular tools for its efficient genetic manipulation [10,11]. Y. lipolytica can convert hydrophobic substrates into SCO through the ex novo synthesis pathway, which allows the biomodification of fats and oils by metabolic pathways and the further production of microbial lipids [12,13]. Lipid accumulation was reported to be triggered by nitrogen source limitation and the accumulation of the carbon source [14]. Moreover, several reports have shown the conversion of different hydrophobic substrates into SCOs, enzymes, and organic acids [7,15,16]. Due to the ability to accumulate up to 50% of the cell dry weight in SCO and the ability to produce extracellular enzymes, Y. lipolytica has been used both in academia and in industrial processes for biorefinery models [17]. In order to grow on hydrophobic media, the yeast is able to release lipases that hydrolyze triglycerides that are present in the media and use the released free fatty acids as a carbon source. Lipases (EC 3.1.1.3) are hydrolytic enzymes that are classified in the serine hydrolase family and are able to hydrolyze triglycerides into diacylglycerols, monoacylglycerols, free fatty acids, and glycerol. Most lipases contain an extra domain, also known as a “lid”, which allows the so-called “interfacial activation”, where lipases are able to adsorb on the water–oil interface, increasing their activity [18]. This activity has been used in different applications to increase the degradation of hydrophobic substances and to depolymerize polyesters [19]. On the other hand, lipases have been also used in anhydrous media to perform esterification and transesterification reactions. Due to the high substrate promiscuity of these biocatalysts and their ability to find use in different applications, their interest has widely increased on the market.
Y. lipolytica has been reported to produce mainly three lipases, named Lip2, Lip7, and Lip8. All three enzymes are reported to be secreted extracellularly [20]. In particular, Lip7 and Lip8 are anchored on the membrane, while Lip2 is released in the medium and shows the highest activity. For this reason, Lip2 is the most-studied lipase among all characterized from the yeast Y. lipolytica. Many studies have reported that WCO can act as an inducer for lipase production [21]. Moreover, it was shown that pH plays an important role in the expression and secretion of extracellular lipases in media containing WCO [16]. Recently, Y. lipolytica was reported to be able to tolerate high concentrations of WCO (up to 20% v v−1) for its growth, production of lipases, and ability to produce SCO [22,23]. Lipase production from Y. lipolytica grown on hydrophobic substrates, such as WCO, has thoroughly been studied. Many reports have focused on a one-product production process, i.e., SCO, lipase, or organic acid production, not considering the development of a biorefinery model for the production of different high-value products to better exploit a specific feedstock. Hence, in the present study, high concentrations of WCO are used in a Y. lipolytica platform to produce both extracellular lipases and intracellular SCO, both for small-scale and up-scale batch cultures. The analysis of the extracellular lipases is performed spectrophotometrically at 405 nm on the model substrate para-nitrophenyl laurate, as well as chromatographically through high-performance liquid chromatography (HPLC) to detect the released free fatty acids by lipases as esters of 2-bromoacetophenone. The analysis of the intracellular SCO is performed with flow cytometry using 9-diethylamino-5H-benzo[a]phenoxazine-5-one (Nile red).
2. Materials and Methods
2.1. Chemicals and Reagents
All the chemicals and reagents used in this study were of analytical grade. Nile red, buffer components, p-nitrophenol and p-nitrophenyl laureate, dimethyl sulfoxide (DMSO), Tween® 80, Triton X-100, ethyl acetate, methanol, and acetonitrile for high-performance liquid chromatography (HPLC) were purchased from Sigma-Aldrich (Darmstadt, Germany). WCO was kindly provided by Greenoil s.r.l. (Putignano, Italy).
2.2. Strains, Media, and Growth Conditions
The Yarrowia lipolytica W29 (ATCC20460) strain was used in this work and was maintained at 4 °C, as previously described [22]. For the pre-culturing of the seed cells, a single colony was collected from a plate, inoculated in a 50 mL Erlenmeyer flask containing 20 mL YPD medium (10 g L−1 yeast extract, 20 g L−1 peptone, and 20 g L−1 glucose), and then incubated, as previously described [23]. The nutrient medium used for the cultures was yeast nitrogen base (YNB) at a concentration of 1.7 g L−1 without amino acids, with 1 g L−1 of (NH4)2SO4. To investigate the effects of pH on SCO and lipase production, three different conditions were tested: YNB at an initial pH of 4.5 without control (condition A), YNB at an initial pH of 7 adjusted using 5 M KOH (condition B), and YNB in 0.4 M Tris-HCl buffer at a final pH of 7.2 (condition C). Glucose or WCO was used as the carbon source at a working concentration of 3% w v−1 or 10% v v−1, respectively. The two carbon sources were separately added to the media. When WCO was used as the carbon source, the detergent Tween® 80 was supplemented to the nutrient medium at a concentration of 1% v v−1 as a surfactant to improve fatty acid emulsion. The media were sterilized for 15 min at 121 °C. Small-scale batch cultivations of Y. lipolytica W29 were performed at 29 °C and 180 rpm in 100 mL Erlenmeyer flasks with working volumes of 50 mL each in YNB medium containing either 3% w v−1 glucose or 10% v v−1 WCO as a carbon source, investigating the three different pH conditions. An analysis of the pH during the time course was carried out to identify specific changes. A time course of 216 h was performed.
For scale-up purposes, batch cultivation was performed in a 2 L flask with 800 mL YNB in 0.4 M Tris-HCl buffer at pH 7.2 and 10% v v−1 WCO supplemented with 1% v v−1 Tween® 80 and 1 g L−1 (NH4)2SO4. The culture was carried out for 336 h at 29 °C and 180 rpm.
For both small- and large-scale batch cultivation, media were inoculated using aliquots of preculture of the seed cells after overnight incubation with an initial OD600 of 0.1. Before the inoculum, the cells were centrifuged for 5 min at 4000× g and washed with a saline solution containing 0.9% w v−1 NaCl. At appropriate time intervals, 1 mL aliquots from Y. lipolytica W29 cultures were collected and centrifuged at 4000× g for 5 min. The pellets were washed with a solution containing 100 mM NaH2PO4 buffer at pH 7 for the removal of residual oil and free fatty acids. The suspension was centrifuged again under the same conditions, and the pellet was then diluted with 1 mL ddH2O for the determination of cell growth, as previously described [23], and for cell dry weight (CDW) determination after freeze-drying using a FreeZone freeze dryer (Labconco, Kansas City, MO, USA).
