A Smart Fault-Tackling Strategy Based on PFTE for AC Three-Phase-to-Ground Faults in the Multi-Terminal HVDC Wind Power Integration System: Further Foundings
Abstract
:1. Introduction
2. Configuration and Control Strategy for the MTDC Wind Power Integration System
2.1. Configuration of the MTDC Wind Power Integration System
2.2. Control of the MTDC Wind Power Integration System
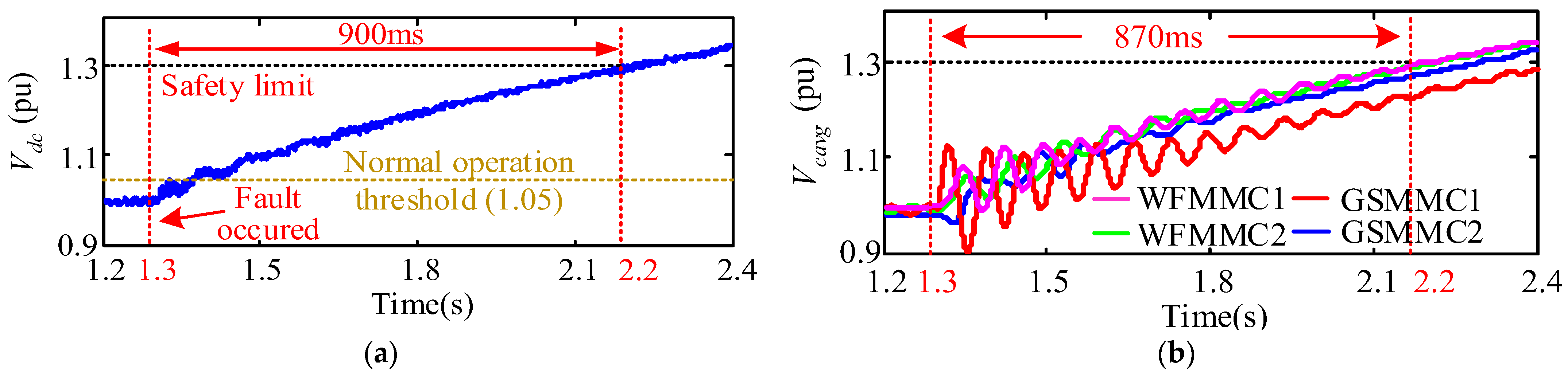
3. Analysis of Fault Characteristics and Transient Energy Transfer
- F1 fault: instantaneous AC TPG fault on the converter at GSMMC1;
- F2 fault: permanent AC TPG fault on the converter at GSMMC1;
- F3 fault: instantaneous AC TPG fault on the converter at GSMMC2;
- F4 fault: permanent AC TPG fault on the converter at GSMMC2.
3.1. Analysis of AC Faults at Different Positions
3.2. Analysis of AC Faults with Different Properties
4. Smart Fault-Tackling Strategy Based on PFTE for AC TPG Faults
4.1. Power Flow Transient Entropy
4.2. The Smart Fault-Tackling Strategy for Uninterrupted Operation of the System
4.2.1. Step I: AC TPG Fault Location Strategy
4.2.2. Step II: Transient Energy Dissipation
4.2.3. Step III: AC TPG Fault Property Identification
4.2.4. Step IV: Coordinative Control of the Wind Farm and DRs
5. Validation Results
5.1. Diagnosis and Ride-through of the F1 Fault
5.2. Diagnosis and Ride-through of the F2 Fault
5.3. Diagnosis and Ride-through of the F3 Fault
5.4. Diagnosis and Ride-through of the F4 Fault
6. Conclusions
Author Contributions
Funding
Institutional Review Board Statement
Informed Consent Statement
Data Availability Statement
Acknowledgments
Conflicts of Interest
Appendix A
ΔH | |
---|---|
1% | 8.4% |
2% | 22.5% |
5% | 41.6% |
10% | 56.25% |
20% | 71.05% |
References
- Moawwad, A.; El Moursi, M.S.; Xiao, W. A Novel Transient Control Strategy for VSC-HVDC Connecting Offshore Wind Power Plant. IEEE Trans. Sustain. Energy 2014, 5, 1056–1069. [Google Scholar] [CrossRef]
- Li, R.; Yu, L.; Xu, L. Offshore AC Fault Protection of Diode Rectifier Unit-Based HVdc System for Wind Energy Transmission. IEEE Trans. Ind. Electron. 2019, 66, 5289–5299. [Google Scholar] [CrossRef] [Green Version]
- Global Wind Energy Council. Global Wind Report 2021. Available online: https://www.gwec.net/ (accessed on 25 March 2021).
