A Comparative Analysis on the Variability of Temperature Thresholds through Time for Wind Turbine Generators Using Normal Behaviour Modelling
Abstract
:1. Introduction
1.1. Literature Review
1.2. Problem Statement
1.3. Paper Structure and Novelty
- Highlight the key similarities and differences between temperature thresholds produced from generator bearings and phase windings NBM’s;
- Detail the variation in NBM temperatures thresholds observed across a fleet of the same turbine and component across different geographical locations;
- Provide insight into how temperature thresholds adapt over time as more data are introduced from the SCADA system.
2. Methodology and Data
2.1. Description of Raw Data
2.2. Methodology
2.3. Feature Engineering
2.4. NBM Description
2.5. Alarm Generation
3. Results
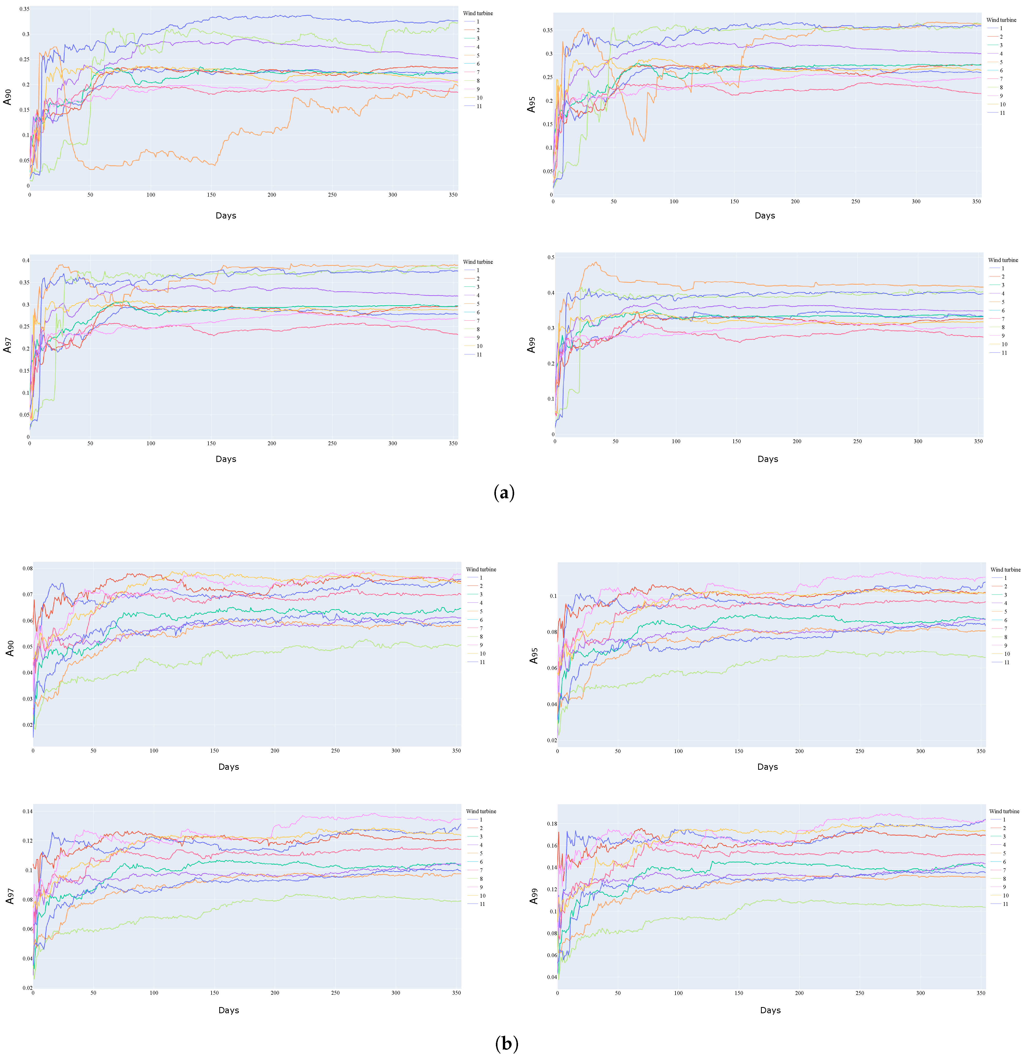
3.1. Comparison of Alarm Thresholds through Time
3.2. Alarm Threshold Convergence
4. Discussion and Conclusions
Author Contributions
Funding
Institutional Review Board Statement
Informed Consent Statement
Conflicts of Interest
Abbreviations
| ANN | Artificial Neural Network |
| ARX | Auto-Regressive with eXogenous input |
| DFIG | Doubly-Fed Induction Generator |
| FSRC | Full Signal Reconstruction |
| MSE | Mean Squared Error |
| NARX | Nonlinear Auto-Regressive neural networks with eXogenous input |
| NBM | Normal Behaviour Model |
| RMSE | Root Mean Squared Error |
| SCADA | Supervisory Control and Data Acquisition |
References
- Tautz-Weinert, J.; Watson, S. Using SCADA data for wind turbine condition monitoring—A review. IET Renew. Power Gener. 2017, 11, 382–394. [Google Scholar] [CrossRef] [Green Version]
- Raschka, S.; Mirjalili, V. Python Machine Learning, 3rd ed.; Packt Publishing: Birmingham, UK, 2019. [Google Scholar]
- Garlick, W.; Dixon, R.; Watson, S. A Model-Based Approach to Wind Turbine Condition Monitoring Using SCADA Data. 2009. Available online: https://repository.lboro.ac.uk/account/articles/9555557 (accessed on 9 May 2022).