2.3. Lipase Assay
Extracellular lipase activity was tested using p-nitrophenyl laurate as a substrate at different time intervals with aliquots of culture supernatants using a 96-well microplate spectrophotometric method, as previously described [23,24].
2.4. Flow Cytometry Analysis
Cell-counting and single-cell oil (SCO) production were analyzed with an Attune™ NxT Acoustic Focusing Cytometer (Thermo Fisher, Waltham MA, USA). Cell-counting was performed using three different dilutions (1:50, 1:100, and 1:250) of cells from the cultures after washing as reported above. The n° of events/µL was obtained from an SSC-FSC dot plot and then corrected for the dilution factor. Nile red (NR), or 9-diethylamino-5H-benzo[a]phenoxazine-5-one, a fluorescent dye, was used for the detection of intracellular lipids, as previously described [22,25].
2.5. Analysis of Extracellular Free Fatty Acids
Released free fatty acids in the supernatant of the culture were analyzed at different time points by extracting 1 mL supernatant aliquots with ethyl acetate [26]. The organic phase was separated, and an aliquot of 10 µL was collected and evaporated until further analysis. The mixture was then esterified as previously described, with minor modifications [27]. Briefly, ca. 0.1 mg of mixture was reacted with 25 µL 10 mg mL−1 2-bromoacetophenone in acetone and with 25 µL 10 mg mL−1 triethylamine in acetone at 100 °C for 15 min. A volume of 3.5 µL acetic acid was added to the reaction at 100 °C for 5 min. The mixture was evaporated over N2 at room temperature, and 1 mL of 85% acetonitrile was used to resuspend the dried mixture.
The samples were then analyzed with an HPLC system as previously described [28]. Separation was carried out at 30 °C using 75% acetonitrile (solvent A) and 85% acetonitrile (solvent B) at a flow rate of 1 mL min−1. Solvent A was held at 100% for 18 min; then, a linear gradient profile started reaching 100% for solvent B in 2 min and was kept constant for 5 min. The initial condition was then restored in 2 min and kept constant for 10 min. Detection was performed with a Waters 2996 UV detector set at 242 nm.
3. Results and Discussion
3.1. Small-Scale Batch Cultures
3.1.1. Cell Growth
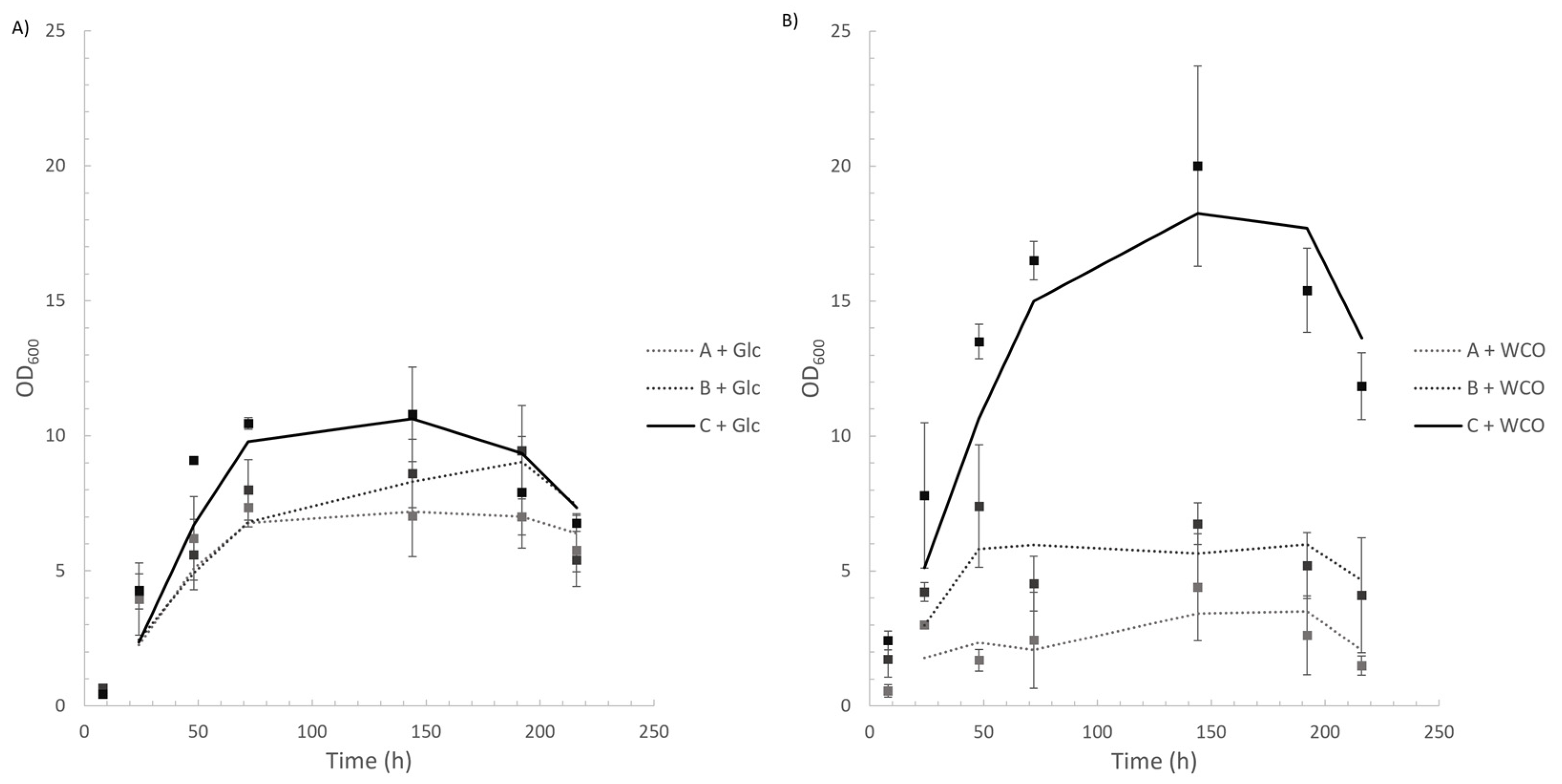
The effect of pH on Y. lipolytica W29 growth and metabolism was investigated in small-scale batch cultures using three conditions with different pH controls (A: YNB at an initial pH of 4.5 without a control; B: YNB at an initial pH of 7; and C: YNB in 0.4 M Tris-HCl buffer at a pH of 7.2) and two different carbon sources (either 3% w v−1 glucose or 10% v v−1 WCO containing 1% v v−1 Tween® 80) with restriction of the nitrogen source using (NH4)2SO4 1 g L−1. The exponential phase was approximately 48–72 h for all the tested conditions. The A and B conditions with glucose-supplemented media were characterized by higher OD600 values than the same media containing WCO. For condition C, best performance in terms of growth was shown in WCO-supplemented medium, reaching higher OD600 values compared to the conditions containing glucose (Figure 1). Kuttiraja et al. (2017) showed that pH modified the surface properties of the cell membranes of Y. lipolytica SKY7 cells and, thus, affected the microbial assimilation of carbon sources [29]. The results of this study showed that the optimal growth of Y. lipolytica W29 cells occurred in the buffered media (condition C) for both carbon sources, showing a significant improvement in the presence of WCO. Several studies have highlighted that Y. lipolytica growth is associated with the production and secretion of high amounts of organic acids, especially citric acid, in media, causing its acidification during the early stage of the culture [30,31]. Therefore, Tris-HCl buffer (condition C) was able, on the one hand, to neutralize the strong acidification of the media (while the conditions A and B reached pH values of 2 after 48 h in the presence of either glucose or WCO (Figure S1)) and, on the other, to ensure a better growth performance.
