Abstract
Large-section special-shaped shield tunnels feature many advantages, such as versatility and a large space utilization rate in energy transmission and public transport; however, guaranteeing the quality of segments’ assembly is difficult. Based on the quasi-rectangular shield tunnel project of Hangzhou Line 9 in China, this study investigated the formation mechanism and control measures of lining segment assembly defects. By quantifying the manufacturing error and positioning error, a simulation program for segment assembly is developed to calculate the error. Furthermore, considering the relative accumulative error between the upper and lower T blocks, the finite element model of key blocks (T-LZ block) is established to perform mechanical analysis, based on which the relative error control standard of the key block under the corresponding working conditions is proposed. The results show that the assembly quality can be effectively improved by assembling the LZ block first and applying corresponding error control measures, and the displacement of the segment along the rZ direction should be carefully controlled during the construction. The error caused by normal assembly will not damage the LZ block, and the corresponding control standard under the action of multi-degree-of-freedom error (extreme case) is 9.8 mm. Using this method to predict the assembly quality of segments can provide a basis for actual construction control of segment assembly.
1. Introduction
At present, the construction of large-section special-shaped tunnels has become an important part of energy and transportation infrastructure construction. Special-shaped tunnels used as heat exchangers in the form of energy tunnels can sustainably meet the thermal energy needs of buildings across city districts [1,2,3]. Compared with circular tunnels, special-shaped tunnels can provide a larger available space and energy utilization rate for energy equipment. With an equal effective use space as a circular tunnel, the special-shaped tunnel can save more than 35% of the underground space [4,5]. Due to its special geometry, a large-section special-shaped shield tunnel is prone to lining segment damage during assembly, which not only affects the safety and durability of the tunnel structure but also increases the maintenance cost during the service period of the tunnel [6]. Engineering practice shows that assembly defects are closely related to segment damage. The damage is aggravated, and the stability of the tunnel structure is significantly affected under a special ground load [7,8,9,10]. In the process of shield tunnel construction, assembly defects will accumulate. If there are no corresponding control measures, the number of assembly defects increases ring by ring, and finally some serious problems, such as an inability to assemble segments, are induced.
Chen and Mo [11] assessed the segment damage of a shield tunnel and proposed that the biggest cause of segment damage is assembly defect. Reducing segment manufacturing and assembly error can effectively abate segment damage. Some scholars also believe that segment damage is mostly caused by longitudinal dislocation derived from assembly defects [12,13,14]. The essential result of segment damage caused by assembly defects is that it affects the contact state of segments [15]: the smaller the contact area between segments, the worse the bearing capacity. Cavalaro [16] proposed the use of contact deficiency as an index to measure assembly defects, and established 2D and 3D analytical and finite element models to quantitatively analyze the rotation limit of joints. Xu and Zhang [17] performed a statistical study on the large-scale lining segment cracking in a channel project crossing a river. Combined with numerical analysis and engineering experience, they proposed that the assembly defect is one of the main causes of segment cracking [18]. Most of the above studies only performed mechanical analysis on the mechanism of segment damage, and studied the control range of segment damage through a structural test and failure mode during actual construction. The obtained control standards are mainly based on structural service requirements (mainly about result control, for example, controlling the opening of joints within a certain value), and did not include the issue of error control. The formation mechanism of assembly defects and the quantitative relationship between various factors have been scarcely analyzed.
Based on the research on the assembly defects of shield tunnels, the main causes of assembly defects can be classified as design error, manufacturing error, or assembly positioning error [19,20]. Jeang [21] and Wu [22] believe that when the control details are unknown, the Gaussian function can be used to describe the distribution form of error values. Cavalaro [23] conducted in-depth research on the cumulative mechanism of the manufacturing error and assembly positioning error of shield tunnel segments, and proposed error control measures and indicators based on numerical analysis. Such studies havee mainly focused on the error control of circular shield tunnels, and are limited to the only the calculation of the two-dimensional and single degree of freedom. However, the special-shaped shield tunnel differs from the circular shield tunnel in terms of the stress and assembly of the segment structure. At present, no scholars have performed in-depth research on the segment assembly error control of a large-section special-shaped shield tunnel. Therefore, the segment assembly error and quality control in the construction of a quasi-rectangular shield tunnel is a novel and significant topic.
In previous studies, integrated analysis of the formation mechanism and the mechanical damage of segments has hardly ever been performed, both of which are closely correlated in engineering. There is no mature experience for the assembly control measures of the quasi-rectangular shield tunnel segment in China Hangzhou Metro Line 9. From the perspective of error control, this paper applies geometric calculation to assembly simulation research, obtaining the assembly sequence of key segments, the assembly quality of an integral ring, and its corresponding control measures. Then, the corresponding key block assembly error control standards (limit values of angle and displacement) are generated from the numerical analysis of the stress of key block segments. Finally, through the combined geometric and mechanical analysis, guidance for practical construction is provided.
2. Materials and Methods
2.1. Project Overview
A 11.83 m × 7.27 m quasi-rectangular earth pressure balance shield machine was used for the construction of the China Hangzhou Line 9. Considering the rationality and expansibility of the tunnel structure in the deep underground environment, the quasi-rectangular section contains 4 arcs, the lining ring is divided into 11 pieces, and the ring width is 1.2 m. The general section (column set up in the middle) is made of concrete segments, with an outer diameter of 11.5 m × 6.94 m, an inner diameter of 10.6 m × 6.037 m, and a thickness of 0.45 m. The quasi-rectangular shield machine is shown in Figure 1. The lining structure is classified as (ZR1) type and (ZR2) type, which are assembled by staggered joints (Figure 2). A 6-degree-of-freedom serial-type assembly machine was used for the assembly, and the accuracy of the assembly machine was 0.5 mm [24]. The burial depth at the top of the tunnel on the entry and exit line ranges from 2.5 to 10.46 m.
Figure 1.
Quasi-rectangular EPB shield machine.
Figure 2.
Segmentation diagram of segment. (a) (ZR1) segment; (b) (ZR2) segment.
2.2. Technical Framework
In this study, geometric simulation and mechanical calculation are integrated to jointly analyze the assembly error and control standard of the segments of a quasi-rectangular shield tunnel. Combined with the assembly quality analysis, the assembly measures are further optimized to improve the ring-forming quality of the segments. Finally, the accuracy of the simulation results is verified by the field-measured data. The overall technical framework is shown in Figure 3.
Figure 3.
Overall technical route framework.
2.3. Geometric Simulation Method of Assembly Error
2.3.1. Coordinate System and Segment Displacement Mode
The block diagram of the tunnel segment of this project is shown in Figure 2. The lining ring has a total of 11 pieces, consisting of an F piece, an L piece, 3 B pieces, 3 C pieces, and 2 T pieces and a column LZ block, between which the staggered seams are used for assembly.
To facilitate the expression of segment displacement and its error, two local coordinate systems are defined: segment centroid coordinate system (hereinafter referred to as the centroid coordinate system) and the contact surface coordinate system.
- (1)
- Centroid Coordinate System
The centroid coordinate system of the segment is defined because it can easily represent and calculate the displacement of the segment in 6 degrees of freedom (T, R, Z, rT, rR, rZ). The calculation result of the segment displacement is more intuitive.
The centroid coordinate system is established at the centroid of the segment, as shown in Figure 4. It is established at the lifting arm nut position of the current assembly block (it is very close to the centroid position), and the direction is radial R, shield propulsion direction Z, and tangential T (counterclockwise is positive, column downward is positive). The 6-DOF displacement of the segment is expressed in this coordinate system.