- Wilkinson, M.; Darnell, B.; Van Delft, T.; Harman, K. Comparison of methods for wind turbine condition monitoring with SCADA data. IET Renew. Power Gener. 2014, 8, 390–397. [Google Scholar] [CrossRef]
- McArthur, S.; Catterson, V.; McDonald, J. A multi-agent condition monitoring architecture to support transmission and distribution asset management. In Proceedings of the 3rd IEE International Conference on Reliability of Transmission and Distribution Networks, London, UK, 15–17 February 2015; pp. 87–91. [Google Scholar] [CrossRef]
- Schlechtingen, M.; Ferreira Santos, I. Comparative analysis of neural network and regression based condition monitoring approaches for wind turbine fault detection. Mech. Syst. Signal Process. 2011, 25, 1849–1875. [Google Scholar] [CrossRef] [Green Version]
- Zhang, Z.Y.; Wang, K.S. Wind turbine fault detection based on SCADA data analysis using ANN. Adv. Manuf. 2014, 2, 70–78. [Google Scholar] [CrossRef] [Green Version]
- Verma, A.; Kusiak, A. Fault Monitoring of Wind Turbine Generator Brushes: A Data-Mining Approach. J. Sol. Energy Eng. Trans. ASME 2012, 134, 9. [Google Scholar] [CrossRef]
- Yan, Y.; Li, J.; Gao, D.W. Condition Parameter Modeling for Anomaly Detection in Wind Turbines. Energies 2014, 7, 3104–3120. [Google Scholar] [CrossRef] [Green Version]
- Pei, Y.; Qian, Z.; Tao, S.; Yu, H. Wind Turbine Condition Monitoring Using SCADA Data and Data Mining Method. In Proceedings of the 2018 International Conference on Power System Technology, POWERCON 2018, Guangzhou, China, 6–9 November 2018; pp. 3760–3764. [Google Scholar] [CrossRef]
- Bangalore, P.; Tjernberg, L.B. An Artificial Neural Network Approach for Early Fault Detection of Gearbox Bearings. IEEE Trans. Smart Grid 2015, 6, 980–987. [Google Scholar] [CrossRef]
- Bangalore, P.; Letzgus, S.; Karlsson, D.; Patriksson, M. An artificial neural network-based condition monitoring method for wind turbines, with application to the monitoring of the gearbox. Wind Energy 2017, 20, 1421–1438. [Google Scholar] [CrossRef]
- Cui, Y.; Bangalore, P.; Tjernberg, L.B. An anomaly detection approach based on machine learning and scada data for condition monitoring of wind turbines. In Proceedings of the 2018 International Conference on Probabilistic Methods Applied to Power Systems, PMAPS 2018, Boise, ID, USA, 24–28 June 2018. [Google Scholar] [CrossRef]
- Wang, Y.; Infield, D. Supervisory control and data acquisition data-based nonlinear state estimation technique for wind turbine gearbox condition monitoring. IET Renew. Power Gener. 2013, 7, 350–358. [Google Scholar] [CrossRef]
- Qiu, Y.; Feng, Y.; Tavner, P.; Richardson, P.; Erdos, G.; Chen, B. Wind turbine SCADA alarm analysis for improving reliability. Wind Energy 2012, 15, 951–966. [Google Scholar] [CrossRef]
- Jardine, A.K.; Lin, D.; Banjevic, D. A review on machinery diagnostics and prognostics implementing condition-based maintenance. Mech. Syst. Signal Process. 2006, 20, 1483–1510. [Google Scholar] [CrossRef]
- Abouel-Seoud, S.A. Fault detection enhancement in wind turbine planetary gearbox via stationary vibration waveform data. J. Low Freq. Noise Vib. Act. Control 2017, 37, 477–494. [Google Scholar] [CrossRef]
- Wu, G.X.; Zuo, Y.B.; Shi, Y.H. Research on Vibration Signal Feature Extraction Method to the Wind Turbine Generator. Adv. Mater. Res. 2014, 902, 370–377. [Google Scholar] [CrossRef]
- Mollasalehi, E. Data-Driven and Model-Based Bearing Fault Analysis—Wind Turbine Application. Ph.D. Thesis, University of Calgary, Calgary, AB, Canada, 2017. [Google Scholar]