Figure 1.
Small-scale batch cultures: optical density (OD600) measurements. Conditions A, B, and C were tested in the presence of 3% w v−1 glucose (Panel (A)) or 10% v v−1 WCO (Panel (B)) for 216 h. Data are mean values of three different measurements, and bars represent standard deviations.
3.1.2. Lipase Activity Assay
Y. lipolytica W29 extracellular lipase activity was investigated in small-scale batch cultures during the time course of 216 h, depending on pH values (conditions A, B, and C, as described in Section 2.2) and carbon source (either 3% w v−1 glucose or 10% v v−1 WCO containing 1% v v−1 Tween® 80) with nitrogen source restriction (1 g L−1 (NH4)2SO4).
Lipase activity was not detected for all the tested conditions when Y. lipolytica W29 grew in glucose, suggesting a lack of induction by extracellular components, rather than a pH control for lipase expression (Figure 2). The mechanism of extracellular lipase production in microorganisms has been well-documented [20,32,33,34]. Reported mechanisms have suggested the use of free fatty acids, especially oleic acid, as lipase inducers. In particular, for Y. lipolytica strains, oleic acid was previously shown to have the ability to freely diffuse through the cell wall at concentrations higher than 10 µM and to act as a signal molecule for the promoter of the lipase Lip2 [17].
Figure 2.
Lipase activity over time for small-scale cultures during 216 h containing either glucose or WCO as a carbon source. Data are mean values of three different measurements, and bars represent standard deviations.
When WCO was used as a carbon source, the lipase activity increased (Figure 2). Specifically, among the tested conditions, the media containing Tris-HCl buffer at pH 7.2 showed the highest activity, reaching a peak of 0.633 ± 0.015 U mL−1 at 72 h. The value was constant until 144 h and then decreased until the end of the culture, reaching values similar to the starting values. On the other hand, conditions A and B containing WCO showed volumetric activities that were drastically lower compared to condition C, reaching values as high as 0.1 U mL−1.
These results were in line with the Y. lipolytica W29 optical density measurements, in which an improvement in biomass production was obtained until 72 h only for condition C (Figure 1). These findings are also supported by previous reports that have shown a direct correlation between cell biomass and extracellular lipase production [35,36].
These results follow a previous report where lower concentrations of WCO were used for lipase production and volumetric activity measurements, namely up to 5% v v−1 [37]. In this study, high concentrations of WCO up to 10% v v−1 were used, which improved lipase production, especially at a controlled pH of 7.2.
3.1.3. Flow Cytometry of Y. lipolytica W29 Cells
In order to understand the intracellular adaptation of Y. lipolytica W29 cells at the tested conditions during growth and lipase production, the yeast cells were monitored during cultivation on either glucose or WCO in the three different tested conditions (A, B, and C) for their lipid content through flow cytometry. The intensity of fluorescence associated with Nile-red-stained cells is correlated with the degree of cell lipid assimilation and the lipid accumulation [25]. The fluorescence is detected both at 695 ± 40 nm (BL-3) and at 574 ± 26 nm (BL-2). Specifically, red fluorescence (BL-3) is associated with polar lipids, such as phospholipids, while the orange fluorescence (BL-2) is associated with neutral lipids, such as triacylglycerols (TAGs). In all the investigated conditions, the red fluorescence (BL-3) showed lower values compared to the orange fluorescence (BL-2) (Figure 3). Overall, the values of BL-3 for each condition did not significantly change over time, showing that the phospholipid amounts compared to TAGs were similar for cells grown on glucose and WCO. Therefore, the analysis of the orange fluorescence (BL-2) was used to identify the lipid assimilation and accumulation processes. Specifically, in the presence of glucose as a carbon source (Figure 3A), the BL-2 value exponentially increased for condition A, reaching at 144 h the highest value of the three tested conditions. For condition B, only a subpopulation of yeast cells after 72 h showed increased BL-2 values until 144 h. Condition C showed, overall, the lowest BL-2 value of the three conditions.

Figure 3.
Nile red fluorescence intensities (BL-2 and BL-3) of yeast cells over time for small-scale cultures ((A): YNB at initial pH 4.5, (B): YNB at initial pH 7, and C: YNB in 0.4 M Tris-HCl buffer at final pH 7.2). Glc: 3% w v−1 glucose; WCO: 10% v v−1 waste cooking oil with 1% v v−1 Tween® 80. All media are presented with addition of 1 g L−1 (NH4)2SO4 as nitrogen source and were grown in 100 mL flasks in a final volume of 50 mL of liquid media for 216 h at 29 °C and 180 rpm.
Y. lipolytica is an oleaginous yeast, which is able to accumulate high amounts of lipids while growing on different substrates. When the cells are grown on hydrophilic carbon sources, such as glucose, in the presence of limitation of the nitrogen source, Y. lipolytica accumulates acetyl-CoA, which is used as a precursor for fatty acid biosynthesis [38]. This pathway, known as de novo synthesis, typically occurs during the stationary growth phase when a medium component is depleted. Our results on media containing glucose showed that the highest BL-2 values occurred during the stationary phase in cultures containing an initial pH of 4.5 that did not have a pH control. These results are in accordance with a previous investigation of pH effects on lipid production by Rhodosporidium toruloides, which found that the highest lipid amount was reached at pH 4.0 [39].
