Abstract
In traditional power systems, a dedicated communication channel is utilized to transfer the frequency measurements. With the deregulation and reconstruction of power systems, the information is sent through a shared communication network that makes time delays unavoidable in load frequency control (LFC) systems. With the existence of time delays, the LFC system becomes a standard time delay system that complicates the stability analysis and controller synthesis. In this paper, we present a new approach for analyzing the stability and determining the delay margin of the LFC system. By introducing a new variable, the transcendental equation is converted to nonlinear equations. To find the crossing frequencies, the nonlinear equations are solved, which is simpler than solving a set of linear matrix inequalities. A single-area and a multi-area LFC system are selected as case studies. The new method accurately determines the delay margin of the LFC system with phase and gain margin. The effect of the PI controller gains on the delay margin is also considered. A sensitivity analysis is conducted to discover the effects of the system parameters on the delay margin, and it is found that the primary loop parameters have a powerful influence on the delay margin. The stability region of the LFC system is also clearly identified through the proposed method. The influence of the system parameters on the stability region is studied. Compared to the published methods in the literature, the proposed method has a simpler structure while giving more accurate results.
1. Introduction
In power systems, the power generation should satisfy demand in real-time. This function is handled through automatic generation control (AGC). The imbalance between generation and demand is detected through frequency measurement. The load frequency control (LFC) system has to limit frequency deviations, share the load demands among the different generating units and control the scheduled tie-line interchange [1]. To accomplish the aforementioned functions, the generator control error (GCE) and the area control error (ACE) signals should be shared via a communication network, which makes them vulnerable to time delay and packet losses [2]. The presence of time delays deteriorates the LFC systems’ performance and can lead to instability. In recent years, various studies have been conducted in an effort to solve the problem of time delays in LFC systems.
The delay margin (DM) is defined as the maximum time delay allowed for a system to retain its stability. Methods to determine the delay margin can be categorized into frequency-domain methods and time-domain methods. The former is based on tracing the roots of the time-delayed system, then finding the crossing frequencies where the roots cross the imaginary axis. The latter is based upon applying the Lyapunov–Krasovskii functional (LKF), then deriving the stability condition in linear matrix inequality (LMIs) form. In frequency-domain methods, the crossing frequencies can be accurately determined, while time delay methods can identify whether the system is stable for the given delay by checking the feasibility of the LMIs.
In [3], LKF is applied, and the truncated second-order Bessel–Legendre (BL) inequality is used to limit the time derivative of the states. The derived LMIs are solved using the binary search iteration algorithm, and the results of the DM are more accurate. The LKF, the Jensen inequality and the extended reciprocally convex matrix inequality are applied to reach a more accurate stability criterion [4]. The DM for an LFC system in electric vehicles is investigated in [5], where LKF and the Wirtinger inequality are used to derive the stability criterion. The infinite series-based inequality is used in [3] to derive the stability criterion in LMI form, where the results are more accurate than the results obtained using the Wirtinger inequality. An improved stability criterion is presented in [6], where an augmented LKF is used to achieve less conservative results of the DM. An improved delay-dependent stability theorem is introduced in [7]. The model of the LFC is reconstructed, and the decision variables number is reduced, which results in less conservative results.
In [8], an accurate frequency domain method for DM computation was presented where the stability criterion is derived, and the characteristic equation is transformed to a polynomial in . The crossing frequencies are determined precisely, which leads to exact DM values. The sweeping test is used in [2] to determine the exact values of the DM; however, the sweeping range should be determined.
In earlier literature, it is shown that the time delay exists in the LFC system, and its computation is very important in practice. When the communication link fails, which means the time delay exceeds the threshold, the LFC mechanism is then halted [9] to secure the system, so it is important to identify this margin. In practice, the engineers need a simple and accurate method, whereas most existing methods require complex and advanced mathematical analysis and involve a lot of computations.
In this paper, we introduce an exact method for computation of the DM and analysis of the delay-dependent stability of the LFC system with constant time delay. The transcendental equation is converted into nonlinear equations by introducing a new variable. The solution of this nonlinear equation will lead to an accurate computation of the crossing frequencies, which will yield an accurate result of the DM. The proposed method is applied to single-area and multi-area LFC systems, and the values of the DM are compared with some existing methods. An analytical formula to identify the stability region for single-area LFC is derived, which simplifies the tuning of the PI controller gains. A sensitivity analysis is conducted to examine the effects of the system parameters on the DM. In reality, the system should ensure stability and satisfy some control system requirements such as maximum overshoot, steady-state error, damping and settling time with the existence of the time delay. This can be guaranteed by adding a virtual compensator with a predetermined phase and gain margins. The gain margin and the phase margin are included in the analysis, and the DMs are computed for single-area and two-area LFC systems. The DM results of the two-area LFC system are more accurate than the results presented in [10]. Additionally, the stability region can be clearly identified without the need for time domain simulation, as in the method presented in [11].
