Abstract
Agricultural activities depend heavily on irrigation in arid and semi-arid climates, which are one of the most water-limited areas, reducing agricultural productivity. As the climate changes, the lack of precipitation is expected to aggravate in these areas, requiring careful management of water use. Subsurface water retention technology (SWRT) may hold promise as a management tool to save water use and improve crop drought resistance. In this context, the effect of SWRT on tomato yield, growth, physiology, and biochemical characteristics, as well as soil characteristics under two regimes of water (100% field capacity (FC) and 50% FC) in open field conditions, was investigated. The results here suggest that drought affected tomato performance. Nevertheless, SWRT application significantly increased tomato yield (38%), chlorophyll fluorescence (3%), gas exchange (39%), and chlorophyll total content (49%), as well as soil fertility characteristics, with significant increases in organic matter (23%) and assimilable phosphorus contents (25%) compared with the control. Furthermore, it resulted in a significant reduction in enzymatic antioxidant activities and polyphenol and significant improvement in fruit quality by increasing protein content. This technique should be used as a valuable strategy to save irrigation water and mitigate the negative effects of water deficiency on tomato plants in arid and semi-arid regions.
1. Introduction
Water scarcity due to climate change and increasing population is one of the extreme challenges facing the world [1]. Food and water sectors are closely linked, as irrigated cropland contributes to 40% of global agricultural production [2]. Around the world, water used in the sector of agriculture for irrigation accounts for approximately 70% of the total freshwater [3]. Water scarcity is most acute in Mediterranean regions such as Morocco, requiring a re-evaluation of current water use practices in agriculture [4,5]. In order to mitigate future climate change and assure security of food, several initiatives are being undertaken through research to improve water efficiency [6]. In this context, subsurface water retention technology (SWRT) can be used as a novel practice to economize irrigation water [7].
This technology relies on the installation of a U-shaped impermeable polyethylene membrane under the root zone to retain water and avoid water loss through percolation [8]. This membrane application also conserves more nutrients and prevents leaching nutrients into groundwater [9,10], thus increasing plant production with reduced fertilizer use [11]. Numerous studies have demonstrated that SWRT can boost plant performance and nutrient absorption, enhance the control of the stomatal opening to achieve better water use effectiveness by plants, increase the water supply by keeping water close to the root zone, and reduce oxidative damage under stressful conditions, especially during drought [7,10,12].
The tomato is one of the main cultivated and consumed vegetable crops in the world, with a production of 186 million tons on 5,051,983 hectares in 2020 [11], and a total surface of cultivation of 4.8 million hectares, which is followed by onions, which cover 5.2 million hectares [13]. In Morocco, the tomato is considered as the second most important vegetable crop after potatoes, with a production of over 1.4 million tons in 2020 cultivated on an area of 14,861 ha [14,15]. Tomato fruits have several human health benefits for consumers due to the presence of nutrients, β-carotene, ascorbic acid (vitamin C), lycopene, phenolic compounds, and essential minerals [15]; they are also a revenue source for many rural and suburban farms [16]. Nevertheless, tomato cultivation is severely affected by abiotic constraints such as drought, as it is widely cultivated in the Mediterranean regions where the arid and semi-arid climate lead to a reduction in tomato yield as well as fruit quality; this affects its growth and physiological and biochemical parameters [17,18].
To our own knowledge, this is the first work to describe the role of SWRT on the physiological and biochemical mechanisms of tomato plants subjected to drought stress under field conditions. Therefore, in this work, we examined the ability of SWRT to boost drought stress tolerance in tomatoes and to determine the mechanisms by which SWRT mitigates the negative impact of drought in tomatoes grown under field conditions in Morocco.
The results obtained here will contribute to offer the theoretical bases for the application of SWRT as a sustainable and novel technology to cope with drought stress and climate change. Thus, we hypothesized that the water-stress-induced reduction in tomato plants will be mitigated by the application of SWRT. Furthermore, we predict that SWRT could improve tomato growth and stress tolerance through the enhancement of photosynthetic machinery, the attenuation of oxidative stress, and the improvement of ROS trapping by activating antioxidant enzymes systems under conditions of water stress.
2. Materials and Methods
2.1. Experimental Site, Crop Material, and Treatments Applied
A field experiment was carried out at a private agricultural field that has not been previously treated with any chemicals or any other organic fertilizers. This farm is located in the SAADA district of Marrakesh, Morocco, (31°37′39.9′′ N and 08°07′46.7′′ W). The climate of this location is semi-arid, typically Mediterranean, with an estimated average temperature of 19.6 °C and an average annual precipitation of about 250 mm. The mean annual value for reference evapotranspiration (ET0), which was calculated according to the FAO-PM equation, is almost 1600 mm [19,20]. Characteristics of the soil are as follows: sand 52.00%, clay 24.00%, loam 24.00%, and bulk density 1.4 g/cm.
Solanum lycopersicum L. campel 33 variety was used in this study. Tomato seeds were germinated in the peat-containing trays during 2 weeks under greenhouse conditions. Then, the seedlings were transferred to the field for planting. Two different treatments based on SWRT application and two water regimes were used in this study: WW: well-watered plants (100% field capacity (FC)) received 8 l/h 5 days per week; DS: drought stress plants (50% FC) received 4 l/h 5 days per week. These conditions were implemented from week 1 until harvest. The SWRT was installed manually at a depth of 40 cm below the seedlings.
The field plots were irrigated through the use of drip irrigation system lines with adequate internal drippers placed on the soil at the surface of the furrows at intervals of five days in order to manage the amount of irrigation water. Consequently, the experiment included ten replicates for each treatment, with each water regime applied for two treatments:
- (1)
- (SWRT−): Plants without SWRT.
- (2)
- (SWRT+): Plants with SWRT.
2.2. Measured Parameters
2.2.1. Growth Parameters
After four months, plants were collected, and the following growth parameters were measured: shoot height (SH), shoot number (SN), root elongation (RE), number and weight of fruits (NF and WF), dry matter of shoot, and roots and fruits obtained after drying the different parts at 80 °C for 48 h.
2.2.2. Physiological Parameters
Stomatal conductance (gs) was assessed with a portable porometer (Decagon Device, Inc., Washington, DC, USA). Ten recordings for each treatment were taken on the abdominal side of each plant on sunny days between 9:30 and 11:00 a.m.
The photochemical efficiency of photosystem II was estimated by a portable fluorometer (OPTI-SCIENCE, OS30p, Hudson, NY, USA). Clips were applied on the superior side of young leaves of the identical row. After 20 min of dark adaptation, minimum (F0), maximum (Fm), and variable (Fv) fluorescence emissions were measured on leaves. The efficiency of PSII was expressed as the Fv/Fm ratio [21].
