Research on Low-Carbon Energy Sharing through the Alliance of Integrated Energy Systems with Multiple Uncertainties
Abstract
1. Introduction
- (1)
- A cooperative game model is established to analyze the potential of cooperation between multiple gas–electric IESs. Through energy sharing, multiple subsystems play the role of mutual resource complementation in time and space, thus increasing the overall benefits of the system;
- (2)
- The method of asymmetric Nash bargaining is used to ensure that each participant can obtain benefits fairly and to enhance each individual’s willingness to participate. At the same time, the specific contribution of each participant to the cooperation is specifically considered, making the distribution mechanism more reasonable and effective;
- (3)
- In consideration of multiple uncertainties in renewable energy and source load, a robust optimization model of multiple regional systems is established to provide a solution for the sharing strategy of the alliance among multiple systems under uncertain environments.
2. Basic Framework of the System
3. System Models
3.1. Flexible Resource Models
3.1.1. Energy Storage Device
3.1.2. Demand Response
3.2. Low-Carbon Energy Sharing Model of Multiple Gas–Electric IESs
3.2.1. Objective Function
3.2.2. Constraints
- (1)
- Electricity balance constraint:
- (2)
- Gas energy balance constraint:
- (3)
- Unit power constraint:
- (4)
- P2G output constraint:
- (5)
- Carbon capture device constraint:
- (6)
- Constraints from power interactive coupling of each gas–electric IES:
4. Model and Solution of Asymmetric Nash Bargaining
5. Robust Optimization Model of Multiple Regional IESs and the Process of Solving
5.1. Algorithm 1: Outer Layer Algorithm
- (1)
- Parameter setting: relevant parameters are set in the modified particle swarm optimization algorithm. The parameters of the system are initialized;
- (2)
- Upper layer optimization: encoding is conducted to form the initial groups of uncertainty sets, that is, to randomly generate N groups of uncertainty scenario sets; the uncertainty scenario sets are transferred to subproblems at the lower layer;
- (3)
- Turning to Algorithm 2;
- (4)
- Returning to upper layer optimization: the current optimal solution (i.e., the worst scenario) is updated and replaced with the minimum f*; new uncertainty sets are generated using algorithm 1; the next step is to return to (4);