2. The Model of LFC Systems with Time Delay
The single-area LFC system is displayed in Figure 1. When a sudden load change or loss of generation occurs, the frequency will diverge. With the purpose of resetting the frequency deviation to a minimum, the integral controller is used as depicted in Figure 1. The model of the power system is nonlinear; however, in the steady-state and under small disturbance, a linear model is usually used.
Figure 1.
The dynamic model of a single-area LFC with phase and gain margins.
The state-space linear model of the single-area LFC system is represented as:
where:
with the load deviation, the deviation of the mechanical output power, the deviation of the valve position and the frequency deviation. D is the coefficient of load damping, is the constant of inertia, is the time constant of the tutbine, is the time constant of the governor, is the frequency bias factor and R is the speed drop [1]. For a single-area LFC system, the is given as:
The system is stabilized using a PI controller given by:
with , the proportional gain and , the integral gain. Time delays are involved in measuring the frequency, which includes processing time, transmission time and time delay caused by the network [12]. These time delays are usually lumped together [11]. Applying (3) into (1) yields the closed-loop system:
where:
and:
The dynamic model of the LFC system, in the area of a multi-area power system with n control areas, can be written as:
where:
with , the tie-line coefficient between the and control areas, the load deviation, the deviation of the generator mechanical output power, the deviation of valve position, the frequency deviation, the constant of inertia for the generators, the load damping coefficient, the governor time constant, the turbine time constant, the speed drop, and the frequency bias factor, where the subscript i indicates the area. The signal in a multi-area LFC system defined as:
where is the net exchange of the tie-line power of the control area. The net tie-line power exchange and the area frequency deviation, combined via the , are applied as the inputs to the PI controller. To design the PI controller, the closed-loop state-space equation of the multi-area LFC system is written as:
where:
The multi-area LFC system is displayed in Figure 2.
Figure 2.
The dynamic model of multi-area LFC with phase and gain margins.
The net-tie line power exchange between different control areas in a multi-area LFC system must fulfill the following inequality:
Since (7) is a multi-area LFC scheme, it is considered to have multiple time delays, which are referred to as . To simplify the analysis and decrease the computations of the DM for a multi-area LFC system, it is presumed that all the time delays are identical and can be represented by a single time delay . Then, the multi-area LFC scheme becomes:
where .
The time delay, , is made up of sensor delay, analog-to-digital conversion time delay, processing time delay, multiplexing time delay and transmission time delay [13]. In a dedicated communication network this time delay could be regarded as constant and it is time-varying or random if an open communication network is used. Neglecting the effect of , which means assuming no load deviation, the multi-area LFC (9) becomes:
Definition 1
(GPM Compensator). The gain and phase margin (GPM) compensator is a compensator added to the system, given as:
The time delay is assumed to be constant for the following reasons: (i) The demand response is proposed to be implemented through the 5G network, in which the time delay is in the order of milliseconds, whereas it is well known that the time constant for LFC systems is in the order of seconds as the governor and the turbine need more time to respond. (ii) The constant time delay assumption allows the understanding of the interactions between the system parameters, such as the time constant of the turbine, the demand response participation factor, and the PI controller parameters to the delay margin. (iii) Time domain methods that deal with time varying delays need a solution of a set of LMIs, which is not a simple task, as the computational complexity and time increase with increasing the dimension of the system. In reality, the frequency measurements are sampled, processed and then sent over the communication network to the controller. This will introduce time delay, which we refer to as pre-existing time delay. Applying the Laplace transform to (10) and including the phase margin, gain margin and pre-existed time delay, the characteristic equation becomes:
The system is said to be stable with time delay if all the poles of (12) are on the left-half plane, or all the eigenvalues are negative. The delay-free system is presumed to be stable, which means all the eigenvalues of are negative. When the time delay is larger than DM, some poles will cross the imaginary axis. Thus, some eigenvalues become positive and the system becomes unstable.