Stem water potential (Ψ) was assessed by a Scholander pressure chamber (Model SKPM 1400. Skye Instruments, Powys, UK) at predawn (06:00–08:00 a.m.). The measures were taken on fresh harvested stems on the same days and directly after gas exchange readings.
The concentrations of chlorophyll a, b, and total chlorophyll were measured spectrophotometrically at 645 and 633 nm as described by Arnon (1949) [22]. Acetone (80%) was used to extract the studied pigments from tomato shoots samples, then they were centrifuged at 10,000× g for 10 min.
2.2.3. Biochemical Parameters
Total soluble sugar (TSS) concentration was assessed in shoots, roots, and fruits by following the method of Dubois et al. (1956) [23]. In brief, liquid nitrogen was used to wet-grind fresh materiel (0.1 g) before homogenizing it with 4 mL of ethanol (80%). Thereafter, the extract (0.25 mL) was combined with the phenol (0.25 mL) and concentrated sulfuric acid (1.25 mL). The absorbance was taken at 484 nm.
Total soluble protein content was determined in shoots, roots, and fruits by following the method of Bradford (1976) [24]. Absorbance was read at 595 nm using bovine serum albumin as the protein standard.
Malondialdehyde (MDA) content in shoots and roots was assessed spectrophotometrically at 760 following the method of Rao and Sresty (2000) [25]. The extract was prepared by blending 0.25 g of sample with trichloroacetic acid (TCA). The extraction was centrifuged at 18,000× g for 10 min. The reaction mixture of MDA content evaluation included supernatant extraction (2 mL) and 20% TCA containing 0.5% thiobarbituric acid (2 mL).
Hydrogen peroxide (H2O2) in fresh roots and shoots was estimated according to Velikova et al. (2000) [26]. Briefly, fresh samples (0.25 g) were extracted by using 5 mL of 10% (w/v) TCA and then centrifuged at 15,000× g for 10 min. The reaction mixture contained the extract (2 mL), potassium iodide (1 mL, 1 M), and potassium phosphate buffer (0.5 mL, 10 mM, pH 7). After incubating for one hour in the dark, the absorbance was taken at 390.
The antioxidant enzyme activity was evaluated in shoots and roots. The extract of enzymes was prepared by homogenized sample (0.1 g) with 5 mL of a solution including 0.1 g polyvinylpolypyrrolidone, 0.1 M potassium phosphate buffer (pH 7.0), as well as 0.1 mM ethylenediaminetetraacetic acid (EDTA), and then centrifuged at 18,000× g at 4 °C for 15 min.
Superoxide dismutase (SOD) was measured following the absorbance change at 560 nm as described by Beyer and Fridovich (1987) [27]. The method is based on the capacity to inhibit the photochemical reduction in p-nitroblue tetrazolium by the SOD enzyme.
Catalase activity (CAT) was determined following the reduction in H2O2 spectrophotometrically at 240 nm for 60 s as described by Aebi (1984) [28]. A measure of 100 µL of extract was mixed with 1 M potassium phosphate buffer (pH 7.0), 0.1 mM EDTA, and 20 mM H2O2. The results are expressed as μL H2O2 mg−1 protein min−1.
Ascorbate peroxidase activity (POX) was evaluated as described by Nakano and Asada (1981) [29]. A mixture of 50 mM potassium phosphate buffer (pH 7.0), 100 µL extract sample, and 0.5 mM H2O2, as well as 0.1 mM ascorbate, was prepared. The absorbance was measured at 290 nm for 1 min.
Total phenolic content (TPC) was measured by spectrophotometric method at 760 nm in shoot, root, and fruit extracts using the Folin–Ciocalteu method [30] with slight modifications. An aliquot of 250 μL of extract solution was combined with 2.5 mL of 1 N Folin– Ciocalteu reagent solution. After incubation for 3 min at room temperature, 250 μL of 10% sodium carbonate solution was then added and kept in a dark place for 90 min.
2.2.4. Physico-Chemical Analysis of Soil
In order to assess SWRT’s effect on soil quality, soil physico-chemical analysis was evaluated after the experiment. Soil samples were taken close to the root system and then air-dried and sieved (2 mm). The following parameters were then determined: pH and EC were determined in aqueous solution, and total organic carbon as well as organic matter (OM) were assessed as mentioned by Aubert (1978) [29]. Finally, assimilable phosphorus (AP) was quantified by following the Olsen and Sommers’ protocol [30].
2.3. Statistical Analysis
The data presented here are the mean values of three replicates ± standard error (S.E). The significance of the difference between each treatment was examined through analysis of variance (one-way ANOVA) using factorial ANOVA in SPSS version 23.0 (IBM, Armonk, NY, USA) for windows. To compare means, Tukey’s tests at p ≤ 0.05 were performed.
3. Results
Plant growth and yield of tomato were significantly influenced by the interaction of drought and SWRT treatments (Table 1). Under WW, no significant difference was observed between SWRT and control plants. However, the application of this technique promotes plant growth and yield under DS. Indeed, SWRT application resulted in a significant increase in SN (31%), shoot dry weight (24%), RE (42%), root dry weight (93%), NF (38%), and WF (76%) compared with the control plants.
Table 1.
Effect of subsurface water retention technology (SWRT) on growth parameters of tomatoes subjected to different water regimes (DS: drought stress or WW: well-watered) after 4 months of cultivation.
3.1. Physiological Changes
Table 2 represents the effect of the SWRT technique in regulating physiological parameters in the absence and presence of drought stress. Under DS field conditions, tomato plants showed a significant reduction in physiological parameters. However, SWRT application significantly enhanced gs, Fv/Fm, ΨLeaf, chlorophyll a, b, and total chlorophyll, as well as carotenoids levels by 39, 3, 22, 59, 37, 49, and 68%, respectively, compared with the control plants.
Table 2.
Effect of subsurface water retention technology (SWRT) on stomatal conductance, photosynthetic efficiency, leaf water potential, chlorophyll, and carotenoid content of tomatoes subjected to different water regimes (DS: drought stress or WW; well-watered) after 4 months of cultivation.
3.2. Osmolytes Accumulation
Data presented in Figure 1 reveals that TSS and protein content in shoots, roots, and fruits was affected by SWRT application under DS conditions. Indeed, plants with SWRT showed a decrease in TSS content of 16, 8, and 19% in shoots, roots, and fruits, respectively, compared with the control. Conversely, SWRT application under DS showed a significant positive increase in protein content of shoots (31%), roots (54%), and fruits (72%) compared with the control plants.