- (5)
- Optimum seeking: if convergent f* is obtained through calculation, the worst scenario and the optimization strategy results of problems at the lower layers are saved and the program is ended; otherwise, it is necessary to return to (4);
- (6)
- Finishing optimum seeking.
5.2. Algorithm 2: Inner Layer Algorithm
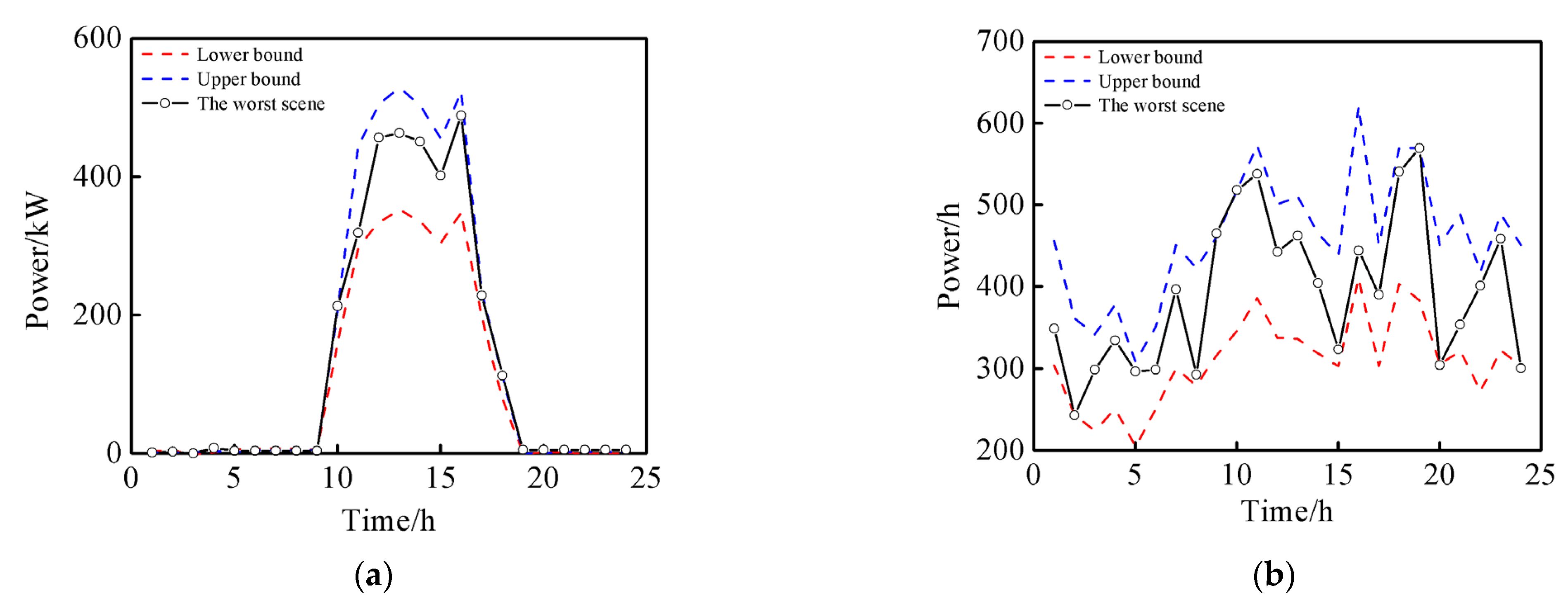
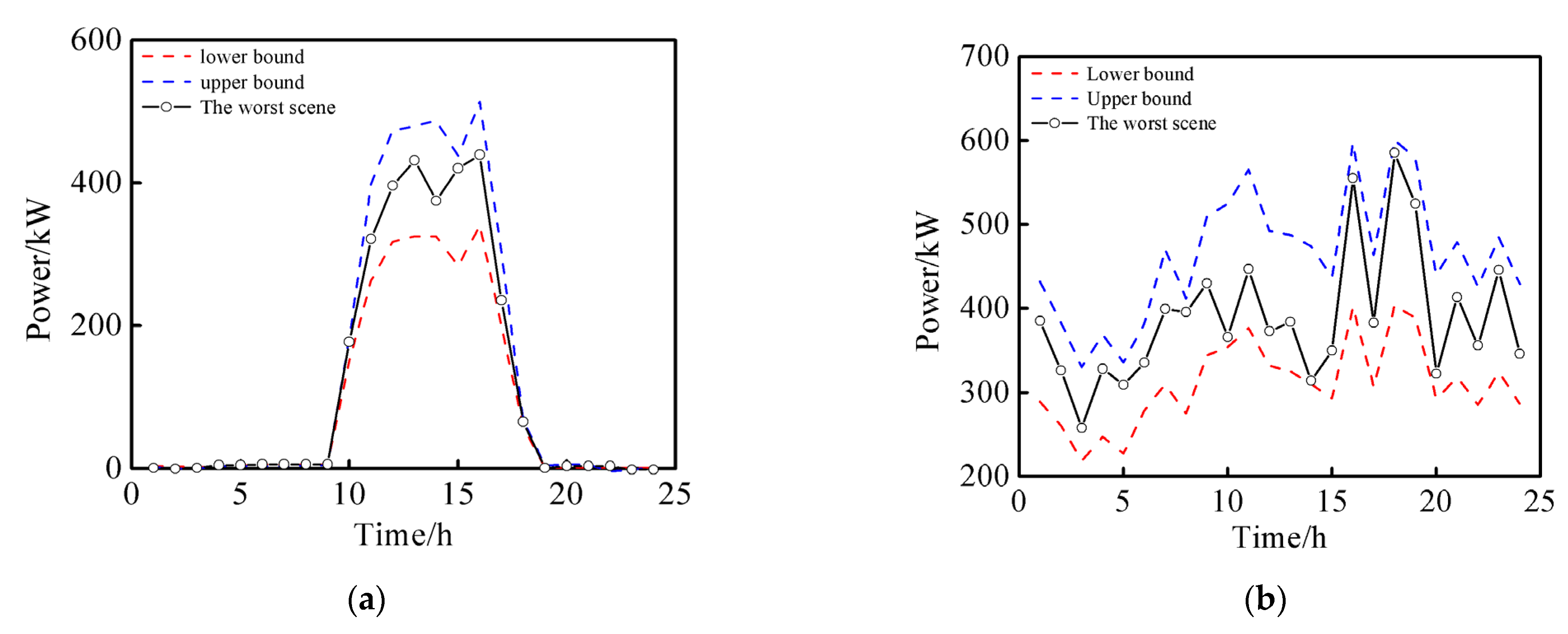
6. Example Analysis
7. Conclusions
Author Contributions
Funding
Data Availability Statement
Acknowledgments
Conflicts of Interest
References
- Quelhas, A.; Gil, E.; Mccalley, J.D.; Ryan, S.M. A Multiperiod Generalized Network Flow Model of the U.S. Integrated Energy System: Part I—Model Description. IEEE Trans. Power Syst. 2007, 22, 829–836. [Google Scholar] [CrossRef]
- Wei, C.; Qiu, Y.; Chen, J.; Wu, J.; Li, B.; Xu, J.; Gan, P.; Xing, X. Research on Energy Efficiency Evaluation of Independent Integrated Energy System. In Proceedings of the 2019 IEEE 3rd International Electrical and Energy Conference (CIEEC), Beijing, China, 7–9 September 2019. [Google Scholar]
- Liu, J.; Wang, A.; Qu, Y.; Wang, W. Coordinated Operation of Multi-Integrated Energy System Based on Linear Weighted Sum and Grasshopper Optimization Algorithm. IEEE Access 2018, 6, 1. [Google Scholar] [CrossRef]
- Cheng, Y.; Liu, M.; Chen, H.; Yang, Z.; Lund, H.; Kaiser, M.J. Optimization of multi-carrier energy system based on new operation mechanism modelling of power-to-gas integrated with CO2-based electrothermal energy storage. Energy 2021, 216, 11926. [Google Scholar] [CrossRef]
- Habibifar, R.; Khoshjahan, M.; Ghasemi, M.A. Optimal Scheduling of Multi-Carrier Energy System Based on Energy Hub Concept Considering Power-to-Gas Storage. In Proceedings of the IEEE PES Conference on Innovative Smart Grid Technologies North America (ISGT NA 2020), Washington, DC, USA, 17–20 February 2020. [Google Scholar]
- Al-Karaghouli, A.; Kazmerski, L.L. Energy consumption and water production cost of conventional and renewable-energy-powered desalination processes. Renew. Sustain. Energy Rev. 2013, 24, 343–356. [Google Scholar] [CrossRef]
- Zhao, H.; Guo, S. Uncertain Interval Forecasting for Combined Electricity-Heat-Cooling-Gas Loads in the Integrated Energy System Based on Multi-Task Learning and Multi-Kernel Extreme Learning Machine. Mathematics 2021, 9, 1645. [Google Scholar] [CrossRef]