3. The Delay-Dependent Stability
Time delay systems are divided into two: delay-independent and delay-dependent systems. The DM parameter determines the stability of the system. The proposed approaches in the literature are either in the time domain or the frequency domain. For the time domain methods, a set of LMIs needs to be solved, which is not an easy task and the computation complexity and computation time increase with the increasing dimension of the problem. Additionally, it is difficult to establish a direct relation between the delay margin and the parameters of the system and the controller. On the other hand, we can derive an analytical formula to relate the delay margin to the system and controller parameters, which is very important in practice. The proposed method has a simple structure and is easy to be implemented for other time delay systems. For the LFC system (10) to have some poles on the imaginary axis, it must satisfy:
where is defined as the open right half plane. The solution of (13), implies the existence of some eigenvalues that are purely imaginary for the given time delay. In case the time delay is less than the DM, all the poles are on the left-half plane and the system is asymptotically stable. If the time delay is greater than the DM, some poles will be on the right-half plane and the system is unstable. Based on this, as the time delay increases, the poles will cross the imaginary axis when . The system is stable, independent of time delay, if there are no poles on the imaginary axis for any positive time delay. In [14,15,16], the spectral radius is used as a measure of the stability of the time delay system. In this paper, we present a simpler method where we convert the transcendental characteristic equation into a nonlinear equation through the introduction of a new variable, namely, .
Now, given the phase margin, gain margin and pre-existing time delay, we turn our attention to find the DM. Replacing s with , (13) becomes:
To find the DM, the transcendental Equation (14) needs to be solved; however, its solution is difficult. Now, the challenge is to determine the crossing frequencies. Introducing a new variable , then (14) becomes:
Now, (15) can be solved by noting that at the crossing frequency, we have . The sweeping test can be implemented to determine the crossing frequencies exactly; however, the sweeping range should be determined. Solving (15) will yield a number of solutions, , ,⋯, . These solutions must satisfy the following:
Equation (16) is to be solved in order to find the crossing frequencies . As are solutions of (14), then we must have:
From (17), if are identified, then the crossing frequencies and crossing angles can be determined and, hence, the delay margin can be computed. Based on this, the following theorem can be derived.
Theorem 1.
The computation of the DM is performed in the domain. For given system parameters with pre-existed time delay, phase margin and gain margin, the DM can be computed using Theorem 1. Solving (16) yields the crossing frequency, . As , the crossing frequencies are determined when or . When or , the system becomes unstable, and when or , the system is stable, see Figure 3. When for any , the system is stable independent of time delay. It should be noted that represents small perturbations at the imaginary axis.
Figure 3.
The crossing frequency.
Corollary 1.
: Regardless of delay, the system is stable if:
- is stable;
- A is stable;
- .
Within Corollary 1, there are 3 conditions that signify the delay-independent stability. The first expresses that as the system is stable, the second expresses that as , the system is stable and the third expresses that at every value of within the range of , the system is stable. By testing the following conditions,
it can be determined whether or not the system is stable independent of time delay. If for some values of , then there exists a solution for .
4. Results
4.1. The Spectral Radius of Single-Area LFC System
Applying Theorem 1 to the LFC system given by (4) and setting , the spectral radius is given by:
where . Then:
with . Solving (21) yields only one eigenvalue:
with , , , , , and the constants , , , , , , and .
Substituting all the coefficients, (22) can be written as:
From (16), we must have:
It should be noted that the single-area LFC system results in a single eigenvalue. Equation (24) is a nonlinear equation in . For a given set of parameters, the solution of (24) gives the crossing frequencies. According to Theorem 1, to find the crossing angles requires solving:
Then, the DM can be computed as:
The DM computation method is summarized in the following steps:
4.2. Single Area LFC Systems
In this subsection, we compare the accuracy of our proposed method with the methods proposed in [8,9,17]. For the purpose of comparison, we use the parameters given in [2,6,9,11,17] where , , , , and . Unless otherwise stated, the unit for DM computed in this subsection and the rest of the paper is in seconds. Table 1 clearly indicates that the proposed method yields more accurate DM values with a simpler procedure and less computations. The DMs in Table 1 are compared to the results of some latest published methods and they are less conservative, thus more accurate, as confirmed by time-domain simulations. For example, the results are similar to [8] where the imaginary roots are mapped to a solution of polynomials, and are less conservative than the LMI-based results obtained by [9] where the Lyapunov–Krasovskii functional is used.
Table 1.