Figure 1.
Effects of water regimes (DS: drought stress or WW: well-watered) on shoot, root, and fruit (A–C) total soluble sugar content, and (D–F) protein content subjected to treatments. SWRT−: without subsurface water retention technology (SWRT); SWRT+: with SWRT. Data represented are mean of three replicates ± standard error (SE) (n = 3). Different letters in the same column show significant difference at p < 0.05.
Under WW conditions, differences were not significant for protein content in roots and TSS content in shoots and roots, while SWRT application increased fruit TSS and decreased protein content in shoots and roots.
3.3. MDA and H2O2
Figure 2 shows the impact of several applied water regimes with and without SWRT on the contents of MDA and H2O2. Without SWRT, the levels of MDA and H2O2 found in tomato leaves and roots were enhanced under drought stress. In contrast, SWRT application led to a significant decrease in MDA and H2O2 values with a reduction of 30 and 39% in leaves and 34 and 35% in roots compared with the DS control plants.
Figure 2.
Effects of water regimes (DS: drought stress or WW: well-watered) on shoot and root (A) malondialdehyde (MDA) and (B) hydrogen peroxide (H2O2) content subjected to treatments. SWRT−: without subsurface water retention technology (SWRT); SWRT+: with SWRT. Data represented are mean of three replicates ± standard error (SE) (n = 3). Different letters in the same column show significant difference at p < 0.05.
3.4. Oxidative Stress Attributes
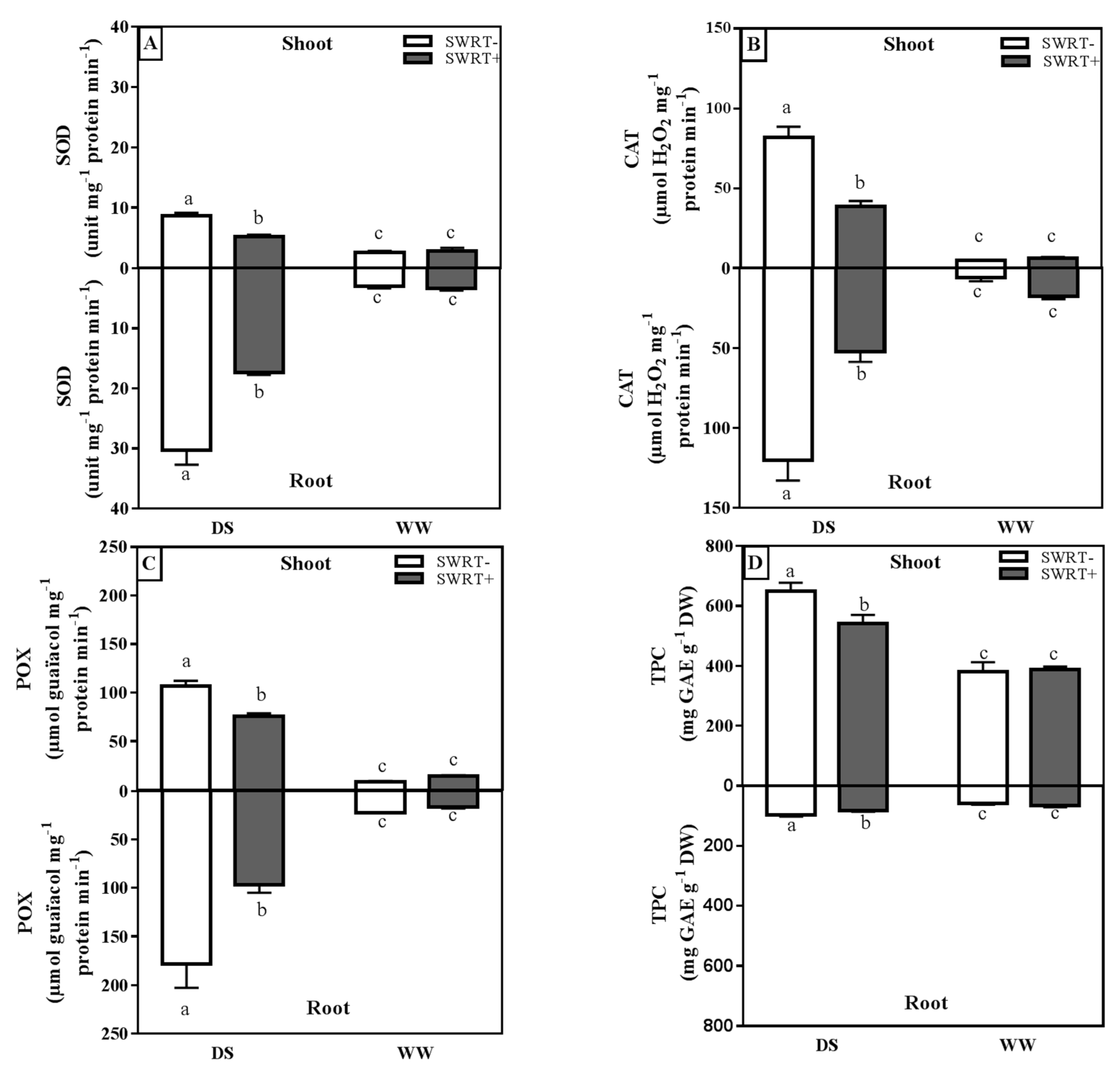
Data of the antioxidant enzyme activities in tomato plants are given in Figure 3. The results indicate that these activities increased under DS conditions without SWRT application. In the same conditions, SOD, CAT, and POX levels were greater in the root part than in the shoot one, with an enhancement of 248, 46, and 66%, respectively. However, the opposite was recorded for TPC by comparing the two parts of the plant. Under WW, any significant difference was not noted between plants with and without SWRT. Nevertheless, SWRT application in tomatoes under drought conditions was accompanied by a reduction in SOD, CAT, POX, and TPC activities in leaves by 67, 113, 41, and 18%, respectively, and in roots by 75, 130, 85, and 17%, respectively, compared with the control plants.
Figure 3.
Effects of water regimes (DS: drought stress or WW: well-watered) on shoot and root (A) superoxide dismutase (SOD), (B) catalase (CAT), (C) ascorbate peroxidase (POX) activities, and (D) total phenolic content (TPC) subjected to treatments. SWRT−: without subsurface water retention technology (SWRT); SWRT+: with SWRT. Data represented are mean of three replicates ± standard error (SE) (n = 3). Different letters in the same column show significant difference at p < 0.05.