- Qin, J.C.; Saeedifard, M.; Rockhill, A.; Zhou, R. Hybrid design of modular multilevel converters for HVDC systems based on various submodule circuits. IEEE Trans. Power Deliv. 2015, 30, 385–394. [Google Scholar] [CrossRef]
- Ding, C.; Tian, X.; Nie, T.; Yuan, Z. Power Transfer Control Strategy Based on True Bipolar MMC-MTDC System. Energies 2021, 14, 8306. [Google Scholar] [CrossRef]
- Li, Y.; Li, J.; Xiong, L.; Zhang, X.; Xu, Z. DC Fault Detection in Meshed MTdc Systems Based on Transient Average Value of Current. IEEE Trans. Ind. Electron. 2020, 67, 1932–1943. [Google Scholar] [CrossRef]
- Zhang, H.; Gruson, F.; Florez Rodriguez, D.M.; Saudemont, C. Overvoltage Limitation Method of an Offshore Wind Farm with DC Series-Parallel Collection Grid. IEEE Trans. Sustain. Energy 2019, 10, 204–213. [Google Scholar] [CrossRef]
- de Souza, V.R.F.B.; Barros, L.S.; Costa, F.B. Modular Multilevel Converter for Low-Voltage Ride-Through Support in AC Networks. Energies 2021, 14, 5314. [Google Scholar] [CrossRef]
- Hoffmann, M.; Chamorro, H.R.; Lotz, M.R.; Maestre, J.M.; Rouzbehi, K.; Gonzalez-Longatt, F.; Kurrat, M.; Alvarado-Barrios, L.; Sood, V.K. Grid Code-Dependent Frequency Control Optimization in Multi-Terminal DC Networks. Energies 2020, 13, 6485. [Google Scholar] [CrossRef]
- Sun, K.; Li, K.-J.; Lee, W.-J.; Wang, Z.-d.; Bao, W.; Liu, Z.; Wang, M. VSC-MTDC System Integrating Offshore Wind Farms Based Optimal Distribution Method for Financial Improvement on Wind Producers. IEEE Trans. Ind. Appl. 2019, 55, 2232–2240. [Google Scholar] [CrossRef]
- Shi, L.; Adam, G.P.; Li, R.; Xu, L. Enhanced Control of Offshore Wind Farms Connected to MTDC Network Using Partially Selective DC Fault Protection. IEEE J. Emerg. Sel. Top. Power Electron. 2021, 9, 2926–2935. [Google Scholar] [CrossRef]
- Sanusi, S.; Al Hosani, M.; EI Moursi, M.S. A Novel DC Fault Ride-Through Scheme for MTDC Networks Connecting Large-Scale Wind Parks. IEEE Trans. Sustain. Energy 2017, 8, 1086–1095. [Google Scholar] [CrossRef]
- Korde, N.; Bhagat, N.A. A Novel Fault Monitoring Mechanism on Overhead Transmission Line in Power Grid. In Proceedings of the International Conference on Intelligent Computing and Control (I2C2), Coimbatore, India, 23–24 June 2017; pp. 1–6. [Google Scholar]
- Li, G.; Liang, J.; Ma, F.; Ugalde-Loo, C.E.; Liang, H.; Li, H. Analysis of Single-Phase-to-Ground Faults at the Valve-Side of HB-MMCs in HVDC Systems. IEEE Trans. Ind. Electron. 2019, 66, 2444–2453. [Google Scholar] [CrossRef]
- Liu, W.; Li, G.; Liang, J.; Ugalde-Loo, C.E.; Li, C.; Guillaud, X. Protection of Single-Phase Fault at the Transformer Valve Side of FB-MMC-Based Bipolar HVdc Systems. IEEE Trans. Ind. Electron. 2020, 67, 8416–8427. [Google Scholar] [CrossRef] [Green Version]