Delay margin (single-area LFC system).
For and , the constants were: , which makes: , , , , and . Solving (24), the crossing frequency, rad/s. To find the corresponding crossing angle we solve (25), which gives rad. The DM was obtained as 0.361 s. The crossing frequencies are given in Table 2 and the crossing angles are given in Table 3. The frequency deviation with and and different time delays are displayed in Figure 4. In the simulation, a sudden load demand increase of 0.1 pu occurred at s. The system with 0.361 s was almost oscillatory, and with 0.34 s it was stable and unstable with 0.4 s.
Table 2.
Crossing angles, , rad.
Table 3.
Crossing frequencies, , rad/s.
Figure 4.
The frequency deviation with and .
From Table 1, it can be seen that the controller gains and had a strong impact on the DM. Increasing and caused a reduction in the DM, where caused more effects. In order to have a faster response and reduce the steady-state error, and need to be larger. However, as can also be seen from Table 1, this reduces the DM, and consequently degrades the system performance. From Table 3, the system tends to oscillate with low frequency at higher DM and vice versa.
4.3. Phase and Gain Margin
The DMs as a function of the PI controller gains and are listed in Table 4. With and the constants were , , , , , , , , which gave , , , , , . Solving (24), the crossing frequency was rad/s. To find the corresponding crossing angle, we solved (25), which gave rad. The DM was then 0.7273 s, which showed a reduction compared to the DM with , where the delay was 3.9802 s. The frequency deviation with , and is shown in Figure 5, which proves the accuracy of the DM computation. The DMs with are shown in Table 5. From Table 4 and Table 5, clearly increasing reduced the DM. The DM with was given in Table 6. With , and , the parameters were: , , , , , , , . Solving (24), the crossing frequency was rad/s, to find the corresponding crossing angle we solved (25), which gives rad. The DM was then 5.6042 s. Adding the phase margin the total DM becomes s. The frequency deviation with , and is shown in Figure 6. Table 7 shows the DM with , while Table 8 shows the DMs with and .
Table 4.
Delay margin (, ).
Figure 5.
The frequency deviation with with , and .
Table 5.
Delay margin (, ).
Table 6.
Delay margin (, ).
Figure 6.
The frequency deviation with , , and .
Table 7.
Delay margin (, ).
Table 8.
Delay margin (, ).
4.4. The Stability Region of Single-Area LFC System
The stability region is the range of the controller gains, and , where the system is stable. For the load frequency control system with phase margin, gain margin and time delay, the spectral radius is given as:
Solving (27) and rearranging we get:
It should be noted that Sonmez et al., in [11], obtained similar equations to (31) and (32) using frequency domain method. The stability region with , and s is shown in Figure 7. In [11], the time domain simulation is used to determine which region is the stability region. Using the spectral radius, the stability region is identified. With rad/s, and , the spectral radius equals 1.0, while with , , it is less than 1.0, which shows that the stability region is on the left of the stability locus. The frequency deviation with various values of and is shown in Figure 8. The stability boundary point is and . The point and is a stability point, and the point and is an instability point. The simulation proves the validity of the stability region.
Figure 7.
The stability region for single-area LFC system.
Figure 8.
The frequency deviation with different ’s and ’s.