3.5. Soil Characteristics
Data presented in Table 3 show the field soil characteristics before and after the experiment. Findings showed that all soil characteristics were improved after harvesting whatever the conditions applied, as compared with the initial state. In addition, compared with the WW conditions, soil quality was affected by DS conditions, which caused a decrease in TOC, OM, and AP by 45, 81, and 45%, respectively. Under the same conditions (DS conditions), SWRT application caused a significant enhancement in all studied parameters EC, TOC, OM, and AP by 9, 8, 23, and 25%, respectively, when compared with the plants without SWRT.
Table 3.
Effect of subsurface water retention technology (SWRT) on main characteristics of different treatments on agricultural soil physicochemical parameters before and after experiment.
3.6. Principal Component Analysis (PCA)
The principal component analysis highlighted the relationship between SWRT technique, drought, and measured parameters. The PCA1 (variability; 81.22%) vs. PCA2 (variability; 13.7%) dispersion plot is shown in Figure 4. The data showed that all treatments applied were separated from each other. Under WW conditions, the application of SWRT was positively linked with yield and growth parameters (SH, RH, NL, FW, and SDW) as well as soil physico-chemical traits (TOC and OM). Moreover, a positive correlation was found between SWRT and sugar content, pH, and EC in DS conditions.
Figure 4.
Principal component analysis (PCA) of tomatoes exposed to different treatments. SWRT−: without subsurface water retention technology (SWRT); SWRT+: with SWRT under two water regimes (DS: drought stress or WW: well-watered). SH: shoot height; NL: number of leaves; SDW: shoot dry weight; RE: root elongation; RDW: root dry weight; FN: fruit number; FW: fruit weight; gs: stomatal conductance; Fv/Fm: chlorophyll fluorescence; ψh: Stem water potential; Chl a: chlorophyll a content; Chl b: chlorophyll b content; Chl T: chlorophyll total content; Car T: carotenoid content; Su L: sugar content in leaves; Su R: sugar content in roots; Su F: sugar content in fruits; Pro L: protein content in leaves; Pro R: protein content in roots; Prot F: protein content in fruits; MDA L: malondialdehyde content in leaves; MDA R: malondialdehyde content in roots; H2O2 L: hydrogen peroxide content of the leaves; H2O2 R: hydrogen peroxide level of the roots; SOD L: superoxide dismutase activity of the leaves; SOD R: superoxide dismutase activity of the roots; CAT L: catalase activity of the leaves; CAT R: catalase activity of the roots; POX L: peroxidase activity of the leaves; POX R: peroxidase activity of the roots; Phe L: phenolic content of the leaves; Phe R: phenolic content of the roots; pH: potential of hydrogen; EC: electrical conductivity; TOC: total organic carbon; OM: organic matter; AP: phosphorus assimilable.
4. Discussion
Tomatoes are considered one of the most drought-sensitive plants, making irrigation the main source of water for them in semi-arid regions, which makes them one of the key determinants to affect yield and fruit quality. The current investigation is the first to quantify the SWRT impact on drought resistance in tomatoes based on morphological, physiological, and biochemical traits. We also tested whether the application of this technique can improve soil parameters.
According to the obtained results, it appears that the crop biomass was significantly decreased by drought. Many previous studies have shown the negative impacts of drought on tomatoes [31,32]. The reduction in leaf growth parameters under DS conditions can be attributed to decreased cell division and elongation due to loss of turgidity, reduced photosynthesis, and decreased energy input [33,34]. However, SWRT application enhanced the growth parameters investigated, namely SH, RE, and shoot and root weight, especially under DS. This can be attributed to the reduction in water and mineral loss through percolation [11,35] and the improvement of soil fertility and structure, as showed in this study, which creates a better conditions for plant establishment [8]. In terms of productivity, our data showed that the application of SWRT improved tomato and yield under DS, especially fruit number and weight. Improved growth and better nutrition was accompanied by higher productivity in terms of quality and quantity [36]. These findings are in harmony with what has been published by Aoda et al. (2021) and Hommadi and Almasraf (2018) [7,37], who showed that the application of SWRT improved the yield of tomatoes and chili peppers, respectively, grown in the field.
The results from our investigations show that drought application led to a decrease in the photosynthetic parameters of tomato plants due to the depletion of soil water content, this is a typical response of plants to water shortage in soil [38,39]. Many studies have reported a reduction in photosynthesis mainly due to the reduction in gs, which limits the supply of CO2 to the intercellular space [40,41,42]. Drought can also interrupt the carbon and nitrogen exchange in the soil [43], which might lead to reduced photosynthetic metabolism in plants [44,45]. Under the same conditions, SWRT application allowed for a continuous supply of the plants’ available moisture through increasing the soil’s ability to store water [8,9], thereby increasing gs and Fv/Fm and reducing chlorophyll and carotenoid degradation [46,47]. Enhancement in physiological characteristics suggests boosted performance of the photosynthetic machinery, which leads to enhanced CO2 uptake for photosynthesis [48].
Limited water availability significantly increased the level of MDA and H2O2 in tomato leaves and roots as compared with the control plants. Malondialdehyde is produced in plant cell membranes by the breakdown of polyunsaturated fatty acids as a result of dehydration conditions [49], therefore lipid oxidative damage in cell membranes, is detected by high MDA concentrations in plants [50]. Consequently, increased lipid peroxidation and H2O2 levels increase oxidative stress due to a significant accumulation of reactive oxygen species (ROS) and of the disruption of the enzymatic defense in plants growing under drought [51]. Our findings are in agreement with the results of previous research, they reported that MDA and H2O2 considerably elevated under drought stress in cactus [52] tomato [32], quinoa [53], and alfalfa [54] plants. Our results show that the application of SWRT on tomatoes mitigated the damaging effects of drought by eliminating damage caused by oxidative stress and protecting the cell membranes through their ability to upgrade soil water holding ability in plant root zones and by enhancing native soil quality through increased carbon, OM, and PA [8,9].