Figure 4.
Coordinate of the segments.
- (2)
- Contact Surface Coordinate System
The contact surface coordinate system is defined to make the displacement representation of the contact surface more intuitive, as shown in Figure 5. The displacement of the contact surface is expressed in this coordinate system, and T, R, and Z represent the tangential, radial, and longitudinal directions of the contact surface, respectively. The circumferential contact surface is marked as SZ+, SZ− surface, and the longitudinal contact surface is marked as ST+, ST− surface. The T1 block and T2 block have SR+ and SR− planes, and their definitions are the same and are not listed.
Figure 5.
Definition and coordinates of the surface.
- (3)
- 6-DOF Displacement Mode of Segment
The 6-DOF displacements of the segment include Z0, T0, R0, rZ0, rT0, and rR0, wherein Z0, T0, and R0 are translational displacements; rZ0, rT0, and rR0 (r represents rotation) are rotational displacements about the Z, T, and R axes of the centroid coordinate system, respectively; and the rotation direction complies with the right-hand rule. The subscript 0 is added to distinguish it from the displacement of the contact surface coordinate system. The displacements of adjacent segments correlate with the displacements on the contact surface, which should be converted from the centroid displacement during simulation to compute the adjustment of segments and calculate the joint dislocation and included angle.
The displacement of the contact surface is the relative displacement of adjacent contact surfaces, including displacements on longitudinal contact surfaces (ST+, ST−, SR+ and, SR−) and displacements on circumferential contact surfaces (SZ+, SZ−). The displacements (6 directions) of the contact surface S2 relative to S1 are represented in the coordinate system of the S1 surface, as shown in Figure 6.
Figure 6.
Motion of the interface.
- (4)
- Displacement Range of Contact Surface
Based on the principle that the bolt can normally penetrate the bolt hole and the nut can be tightened, the relative displacement range of the contact surface is calculated as the evaluation index of the joint connection quality (the probability of contact surface displacement exceeding the limit) in the post-treatment. The results are shown in Table 1.
Table 1.
Displacement range of the contact surface.
2.3.2. Calculation Assumptions and Parameter
The assembly simulation objective is the assembly defects caused by the segment production error and assembly positioning error. Defects include joint dislocation, opening, LZ and F block insertion gap, and relative displacement between contacting surfaces.
- (1)
- Calculation Assumptions
- (i)
- Assuming that the segment is a rigid body, the deformation during assembly is not considered.
- (ii)
- Since the assembly errors are small, the corner displacement values of the segments caused by translation and rotation are generally within several centimeters, so the coordinate system changes caused by the segment displacement are ignored.
- (iii)
- Segment manufacturing and assembly errors follow a Gaussian distribution.
- (2)
- Manufacturing Error
The manufacturing error is recorded as the difference between the actual manufacturing size and the design size of the segment. The arc error and width error are considered separately in the simulation calculation.
During construction or design, the error control value given is generally the tolerance Tol. In our study, it is assumed that the error follows a normal distribution, and the exceedance probability of the absolute value exceeding the tolerance Tol is 2.5%. Its standard deviation can be derived using .
The allowable manufacturing error of the width of a single segment is ±0.4 mm, and the arc length is ±1.0 mm. the manufacturing errors along the arc and width directions are obtained from and .
- (3)
- Positioning Error
The design position of the current segment is defined as LD, the optimal target position in the assembly is , and the actual position is L. The displacement from the actual position L of the current segment to the optimal target position is recorded as the positioning error:
where , L, and are vectors containing six components: T, R, Z, rT, rR, and rZ.
The positioning errors in 6 directions (, , , , , ) are calculated, respectively. In the process of segment assembly, because it us always in contact with adjacent segments, the positioning error along the translation direction is 0.
The standard deviation of the positioning error in the rotation direction is:
Based on the principle that the maximum stagger formed by the corner is dr = 1 mm, is calculated according to the following formula:
where lrZ is the maximum rotation radius of the segment along the rZ direction, that is, the distance from the farthest point on the segment to the Z axis.
The algorithms to compute , are similar to . The standard deviation of the positioning error of each segment is shown in Table 2.
Table 2.
Standard deviation of the location error.
2.3.3. Simulation Procedures
- (1)
- Generation of Segments
According to the design size, the manufacturing error parameters are added, and the numerical model of the segment is established for assembly calculation. The manufacturing error of the segment in a certain direction is simulated by applying displacements on corresponding contact surfaces: for an arc error with a size, the ST+, ST− surfaces are applied with an initial displacement Δ, and the manufacturing error in the width direction is treated in a similar way.
- (2)
- Segments Assembly
The segment assembly simulation is divided into the following four steps:
- (i)
- According to the actual position and assembly strategy of the assembled segment, the optimal target position of the current segment and its displacement , where relative to the design position are calculated.
- (ii)
- According to the actual position of the assembled segment, the variation range of the positioning error is calculated, and the random is generated according to the distribution function of the positioning error.
- (iii)
- The displacement of the actual position L of the current segment relative to the design position LD is calculated.
- (iv)
- The actual position L of the current segment is calculated. Thus, the assembly of the current segment is completed, and the assembly of the next segment is initiated.
Each step is described in detail below:
- (i)
- Calculation of the optimal target location
The six components of the or range are calculated, respectively. Based on the engineering practice, the strategy is as follows: the displacement in the rR and Z directions is calculated according to the circumferential seam fitting principle. The displacement in rT, rZ, T, and R directions is calculated according to the longitudinal seam fitting principle. The calculation sequence ensures the quality of the circumferential joint first, and then the quality of the longitudinal joint; and controls the rotation first, and then the translation.
The principle of circumferential seam fitting refers to the contact between the current segment and the protruding point of the previous segment, and the minimum relative displacement of the circumferential seam should be achieved, as shown in Figure 7. Under the principle of circumferential seam fitting, the calculation formula of the value and range is:
where:
Figure 7.
Schematic diagram of the ring-seam lamination principle.
Figure 7.
Schematic diagram of the ring-seam lamination principle.

is the Z-direction displacement of point i on the SZ− plane of the current segment, and point i is an arbitrary point on the SZ− plane of the current segment;
is the Z-direction displacement of point i′ on the SZ+ plane of the current segment, and point i′ is an arbitrary point on the SZ+ plane of the current segment;
t1 and t2 are the T-direction coordinates of the left and right end faces of the current segment, respectively;
d is the segment thickness;
tmax is the coordinate of in the T direction;
The T and R coordinates are all in the centroid coordinate system of the current segment, and the same below.
The longitudinal seam bonding principle refers to the longitudinal seam bonding between the current segment and the adjacent assembled segment in the ring, to minimize the relative displacement of the longitudinal seam, as shown in Figure 8. Under the principle of longitudinal joint fitting, the calculation formula of the value and range is:
where:
Figure 8.
Schematic diagram of the longitudinal-seam lamination principle.
Figure 8.
Schematic diagram of the longitudinal-seam lamination principle.

is the difference between the T-direction displacement of the corresponding point on the ST+ or ST− plane of the adjacent segment and the point i on the ST− or ST+ plane of the current segment. Point i is an arbitrary point on the ST− or ST+ plane of the current segment, and the same definition also applies to similar expressions.
d is the segment thickness;
and are the conversion function from the contact surface coordinate system to the centroid coordinate system;
is the rZ angle between the contact surface coordinate system and the centroid coordinate system.