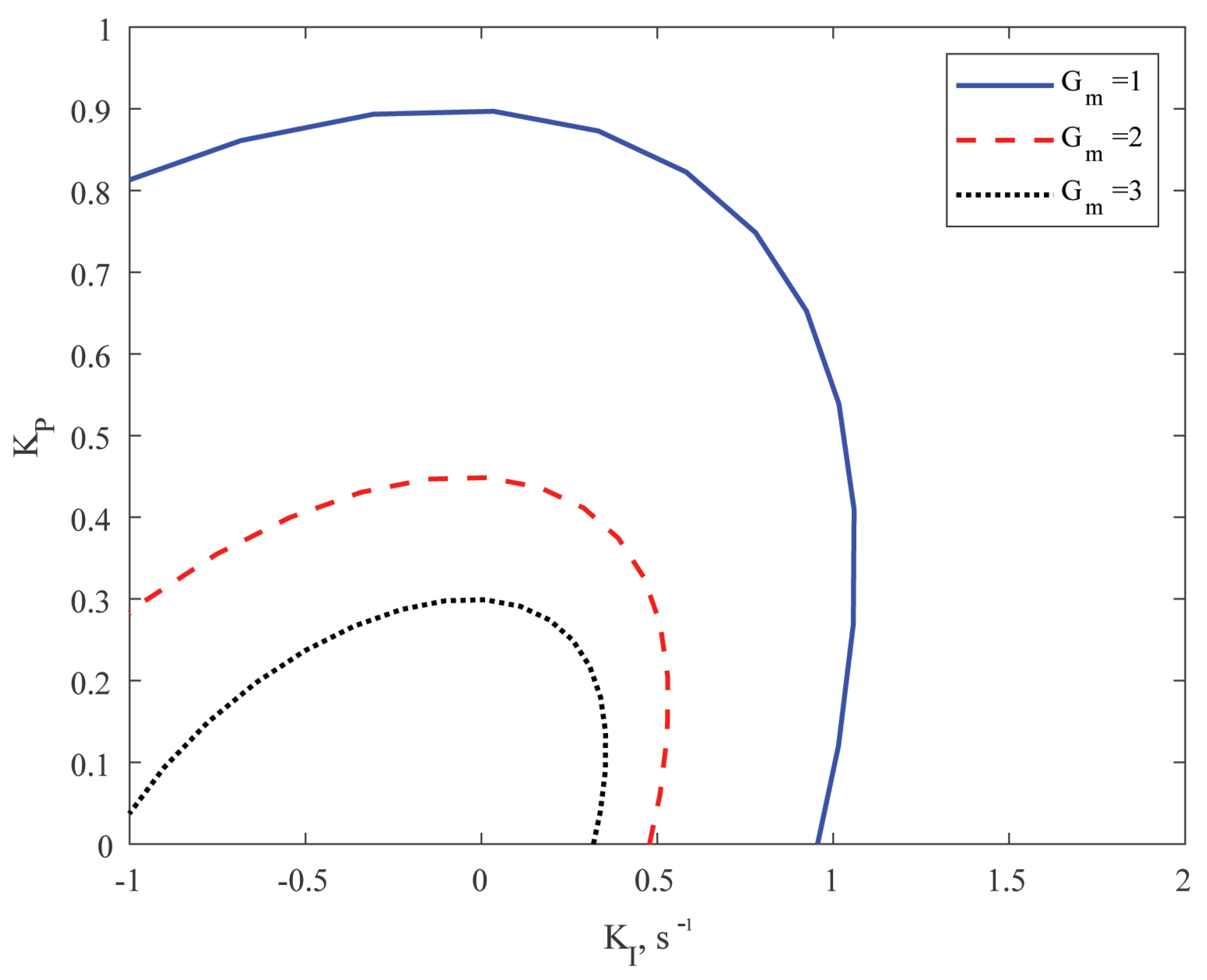
The effect of the pre-existing time delay, the phase margin and the gain margin are shown in Figure 9, Figure 10 and Figure 11, respectively. Clearly, increasing the time delay results in reducing the stability region. Increasing the phase margin reduces the stability region, but the gain margin has a strong impact on the stability region. In the real system, it is difficult to determine the accurate values of the system parameters. It is usually assumed that these parameters have some uncertainties. To find the effect of this uncertainty, we modify (31) and (32) by including the uncertainties as follows:
where:
Figure 9.
The stability region for single-area LFC system with s and s.
Figure 10.
The stability region for single-area LFC system with , , and s.
Figure 11.
The stability region for single-area LFC system with , and .
The parameters are given as: , , , , , . The DMs are computed while the parameters are changed in the range from −20% to +20%. For M, the DM change becomes large for large values of and . The turbine and the governor time constants have small effects on the DM. D has the smallest effect on the DM. The DM changes from 10% to a 20% change in the droop constant R. The secondary loop gain has the strongest impact on the DM. To examine the effects of these parameters on the stability region, the stability region is determined, while the parameters are changed. Figure 12 shows the stability region with different system parameters and it is clear that the droop control constant R and the secondary loop gain have the strongest impact on the stability region.
Figure 12.
The stability region for single-area LFC system with different values of (a) , (b) , (c) R, (d) D, (e) , (f) M.
4.5. Two-Area LFC System
Recall the two-area LFC system, as displayed in Figure 2, the system matrices of the two-area LFC system are given as:
The parameters in A and are given as , , , , and , , , , , and , , . To simplify the analysis, and . The time delays and are assumed to be equal. The DMs of the two-area LFC system are given in Table 9. The delay margin results are compared with the results presented in [10] and they are almost similar. Increasing the and reduces the DM. The DM with and was 1.8813 s. Since , so we have two generalized eigenvalues. To show the DM computation process, we follow the following steps:
Table 9.