On the other hand, when Y. lipolytica W29 cultures were grown with WCO as a carbon source, lower BL-2 values were detected compared to media supplemented with glucose at conditions A and B (Figure 3B). In particular, condition A showed the highest BL-2 value at 48 h, which then decreased and was constant throughout the culture. A similar trend was shown for condition C. Condition B showed an exponential increase of BL-2 value until 144 h.
Hydrophobic substrates, such as triglycerides, are used by Y. lipolytica after their initial hydrolysis to free fatty acids and are carried inside the cells, where they are converted through the ex novo synthesis pathway into short-chain acyl-CoAs and acetyl-CoA via β-oxidation, which are used both for the synthesis of new cellular material, including lipids that accumulate as single-cell oils (SCOs), and for cell energy. This pathway is associated with growth, and it is independent from the nitrogen concentration in the nutrient medium [40].
Moreover, a correlation could be shown with lipase production, Y. lipolytica W29 growth, and SCO consumption. In fact, for condition C with WCO, we observed that lipase production was induced already at the beginning of the culture, which was followed by cell growth. Interestingly, until 48 h, the Nile red intensity showed a higher value, which then decreased at 72 h when the culture and lipase activity were at their maximum level. It could be assumed that, after 144 h, lipase activity was reduced due to the use of SCO, which was constantly used by the cells, as shown by the Nile red BL-2 fluorescence intensity.
3.2. Up-Scale Batch Cultures
In order to validate the Y. lipolytica platform using high concentrations of WCO, condition C was used for scale-up cultures to test growth, lipase production, FFA release, and lipid content.
3.2.1. Cell Growth, Lipase Assay, and FFA Determination
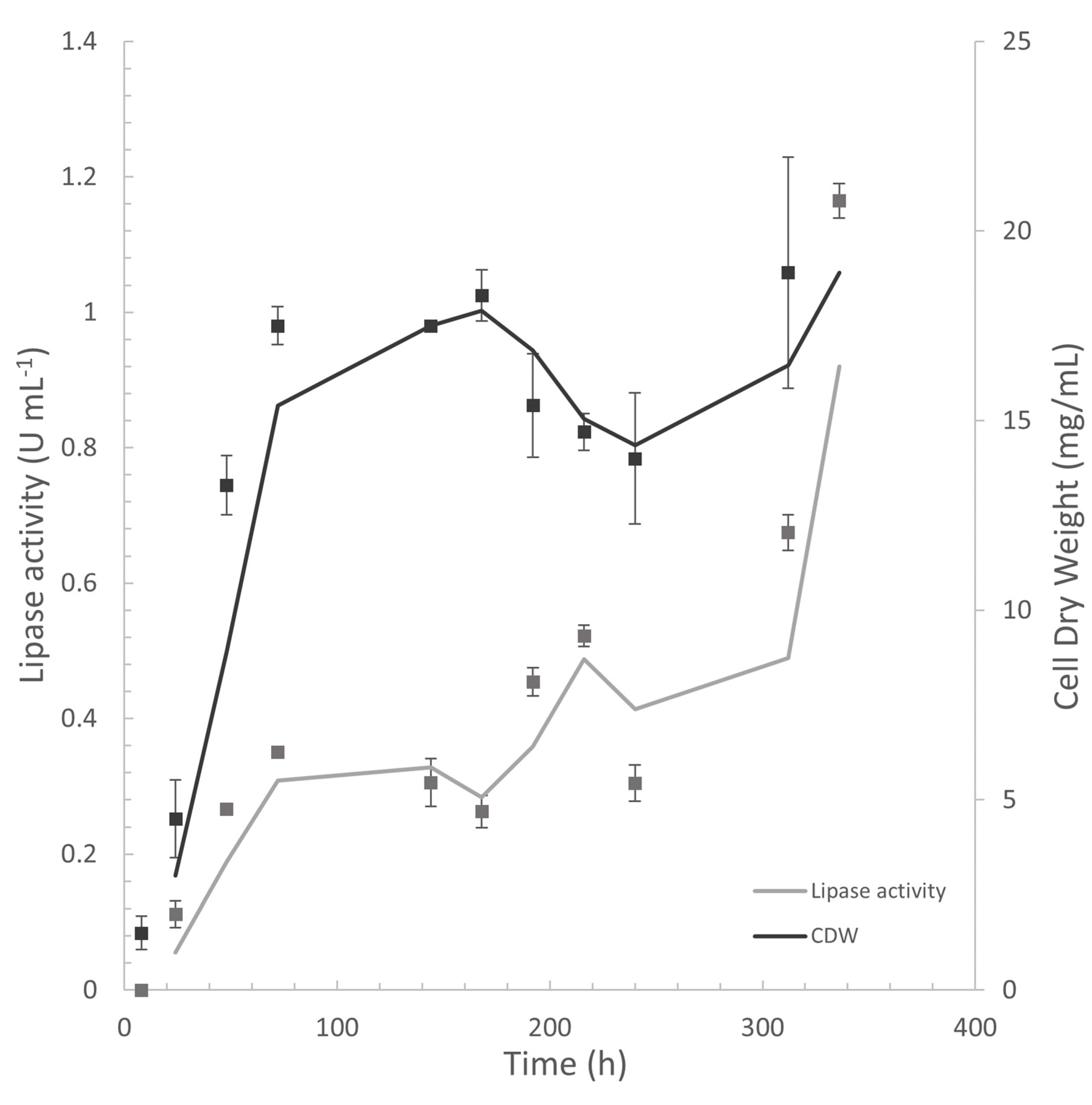
The Y. lipolytica W29 cell system was characterized in terms of cell dry weight measurement, as well as extracellular lipase activity, for 336 h cultures supplemented with 10% v v−1 WCO, 1% v v−1 Tween® 80, and 1 g L−1 (NH4)2SO4 (Figure 4).
Figure 4.
Lipase activity data and growth data for up-scale batch cultures of Y. lipolytica W29 cells grown in condition C media supplemented with 10% v v−1 waste cooking oil. Data are mean values of three different measurements, and bars represent standard deviations.
Up-scaled Y. lipolytica W29 cultures showed an exponential growth phase of about 72 h and different lipase activity phases.