- Yu, S.; Yan, S.; Liu, X.; Liu, B.; Liu, J. Day-ahead optimal dispatch of integrated energy system considering wind power forecasting and integrated demand response. In Proceedings of the 2020 IEEE 1st China International Youth Conference on Electrical Engineering (CIYCEE), Wuhan, China, 2–4 November 2020. [Google Scholar]
- Li, Z.; Zhang, Z. Day-Ahead and Intra-Day Optimal Scheduling of Integrated Energy System Considering Uncertainty of Source & Load Power Forecasting. Energies 2021, 14, 2539. [Google Scholar]
- Arabali, A.; Ghofrani, M.; Etezadi-Amoli, M.; Fadali, M.S. Stochastic Performance Assessment and Sizing for a Hybrid Power System of Solar/Wind/Energy Storage. IEEE Trans. Sustain. Energy 2014, 5, 363–371. [Google Scholar] [CrossRef]
- Gholami, M.; Sanjari, M.J. Multiobjective Energy Management in Battery-integrated Home Energy Systems. Renew. Energy 2021, 177, 967–975. [Google Scholar] [CrossRef]
- Zhou, Y.; Yu, W.; Zhu, S.; Yang, B.; He, J. Distributionally robust chance-constrained energy management of an integrated retailer in the multi-energy market. Appl. Energy 2021, 286, 116516. [Google Scholar] [CrossRef]
- Alabi, T.M.; Lu, L.; Yang, Z. Data-driven optimal scheduling of multi-energy system virtual power plant (MEVPP) incorporating carbon capture system (CCS), electric vehicle flexibility, and clean energy marketer (CEM) strategy. Appl. Energy 2022, 314, 118997. [Google Scholar] [CrossRef]
- Zhou, Y.; Wei, Z.; Sun, G.; Zang, H.; Shahidehpour, M. A Linear Chance Constrained Model for a Virtual Power Plant in Day-ahead, Real-time and Spinning Reserve Markets. In Proceedings of the 2019 IEEE Power & Energy Society General Meeting (PESGM), Atlanta, GA, USA, 4–8 August 2019. [Google Scholar]
- Hou, M.; Li, B.; Tian, S.; Shi, K. Research on the Cooperative and Optimal Scheduling Strategy of Multi-energy Demand Response Based on Cloud-Edge Communication. In Proceedings of the 2021 4th International Conference on Circuits, Systems and Simulation (ICCSS), Kuala Lumpur, Malaysia, 26–28 May 2021. [Google Scholar]
- Binato, S.; Pereira, M.; Granville, S. A new Benders decomposition approach to solve power transmission network design problems. IEEE Power Eng. Rev. 2007, 21, 62. [Google Scholar] [CrossRef]
- Quan, H.; Srinivasan, D.; Khambadkone, A.M.; Khosravi, A. A computational framework for uncertainty integration in stochastic unit commitment with intermittent renewable energy sources. Appl. Energy 2015, 152, 71–82. [Google Scholar] [CrossRef]