Since the segments on the ST- plane and ST+ plane of the LZ block and F block were assembled at the time of insertion, the calculation principle of the LZ block or F block is that the central axis is aligned with the central axis of the contact surface of adjacent segments and inserted in the middle. In other words, the relative displacement along the R direction on the ST+ and ST- plane of the LZ block or F block with adjacent segments should be the smallest, and the other components of the relative displacement of the end faces on both sides are equal. The values of , , and and range of are still calculated according to Equations (14)–(17), and the calculation formulas of the other components are as follows. The formula is given by taking the LZ block as an example. The calculation of the F block is similar to the LZ block.
where:
is the SR+ plane of the adjacent T1 block corresponding to the ST plane of the LZ block;
is the SR+ plane of the adjacent T2 block corresponding to the ST+ plane of the LZ block;
is the length of the LZ block.
- (ii)
- Generation of the positioning error
Based on the Box–Muller method proposed by Scott D.W. [25], which uses a uniformly distributed pseudo-random function to generate random numbers with an arbitrary distribution, a random number from a normal distribution with upper and lower limits is generated to describe the change in the positioning error .
- (iii)
- Calculation of the actual displacement of segments
The displacement of the actual position L on the current segment relative to the design position LD is calculated according to the following formula.
- (iv)
- Calculation of the segment position after assembly
The actual position L of the current segment is calculated according to the following formula to complete the assembly of the current segment:
In Equations (18) and (19), , , , L, , and contain components in six directions: T, R, Z, rT, rR, and rZ.
- (3)
- Post Processing
Through simulation calculation, the segment attitude and the displacement of the contact surface of each segment are obtained. According to the segment attitude data, the relative displacement overrun frequency of the segment contact surface, the joint opening, LZ, and F block insertion clearance can be calculated as the basis for the assembly quality evaluation. Considering the subsequent mechanical analysis and field test application, the calculation formulas of the insertion gap and joint opening are provided here. The contact surface of each segment only outputs the data of the ST− plane and SZ- plane, and the contact surface data output by LZ is the data of the ST− plane and ST+ plane.
- (i)
- Joint opening
There is a displacement difference in the Z-direction between the each point on the SZ- surface and the corresponding point on the previous segment SZ+ surface. The maximum value of the difference is the opening of the circumferential seam, which is recorded as stretch Z:
There is a displacement difference in the T-direction between the each point on the ST- plane and the corresponding point on the previous segment ST+ plane. The maximum value of the difference is the opening of the circumferential seam, which is recorded as stretch T:
The joint opening is easy to measure and intuitive in engineering, so it is used as a parameter to reflect the assembly quality.
- (ii)
- The insertion gap between the LZ and F block
The insertion clearance of the LZ and F block is the T-direction component of the displacement relative to the ST- plane of adjacent segments. When it is positive, it means that the LZ and F block can be inserted normally. When it is negative, it means that the clearance of adjacent segments is too small, and it is difficult to insert the LZ or F block. This value can be used to measure the difficulty of inserting the LZ and F block. The LZ insertion gap is shown in Figure 9, and the definition of the block F insertion gap is similar.
Figure 9.
Schematic diagram of the LZ insertion gap.
2.4. Establishment of the Key Block Error Control Standard
2.4.1. Finite Element Method Modeling
The error control standard of the key block (T block and LZ block) is mainly obtained by mechanical analysis based on finite element analysis. The numerical model is simplified with the following assumptions for the T block and LZ block: (1) Only the main reinforcement of the LZ block is established, without considering stirrup and structural reinforcement; (2) since the main action of the T block on the LZ block is vertical compression, when considering the friction between the T block and the LZ block, the tangential action of the bolts can be ignored, and the bolts and bolt holes are omitted; and (3) the edge chamfer of the bolt handhole is not considered and is simplified to a right angle.
The concrete and embedded parts of the numerical model are simulated by the C3D8R solid element, and the reinforcement is simulated by a truss element. The mesh of the model is shown in Figure 10.
Figure 10.
Grid division of the finite element model.
The “face to face” contact is set to simulate the contact between the T block and LZ block during vertical loading. Referring to the shear stiffness experimental data of the circular tunnel joint, the friction coefficient between the poured concrete with fine steel formwork is 0.5. Since the end of the T block and both ends of the LZ block are in contact with each other, which is a dangerous area where local crushing may occur, a dense grid is required. Considering that it is difficult for the whole part to perform a uniform transition when meshing, fine mesh parts and coarse mesh parts are established, respectively. They are connected by binding constraints to reduce the size of the element. The binding relationship between the end of embedded parts and the upper part of the T block and the LZ block is shown in Figure 11. The main reinforcement of the LZ block (14C20+4C16) is embedded in the concrete through the embed restraint [26].
Figure 11.
Connection of parts under different mesh densities.
2.4.2. Constitutive Relation and Boundary Conditions
In the numerical model, the concrete damage constitutive model in the finite element software material library is adopted. The model assumes that concrete materials are mainly damaged by tensile cracking and crushing, and the elastic stiffness matrix of concrete is reduced by the introduction of a damage factor. For concrete under compression, the damage theory establishes the damage relationship based on the relationship between inelastic strain and the compression damage factor. For tension, the theory holds that the concrete crack width is the integral of the tensile strain and the crack zone width. Assuming that the crack zone width is constant, the tensile crack width–damage factor curve can be obtained [27,28,29], as shown in Figure 12. In addition, considering that the main reinforcement of the LZ block in the numerical model is HPB400 hot-rolled reinforcement and the yield strength is 400 MPa, the constitutive relationship of the reinforcement adopts the linear elastic ideal plastic model.
Figure 12.
Definition curve of the damage factor: (a) Damage factor to inelastic compressive strain; (b) Damage factor to crack width.
Since the LZ block is mainly subjected to vertical axial force, the calculation considers the working condition of the loading vertical force when the LZ block has a certain angle or translational error with the end face of the T block after assembly. The axial force calculation results of the uniform and equal stiffness body model in the design data are directly quoted. The model considers the weakening of the longitudinal joint stiffness and the transfer of joint internal force, and the design limit buried depth of 17 m is adopted for the calculation. At this time, the maximum axial force of the LZ block is 1842 kN.
By establishing the reference point at the T block position and coupling the T block element, the unit displacement in the error direction of the reference point is given, and the constraint reaction at this time is calculated, and the boundary spring stiffness in three directions can be obtained, as shown in Table 3.
Table 3.
Spring stiffness at the boundary of the T segment.
2.4.3. Limit for the Load Damage and Crack Resistance of the Structure
From the perspective of normal use, the assembly error control index of the T block is analyzed from two aspects: compression failure and tensile crack.
- (1)
- From the perspective of compression, compression failure is not allowed except for the contact surface (20 mm concrete elements), that is, the total compression strain should not exceed 0.0033 (Figure 12a). Finite element software defines the uniaxial compression curve through stress inelastic strain, and determines the damage state through the relationship between the inelastic strain and compression damage factor. Therefore, the functional relationship between the stress and damage factor is established through inelastic strain, namely the position of equivalent stress in the uniaxial stress–strain curve can be accessed through the damage factor. Therefore, it is determined that the inelastic strain of concrete in compression failure is 0.002 and the damage factor for compression stress is 0.46.