During the first 150 h, the highest lipase activity (0.351 ± 0.003 U mL−1) was recorded at 72 h, while between 150 and 250 h, an increase in the activity to 0.522 ± 0.016 U/mL was reached at 216 h. After 250 h, another increase to 1.164 ± 0.025 U mL−1 was recorded at a later time point of 336 h, which indicated that lipase activity could potentially reach higher levels at longer times.
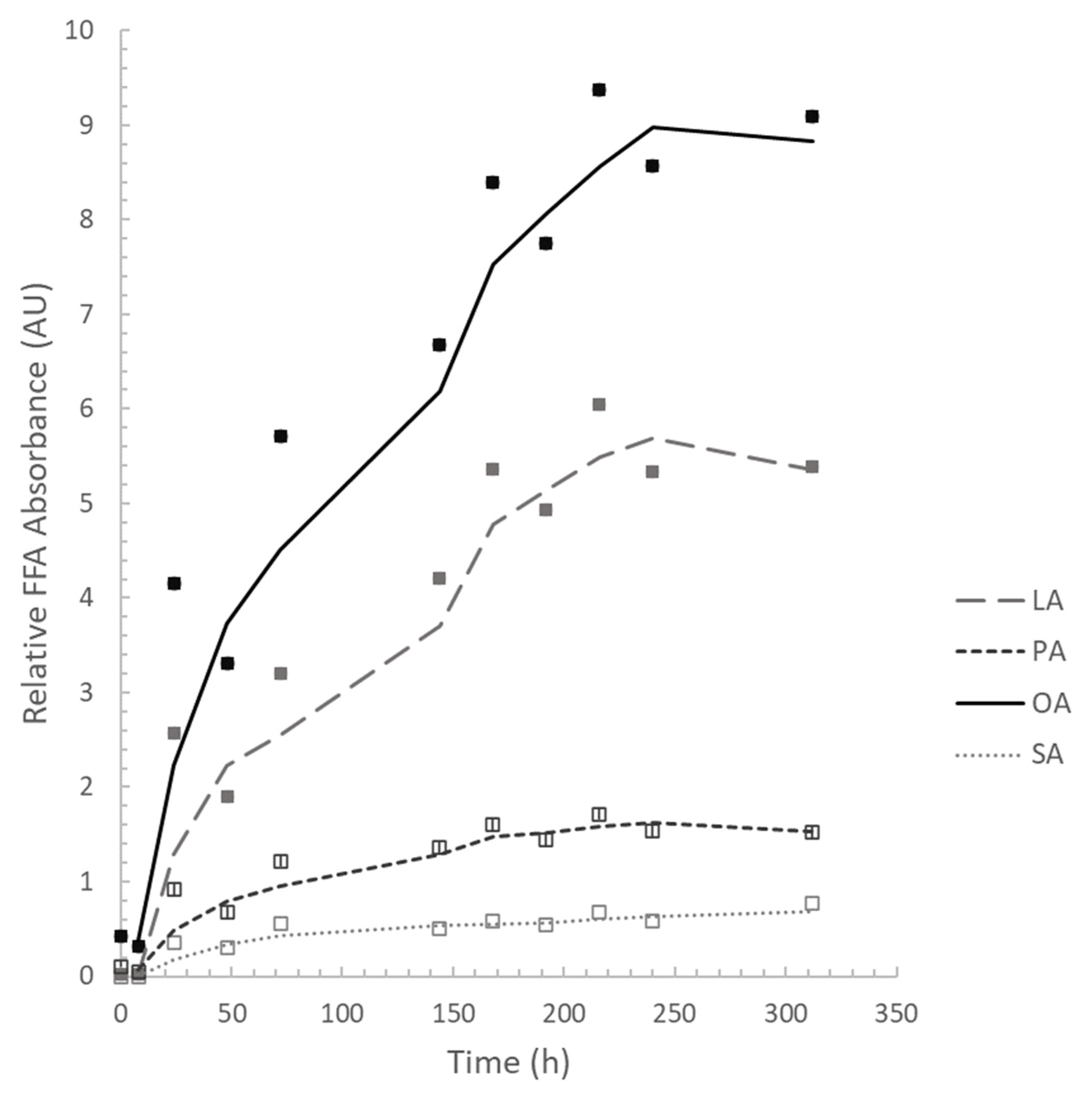
Furthermore, at the same time points, the levels of free fatty acids (FFAs) released from the WCO by lipase activation were tested (Figure 5). The HPLC analysis showed an increase in FFAs correlated with increased extracellular lipase activity due to the induction of lipase production [20], suggesting a lipase-mediated release of FFAs from WCO.
Figure 5.
HPLC analysis of released FFAs from scale-up cultures. Relative absorbance of released FFAs using heptadecanoic acid as internal standard (final concentration 1 mM). LA: linoleic acid; OA: oleic acid; SA: stearic acid; PA: palmitic acid. Data represent a representative experiment (from three independent experiments) performed in a single run.
The medium composition showed increased contents in oleic and linoleic acid compared to palmitic and stearic acid. In accordance with extracellular lipase activity and cell dry weight, these results suggested an inhibitory effect on lipase production by the extracellular release of FFAs and their partial consumption for cell growth, as shown by different rates of FFA kinetic release.
3.2.2. Online Flow Cytometry Analysis
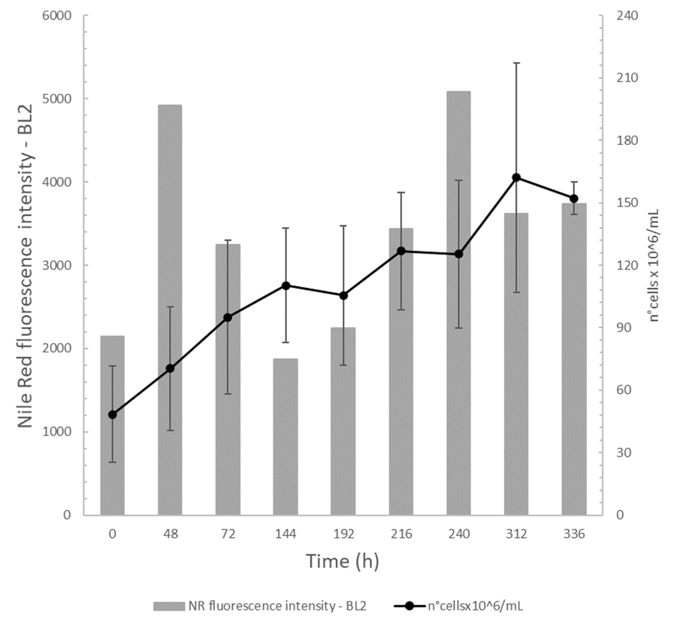
Volumetric absolute cell counting to assess the n° cells × 106/mL and the intracellular Y. lipolytica W29 lipid content profile was monitored in a 2 L unbaffled flask with 800 mL YNB in 0.4 M Tris-HCl buffer at pH 7.2 supplemented with 10% v v−1 WCO (Figure 6). During the first 72 h, a peak in the fluorescence intensity was recorded due to the accumulation of lipids inside the cells. This phase was growth-associated, as shown by the increase in the n° cells × 106/mL, confirming the cell dry weight data. After 72 h, the intracellular lipid content decreased until 144 h, showing that Y. lipolytica W29 used intracellular lipids for its growth and metabolism. After 144 h, the starting of the metabolism for lipid accumulation through the de novo synthesis pathway until 240 h was recorded, followed by a second exponential growth phase, showing an increase in the n° cells × 106/mL and a reduction in fluorescence intensity due to the consumption of lipids.
