An NMR Investigation of the Influence of Cation Content in Polymer Ion Retarder on Hydration of Oil Well Cement
Abstract
:1. Introduction
2. Materials and Methods
2.1. Reagents and Instruments
2.2. Synthesis of IADN Retarder
2.3. Analysis Methods
3. Results and Discussion
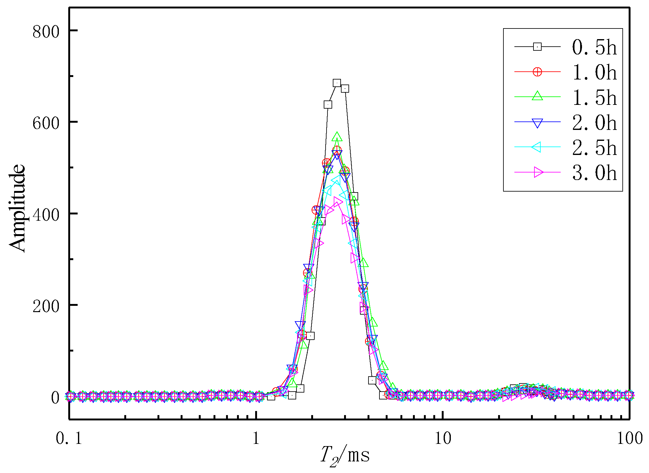
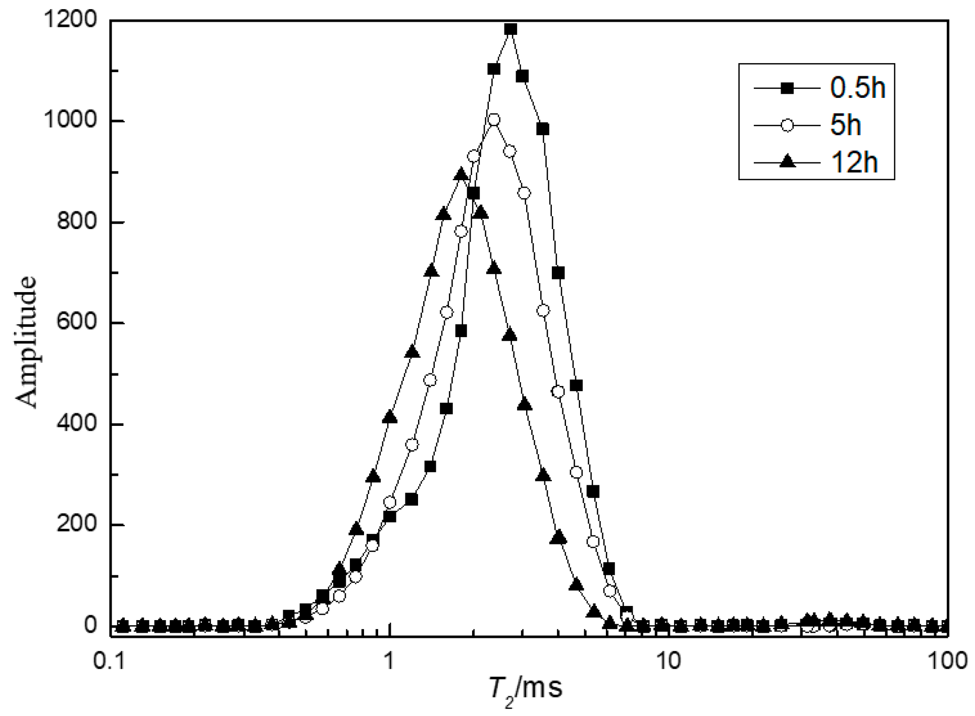
3.1. Effect of Retarder on T2 Distribution of Cement Slurry
3.2. Effect of DMC Content in Retarder on Relaxation Time T2
3.3. Effect of Cationic Dosage on Thickening Property and Compressive Strength of Cement Slurry
3.4. Effect of Temperature and Pressure on Thickening Performance of Cement Slurry
3.5. XRD Analysis of the Influence of Polymeric Ion Retarder on the Hydration Performance of Cement
4. Conclusions
- The water phases in the early hydration stage of cement slurry, wrapped water in precipitate and free water, were characterized using NMR, which shows that the former is the major reaction phase.
- Compared to the blank cement slurry, the relaxation time T2 of the cement slurry with a retarder shifted to the right, and the relaxation duration, relaxation peak value, and relaxation area dropped during the hydration process. This indicates that the retarder reduced the van der Waals and electrostatic forces as well as the hydration reaction rate between the wrapped water in the precipitate and the cement particles, resulting in low early cement strength and a longer hardening time.
- The addition of cationic DMC to the retarder promoted the amount of chemically bound water in the hydration products of the cement slurry, thereby improving the cement slurry’s early hydration, reducing the prolonged curing of the cement slurry containing a conventional retarder at lower temperatures, and improving the early strength of the cementing in the upper low-temperature well section with a large temperature difference.