- (2)
- From the perspective of applicability and durability, the width of the concrete tensile crack should not exceed 0.2 mm. Figure 12b establishes the relationship curve between the tensile crack width and the tensile damage factor. From the curve, the corresponding tensile damage factor of 0.2 mm is 0.996.
2.4.4. Control Standard Calculation, Loading Steps, and Working Conditions
When the translational degrees of freedom Z, T and rotational degrees of freedom rR act alone, the end face of the T block and the end face of the LZ block are still parallel, so the structure is under uniform stress. In such cases, only the maximum allowable value of the bolt hole gap is taken, that is, the translational displacement value is 6 mm and the rotational displacement value is 0.625°. Due to the 20 mm wedge at the upper end of the LZ block, the influence of rT on the force of the LZ block under the positive and negative direction error is different. According to the defined direction, the front end of the T block tilts downward towards the tunnel propulsion direction, which is considered the positive direction of the rT rotation. The loading conditions of the different components of the error are shown in Table 4.
Table 4.
Loading conditions of the DOF for different errors.
3. Results
3.1. Analysis of Multi-Ring Assembly Error
Multi-ring assembly simulation considers the error accumulation of segments. The assembly simulation is carried out according to the method proposed in this paper, during which the assembly quality under the condition of error accumulation is studied.
3.1.1. Optimization of the Assembly Sequence
In special-shaped shield tunnels, such as quasi-rectangular shield tunnels, there are many available segment assembly sequences due to the large number of segments. The analysis of assembly error in this study can be used as a reference for the optimization of the segment assembly sequence of the quasi-rectangular shield.
For the quasi-rectangular shield tunnel, there are two optional assembly sequences:
- (i)
- T2→C3→C2→B1→B3→B2→L→C1→T1→LZ→F
- (ii)
- T2→C3→C2→B1→B3→B2→L→C1→T1→F→LZ
Since the two groups of segments (ZR1) and (ZR2) in the straight-line section of the project are symmetrical, the analysis results of the segments in the (ZR1) group are also applicable to (ZR2).
- (1)
- T1 Block Attitude Adjustment Method
In scheme i, block LZ is assembled before block F, and the lining segments have not yet formed a ring when assembling LZ. Therefore, LZ insertion will change the attitude of block T1 and the distance between blocks T1 and T2, so the difficulty of LZ insertion is reduced. In scheme ii, before assembling LZ, other segments are composed to form a ring. However, there are some risks in scheme i: after LZ insertion, the contact state of the original lining segments is changed. It may increase the difficulty of inserting block F, thus affecting the assembly quality of the overall lining.
For scheme ii, the simulation should be carried out according to the process described in Section 2.3.3. In scheme i, when inserting LZ, the attitude of the T1 block is adjusted to reduce the clearance between the SR+ surface and the ST− surface of the longitudinal contact between T1 and LZ. The simulation of this working condition is shown in Figure 13.
Figure 13.
Segment attitude adjustment of the T1 block before installing the LZ block.
Before inserting LZ, the clearance between the LZ and T1 block is estimated. The T1 block is applied with rZ rotation displacement , where lrZ is the distance from the centroid of the T1 block to the ST- plane. As shown in Figure 13, if , the rotation center is point A. If , the rotation center is point B. This method is used to simulate the T1 block attitude before inserting LZ to reduce the clearance between them.
- (2)
- Calculation Results and Analysis
From the perspective of multi-ring assembly simulation, the segments of (ZR1) and (ZR2) groups are assembled alternately. The number of rings calculated is 500. The displacement range of the longitudinal contact surface and the circumferential contact surface of the segment is shown in Table 1.
The simulation results of the key block insertion clearance and joint opening (error frequency distribution) are shown in Figure 14.

Figure 14.
Error frequency distribution of the insertion clearances and joint openings under different assembly sequences. (a) Insertion clearance of block F under scheme i; (b) Insertion clearance of block F under scheme ii; (c) Insertion clearance of block LZ under scheme i; (d) Insertion clearance of block LZ under scheme ii; (e) Maximum opening of the circumferential seam under scheme i; (f) Maximum opening of the circumferential seam under scheme ii; (g) Maximum opening of the longitudinal joint under scheme i; (h) Maximum opening of the longitudinal joint under scheme ii.
As can be seen from Figure 14, although assembling LZ block under scheme i first readjusts the upper T block, it does not significantly affect the insertion of block F and the joint quality. A comparison of the key parameters of the two schemes is shown in Table 5. Considering that the exceedance probability of 2.5% is generally defined as the limit probability in the project, all data distribution ranges are within the 0.025 quantile and 0.975 quantile (μ0.025, μ0.975).
Table 5.
Comparison of the key parameters of two assembly schemes.
It can be seen from the calculation results that the LZ block is assembled first to eliminate its negative clearance and ensure the quality of the assembly, and the scheme has little effect on the insertion clearance of the capping F block. Considering that the probability that the insertion clearance of block F is less than −2 mm is relatively small, it is considered that assembling the LZ block first will not affect the assembly quality of block F. In addition, it should be noted that since the LZ block will cause secondary displacement of the T1 block, the opening amount of the longitudinal seam (up to 10 mm) and circumferential seam (up to 8 mm) may be large.
Compared with the single loop simulation results [30], this result has slightly increased. This indicates that the error accumulation has little effect on the insertion clearance and longitudinal seam opening of block F and LZ when the influence between the rings is considered.
From the simulation results of the multi-ring assembly, it can be concluded that the scheme of assembling the LZ block first is better for error control. During the construction of the quasi-rectangular shield section, the actual assembly scheme is scheme i, namely LZ first and then F.
3.1.2. Optimization of the Assembly Measures
The assembly quality control measures are introduced. The assembly simulation calculation is carried out according to the assembly sequence, namely the LZ block first and then the F block, and the segments of the (ZR1) and (ZR2) groups are assembled alternately. The manufacturing error, standard deviation of the positioning error, and relative displacement range of the contact surface are the same as those above, and the number of rings during the analysis of the assembly error is 500. After the improvements, the assembly construction measures are as follows:
- ①
- According to the assembly sequence of the LZ block first and then the F block, the rotation angle of the T1 block in the rZ direction should be adjusted before inserting the LZ block;
- ②
- Based on the above calculation and analysis, the standard deviation of the positioning error in the rZ direction is reduced to 0.5 times;
- ③
- The displacement in the Z and rR directions should be in accordance with the principle of the fitting circumferential seam, and the displacement in the T, R, rT, and rZ directions should be assembled in accordance with the principle of the fitting longitudinal seam;
- ④
- According to the engineering experience and relevant requirements in the bidding document, the longitudinal misalignment of the segment longitudinal joints should be controlled. When the longitudinal misalignment is greater than 4 mm, measures to level the annular surface should be performed, that is, adding gaskets on the annular surface. It is assumed that the gasket can always completely flatten the annular surface (the displacement in the Z direction is equal). The specific measures used to control the assembly error are as follows: remove the sundries on the contact surface before assembly, repair the segments and sealing strips in time, correct the shield tail clearance in time during propulsion, close the jack in time after the segments are positioned, tighten the bolts in time after the assembly of each ring of segments, and re-tighten the bolts after the shield tail.
- (1)
- Analysis of the Insertion Clearance between Block F and LZ
As can be seen from Figure 15, the insertion clearance of block F is distributed between (−1.9 mm, 2.6 mm), and the insertion clearance of block LZ is between (0 mm, 2.4 mm). This result is significantly reduced compared with the previous section, which shows that the assembly quality of block F and LZ can be effectively improved with the corresponding control measures.