Figure 6.
Combination chart of number of cells × 106/mL (line) and Nile red fluorescence intensity (BL-2) (bars) of yeast cells for up-scale batch cultures. For the determination of the number of cells × 106/mL, data are mean values of three different measurements, and bars represent standard deviations, while for Nile red fluorescence intensity, data represent a representative experiment (from three independent experiments) performed in a single run.
As shown by several studies, lipid accumulation depends on the initial WCO concentration [16,41]. Lopes et al. (2019), showed that strain W29 reached the maximal accumulation of SCO with 3% w v−1 WCO, whereas, in our previous study, it was demonstrated that the lipid accumulation increased with increasing WCO concentrations up to an optimal WCO initial concentration for lipid accumulation of 10% v v−1 [22]. Moreover, the results showed that TAGs were the predominant lipid type with respect to phospholipids, in accordance with the flow cytometry analysis carried out in rich medium [22]. It is, therefore, important to optimize the carbon availability in the medium to maximize the SCO production from WCO.
Furthermore, for extracellular lipases, a correlation was also observed between the release of extracellular FFAs and intracellular lipid accumulation in the form of SCO. Coincidentally, with the FFA content in the medium and lipase activity, different phases in SCO content were observed. As abovementioned, the secretion of extracellular lipases modified the different compositions of extracellular FFAs that were appreciable during the time course. The first 48 h of growth were characterized by extracellular lipase activity increase, intracellular SCO accumulation, and extracellular FFA increase. Between 48 and 72 h, although lipase activity constantly increased, decreases in SCO accumulation and in extracellular FFA exponential accumulation were observed. Considering these results, the analysis of each FFA percentage of the total FFAs showed increases in oleic acid, stearic acid, and palmitic acid and a decrease in linoleic acid during the same times (Table 1), suggesting a key role of extracellular linoleic acid in SCO consumption and extracellular lipase secretion. These results confirmed linoleic acid’s effect as an inducer of extracellular lipase synthesis [42]. At longer time points, the FFA composition remained stable over time in an equilibrium and lipase activity and SCO accumulation increased, whilst the exponential accumulation of extracellular FFAs decreased, suggesting their consumption and transport inside the cell.
Table 1.
FFA percentages of total FFAs measured in the media at different time points.
Comprehensively, these results proved that higher working volumes under appropriate pH control and nitrogen starvation can have a beneficial effect on lipase production, as well as SCO formation, by Y. lipolytica W29 cells.
4. Conclusions
In summary, this work further validated the use of high quantities of WCO as a valorizable raw material to generate added-value products such as lipases and SCOs utilizing Y. lipolytica W29 as the workhorse in a biorefinery approach. To implement this approach, three different minimal media conditions were utilized in a small-scale (50 mL final volume) screening strategy to allow for an up-scaling procedure in higher volumes (800 mL) by selecting the best-performing conditions. The tested media were constituted by YNB media with high nitrogen deprivation (1 g L−1 (NH4)2SO4) and different carbon sources (3% w v−1 glucose and 10% v v−1 WCO) with different levels of pH controls. The lipase production and SCO content were analyzed during the course of the cultivations and, based on the obtained results, the best medium among the tested ones, producing lipase activity of 0.633 ± 0.015 U/mL after 72 h of culture, was selected. The selected medium, constituted by YNB prepared in 0.4 M Tris-HCl at pH 7.2 and 10% v v−1 WCO, was inoculated with the same strain and cultivated over a time course of 312 h, during which it could produce high levels of SCOs and lipase activity. A direct correlation was found between decreasing FFA availability in the media and increasing SCO levels and enzyme activity, which had a peak of 0.675 ± 0.026 U/mL, suggesting the feasibility of the approach. Moreover, at longer time periods, the lipase activity reached even higher levels, and biomass showed a growing trend, hinting at the possibility of a more productive process in longer runs, both in terms of enzyme production and lipid-rich biomass.
Supplementary Materials
The following supporting information can be downloaded at: https://www.mdpi.com/article/10.3390/en15145217/s1, Figure S1: Analysis of pH change of small-scale cultures during time-course culture.
Author Contributions
Conceptualization: M.C., C.C., A.B. and I.P.; methodology: M.C., C.C., A.B. and I.P.; writing—original draft preparation: M.C., C.C., A.B. and I.P.; funding acquisition: G.A., A.B. and I.P.; review and editing: M.C., C.C., G.A., A.B. and I.P. All authors have read and agreed to the published version of the manuscript.
Funding
The project received funding from the European Union Horizon 2020 research and innovation program under the Marie Sklodowska-Curie grant agreement (No 101031186). This work also financially supported by the Ministero dell’Universitá e della Ricerca (MUR) through the PRIN project REPLAY grant (number 2020SBNHLH_003). The authors gratefully acknowledge the financial support from the Interuniversity Consortium for Biotechnology (CIB), Italy, and from the Italian National Agency for New Technologies, Energy, and Sustainable Economic Development’s (ENEA’s) Division of Bioenergy, Biorefinery, and Green Chemistry (C.R. Trisaia).
Data Availability Statement
Data are available upon request.
Conflicts of Interest
The authors declare no conflict of interest.