- Kim, S.; An, D.; Choi, J.H. Diagnostics 101: A Tutorial for Fault Diagnostics of Rolling Element Bearing Using Envelope Analysis in MATLAB. Appl. Sci. 2020, 10, 7302. [Google Scholar] [CrossRef]
- Turnbull, A.; Carroll, J.; Koukoura, S.; McDonald, A. Prediction of wind turbine generator bearing failure through analysis of high-frequency vibration data and the application of support vector machine algorithms. J. Eng. 2019, 2019, 4965–4969. [Google Scholar] [CrossRef]
- Ogata, J.; Murakawa, M. Vibration-Based Anomaly Detection Using FLAC Features for Wind Turbine Condition Monitoring. In Proceedings of the 8th European Workshop on Structural Health Monitoring, Bilbao, Spain, 5–8 July 2016. [Google Scholar]
- Koukoura, S.; Carroll, J.; McDonald, A.; Weiss, S. Comparison of wind turbine gearbox vibration analysis algorithms based on feature extraction and classification. IET Renew. Power Gener. 2019, 13, 2549–2557. [Google Scholar] [CrossRef]
- Koukoura, S.; Carroll, J.; McDonald, A. On the use of AI based vibration condition monitoring of wind turbine gearboxes. J. Phys. Conf. Ser. 2019, 1222, 012045. [Google Scholar] [CrossRef]
- Tsui, K.L.; Chen, N.; Zhou, Q.; Hai, Y.; Wang, W. Prognostics and health management: A review on data driven approaches. Math. Probl. Eng. 2015, 2015, 793161. [Google Scholar] [CrossRef] [Green Version]
- Liu, R.; Yang, B.; Zio, E.; Chen, X. Artificial intelligence for fault diagnosis of rotating machinery: A review. Mech. Syst. Signal Process. 2018, 108, 33–47. [Google Scholar] [CrossRef]
- Stetco, A.; Dinmohammadi, F.; Zhao, X.; Robu, V.; Flynn, D.; Barnes, M.; Keane, J.; Nenadic, G. Machine learning methods for wind turbine condition monitoring: A review. Renew. Energy 2019, 133, 620–635. [Google Scholar] [CrossRef]









| SCADA Channel | Description | Model Feature | NBM |
|---|---|---|---|
| Average Active Power Output | Input | 1, 2 | |
| Average Generator Speed | Input | 1, 2 | |
| Average Wind Speed | Input | 1, 2 | |
| Average Generator Cooling Water Temperature | Input | 1, 2 | |
| Average Generator Bearing Temperature | Target | 1 | |
| Average Generator Phase Winding Temperature | Target | 2 |
Publisher’s Note: MDPI stays neutral with regard to jurisdictional claims in published maps and institutional affiliations. |
© 2022 by the authors. Licensee MDPI, Basel, Switzerland. This article is an open access article distributed under the terms and conditions of the Creative Commons Attribution (CC BY) license (https://creativecommons.org/licenses/by/4.0/).
Share and Cite
Turnbull, A.; Carroll, J.; McDonald, A. A Comparative Analysis on the Variability of Temperature Thresholds through Time for Wind Turbine Generators Using Normal Behaviour Modelling. Energies 2022, 15, 5298. https://doi.org/10.3390/en15145298
Turnbull A, Carroll J, McDonald A. A Comparative Analysis on the Variability of Temperature Thresholds through Time for Wind Turbine Generators Using Normal Behaviour Modelling. Energies. 2022; 15(14):5298. https://doi.org/10.3390/en15145298
Chicago/Turabian StyleTurnbull, Alan, James Carroll, and Alasdair McDonald. 2022. "A Comparative Analysis on the Variability of Temperature Thresholds through Time for Wind Turbine Generators Using Normal Behaviour Modelling" Energies 15, no. 14: 5298. https://doi.org/10.3390/en15145298
APA StyleTurnbull, A., Carroll, J., & McDonald, A. (2022). A Comparative Analysis on the Variability of Temperature Thresholds through Time for Wind Turbine Generators Using Normal Behaviour Modelling. Energies, 15(14), 5298. https://doi.org/10.3390/en15145298