Figure 15.
Error frequency distribution of the insertion clearances in key blocks after optimization of the assembly measures. (a) Insertion clearance of block F. (b) Insertion clearance of block LZ.
- (2)
- Analysis of the Maximum Opening of the Circumferential and Longitudinal Joints in the Ring
Figure 16 shows the distribution of the maximum joint opening of each ring under the consideration of construction control measures, with quantiles of 0.025 and 0.975 (μ0.025, μ0.975). It can be concluded from the calculation results that the maximum opening amount of the circumferential seam in the ring is distributed in (0 mm, 5.9 mm), and the maximum opening amount of the longitudinal seam in the ring is distributed in (1.0 mm, 4.3 mm).
Figure 16.
Error frequency distribution of the maximum joint openings in each ring after optimization of the assembly measures. (a) Maximum circumferential joint opening; (b) Maximum longitudinal joint opening.
Compared with the previous section, the error is significantly reduced, and the joint quality is greatly improved. It shows that the opening of the segment joint can be effectively controlled by taking the measures of segment ring surface leveling and improvement of the assembly accuracy in the rZ direction. The leveling measures of the segment ring surface are as follows: when the longitudinal dislocation of the longitudinal joint is greater than 4 mm after the assembly of 1 ring segment, the ring surface of the segment should be leveled using a gasket, and then the assembly of the next ring segment should be carried out. In the process of assembling 500 rings for error simulation analysis, 20 ring leveling measures are used, namely one leveling is required every 25 rings.
- (3)
- Influence of the Positioning Error in the rT and rR Directions on the Joint Quality
To study the influence of the rT and rR corners on the joint assembly quality, based on the above construction measures, the standard deviation of the positioning error in the rT and rR directions is reduced to 0.5 times to carry out the assembly simulation. The results are shown in Figure 17.
Figure 17.
Error frequency distribution of the maximum joint openings in each ring after reducing and . (a) Maximum circumferential joint opening after the reduction in ; (b) Maximum circumferential joint opening after the reduction in ; (c) Maximum longitudinal joint opening after the reduction in ; (d) Maximum longitudinal joint opening after the reduction in .
When the positioning error in the rT direction is reduced by 0.5 times, the joint quality is significantly improved. The maximum opening of the circumferential seam in the ring is distributed in the range of (1.3 mm, 4.0 mm), and the maximum opening amount of the longitudinal seam in the ring is distributed in the range of (0.6 mm, 3.3 mm), which improves the assembly quality to a certain extent. When the positioning error in the rR direction is reduced by 0.5 times, the joint opening does not change significantly, and the positioning error in the rR direction has little effect on the joint opening. It can be seen from the simulation results that if the joint quality cannot be guaranteed after controlling the positioning error in the rR direction, the positioning error in the rT direction can be further controlled.
3.2. Field Measurement and Verification
It is difficult to obtain the error parameters in the assembly of a shield tunnel [31]. The data from the construction party is often collected after the assembly [32], which generally includes the data after the segment is out of the shield tail and the deformation is stable. Because this study does not involve the change in the joint quality after the segment is stressed, all field data need to be collected before the segment comes out of the shield tail. Considering the narrow space of the construction site, the traditional measurement methods cannot obtain the joint data quickly and accurately [33]. In this paper, digital photography and image recognition technology [34] are used to collect, process, and analyze the segment joint data at the shield tail. A SONY α550 camera with 14.2 million effective pixels (fixed focus 250 mm shooting) was used to collects segment joint photos, using a laser rangefinder to measure the shooting distance. Halcon language was used to write the photo recognition program to obtain the joint opening after the segment assembly and ring forming.
3.2.1. Identification Method of the Joint Width
Using 3 calibration lines with widths of 8, 10, and 12 mm, respectively, the width of the standard calibration line was measured 18 times at a distance of 0.5~4.0 m using a measuring camera, lens, and rangefinder, and the calibration R–D curve was obtained. Then, through linear regression of the calibration data, the relationship between the calibration ratio R and distance D was obtained as follows:
R = −0.0008D2 + 0.0278D + 0.0081
The gray segmentation technology and sub-element edge detection technology were used to process the seam photos and obtain the pixel width of the seam, as shown in Figure 18. Combined with the R–D curve formula, the real width of the joint was obtained.
Figure 18.
Segment joint width identification.
The joint width identified by digital photography includes three parts: the step width of the segment edge, the width of the rubber gasket, and the actual joint opening. There are two rubber gaskets at the longitudinal seam and one rubber gasket at the circumferential seam. Since there is no contact between the local rubber gasket at the joint opening [35], the deformation of the rubber gasket is not considered when calculating the joint opening. The calculation formula is as follows:
circumferential joint opening = joint width (by photography) − 12 mm
longitudinal joint opening = joint width (by photography) − 10 mm
If the result calculated by the above two formulas is negative, it means that the adjacent segments were in contact, and the opening of the joint is taken as 0 mm.
3.2.2. Field Data Acquisition Area
During field data collection, 10 longitudinal joints and adjacent circumferential joints were measured for each ring segment. Two photos at the front and back of each longitudinal seam were taken, respectively. The width and opening angle of the longitudinal seam and circumferential seam were obtained simultaneously through the calculation, as shown in Figure 19.
Figure 19.
Shooting area for data acquisition.
3.2.3. Comparison between Field and Simulation Data
The seam data of 52 rings during assembly was measured on site, including the longitudinal joints and circumferential joints at the inner edge of the lining. The opening value of each joint is the maximum measured value. The statistical results of the measured joint opening on site are shown in Figure 20, and the distribution parameters of the calculated and measured values are shown in Table 6.
Figure 20.
Error frequency distribution of the maximum joint openings in a ring measured at the project. (a) Maximum circumferential joint opening; (b) maximum longitudinal joint opening.
Table 6.
Comparison between the calculated values and measured values.
As can be seen from Figure 20, the maximum joint opening in the ring presents a normal distribution in general, which is in good agreement with the calculation results. It can be seen from Table 6 that the minimum and maximum values in the comparison between the measured values and calculated values are relatively consistent. Their distribution range is also similar. For the mean value of the joint opening, the measured value is slightly larger than the calculated value. Because the error parameters used in the calculation are conservative. It can also be seen from the comparison of μ0.025 and μ0.975 that the measured value is slightly larger.
Although there is some deviation between the calculated and measured value, from the perspective of the distribution form and range, the segment joint opening obtained by the calculation method used in this paper is more consistent with the actual value, but the calculation parameters still need to be further optimized.
The statistical results of the measured joint opening of the tunnel are shown in Figure 21 for when the segment leaves the shield tail at a certain distance.
Figure 21.
Error frequency distribution of the maximum joint openings in a ring measured at the forming tunnel. (a) Maximum circumferential joint opening; (b) Maximum longitudinal joint opening.
According to the measured results in Figure 21, the maximum joint opening of the tunnel can be controlled in the range of (0 mm, 4 mm). It can be seen that the segment assembly quality is guaranteed more under the above control measures.