References
- Madzak, C. Yarrowia lipolytica Strains and Their Biotechnological Applications: How Natural Biodiversity and Metabolic Engineering Could Contribute to Cell Factories Improvement. J. Fungi 2021, 7, 548. [Google Scholar] [CrossRef]
- Srinivasan, G.R.; Jambulingam, R. Comprehensive Study on Biodiesel Produced from Waste Animal Fats—A Review. J. Environ. Sci. Technol. 2018, 11, 157–166. [Google Scholar] [CrossRef] [Green Version]
- Usman, M.; Zha, L.; Abomohra, A.E.F.; Li, X.; Zhang, C.; Salama, E.S. Evaluation of Animal- and Plant-Based Lipidic Waste in Anaerobic Digestion: Kinetics of Long-Chain Fatty Acids Degradation. Crit. Rev. Biotechnol. 2020, 40, 733–749. [Google Scholar] [CrossRef]
- Dahiya, S.; Kumar, A.N.; Shanthi Sravan, J.; Chatterjee, S.; Sarkar, O.; Mohan, S.V. Food Waste Biorefinery: Sustainable Strategy for Circular Bioeconomy. Bioresour. Technol. 2018, 248, 2–12. [Google Scholar] [CrossRef]
- Caporusso, A.; Capece, A.; de Bari, I. Oleaginous Yeasts as Cell Factories for the Sustainable Production of Microbial Lipids by the Valorization of Agri-Food Wastes. Fermentation 2021, 7, 50. [Google Scholar] [CrossRef]
- Ochsenreither, K.; Glück, C.; Stressler, T.; Fischer, L.; Syldatk, C. Production Strategies and Applications of Microbial Single Cell Oils. Front. Microbiol. 2016, 7, 1539. [Google Scholar] [CrossRef] [Green Version]
- Radha, P.; Narayanan, S.; Chaudhuri, A.; Anjum, S.; Thomas, D.L.; Pandey, R.; Ramani, K. Synthesis of Single-Cell Oil by Yarrowia lipolytica MTCC 9520 Utilizing Slaughterhouse Lipid Waste for Biodiesel Production. Biomass Convers. Biorefinery 2020, 1–12. [Google Scholar] [CrossRef]
- Patel, A.; Karageorgou, D.; Rova, E.; Katapodis, P.; Rova, U.; Christakopoulos, P.; Matsakas, L. An Overview of Potential Oleaginous Microorganisms and Their Role in Biodiesel and Omega-3 Fatty Acid-Based Industries. Microorganisms 2020, 8, 434. [Google Scholar] [CrossRef] [Green Version]
- Beopoulos, A.; Chardot, T.; Nicaud, J.M. Yarrowia lipolytica: A Model and a Tool to Understand the Mechanisms Implicated in Lipid Accumulation. Biochimie 2009, 91, 692–696. [Google Scholar] [CrossRef]
- Nicaud, J.M. Yarrowia lipolytica. Yeast 2012, 29, 409–418. [Google Scholar] [CrossRef]
- Larroude, M.; Rossignol, T.; Nicaud, J.M.; Ledesma-Amaro, R. Synthetic Biology Tools for Engineering Yarrowia lipolytica. Biotechnol. Adv. 2018, 36, 2150–2164. [Google Scholar] [CrossRef]
- Donot, F.; Fontana, A.; Baccou, J.C.; Strub, C.; Schorr-Galindo, S. Single Cell Oils (SCOs) from Oleaginous Yeasts and Moulds: Production and Genetics. Biomass Bioenergy 2014, 68, 135–150. [Google Scholar] [CrossRef]
- Papanikolaou, S.; Aggelis, G. Lipids of Oleaginous Yeasts. Part I: Biochemistry of Single Cell Oil Production. Eur. J. Lipid Sci. Technol. 2011, 113, 1031–1051. [Google Scholar] [CrossRef]
- Sauer, M.; Porro, D.; Mattanovich, D.; Branduardi, P. Microbial Production of Organic Acids: Expanding the Markets. Trends Biotechnol. 2008, 26, 100–108. [Google Scholar] [CrossRef]
- Lopes, M.; Miranda, S.M.; Belo, I. Microbial Valorization of Waste Cooking Oils for Valuable Compounds Production—A Review. Crit. Rev. Environ. Sci. Technol. 2019, 50, 2583–2616. [Google Scholar] [CrossRef]
- Lopes, M.; Miranda, S.M.; Alves, J.M.; Pereira, A.S.; Belo, I. Waste Cooking Oils as Feedstock for Lipase and Lipid-Rich Biomass Production. Eur. J. Lipid Sci. Technol. 2019, 121, 1800188. [Google Scholar] [CrossRef] [Green Version]
- Beopoulos, A.; Cescut, J.; Haddouche, R.; Uribelarrea, J.L.; Molina-Jouve, C.; Nicaud, J.M. Yarrowia lipolytica as a Model for Bio-Oil Production. Prog. Lipid Res. 2009, 48, 375–387. [Google Scholar] [CrossRef]
- Verger, R. ‘Interfacial Activation’ of Lipases: Facts and Artifacts. Trends Biotechnol. 1997, 15, 32–38. [Google Scholar] [CrossRef]
- Biundo, A.; Ribitsch, D.; Guebitz, G.M. Surface Engineering of Polyester-Degrading Enzymes to Improve Efficiency and Tune Specificity. Appl. Microbiol. Biotechnol. 2018, 102, 3551–3559. [Google Scholar] [CrossRef]
- Fickers, P.; Marty, A.; Nicaud, J.M. The Lipases from Yarrowia lipolytica: Genetics, Production, Regulation, Biochemical Characterization and Biotechnological Applications. Biotechnol. Adv. 2011, 29, 632–644. [Google Scholar] [CrossRef]
- Çağatay, Ş.; Aksu, Z. Use of Different Kinds of Wastes for Lipase Production: Inductive Effect of Waste Cooking Oil on Activity. J. Biosci. Bioeng. 2021, 132, 234–240. [Google Scholar] [CrossRef]
- Ciliberti, C.; Biundo, A.; Colacicco, M.; Agrimi, G.; Pisano, I. Physiological characterization of Yarrowia lipolytica cultures grown on alternative carbon sources to develop microbial platforms for waste cooking oils valorization. Chem. Eng. Trans. 2022. [Google Scholar] [CrossRef]