Under DS, plants produce and accumulate a functional antioxidant system, which is either enzymatic (SOD, CAT, and POX) or non-enzymatic (polyphenol), to maintain ROS balance [55]. These primary cellular antioxidants protect the cell by directly scavenging superoxide radicals (O2-) and hydrogen peroxide (H2O2) and converting intracellular ROS into less reactive species [56]. Total phenolic content also plays a role as a non-enzymatic free radical scavenger by neutralizing singlet oxygen or quenching metal ions or supplying a substrate for POX enzymes to protect the membrane from oxidative stress [57,58]. Our results reveal an increase in the level of antioxidant indices (SOD, CAT, POX, and TPC) in leaves and roots of tomatoes exposed to drought in order to hinder their detrimental effects. These findings are quite close to those of Tahiri et al. (2022) and Lahbouki et al. (2022), who reported an increase in SOD, CAT, POX, and TPC with increasing levels of MDA and H2O2 in drought-exposed tomatoes and cactuses, respectively [32,59]. In contrast, applying the SWRT technique led to a decrease in the accumulation of antioxidants (SOD, CAT, POX, and TPC) and MDA and H2O2 contents. These findings can be explained by the contribution of SWRT to water and nutrient preservation in the root zone, hence a decrease in the oxidative stress of plant cells [8,60].
Water stress effects not only plant performance but also soil physic-chemical properties, as shown above. Our data are in line with the results of Benaffari et al. (2022) [53]. The decrease can be explained by the adverse effects of drought soil structure, aggregates, and glomalin soil [61,62]. In addition, drought directly affects the activity and composition of soil microbial communities [63], especially those involved in making soil enzymes important for soil fertility, such as urease (N cycle), β-glucosidase (C cycle), and phosphatase (P cycle) [64]. However, SWRT application improved soil chemical and nutrient quality through various mechanisms, one of them being the contribution to the maintenance of soil moisture, which in turn helped to increase microbial communities and organic acids [8,65]. These contribute to the low pH of the soil [66]. The increase in organic matter and nutrients in the soil can also be explained by the contribution of the impermeable membrane applied in increasing the content of organic matter and nutritional elements retained [9,67].
To visualize the differences between the treatments regarding the measured parameters, a PCA analysis was performed. Global outcomes of this analysis indicated the effectiveness of SWRT in plant growth under non-stressful conditions, as well as its close link to osmolyte accumulation under drought stress conditions, which may promote a more complete understanding of the protective effects of SWRT in tomatoes under stressful conditions.
5. Conclusions
The current investigation proved that drought stress severely affects tomato plants’ growth traits, physiological responses, and biochemical reactions. However, the application of SWRT has shown their capacity to overcome the negative impacts of water deficit through the enhancement of chlorophyll fluorescence and stomatal conductance, as well as osmotic adjustment and enzymatic antioxidant systems. Additionally, the application of this technique under drought reduced soil pH and increased the percentage of OM and available phosphorus in the soil. The mechanisms for the action of SWRT’s application in improving plant performance under drought are probably related to its ability to improve soil mineral and water retention and to avoid their loss by percolation into the soil. According to our research, SWRT could be a practical option for promoting plant performance in arid and semi- arid climates and as an important tool for agriculture system sustainability in the face of climate change.
Author Contributions
A.M., A.O. and L.P. designed and supervised the research. S.L. and R.B.-L. performed the experiments and conducted the analyses. S.L. performed the data analysis and interpretation and contributed to analytic tools. S.L. wrote the manuscript. R.B.-L. revised and finalized the manuscript. All authors have read and agreed to the published version of the manuscript.
Funding
The authors would like to thank the project entitled “Introducing cactus plantations (Opuntia spp.) and smart water management systems in marginal lands of Egypt and Morocco to drive rural renaissance in the Mediterranean Region” (ID: ERANETMED3-204).
Data Availability Statement
Not applicable.
Conflicts of Interest
The authors declare no conflict of interest.
References
- Ahmadalipour, A.; Moradkhani, H.; Castelletti, A.; Magliocca, N. Future Drought Risk in Africa: Integrating Vulnerability, Climate Change, and Population Growth. Sci. Total Environ. 2019, 662, 672–686. [Google Scholar] [CrossRef] [PubMed]
- Zhang, C.; Dong, J.; Ge, Q. Mapping 20 Years of Irrigated Croplands in China Using MODIS and Statistics and Existing Irrigation Products. Sci. Data 2022, 9, 1–12. [Google Scholar] [CrossRef] [PubMed]
- Abdelkhalik, A.; Pascual-Seva, N.; Nájera, I.; Giner, A.; Baixauli, C.; Pascual, B. Yield Response of Seedless Watermelon to Different Drip Irrigation Strategies under Mediterranean Conditions. Agric. Water Manag. 2019, 212, 99–110. [Google Scholar] [CrossRef]
- Besser, H.; Hamed, Y. Environmental Impacts of Land Management on the Sustainability of Natural Resources in Oriental Erg Tunisia, North Africa. Environ. Dev. Sustain. 2021, 23, 11677–11705. [Google Scholar] [CrossRef]
- Ait-El-Mokhtar, M.; Boutasknit, A.; Ben-Laouane, R.; Anli, M.; El Amerany, F.; Toubali, S.; Lahbouki, S.; Wahbi, S.; Meddich, A. Vulnerability of Oasis Agriculture to Climate Change in Morocco. In Impacts of Climate Change on Agriculture and Aquaculture; IGI Global: Hershey, PA, USA, 2020; pp. 76–106. [Google Scholar]
- Boonwichai, S.; Shrestha, S.; Babel, M.S.; Weesakul, S.; Datta, A. Climate Change Impacts on Irrigation Water Requirement, Crop Water Productivity and Rice Yield in the Songkhram River Basin, Thailand. J. Clean. Prod. 2018, 198, 1157–1164. [Google Scholar] [CrossRef]
- Aoda, M.I.; Smucker, A.J.M.; Majeed, S.S.; Mohammed, H.A.; Al-Sahaf, F.H.; Robertson, G.P. Novel Root Zone Soil Water Retention Improves Production with Half the Water in Arid Sands. Agron. J. 2021, 113, 2398–2406. [Google Scholar] [CrossRef]
- Guber, A.K.; Smucker, A.J.M.; Berhanu, S.; Miller, J.M.L. Subsurface Water Retention Technology Improves Root Zone Water Storage for Corn Production on Coarse-Textured Soils. Vadose Zone J. 2015, 14, vzj2014-11. [Google Scholar] [CrossRef]
- Nkurunziza, L.; Chirinda, N.; Lana, M.; Sommer, R.; Karanja, S.; Rao, I.; Romero Sanchez, M.A.; Quintero, M.; Kuyah, S.; Lewu, F. The Potential Benefits and Trade-Offs of Using Sub-Surface Water Retention Technology on Coarse-Textured Soils: Impacts of Water and Nutrient Saving on Maize Production and Soil Carbon Sequestration. Front. Sustain. Food Syst. 2019, 3, 71. [Google Scholar] [CrossRef]
- Lahbouki, S.; Ech-chatir, L.; Er-Raki, S.; Outzourhit, A.; Meddich, A. Improving Drought Tolerance of Opuntia ficus-indica under Field Using Subsurface Water Retention Technology: Changes in Physiological and Biochemical Parameters. Can. J. Soil Sci. 2022. [Google Scholar] [CrossRef]
- Almasraf, S.A.; Hommadi, A.H. Improving Water Use Efficiency and Water Productivity for Okra Crop by Using Subsurface Water Retention Technology. J. Eng. 2018, 24, 64–74. [Google Scholar] [CrossRef]
- Kavdir, Y.; Zhang, W.; Basso, B.; Smucker, A.J.M. Development of a New Long-Term Drought Resilient Soil Water Retention Technology. J. Soil Water Conserv. 2014, 69, 154A–160A. [Google Scholar] [CrossRef]
- Food and Agriculture Organization of the United Nations. Database. In FAOSTAT URL 844; FAO: Rome, Italy, 2019; Available online: http://www.fao.org/faostat/en/#home (accessed on 22 July 2022).