3.3. Error Control Standard of Key Block Assembly
3.3.1. Calculation Results with Errors in the Z, T, and rR Directions
When errors occur in the Z, T, and rR directions, the end face of the T block is parallel to the end face of the LZ block, and the contact surface are still under approximately uniform stress. According to the calculation results, the compression damage factors under these 3 working conditions are 0.02, 0.03, and 0.04, respectively, and the tensile damage factors are 0.56, 0.49, and 0.85, respectively, which are far less than the limit value, and the reinforcement does not yield. It can be seen that errors in these three degrees of freedom have little effect on the force of the LZ block when acting alone.
3.3.2. Calculation Results with Errors in the rZ Direction
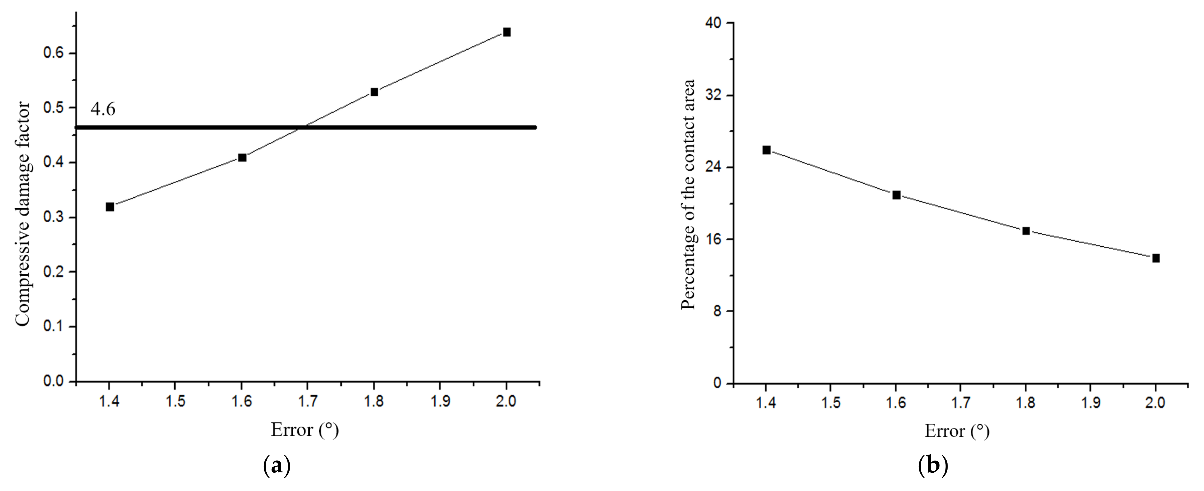
Figure 22 shows the curves of the maximum compression damage factor and the contact area of the T-LZ block with error in the rZ direction. It can be seen from Figure 22 that with the increase in the rZ direction error, the compression and tension damage factors gradually increase, the compression area gradually decreases, the final clearance continues to increase, and the LZ block is more biasedly compressed. When the error value is 1.6°, the maximum compression damage factor is 0.4, which is close to the critical damage factor of the compression failure of 0.46. In addition, the calculation shows that the crack width is far less than the limit value. When only the error in the rZ direction is considered, 1.6 ° can be taken as the error limit (error control standard).
Figure 22.
Maximum compression damage factor and contact area of the T-LZ block under rZ direction error. (a) Maximum compression damage factor; (b) Contact area of the T-LZ block.
3.3.3. Calculation Results under the rT Direction Error
Figure 23 shows the compression damage factor and contact of T-LZ block and under error in rT direction. It is found from the figure that with the increase in the error in rT± directions, the compression and tensile damage factor gradually increase, the compression area gradually decreases, and finally, the clearance increases. When the error value is ± 0.7°, the maximum compression damage factors are 0.67 and 0.52, respectively, which exceed the limit of the critical damage factor of 0.46 of compression failure. Through the calculation and analysis, it can be seen that the crack width is also far less than the limit value. Therefore, when the error in the rT direction acts alone, 0.6° can be taken as the error limit.
Figure 23.
Maximum compression damage factor and T-LZ block contact area under rT direction error. (a) Maximum compression damage factor; (b) Contact area of the T-LZ block.
Table 7 presents the error limits of each direction under the error in the single degree of freedom. Considering that the rotation angle between T blocks cannot be measured directly during construction, it can only be obtained indirectly by measuring the clearance difference between the T block end face and LZ block end face (the difference between maximum clearance and minimum clearance).
Table 7.
Error limits in the single degree of freedom direction.
3.3.4. Combination of the rZ Direction and rT Direction
According to the calculation under the separate errors in the rZ and rT directions, the clearance difference limits are 9.8 and 12.6 mm, respectively. It can be assumed that 9.8 mm is the limit value of the clearance difference under the combination of the rZ and rT directions. If it is verified that all the combinations with a clearance difference less than or equal to 9.8 mm meet the limit value of the compression and tensile damage factors, and the limit value of the clearance difference under the combination of the 9.8 mm errors in the rZ and rT directions can be determined.
The calculation results of typical combinations of clearance differences equal to 9.8 mm are shown in Table 8. From the table, it can be seen that the compression damage factor and tensile crack width meet the judgment criteria, and no reinforcement yields. Thus, the countless combinations between these four typical combinations are considered to meet the requirements. Therefore, 9.8 mm is determined as the clearance difference limit under the combination of the rZ and rT directions.
Table 8.
Combined results of errors in the rZ and rT direction.
4. Discussion
4.1. Analysis of Factors Affecting the Insertion Clearance of the F Block
In practical engineering, the insertion clearance of block F is often not allowed to be negative, and the tolerance value is considered to be −2 mm. Therefore, the influence of the manufacturing error and positioning error in different degrees of freedom on the insertion clearance of the F block was studied. The limit case when the standard deviation of the manufacturing error and the positioning errors in the rT, rR, and rZ directions is zero was simulated separately and analyze the influencing factors. The frequency distribution of the assembly error of block F with insertion clearance under the corresponding calculation conditions is shown in Figure 24, and a summary of the statistical parameters is shown in Table 9.
Figure 24.
Influence of the manufacturing error and positioning error of each component on the insertion clearance of the F block. (a) No manufacturing error of the segment; (b) No positioning error in the rT direction; (c) No positioning error in the rR direction; (d) No positioning error in the rZ direction.
Table 9.
Influencing factors of the insertion clearance of the F block.
It can be seen from Figure 24 and Table 9 that the segment manufacturing error and positioning errors in the rT and rR directions have little effect on the insertion clearance of the F block. The main factor affecting the insertion clearance of the F block is the positioning error in the rZ direction. Therefore, the standard deviation of the positioning error in the rZ direction is reduced. The statistical relationship between the change in the standard deviation and the distribution of the insertion clearance of block F was calculated, as shown in Table 10.
Table 10.
Influence of the standard deviation of the positioning error in the rZ direction on insertion clearance of the F block.
It can be seen from Table 10 that when the positioning error in the rZ direction is reduced by 0.5 times, the insertion clearance of block F is distributed between −2.22 and 2.37 mm, and the probability of being less than −2 mm is 4%. According to the calculation results, it is suggested that the positioning error in the rZ direction should mainly be controlled during the segment assembly construction, and the resulting joint dislocation and opening should be limited by 0.5 mm.
4.2. Analysis of the Most Unfavorable Attitude of the LZ Block
When there is a certain angle between the upper and lower T blocks, the LZ block attitude is uncertain. In this paper, the most unfavorable attitude of the LZ block is obtained by comparing and calculating the structural stress under the two attitudes.