- Colacicco, M.; Biundo, A.; Ciliberti, C.; Agrimi, G.; Pisano, I. Study of lipase production by Yarrowia lipolytica grown in high concentration of hydrophobic carbon sources. Chem. Eng. Trans. 2022. [Google Scholar] [CrossRef]
- Biundo, A.; Hromic, A.; Pavkov-Keller, T.; Gruber, K.; Quartinello, F.; Haernvall, K.; Perz, V.; Arrell, M.S.; Zinn, M.; Ribitsch, D.; et al. Characterization of a Poly(Butylene Adipate-Co-Terephthalate)-Hydrolyzing Lipase from Pelosinus Fermentans. Appl. Microbiol. Biotechnol. 2016, 100, 1753–1764. [Google Scholar] [CrossRef] [PubMed]
- Rumin, J.; Bonnefond, H.; Saint-Jean, B.; Rouxel, C.; Sciandra, A.; Bernard, O.; Cadoret, J.P.; Bougaran, G. The Use of Fluorescent Nile Red and BODIPY for Lipid Measurement in Microalgae. Biotechnol. Biofuels 2015, 8, 1–16. [Google Scholar] [CrossRef] [PubMed] [Green Version]
- Tarola, A.M.; Girelli, A.M.; Lorusso, S. High Performance Liquid Chromatography Determination of Fatty Acids in Drying Oils Following Lipase Action. J. Chromatogr. Sci. 2012, 50, 294–300. [Google Scholar] [CrossRef]
- Hudson, J.A.; MacKenzie, C.A.M.; Joblin, K.N. Conversion of Oleic Acid to 10-Hydroxystearic Acid by Two Species of Ruminal Bacteria. Appl. Microbiol. Biotechnol. 1995, 44, 1–6. [Google Scholar] [CrossRef]
- Girardi, E.; Agrimi, G.; Goldmann, U.; Fiume, G.; Lindinger, G.; Sedlyarov, V.; Srndic, I.; Gurtl, B.; Agerer, B.; Kartnig, F.; et al. Epistasis-driven identification of SLC25A51 as a regulator of human mitochondrial NAD import. Nat. Commun. 2020, 11, 6145. [Google Scholar] [CrossRef]
- Kuttiraja, M.; Dhouha, A.; Tyagi, R.D. Harnessing the Effect of PH on Lipid Production in Batch Cultures of Yarrowia lipolytica SKY7. Appl. Biochem. Biotechnol. 2018, 184, 1332–1346. [Google Scholar] [CrossRef]
- Liu, X.; Lv, J.; Xu, J.; Xia, J.; He, A.; Zhang, T.; Li, X.; Xu, J. Effects of Osmotic Pressure and PH on Citric Acid and Erythritol Production from Waste Cooking Oil by Yarrowia lipolytica. Eng. Life Sci. 2018, 18, 344–352. [Google Scholar] [CrossRef]
- Liu, X.; Lv, J.; Xu, J.; Zhang, T.; Deng, Y.; He, J. Citric Acid Production in Yarrowia lipolytica SWJ-1b Yeast When Grown on Waste Cooking Oil. Appl. Biochem. Biotechnol. 2015, 175, 2347–2356. [Google Scholar] [CrossRef] [PubMed]
- Jaeger, K.-E.; Ransac, S.; Dijkstra, B.W.; Colson, C.; van Heuvel, M.; Misset, O. Bacterial lipases. FEMS Microbiol. Rev. 1994, 15, 29–63. [Google Scholar] [CrossRef] [PubMed]
- Overview, A.; Houde, A.; Kademi, A.; Leblanc, D. Lipases and Their Industrial Applications. Appl. Biochem. Biotechnol. 2004, 118, 155–170. [Google Scholar]
- Treichel, H.; de Oliveira, D.; Mazutti, M.A.; di Luccio, M.; Oliveira, J.V. A Review on Microbial Lipases Production. Food Bioprocess Technol. 2010, 3, 182–196. [Google Scholar] [CrossRef]
- Corzo, G.; Revah, S. Production and Characteristics of the Lipase from Yarrowia lipolytica 681. Bioresour. Technol. 1999, 70, 173–180. [Google Scholar] [CrossRef]
- Domínguez, A.; Costas, M.; Longo, M.A.; Sanromán, A. A Novel Application of Solid State Culture: Production of Lipases by Yarrowia lipolytica. Biotechnol. Lett. 2003, 25, 1225–1229. [Google Scholar] [CrossRef]
- Lopes, M.; Gomes, A.S.; Silva, C.M.; Belo, I. Microbial Lipids and Added Value Metabolites Production by Yarrowia lipolytica from Pork Lard. J. Biotechnol. 2018, 265, 76–85. [Google Scholar] [CrossRef] [Green Version]
- Lazar, Z.; Liu, N.; Stephanopoulos, G. Holistic Approaches in Lipid Production by Yarrowia lipolytica. Trends Biotechnol. 2018, 36, 1157–1170. [Google Scholar] [CrossRef]
- Dias, C.; Silva, C.; Freitas, C.; Reis, A.; da Silva, T.L. Effect of Medium PH on Rhodosporidium Toruloides NCYC 921 Carotenoid and Lipid Production Evaluated by Flow Cytometry. Appl. Biochem. Biotechnol. 2016, 179, 776–787. [Google Scholar] [CrossRef]
- Carsanba, E.; Papanikolaou, S.; Erten, H. Production of Oils and Fats by Oleaginous Microorganisms with an Emphasis given to the Potential of the Nonconventional Yeast Yarrowia lipolytica. Crit. Rev. Biotechnol. 2018, 38, 1230–1243. [Google Scholar] [CrossRef]
- Katre, G.; Joshi, C.; Khot, M.; Zinjarde, S.; Ravikumar, A. Evaluation of Single Cell Oil (SCO) from a Tropical Marine Yeast Yarrowia lipolytica NCIM 3589 as a Potential Feedstock for Biodiesel. AMB Express 2012, 2, 1–14. [Google Scholar] [CrossRef] [PubMed] [Green Version]
- Domínguez, A.; Deive, F.J.; Sanromán, M.A.; Longo, M.A. Effect of Lipids and Surfactants on Extracellular Lipase Production by Yarrowia lipolytica. J. Chem. Technol. Biotechnol. 2003, 78, 1166–1170. [Google Scholar] [CrossRef]
Publisher’s Note: MDPI stays neutral with regard to jurisdictional claims in published maps and institutional affiliations. |
© 2022 by the authors. Licensee MDPI, Basel, Switzerland. This article is an open access article distributed under the terms and conditions of the Creative Commons Attribution (CC BY) license (https://creativecommons.org/licenses/by/4.0/).