- Feltes, C.; Wrede, H.; Koch, F.W.; Erlich, I. Enhanced fault ride-through method for wind farms connected to the grid through VSC-based HVDC transmission. IEEE Trans. Power Syst. 2009, 24, 1537–1546. [Google Scholar] [CrossRef]
- Silva, B.; Moreira, C.L.; Leite, H.; Pecas Lopes, J.A. Control Strategies for AC Fault Ride Through in Multiterminal HVDC Grids. IEEE Trans. Power Deliv. 2014, 29, 395–405. [Google Scholar] [CrossRef]
- He, L.; Liu, C.C.; Pitto, A.; Cirio, D. Distance protection of AC grid with HVDC-connected offshore wind generators. IEEE Trans. Power Deliv. 2014, 29, 493–501. [Google Scholar] [CrossRef]
- Fang, Y.; Jia, K.; Yang, Z.; Li, Y.; Bi, Y. Impact of Inverter-Interfaced Renewable Energy Generators on Distance Protection and an Improved Scheme. IEEE Trans. Ind. Electron. 2019, 66, 7078–7088. [Google Scholar] [CrossRef]
- Cao, S.; Zhang, X.; Xiang, W.; Wen, J. A Power Flow Transfer Entropy Based AC Fault Detection Method for the MTDC Wind Power Integration System. IEEE Trans. Ind. Electron. 2021, 68, 11614–11620. [Google Scholar] [CrossRef]
- Han, X.; Sima, W.; Yang, M.; Li, L.; Yuan, T.; Si, Y. Transient Characteristics under Ground and Short-Circuit Faults in a ±500kV MMC-Based HVDC System with Hybrid DC Circuit Breakers. IEEE Trans. Power Deliv. 2018, 33, 1378–1387. [Google Scholar] [CrossRef]
- Lin, X.; Guo, Q.; Guo, H.; Huang, L.; Chen, Q.; Li, S. Simulation Modeling and AC System Fault Control Strategy for the Multi-terminal Hybrid HVDC System based on RTDS. In Proceedings of the Sustainable Power and Energy Conference (iSPEC), Beijing, China, 21–23 November 2019; pp. 337–341. [Google Scholar]
- Beddard, A.; Barnes, M. AC fault ride-through of MMC VSC-HVDC systems. In Proceedings of the 7th IET International Conference on Power Electronics, Machines and Drives (PEMD 2014), Manchester, UK, 8–10 April 2014; pp. 1–6. [Google Scholar]
- Li, y.; Liu, H.; Liu, C.; Wei, C.; Jiang, W.; Wang, F.; Wang, Z. Study on AC-side dynamic braking-based fault ride-through control for islanded renewable energy system with grid-connected VSC-HVDC transmission. In Proceedings of the Chinese Automation Congress (CAC), Jinan, China, 20–22 October 2017; pp. 6108–6111. [Google Scholar]
- Geng, H.; Liu, L.; Li, R. Synchronization and Reactive Current Support of PMSG-Based Wind Farm During Severe Grid Fault. IEEE Trans. Sustain. Energy 2018, 9, 1596–1604. [Google Scholar] [CrossRef]
- Cao, S.; Xiang, W.; Yao, W.; Yang, B.; Wen, J. AC and DC fault ride through hybrid MMC integrating wind power. J. Eng. 2017, 13, 828–833. [Google Scholar] [CrossRef]
- Zhang, S.; Li, Y.; Jin, T.; Yu, H.; Yang, G.; Liu, Z. Analysis and Research on Power Flow Entropy Index of Power System. In Proceedings of the IEEE 3rd Advanced Information Technology, Electronic and Automation Control Conference (IAEAC), Chongqinq, China, 12–14 October 2018; pp. 1150–1153. [Google Scholar]