Considering the error in the rT direction, it is assumed that there is a relative error θ between the upper and lower T blocks. The working condition 1 in Figure 25 shows that the end face of the LZ block is parallel to the end face of the lower T block and has an included angle with the end face of the upper T block. The working condition 2 shows that there is an included angle between the end face of the LZ block and the end faces of the upper and lower T blocks, respectively.
Figure 25.
Calculation of the working conditions of the LZ block attitudes. (a) Condition 1; (b) Condition 2.
Through the calculation with multiple , it is found that the tension compression damage factor in condition 1 is larger and the damage distribution range is wider. To summarize, working condition 1 is more dangerous than working condition 2, and the LZ block can take working condition 1 as the most unfavorable attitude.
4.3. Failure Mode Analysis of the LZ Block
After analyzing the force of the LZ block when a large error occurs, the control standard of the error is put forward. The errors in two main directions (rZ and rT) are analyzed as follows. Taking the errors in the rZ and rT directions to be 1° and 2°, respectively, the distance of the contact between the T block and LZ block is calculated under the 2 directions are shown in Figure 26, where the black part is the contact region.
Figure 26.
Space between the contact surface of the T-segment and LZ block. (a) Contact surface under rZ error; (b) Contact surface under rT error.
According to the finite element calculation, it is found that the damage position of the model is also mainly located near the contact surface of the T block and the LZ block while the damage factor of the LZ block main body is very small. From the point of view of reinforcement stress, the maximum stress of the reinforcement in the 2 working conditions is 370 and 350 MPa, which further verifies the conclusion that the LZ block will not suffer overall damage.
In summary, even under extreme errors, the LZ block will not suffer integral damage but only local damage near the contact surface. Therefore, the error control index should be put forward from the perspective of normal use requirements.
5. Conclusions
By establishing a geometric model of the segment of a quasi-rectangular shield tunnel and considering the 6-DOF displacement, this paper proposes a simulation calculation method for the segment assembly error, quantifies the manufacturing error and assembly positioning error, and compiles the assembly simulation program. A finite element model of the T-LZ block is established. Through the calculation and analysis of the relative error combination of the single degree of freedom and multi degree of freedom for the T block, the relative error control index of T block under corresponding working conditions is proposed. The conclusions are summarized as follows.
- (1)
- The scheme in which the LZ block is assembled first can better realize error control. This scheme eliminates possible negative clearance during the assembly of the LZ block and has little impact on the insertion clearance of the capping F block. From the multi-ring assembly simulation results, the probability that the insertion clearance of the F block is less than −2 mm is even smaller. Thus, assembling the LZ block first will not affect the assembly quality of the F block.
- (2)
- The positioning error in the rZ direction is the most significant factor affecting the assembly quality of the longitudinal joint and the insertion clearance of the LZ and F blocks. From the calculation results, it can be concluded that the displacement in the rZ direction of the segments should be controlled first, followed by the displacement in the rT direction.
- (3)
- Using photography and image recognition technology, the joint opening after segment assembly and forming was obtained. From the distribution shape and scope, the segment joint opening obtained by the calculation method recommended in this paper was found to agree with the field data. Considering that there is still a certain deviation between the calculated value and the measured value, the calculation parameters need to be further optimized.
- (4)
- The LZ block will not suffer integral damage but only local damage on the contact surface. Errors in the rZ and rT directions will cause local contact between the T block and LZ block, resulting in the bias of the LZ block, which is the main factor causing the unfavorable stress in the LZ block. When errors in the Z, T, and rR directions act separately, the contact surface is still under a uniform force, and they have little effect on the force of the LZ block.
- (5)
- Combined with the research results of the single-degree-of-freedom error and multi-degree-of-freedom error, 9.8 mm is taken as the control index of the sum of the upper and lower gap differences in the T−LZ block under the combination of multi-degree-of-freedom errors. In general, the relative error of the upper and lower T blocks meets the force requirements, and the T−LZ blocks will not be damaged by force due to assembly defects.
Author Contributions
Conceptualization, P.L.; Data curation, J.L. and J.F.; Formal analysis, X.L.; Investigation, P.C.; Methodology, P.L. and Z.D.; Project administration, Y.R. and J.F.; Resources, P.C.; Software, Z.D.; Supervision, Y.R. and X.L.; Validation, J.L.; Writing—original draft, X.W.; Writing—review & editing, Z.D. All authors have read and agreed to the published version of the manuscript.
Funding
This work supported by the “Social Development Project of Science and Technology Commission of Shanghai Municipality (21DZ1201105)”, “the Fundamental Research Funds for the Central Universities (21D111320)”, and “Shanghai Rising-Star Program of China (18QB1403800)”.
Institutional Review Board Statement
Not applicable.
Informed Consent Statement
Not applicable.
Data Availability Statement
The data presented in this study are available on request from the corresponding author.
Acknowledgments
The research has been sponsored by the “Social Development Project of Science and Technology Commission of Shanghai Municipality (21DZ1201105)”, “the Fundamental Research Funds for the Central Universities (21D111320)”, and “Shanghai Rising-Star Program of China (18QB1403800)”. The Experimental data used to support the findings of this study are available from the corresponding author upon request.
Conflicts of Interest
The authors declare no conflict of interest.
References
- Loria, A.F.R. The thermal energy storage potential of underground tunnels used as heat exchangers. Renew. Energy 2021, 176, 214–227. [Google Scholar] [CrossRef]
- Ma, C.; Di Donna, A.; Dias, D.; Zhang, J. Numerical investigations of the tunnel environment effect on the performance of energy tunnels. Renew. Energy 2021, 172, 1279–1292. [Google Scholar] [CrossRef]
- Loria, A.F.R.; Di Donna, A.; Zhang, M. Stresses and deformations induced by geothermal operations of energy tunnels. Tunn. Undergr. Space Technol. 2022, 124, 104438. [Google Scholar] [CrossRef]
- Zhu, Y.; Zhu, Y.; Huang, D.; Li, P. Development and application of rectangular shield tunnel technology. Mod. Tunn. Technolgy 2016, 53, 1–12. [Google Scholar]