- Liu, C.; Wang, H.; Wang, Z.Y.; Liu, Z.; Tang, Y.; Yang, S. Research on life cycle low carbon optimization method of multi-energy complementary distributed energy system: A review. J. Clean. Prod. 2022, 336, 130380. [Google Scholar] [CrossRef]
- Liu, Z.; Cui, Y.; Wang, J.; Yue, C.; Agbodjan, Y.S.; Yang, Y. Multi-objective optimization of multi-energy complementary integrated energy systems considering load prediction and renewable energy production uncertainties. Energy 2022, 254, 121522. [Google Scholar] [CrossRef]
- Tushar, W.; Saha, T.K.; Yuen, C.; Morstyn, T.; Mcculloch, M.D.; Poor, H.V.; Wood, K.L. A Motivational Game-Theoretic Approach for Peer-to-Peer Energy Trading in the Smart Grid. Appl. Energy 2019, 243, 10–20. [Google Scholar] [CrossRef]
- Mussadiq, U.; Mahmood, A.; Razzaq, S. Economic and Climatic Impacts of Different Peer-to-Peer Game Theoretic-based Energy Trading Systems. IEEE Access 2020, 8, 195632–195644. [Google Scholar] [CrossRef]
- Abedinia, O.; Bagheri, M. Power Distribution Optimization Based on Demand Respond with Improved Multi-Objective Algorithm in Power System Planning. Energies 2021, 14, 2961. [Google Scholar] [CrossRef]
- Huang, Y.; Wang, Y.; Liu, N. A two-stage energy management for heat-electricity integrated energy system considering dynamic pricing of Stackelberg game and operation strategy optimization. Energy 2022, 244, 122576. [Google Scholar] [CrossRef]
- Ma, T.; Wu, J.; Hao, L.; Yan, H.; Li, D. A Real-Time Pricing Scheme for Energy Management in Integrated Energy Systems: A Stackelberg Game Approach. Energies 2018, 11, 2858. [Google Scholar] [CrossRef]
- Wang, R.; Cheng, S.; Zuo, X.; Liu, Y. Optimal management of multi stakeholder integrated energy system considering dual incentive demand response and carbon trading mechanism. Int. J. Energy Res. 2022, 46, 6246–6263. [Google Scholar] [CrossRef]
- Chis, A.; Koivunen, V. Coalitional Game-Based Cost Optimization of Energy Portfolio in Smart Grid Communities. IEEE Trans. Smart Grid 2019, 10, 1960–1970. [Google Scholar] [CrossRef]
- Jz, A.; Yi, T.A.; Yong, L.A.; Yc, A.; Yp, A.; Zz, A.; Yn, B.; Yz, B. Distributed Operation for Integrated Electricity and Heat System with Hybrid Stochastic/Robust Optimization—ScienceDirect. Int. J. Electr. Power Energy Syst. 2021, 128, 106680. [Google Scholar]