- El Aimani, A.; Mokrini, F.; Houari, A.; Laasli, S.-E.; Sbaghi, M.; Mentag, R.; Iraqi, D.; Udupa, S.M.; Dababat, A.A.; Lahlali, R. Potential of Indigenous Entomopathogenic Nematodes for Controlling Tomato Leaf Miner, Tuta absoluta (Meyrick) (Lepidoptera: Gelechiidae) under Laboratory and Field Conditions in Morocco. Physiol. Mol. Plant Pathol. 2021, 116, 101710. [Google Scholar] [CrossRef]
- Vélez-Terreros, P.Y.; Romero-Estévez, D.; Yánez-Jácome, G.S.; Simbaña-Farinango, K.; Navarrete, H. Comparison of Major Nutrients and Minerals between Organic and Conventional Tomatoes. A Review. J. Food Compos. Anal. 2021, 100, 103922. [Google Scholar] [CrossRef]
- Wosene, G.; Gobie, W. Value Chain Analysis of Tomato: The Case of Bure, Jabitehinan and North Mecha Districts of Amhara Regional State, Ethiopia. J. Agric. Food Res. 2022, 7, 100272. [Google Scholar] [CrossRef]
- Ahanger, M.A.; Qi, M.; Huang, Z.; Xu, X.; Begum, N.; Qin, C.; Zhang, C.; Ahmad, N.; Mustafa, N.S.; Ashraf, M. Improving Growth and Photosynthetic Performance of Drought Stressed Tomato by Application of Nano-Organic Fertilizer Involves up-Regulation of Nitrogen, Antioxidant and Osmolyte Metabolism. Ecotoxicol. Environ. Saf. 2021, 216, 112195. [Google Scholar] [CrossRef]
- Chakma, R.; Biswas, A.; Saekong, P.; Ullah, H.; Datta, A. Foliar Application and Seed Priming of Salicylic Acid Affect Growth, Fruit Yield, and Quality of Grape Tomato under Drought Stress. Sci. Hortic. 2021, 280, 109904. [Google Scholar] [CrossRef]
- Allen, R.G.; Pereira, L.S.; Raes, D.; Smith, M. Crop Evapotranspiration-Guidelines for Computing Crop Water Requirements-FAO Irrigation and Drainage Paper 56; FAO, Rome, Italy, 1998; Volume 300, p. D0 5109.
- Kharrou, M.H.; Er-Raki, S.; Chehbouni, A.; Duchemin, B.; Simonneaux, V.; LePage, M.; Ouzine, L.; Jarlan, L. Water Use Efficiency and Yield of Winter Wheat under Different Irrigation Regimes in a Semi-Arid Region. Agric. Sci. China 2011, 2, 273–282. [Google Scholar] [CrossRef]
- Baker, N.R. Chlorophyll Fluorescence: A Probe of Photosynthesis In Vivo. Annu. Rev. Plant Biol. 2008, 59, 89. [Google Scholar] [CrossRef]
- Arnon, D.I. Copper Enzymes in Isolated Chloroplasts. Polyphenoloxidase in Beta vulgaris. Plant Physiol. 1949, 24, 1. [Google Scholar] [CrossRef]
- Dubois, M.; Gilles, K.A.; Hamilton, J.K.; Rebers, P.A.; Smith, F. Colorimetric Method for Determination of Sugars and Related Substances. Anal. Chem. 1956, 28, 350–356. [Google Scholar] [CrossRef]
- Bradford, M.M. A Rapid and Sensitive Method for the Quantitation of Microgram Quantities of Protein Utilizing the Principle of Protein-Dye Binding. Anal. Biochem. 1976, 72, 248–254. [Google Scholar] [CrossRef]
- Rao, K.V.M.; Sresty, T.V.S. Antioxidative Parameters in the Seedlings of Pigeonpea (Cajanus cajan (L.) Millspaugh) in Response to Zn and Ni Stresses. Plant Sci. 2000, 157, 113–128. [Google Scholar] [CrossRef]
- Velikova, V.; Yordanov, I.; Edreva, A. Oxidative Stress and Some Antioxidant Systems in Acid Rain-Treated Bean Plants: Protective Role of Exogenous Polyamines. Plant Sci. 2000, 151, 59–66. [Google Scholar] [CrossRef]
- Beyer, W.F., Jr.; Fridovich, I. Assaying for Superoxide Dismutase Activity: Some Large Consequences of Minor Changes in Conditions. Anal. Biochem. 1987, 161, 559–566. [Google Scholar] [CrossRef]
- Aebi, H. Catalase in Vitro. In Methods in Enzymology; Elsevier: Amsterdam, The Netherlands, 1984; Volume 105, pp. 121–126. ISBN 0076-6879. [Google Scholar]
- Nakano, Y.; Asada, K. Hydrogen Peroxide Is Scavenged by Ascorbate-Specific Peroxidase in Spinach Chloroplasts. Plant Cell Physiol. 1981, 22, 867–880. [Google Scholar]
- Singleton, V.L.; Rossi, J.A. Colorimetry of Total Phenolics with Phosphomolybdic-Phosphotungstic Acid Reagents. Am. J. Enol. Vitic. 1965, 16, 144–158. [Google Scholar]
- Ors, S.; Ekinci, M.; Yildirim, E.; Sahin, U.; Turan, M.; Dursun, A. Interactive Effects of Salinity and Drought Stress on Photosynthetic Characteristics and Physiology of Tomato (Lycopersicon esculentum L.) Seedlings. South Afr. J. Bot. 2021, 137, 335–339. [Google Scholar] [CrossRef]
- Tahiri, A.; Meddich, A.; Raklami, A.; Alahmad, A.; Bechtaoui, N.; Anli, M.; Göttfert, M.; Heulin, T.; Achouak, W.; Oufdou, K. Assessing the Potential Role of Compost, PGPR, and AMF in Improving Tomato Plant Growth, Yield, Fruit Quality, and Water Stress Tolerance. J. Soil Sci. Plant Nutr. 2022, 22, 743–764. [Google Scholar] [CrossRef]
- Kumar, A.; Sengar, R.S.; Pathak, R.K.; Singh, A.K. Integrated Approaches to Develop Drought-Tolerant Rice: Demand of Era for Global Food Security. J. Plant Growth Regul. 2022, 1–25. [Google Scholar] [CrossRef]