- XRD analysis results show that introducing cationic DMC into the retarder could promote the formation of Ca(OH)2 crystal and C-S-H gel, enhancing the early strength development of the cement slurry, and ensuring the cement slurry strength in low-temperature well sections.
Author Contributions
Funding
Data Availability Statement
Conflicts of Interest
References
- Su, R.; Li, Q. Study and application of high temperature retarder GH-9 for cement slurry. Drill. Fluid Complet. 2005, 22, 89–92. [Google Scholar]
- Rigby, T.L. Gas Migration in Oilwell Cements. Ph.D. Thesis, Howard University, Washington, DC, USA, 2008. [Google Scholar]
- Liu, K.; Cheng, X.; Zhang, X.; Guo, X.; Zhuang, J. Design of low-density cement optimized by cellulose-based fibre for oil and natural gas wells. Powder Technol. 2018, 338, 506–518. [Google Scholar] [CrossRef]
- Guo, S. Key Technology Research of Slurry System Suited for Long Cementing Interval in Deep Well. Ph.D. Thesis, China University of Petroleum (East China), Qingdao, China, 2013. [Google Scholar]
- Zhao, C.; Zhang, C.; Sun, H. Development and application of the well cement retarder SD210L with a wide high temperature range. Nat. Gas Ind. 2013, 33, 90–94. [Google Scholar]
- Guo, Z.; Liu, Z.; Liao, K.; Yang, X. Research status of synthetic oil well cement retarder. Recent Pat. Eng. 2021, 15, 53–59. [Google Scholar]
- Zhang, L.; Zhuang, J.; Liu, H.; Li, H.M.; Zhao, Z. Terpolymerization and performance of 2-acrylamide-2-methyl propane sulfonic acid/itaconic acid/N-vinyl-2-pyrrolidone. J. Appl. Polym. 2010, 117, 2951–2957. [Google Scholar] [CrossRef]
- Zhao, H.; Ye, T.; Wang, Q. Laboratory synthesis and evaluation of a new high-temperature retarder PC-H42L. J. Yangtze Univ. (Nat. Sci. Ed.) 2012, 9, 73–74. [Google Scholar]
- Guo, S.; Bu, Y.; Shen, Z.; Du, F.; Ma, C. The Effect of Synthesis conditions on the performance of large temperature difference retarder. Res. J. Appl. Sci. Eng. Technol. 2013, 5, 4751–4756. [Google Scholar]
- Guo, J.; Xia, X.; Liu, S.; Jin, J.; Yu, Y.; Yu, Q. A high temperature retarder HTR-300L applied in long cementing interval. Pet. Explor. Dev. 2013, 40, 656–660. [Google Scholar] [CrossRef]
- Qin, W. Cementing technological present situation and development direction. Oil Forum 2007, 2007, 6–11. [Google Scholar]
- Li, S.; Tu, R. Analysis of long interval isolation cementing technology. Guide Bus. 2012, 2012, 276–277. [Google Scholar]
- Zhao, B.; Zou, J.; Liu, A. Research and application on new type of retarder used in long cementing intervals. Drill. Fluid Complet. Fluid 2011, 28, 10–12. [Google Scholar]
- Al-Yami, A.S.; Al-Arfaj, M.K.; Nasr-El-Din, H.A. Development of new retarder systems to mitigate differential cement setting in long deep liners. In Proceedings of the SPE/IADC Middle East Drilling and Technology Conference, Cairo, Egypt, 22–24 October 2007; p. 107538. [Google Scholar]
- Zhou, B.; Han, Q.; Yang, P. Characterization of nanoporous systems in gas shales by low field NMR cryoporometry. Energy Fuels 2016, 30, 9122–9131. [Google Scholar] [CrossRef]
- Yan, J.P.; He, X.; Geng, B.; Hu, Q.H.; Feng, C.Z.; Kou, X.P.; Li, X.W. Nuclear magnetic resonance T2 spectrum: Multifractal characteristics and pore structure evaluation. Appl. Geophys. 2017, 14, 205–215. [Google Scholar] [CrossRef]
- Adams, A. Analysis of solid technical polymers by compact NMR. Trends Anal. Chem. 2016, 83, 107–119. [Google Scholar] [CrossRef]
- Blümich, B.; Singh, K. Desktop NMR and its applications from materials science to organic chemistry. Angew. Chem. 2018, 57, 6996–7010. [Google Scholar] [CrossRef] [PubMed]
- Blümich, B. Introduction to compact NMR: A review of methods. TrAC Trends Anal. Chem. 2016, 83 Pt A, 2–11. [Google Scholar] [CrossRef]
- Blümich, B.; Perlo, J.; Casanova, F. Mobile single-sided NMR. Prog. Nucl. Magn. Reson. Spectrosc. 2008, 52, 197–269. [Google Scholar] [CrossRef]
- She, A.-m.; Yao, W. Research on hydration of cement at early age by proton NMR. J. Build. Mater. 2010, 13, 376–379. [Google Scholar]