- Chen, C.; Sun, H.; Shen, X.; Guo, Y.; Guo, Q. Two-stage robust planning-operation co-optimization of energy hub considering precise energy storage economic model. Appl. Energy 2019, 252, 113372. [Google Scholar] [CrossRef]
- Hong, B.; Zhang, W.; Zhou, Y.; Chen, J.; Xiang, Y.; Mu, Y. Energy-Internet-oriented microgrid energy management system architecture and its application in China. Appl. Energy 2018, 228, 2153–2164. [Google Scholar] [CrossRef]
- Altan, A.; Hacıog, R. Model predictive control of three-axis gimbal system mounted on UAV for real-time target tracking under external disturbances. Mech. Syst. Signal Processing 2020, 138, 106548. [Google Scholar] [CrossRef]
- Cao, Y.; Wei, W.; Chen, L.; Wu, Q.; Mei, S. Supply Inadequacy Risk Evaluation of Stand-Alone Renewable Powered Heat-Electricity Energy Systems: A Data-Driven Robust Approach. IEEE Trans. Ind. Inform. 2021, 17, 1937–1947. [Google Scholar] [CrossRef]
- Alabdulwahab, A.; Abusorrah, A.; Zhang, X.; Shahidehpour, M. Coordination of Interdependent Natural Gas and Electricity Infrastructures for Firming the Variability of Wind Energy in Stochastic Day-Ahead Scheduling. IEEE Trans. Sustain. Energy 2017, 6, 606–615. [Google Scholar] [CrossRef]
- Zhou, S.; Sun, K.; Wu, Z.; Gu, W.; Li, J. Optimized operation method of small and medium-sized integrated energy system for P2G equipment under strong uncertainty. Energy 2020, 199, 117269. [Google Scholar] [CrossRef]
- Lu, S.; Gu, W.; Zhou, S.; Yao, S.; Pan, G. Adaptive Robust Dispatch of Integrated Energy System Considering Uncertainties of Electricity and Outdoor Temperature. IEEE Trans. Ind. Inform. 2019, 16, 4691–4702. [Google Scholar] [CrossRef]
- Zhong, J.; Cao, Y.; Li, Y.; Tan, Y.; Zeng, Z. Distributed Modeling Considering Uncertainties for Robust Operation of Integrated Energy System. Energy 2021, 224, 120179. [Google Scholar] [CrossRef]
- Lacy, R.; Molina, M.; Vaca, M.; Serralde, C.; Hernandez, G.; Rios, G.; Guzman, E.; Hernandez, R.; Perez, R. Life-cycle GHG assessment of carbon capture, use and geological storage (CCUS) for linked primary energy and electricity production. Int. J. Greenh. Gas Control 2015, 42, 165–174. [Google Scholar] [CrossRef]
- Ince, A.C.; Colpan, C.O.; Serincan, M.F. CO2 Capture and Utilization for Fuel Synthesis Synthesis. In Renewable Energy Based Solutions; Springer: Cham, Switzerland, 2022; pp. 619–642. [Google Scholar]