- Chaudhry, S.; Sidhu, G.P.S. Climate Change Regulated Abiotic Stress Mechanisms in Plants: A Comprehensive Review. Plant Cell Reports 2021, 41, 1–31. [Google Scholar] [CrossRef]
- Roy, P.C.; Guber, A.; Abouali, M.; Nejadhashemi, A.P.; Deb, K.; Smucker, A.J.M. Crop Yield Simulation Optimization Using Precision Irrigation and Subsurface Water Retention Technology. Environ. Model. Softw. 2019, 119, 433–444. [Google Scholar] [CrossRef]
- Raklami, A.; Bechtaoui, N.; Tahiri, A.; Anli, M.; Meddich, A.; Oufdou, K. Use of Rhizobacteria and Mycorrhizae Consortium in the Open Field as a Strategy for Improving Crop Nutrition, Productivity and Soil Fertility. Front. Microbiol. 2019, 10, 1106. [Google Scholar] [CrossRef] [PubMed]
- Hassan Hommadi, A.; Anwer Almasraf, S. Subsurface Water Retention Technology Improves Water Use Efficiency and Water Productivity for Hot Pepper. J. Kerbala Univ. 2018, 14, 125–135. [Google Scholar]
- Hafez, E.; Farig, M. Efficacy of Salicylic Acid as a Cofactor for Ameliorating Effects of Water Stress and Enhancing Wheat Yield and Water Use Efficiency in Saline Soil. Int. J. Plant Prod. 2019, 13, 163–176. [Google Scholar] [CrossRef]
- Liu, X.; Fan, Y.; Long, J.; Wei, R.; Kjelgren, R.; Gong, C.; Zhao, J. Effects of Soil Water and Nitrogen Availability on Photosynthesis and Water Use Efficiency of Robinia pseudoacacia Seedlings. J. Environ. Sci. 2013, 25, 585–595. [Google Scholar] [CrossRef]
- Baca Cabrera, J.C.; Hirl, R.T.; Schäufele, R.; Macdonald, A.; Schnyder, H. Stomatal Conductance Limited the CO2 Response of Grassland in the Last Century. BMC Biol. 2021, 19, 50. [Google Scholar] [CrossRef]
- Franco-Navarro, J.D.; Rosales, M.A.; Cubero-Font, P.; Calvo, P.; Alvarez, R.; Diaz-Espejo, A.; Colmenero-Flores, J.M. Chloride as a Macronutrient Increases Water-use Efficiency by Anatomically Driven Reduced Stomatal Conductance and Increased Mesophyll Diffusion to CO2. Plant J. 2019, 99, 815–831. [Google Scholar]
- Ainsworth, E.A.; Rogers, A. The Response of Photosynthesis and Stomatal Conductance to Rising [CO2]: Mechanisms and Environmental Interactions. Plant Cell Environ. 2007, 30, 258–270. [Google Scholar] [CrossRef]
- Deng, L.; Peng, C.; Kim, D.-G.; Li, J.; Liu, Y.; Hai, X.; Liu, Q.; Huang, C.; Shangguan, Z.; Kuzyakov, Y. Drought Effects on Soil Carbon and Nitrogen Dynamics in Global Natural Ecosystems. Earth-Sci. Rev. 2021, 214, 103501. [Google Scholar] [CrossRef]
- Moriwaki, T.; Falcioni, R.; Tanaka, F.A.O.; Cardoso, K.A.K.; Souza, L.A.; Benedito, E.; Nanni, M.R.; Bonato, C.M.; Antunes, W.C. Nitrogen-Improved Photosynthesis Quantum Yield Is Driven by Increased Thylakoid Density, Enhancing Green Light Absorption. Plant Sci. 2019, 278, 1–11. [Google Scholar] [CrossRef] [PubMed]
- Vanlerberghe, G.C.; Dahal, K.; Alber, N.A.; Chadee, A. Photosynthesis, Respiration and Growth: A Carbon and Energy Balancing Act for Alternative Oxidase. Mitochondrion 2020, 52, 197–211. [Google Scholar] [CrossRef] [PubMed]
- Benlloch-Tinoco, M.; Kaulmann, A.; Corte-Real, J.; Rodrigo, D.; Martínez-Navarrete, N.; Bohn, T. Chlorophylls and Carotenoids of Kiwifruit Puree Are Affected Similarly or Less by Microwave than by Conventional Heat Processing and Storage. Food Chem. 2015, 187, 254–262. [Google Scholar] [CrossRef] [PubMed]
- El, Y.M.; Sakar, E.H.; Boussakouran, A.; Rharrabti, Y. Physiological and Biochemical Responses of Young Olive Trees (Olea europaea L.) to Water Stress during Flowering. Arch. Biol. Sci. 2019, 71, 123–132. [Google Scholar] [CrossRef]
- Baslam, M.; Mitsui, T.; Hodges, M.; Priesack, E.; Herritt, M.T.; Aranjuelo, I.; Sanz-Sáez, Á. Photosynthesis in a Changing Global Climate: Scaling Up and Scaling Down in Crops. Front. Plant Sci. 2020, 11, 1–29. [Google Scholar] [CrossRef]
- Mas-Bargues, C.; Escrivá, C.; Dromant, M.; Borrás, C.; Viña, J. Lipid Peroxidation as Measured by Chromatographic Determination of Malondialdehyde. Human Plasma Reference Values in Health and Disease. Arch. Biochem. Biophys. 2021, 709, 108941. [Google Scholar] [CrossRef]
- Dios Alché, J. A Concise Appraisal of Lipid Oxidation and Lipoxidation in Higher Plants. Redox Biol. 2019, 23, 101136. [Google Scholar] [CrossRef]
- Hasanuzzaman, M.; Bhuyan, M.H.M.; Zulfiqar, F.; Raza, A.; Mohsin, S.M.; Mahmud, J.A.; Fujita, M.; Fotopoulos, V. Reactive Oxygen Species and Antioxidant Defense in Plants under Abiotic Stress: Revisiting the Crucial Role of a Universal Defense Regulator. Antioxidants 2020, 9, 681. [Google Scholar] [CrossRef]