- Li, P.; Dai, Z.; Huang, D.; Cai, W.; Fang, T. Impact Analysis for Safety Prevention and Control of Special-Shaped Shield Construction Closely Crossing Multiple Operational Metro Tunnels in Shallow Overburden. Geotech. Geol. Eng. 2021, 1–18. [Google Scholar] [CrossRef]
- Gong, C.; Ding, W.; Mosalam, K.M.; Günay, S.; Soga, K. Comparison of the structural behavior of reinforced concrete and steel fiber reinforced concrete tunnel segmental joints. Tunn. Undergr. Space Technol. 2017, 68, 38–57. [Google Scholar] [CrossRef]
- Zhou, P.; Lin, M.; Zhou, F.; Gong, L.; Ao, W. Bearing Characteristics and Failure Mechanism of a Novel Plate-Short Anchor Structure for Tunnel Crack Reinforcement. Eng. Fail. Anal. 2022, 135, 106160. [Google Scholar] [CrossRef]
- Yuan, Y.; Jiang, X.; Liu, X. Predictive maintenance of shield tunnels. Tunn. Undergr. Space Technol. 2013, 38, 69–86. [Google Scholar] [CrossRef]
- Shi, P.; Li, P. Mechanism of soft ground tunnel defect generation and functional degradation. Tunn. Undergr. Space Technol. Inc. Trenchless Technol. Res. 2015, 50, 334–344. [Google Scholar] [CrossRef] [Green Version]
- Zheng, G.; Cui, T.; Cheng, X.; Diao, Y.; Zhang, T.; Sun, J.; Ge, L. Study of the collapse mechanism of shield tunnels due to the failure of segments in sandy ground. Eng. Fail. Anal. 2017, 79, 464–490. [Google Scholar] [CrossRef]
- Chen, J.; Mo, H. Numerical study on crack problems in segments of shield tunnel using finite element method. Tunn. Undergr. Space Technol. 2009, 24, 91–102. [Google Scholar] [CrossRef]
- Wang, M.; Dong, Y.; Yu, L.; Fang, L.; Wang, X.; Liu, D. Experimental and numerical researches of precast segment under radial dislocation conditions. Tunn. Undergr. Space Technol. 2019, 92. [Google Scholar] [CrossRef]
- Krahl, P.A.; Palomo, I.I.; Almeida, S.J.D.C.; Siqueira, G.H.; Júnior, N.D.O.P.; Junior, L.C.M.V. Tolerances for TBM thrust load based on crack opening performance of fiber-reinforced precast tunnel segments. Tunn. Undergr. Space Technol. 2021, 111, 103847. [Google Scholar] [CrossRef]
- Toutlemonde, F.; Quiertant, M.; Dubroca, S. Tunnel precast segments: An SFRC alternative. In Proceedings of the Fifth RILEM Symposium on Fibre-Reinforced Concretes (FRC), Lyon, France, 13–15 September 2000; Rossi, P., Chanvillard, G., Eds.; RILEM Publications: Paris, France, 2000. [Google Scholar]
- Xu, G.; He, C.; Lu, D.; Wang, S. The influence of longitudinal crack on mechanical behavior of shield tunnel lining in soft-hard composite strata. Thin-Walled Struct. 2019, 144. [Google Scholar] [CrossRef]
- Cavalaro, S.; Blom, C.; Walraven, J.C.; Aguadoa, A. Structural analysis of contact deficiencies in segmented lining. Tunn. Undergr. Space Technol. Inc. Trenchless Technol. Res. 2011, 26, 734–749. [Google Scholar] [CrossRef]
- Xu, M.; Zhang, Z. Cause Analysis and Treatment of Segment Damage of Large Diameter Shield Tunnel. Chin. J. Undergr. Space Eng. 2013, 9, 1705–1712. [Google Scholar]
- Lorenzo, S.G. In situ behaviour of an instrumented ring subjected to incipient TBM steering around a curve. Eng. Struct. 2021, 249, 113124. [Google Scholar] [CrossRef]
- Sharghi, M.; Chakeri, H.; Afshin, H.; Daniel, D. Tunnel Lining Segments-Analysis of the Possible of Cracking and Damages during Installing Stage. Soil Mech. Found. Eng. 2021, 58, 287–294. [Google Scholar] [CrossRef]
- Yang, Y.; Zhou, B.; Xie, X.; Liu, C. Characteristics and causes of cracking and damage of shield tunnel segmented lining in construction stage–a case study in Shanghai soft soil. Eur. J. Environ. Civ. Eng. 2017, 22, s213–s227. [Google Scholar] [CrossRef]
- Jeang, A. Combined parameter and tolerance design optimization with quality and cost. Int. J. Prod. Res. 2001, 39, 923–952. [Google Scholar] [CrossRef]
- Wu, C.; Tang, G. Tolerance design for products with asymmetric quality losses. Int. J. Prod. Res. 1998, 36, 2529–2541. [Google Scholar] [CrossRef]
- Cavalaro, S.; Blom, C.; Walraven, J.; Aguado, A. Formation and accumulation of contact deficiencies in a tunnel segmented lining. Appl. Math. Model. 2011, 36, 4422–4438. [Google Scholar] [CrossRef]
- Zhuang, Q.; Yang, Z. Six degree of freedom series segment assembly machine for quasi rectangular shield. Mod. Tunn. Technol. 2016, 53, 46–50. [Google Scholar]
- Scott, D.W. Box–Muller transformation. Wiley Interdiscip. Rev. Comput. Stat. 2011, 3, 177–179. [Google Scholar] [CrossRef]
- Han, J.; Liu, D.; Guan, Y.; Chen, Y.; Li, T.; Jia, D.; Yan, F.; Jia, P.; Zhao, Y. Study on shear behavior and damage constitutive model of tendon-grout interface. Constr. Build. Mater. 2022, 320, 126223. [Google Scholar] [CrossRef]
- Huang, Z.; Zhang, C.-L.; Ma, S.-K.; Zhang, J.-B.; Zhu, Q.-X. Study of the mechanical behaviour and damage characteristics of three new types of joints for fabricated rectangular tunnels using a numerical approach. Tunn. Undergr. Space Technol. 2021, 118, 104184. [Google Scholar] [CrossRef]
- Liu, J.; Shi, C.; Wang, Z.; Lei, M.; Zhao, D.; Cao, C. Damage mechanism modelling of shield tunnel with longitudinal differential deformation based on elastoplastic damage model. Tunn. Undergr. Space Technol. 2021, 113, 103952. [Google Scholar] [CrossRef]
- Ye, Z.; Liu, H. Investigating the relationship between erosion-induced structural damage and lining displacement parameters in shield tunnelling. Comput. Geotech. 2021, 133, 104041. [Google Scholar] [CrossRef]
- Hou, K.; Li, X.; Huang, D.; Wang, Y.; Hong, B. Simulation Study on Assembly Errors of Segments and Columns in Quasi-Rectangular Shield Tunnels. Mod. Tunn. Technol. 2016, 53, 269–277. [Google Scholar]
- Jiang, X.; Zhang, Y.; Zhang, Z.; Bai, Y. Study on Risks and Countermeasures of Shallow Biogas during Construction of Metro Tunnels by Shield Boring Machine. Transp. Res. Rec. J. Transp. Res. Board 2021, 2675, 105–116. [Google Scholar] [CrossRef]
- Lei, M.; Zhu, B.; Gong, C.; Ding, W.; Liu, L. Sealing performance of a precast tunnel gasketed joint under high hydrostatic pressures: Site investigation and detailed numerical modeling. Tunn. Undergr. Space Technol. 2021, 115, 104082. [Google Scholar] [CrossRef]
- Xue, Y.; Li, Y. A Fast Detection Method via Region-Based Fully Convolutional Neural Networks for Shield Tunnel Lining Defects. Comput. Civ. Infrastruct. Eng. 2018, 33, 638–654. [Google Scholar] [CrossRef]
- Zhu, H.; Li, X.; Hu, C. A Method and Device for Measuring the Opening Width of a Shield Tunnel Lining Segment Joint: CN 2011. Available online: https://patents.google.com/patent/CN102297660A/en (accessed on 10 February 2022).
- Ding, W.; Gong, C.; Mosalam, K.M.; Soga, K. Development and application of the integrated sealant test apparatus for sealing gaskets in tunnel segmental joints. Tunn. Undergr. Space Technol. 2017, 63, 54–68. [Google Scholar] [CrossRef]
Publisher’s Note: MDPI stays neutral with regard to jurisdictional claims in published maps and institutional affiliations. |
© 2022 by the authors. Licensee MDPI, Basel, Switzerland. This article is an open access article distributed under the terms and conditions of the Creative Commons Attribution (CC BY) license (https://creativecommons.org/licenses/by/4.0/).
