| Scenario | Cost of System Operation/Yuan | Cost of Carbon Emission/Yuan | Total Cost/Yuan |
|---|---|---|---|
| Scenario 1 | 24,662.07 | 46,820.99 | 71,483.01 |
| Scenario 2 | 22,837.84 | 0 | 22,837.84 |
| Scenario 3 | 22,422.13 | 0 | 22,422.13 |
| Scenario 4 | 23,438.66 | 0 | 23,438.66 |
| Scenario | IES 1/Yuan | IES 2/Yuan | IES 3/Yuan |
|---|---|---|---|
| Scenario 1 | 27,497.96 | 21,226.30 | 22,758.74 |
| Scenario 2 | 9993.15 | 6276.47 | 6568.21 |
| Scenario 3 | 7576.17 | 7779.87 | 7066.09 |
| Scenario 4 | 7938.73 | 8096.70 | 7403.22 |
| Mode | Subsystem 1/Yuan | Subsystem 2/Yuan | Subsystem 3/Yuan |
|---|---|---|---|
| Prebargaining | 7576.17 | 7779.87 | 7066.09 |
| Bargaining transfer | +2325.38 | −1711.09 | −614.28 |
| Postbargaining | 9901.55 | 6068.78 | 6451.81 |
| Mode | Subsystem 1/Yuan | Subsystem 2/Yuan | Subsystem 3/Yuan |
|---|---|---|---|
| Prebargaining | 7938.73 | 8096.70 | 7403.22 |
| Bargaining transfer | +1541.62 | −641.57 | −900.05 |
| Postbargaining | 9480.35 | 7455.13 | 6503.17 |
Publisher’s Note: MDPI stays neutral with regard to jurisdictional claims in published maps and institutional affiliations. |
© 2022 by the authors. Licensee MDPI, Basel, Switzerland. This article is an open access article distributed under the terms and conditions of the Creative Commons Attribution (CC BY) license (https://creativecommons.org/licenses/by/4.0/).
Share and Cite
Shi, Z.; Han, W.; Zhang, G.; Bai, Z.; Zhu, M.; Lv, X. Research on Low-Carbon Energy Sharing through the Alliance of Integrated Energy Systems with Multiple Uncertainties. Energies 2022, 15, 9604. https://doi.org/10.3390/en15249604
Shi Z, Han W, Zhang G, Bai Z, Zhu M, Lv X. Research on Low-Carbon Energy Sharing through the Alliance of Integrated Energy Systems with Multiple Uncertainties. Energies. 2022; 15(24):9604. https://doi.org/10.3390/en15249604
Chicago/Turabian StyleShi, Zhihan, Weisong Han, Guangming Zhang, Zhiqing Bai, Mingxiang Zhu, and Xiaodong Lv. 2022. "Research on Low-Carbon Energy Sharing through the Alliance of Integrated Energy Systems with Multiple Uncertainties" Energies 15, no. 24: 9604. https://doi.org/10.3390/en15249604
APA StyleShi, Z., Han, W., Zhang, G., Bai, Z., Zhu, M., & Lv, X. (2022). Research on Low-Carbon Energy Sharing through the Alliance of Integrated Energy Systems with Multiple Uncertainties. Energies, 15(24), 9604. https://doi.org/10.3390/en15249604