- Zhu, D.; Deng, Z.; Chen, S. A review of nuclear magnetic resonance(NMR) technology applied in the characterization of polymer gels for petroleum reservoir conformance control. Pet. Sci. 2021, 18, 1760–1775. [Google Scholar] [CrossRef]
- Guo, J.C.; Zhou, H.Y.; Zeng, J.; Wang, K.J.; Lai, J.; Liu, Y.X. Advances in low-field nuclear magnetic resonance(NMR) technologies applied for characterization of pore space inside rocks: A critical review. Pet. Sci. 2020, 17, 1281–1297. [Google Scholar] [CrossRef]
- Xiao, J.-m.; Fan, H.-h. Application of solid-state nuclear magnetic resonance techniques in research of cement and hydration products. J. Mater. Sci. Eng. 2016, 34, 166–172. [Google Scholar] [CrossRef]
- She, A.-m.; Yao, W. Characterization of microstructure and specific surface area of pores in cement paste by low field nuclear magnetic resonance technique. J. Wuhan Univ. Technol. 2013, 28, 11–15. [Google Scholar]
- Sharma, S.; Casanova, F.; Wache, W.; Segre, A.; Blümich, B. Analysis of historical porous building materials by the NMR-MOUSE. Magn. Reson. Imaging 2003, 21, 249–255. [Google Scholar] [CrossRef] [PubMed]
- Strange, J.H.; Webber, J.B. Characterization of porous solids by NMR. Magn. Reson. Imaging 1995, 12, 257–259. [Google Scholar] [CrossRef]
- Cheng, F.Z.; Lei, X.W.; Meng, Q.S.; Chen, J. Pore Water content of solidified dredging silt and its distribution based on nuclear magnetic resonance. J. Yangtze River Sci. Res. Inst. 2016, 33, 116–120. [Google Scholar]
- Xiao, J.-M.; Fan, H.; Wu, Y.; Zeng, M. 29Si Solid-state high resolution NMR analysis of cement clinkers calcined by sewage sludge ash instead of clay. J. Mater. Sci. Eng. 2016, 34, 460–464. [Google Scholar]
- Ran, Q.-P.; Liu, J.-P.; Zhou, D.; Mao, Y.; Yang, Y. Research on effects and mechanism of amphoteric comb-like copolymers on dispersion and its retention of cement pasters. J. Build. Mater. 2012, 15, 158–162. [Google Scholar]
- Miljkovic, L.; Lasic, D.; MacTavish, J.C.; Pintar, M.M.; Blinc, R.; Lahajnar, G. NMR studies of hydrating cement: A spin–spin relaxation study of the early hydration stage. Cem. Concr. Res. 1988, 18, 951–956. [Google Scholar] [CrossRef]
- Bohris, A.J.; Goerke, U.; McDonald, P.J.; Mulheron, M.; Newling, B.; Le Page, B. A broad line NMR and MRI study of water and water transport in Portland cement pastes. Magn. Reson. Imaging 1998, 16, 455–461. [Google Scholar] [CrossRef]
- Zhang, R.; Wang, J.; Peng, Z. Effects of retarder on evolution process of water in cement paste. Fine Chem. 2016, 33, 1416–1421. [Google Scholar]










Publisher’s Note: MDPI stays neutral with regard to jurisdictional claims in published maps and institutional affiliations. |
© 2022 by the authors. Licensee MDPI, Basel, Switzerland. This article is an open access article distributed under the terms and conditions of the Creative Commons Attribution (CC BY) license (https://creativecommons.org/licenses/by/4.0/).
Share and Cite
Qi, Z.; Chen, Y.; Yang, H.; Gao, H.; Hu, C.; You, Q. An NMR Investigation of the Influence of Cation Content in Polymer Ion Retarder on Hydration of Oil Well Cement. Energies 2022, 15, 8881. https://doi.org/10.3390/en15238881
Qi Z, Chen Y, Yang H, Gao H, Hu C, You Q. An NMR Investigation of the Influence of Cation Content in Polymer Ion Retarder on Hydration of Oil Well Cement. Energies. 2022; 15(23):8881. https://doi.org/10.3390/en15238881
Chicago/Turabian StyleQi, Zhigang, Yang Chen, Haibo Yang, Hui Gao, Chenhui Hu, and Qing You. 2022. "An NMR Investigation of the Influence of Cation Content in Polymer Ion Retarder on Hydration of Oil Well Cement" Energies 15, no. 23: 8881. https://doi.org/10.3390/en15238881
APA StyleQi, Z., Chen, Y., Yang, H., Gao, H., Hu, C., & You, Q. (2022). An NMR Investigation of the Influence of Cation Content in Polymer Ion Retarder on Hydration of Oil Well Cement. Energies, 15(23), 8881. https://doi.org/10.3390/en15238881