- Lahbouki, S.; Ben-Laouane, R.; Anli, M.; Boutasknit, A.; Ait-Rahou, Y.; Ait-El-Mokhtar, M.; El Gabardi, S.; Douira, A.; Wahbi, S.; Outzourhit, A. Arbuscular Mycorrhizal Fungi and/or Organic Amendment Enhance the Tolerance of Prickly Pear (Opuntia ficus-indica) under Drought Stress. J. Arid. Environ. 2022, 199, 104703. [Google Scholar] [CrossRef]
- Benaffari, W.; Boutasknit, A.; Anli, M.; Ait-El-Mokhtar, M.; Ait-Rahou, Y.; Ben-Laouane, R.; Ben Ahmed, H.; Mitsui, T.; Baslam, M.; Meddich, A. The Native Arbuscular Mycorrhizal Fungi and Vermicompost-Based Organic Amendments Enhance Soil Fertility, Growth Performance, and the Drought Stress Tolerance of Quinoa. Plants 2022, 11, 393. [Google Scholar] [CrossRef]
- Ben-Laouane, R.; Ait-El-Mokhtar, M.; Anli, M.; Boutasknit, A.; Rahou, Y.A.; Raklami, A.; Oufdou, K.; Wahbi, S.; Meddich, A. Green Compost Combined with Mycorrhizae and Rhizobia: A Strategy for Improving Alfalfa Growth and Yield Under Field Conditions. Gesunde Pflanz. 2021, 73, 193–207. [Google Scholar] [CrossRef]
- Altaf, M.A.; Shahid, R.; Ren, M.-X.; Naz, S.; Altaf, M.M.; Khan, L.U.; Tiwari, R.K.; Lal, M.K.; Shahid, M.A.; Kumar, R. Melatonin Improves Drought Stress Tolerance of Tomato by Modulating Plant Growth, Root Architecture, Photosynthesis, and Antioxidant Defense System. Antioxidants 2022, 11, 309. [Google Scholar] [CrossRef] [PubMed]
- Ahmad, P.; Sarwat, M.; Sharma, S. Reactive Oxygen Species, Antioxidants and Signaling in Plants. J. Plant Biol. 2008, 51, 167–173. [Google Scholar] [CrossRef]
- Farooq, M.; Ahmad, R.; Shahzad, M.; Sajjad, Y.; Hassan, A.; Shah, M.M.; Naz, S.; Khan, S.A. Differential Variations in Total Flavonoid Content and Antioxidant Enzymes Activities in Pea under Different Salt and Drought Stresses. Sci. Hortic. 2021, 287, 110258. [Google Scholar] [CrossRef]
- Chiappero, J.; del Rosario Cappellari, L.; Alderete, L.G.S.; Palermo, T.B.; Banchio, E. Plant Growth Promoting Rhizobacteria Improve the Antioxidant Status in Mentha piperita Grown under Drought Stress Leading to an Enhancement of Plant Growth and Total Phenolic Content. Ind. Crops Prod. 2019, 139, 111553. [Google Scholar] [CrossRef]
- Lahbouki, S.; Ben-Laouane, R.; Outzourhit, A.; Meddich, A. The Combination of Vermicompost and Arbuscular Mycorrhizal Fungi Improves the Physiological Properties and Chemical Composition of Opuntia ficus-indica under Semi-Arid Conditions in the Field. Arid. Land Res. Manag. 2022, 1–26. [Google Scholar] [CrossRef]
- Pari, L.; Stefanoni, W.; Palmieri, N.; Latterini, F. Assessing the Performance of a Subsurface Water Retention System (SWRS) Prototype: First Evaluation of Work Productivity and Costs. Inventions 2022, 7, 25. [Google Scholar] [CrossRef]
- Gao, W.-Q.; Wang, P.; Wu, Q.-S. Functions and Application of Glomalin-Related Soil Proteins: A Review. Sains Malays. 2019, 48, 111–119. [Google Scholar] [CrossRef]
- Ji, L.; Tan, W.; Chen, X. Arbuscular Mycorrhizal Mycelial Networks and Glomalin-Related Soil Protein Increase Soil Aggregation in Calcaric Regosol under Well-Watered and Drought Stress Conditions. Soil Tillage Res. 2019, 185, 1–8. [Google Scholar] [CrossRef]
- Bogati, K.; Walczak, M. The Impact of Drought Stress on Soil Microbial Community, Enzyme Activities and Plants. Agronomy 2022, 12, 189. [Google Scholar] [CrossRef]
- Staszel, K.; Lasota, J.; Błońska, E. Effect of Drought on Root Exudates from Quercus Petraea and Enzymatic Activity of Soil. Sci. Rep. 2022, 12, 7635. [Google Scholar] [CrossRef] [PubMed]
- Preece, C.; Verbruggen, E.; Liu, L.; Weedon, J.T.; Peñuelas, J. Effects of Past and Current Drought on the Composition and Diversity of Soil Microbial Communities. Soil Biol. Biochem. 2019, 131, 28–39. [Google Scholar] [CrossRef]
- Dehghanian, H.; Halajnia, A.; Lakzian, A.; Astaraei, A.R. The Effect of Earthworm and Arbuscular Mycorrhizal Fungi on Availability and Chemical Distribution of Zn, Fe and Mn in a Calcareous Soil. Appl. Soil Ecol. 2018, 130, 98–103. [Google Scholar] [CrossRef]
- Yadav, R.; Ror, P.; Rathore, P.; Kumar, S.; Ramakrishna, W. Bacillus subtilis CP4, Isolated from Native Soil in Combination with Arbuscular Mycorrhizal Fungi Promotes Biofortification, Yield and Metabolite Production in Wheat under Field Conditions. J. Appl. Microbiol. 2021, 131, 339–359. [Google Scholar] [CrossRef]
Publisher’s Note: MDPI stays neutral with regard to jurisdictional claims in published maps and institutional affiliations. |
© 2022 by the authors. Licensee MDPI, Basel, Switzerland. This article is an open access article distributed under the terms and conditions of the Creative Commons Attribution (CC BY) license (https://creativecommons.org/licenses/by/4.0/).