- Nentwig, C.; Haubrock, J.; Renner, R.H.; Van Hertem, D. Application of DC Choppers in HVDC Grids. In Proceedings of the IEEE International Energy Conference (ENERGYCON), Leuven, Belgium, 4–8 April 2016; pp. 1–5. [Google Scholar] [CrossRef]
- Maneiro, J.; Tennakoon, S.; Barker, C.; Hassan, F. Energy diverting converter topologies for hvdc transmission systems. In Proceedings of the 15th European Conference on Power Electronics and Applications (EPE), Lille, France, 2–6 September 2013; pp. 1–10. [Google Scholar]
- Shuyong, C.; Linyan, X.; Xu, S.; Xinnian, L.; Huawei, W.; Lingquan, Z. The Control of Wind Power Integration Based on Multi-Terminal High Voltage DC Transmission with Voltage Source Converter. Proc. CSEE 2014, 34, 32–38. (In Chinese) [Google Scholar]
MMC | WFMMC1 | WFMMC2 | GSMMC1 | GSMMC2 | |
---|---|---|---|---|---|
Parameters | |||||
Converter capacity/MVA | 750 | 1500 | 750 | 1500 | |
Grid side AC voltage/kV | 230 | 230 | 525 | 525 | |
DC voltage/kV | 500 | 500 | 500 | 500 | |
Connection transformer | Capacity /MVA | 1800 | 900 | 900 | 1800 |
Voltage ratio | 230/260 | 230/260 | 525/260 | 525/260 | |
Leakage resistance uk (%) | 15 | 15 | 15 | 15 | |
sub-module rated voltage/kV | 2.05 | 2.05 | 2.05 | 2.05 | |
sub-module number of per arm | 244 | 244 | 244 | 244 | |
sub-module capacitance/mF | 8 | 15 | 8 | 15 | |
Arm inductance/mH | 50 | 50 | 50 | 50 | |
Flat-wave reactor inductance /mH | 150 | 150 | 150 | 150 |
Publisher’s Note: MDPI stays neutral with regard to jurisdictional claims in published maps and institutional affiliations. |
© 2022 by the authors. Licensee MDPI, Basel, Switzerland. This article is an open access article distributed under the terms and conditions of the Creative Commons Attribution (CC BY) license (https://creativecommons.org/licenses/by/4.0/).
Share and Cite
Du, C.; Zhang, Q.; Cao, S. A Smart Fault-Tackling Strategy Based on PFTE for AC Three-Phase-to-Ground Faults in the Multi-Terminal HVDC Wind Power Integration System: Further Foundings. Energies 2022, 15, 768. https://doi.org/10.3390/en15030768
Du C, Zhang Q, Cao S. A Smart Fault-Tackling Strategy Based on PFTE for AC Three-Phase-to-Ground Faults in the Multi-Terminal HVDC Wind Power Integration System: Further Foundings. Energies. 2022; 15(3):768. https://doi.org/10.3390/en15030768
Chicago/Turabian StyleDu, Chuan, Qingzhi Zhang, and Shuai Cao. 2022. "A Smart Fault-Tackling Strategy Based on PFTE for AC Three-Phase-to-Ground Faults in the Multi-Terminal HVDC Wind Power Integration System: Further Foundings" Energies 15, no. 3: 768. https://doi.org/10.3390/en15030768
APA StyleDu, C., Zhang, Q., & Cao, S. (2022). A Smart Fault-Tackling Strategy Based on PFTE for AC Three-Phase-to-Ground Faults in the Multi-Terminal HVDC Wind Power Integration System: Further Foundings. Energies, 15(3), 768. https://doi.org/10.3390/en15030768