Delay margin (two-area LFC system, ).
Step 1: For the two-area LFC system the two generalized eigenvalues are the solution of the following second-order polynomial:
where , , .
With the given system parameters, we compute . With and , the constants were , , , , , , , , , , , , , , , , , .
Step 2: For a given and , solve (16) to find the crossing frequencies , in this case, the two crossing frequencies are: rad/s and rad/s. The two crossing frequencies are shown in Figure 13.
Figure 13.
The generalized eigenvalues as functions of the frequency.
Step 3: Solve (17) to find the crossing angles. We get rad and rad.
Step 4: Compute the DM using (18). The two DMs are s and s, so the DM is 1.8813 s. The frequency deviation in the first area and in the second area with time delays are displayed in Figure 14 and Figure 15.
Figure 14.
The frequency deviation in the first area.
Figure 15.
The frequency deviation in the second area.
Table 10 and Table 11 show the DMs with and and, as can be seen, increasing the gain margin reduces the DM. The DMs with are shown in Table 12 and the DM is considerably reduced.
Table 10.
Delay margin (two-area LFC system, ).
Table 11.
Delay margin (two-area LFC system, ).
Table 12.
Delay margin (two-area LFC system, ).
Table 9, Table 10 and Table 12 were compared with the results of Sonmez et al. in [18], and proved to be less conservative. It must be stressed that increasing the PI controller gains has a stronger impact on the DM for the two-area LFC system than for the single-area LFC system. For multiple time delay equations, (13) can be modified to account for the multiple delays as:
As the delay margins are interdependent in [19], the delay margin for multiple time delay is assumed to be . This approach can be used to solve (36).
5. Conclusions
In this paper, we introduce a stability analysis method for an LFC system with communication delay. The analysis is conducted in the frequency domain without any approximation. The DMs are computed by finding the crossing frequencies by solving nonlinear equations. Single-area and two-area LFC systems are selected as case studies, and the DMs are compared with values obtained using other methods reported in the literature. The proposed method gives precise delay margins compared to existing methods, as demonstrated by the time delay simulation. Two main advantages of the proposed method are its simplicity and accuracy. The delay margin results are more accurate than the results reported in the literature; additionally, the method can identify the stability in a clear manner.
For a single-area LFC system, the delay margin is strongly dependent on and . Increasing both gains reduces the delay margin. The delay margin strongly depends on the droop constant R. The secondary loop gain, has the strongest impact on both the delay margin and the stability region; as , increases, the stability region is reduced. It is also noted that the delay margin is sensitive to the change in the system parameters. In order to cope with this problem, the controller needs to be adapted as the fixed gain controller cannot satisfy proper performance under uncertainties. An analytical formula to identify the stability region for a single-area LFC system is also proposed. For the two-area LFC system, there are two generalized eigenvalues, while for the single-area LFC system, there is only one generalized eigenvalue.
Author Contributions
A.K. proposed the new approach, D.S.L. and A.K. derived theorem 1 and Corollary 1; A.K. carried out the simulations; A.K. and D.S.L. wrote and edited the paper. All authors have read and agreed to the published version of the manuscript.
Funding
This research received no external funding.
Conflicts of Interest
The authors declare no conflict of interest.
References
- Saadat, H. Power System Analysis, 3rd ed.; PSA Publishing LLC: Alexandria, VA, USA, 2011. [Google Scholar]
- Khalil, A.; Swee Peng, A. A new method for computing the delay margin for the stability of load frequency control systems. Energies 2018, 11, 3460. [Google Scholar] [CrossRef] [Green Version]
- Yang, F.; He, J.; Pan, Q. Further Improvement on Delay-Dependent Load Frequency Control of Power Systems via Truncated B-L Inequality. IEEE Trans. Power Syst. 2018, 33, 5062–5071. [Google Scholar] [CrossRef]
- Liu, P.; Huang, Z.; Liu, Y.; Wang, Z. Delay-dependent stability analysis for load frequency control systems with two delay components. In Proceedings of the 30th Chinese Control and Decision Conference, Shenyang, China, 9–11 June 2018; pp. 6476–6481. [Google Scholar]
- Ko, K.S.; Sung, D.K. The effect of EV aggregators with time-varying delays on the stability of a load frequency control system. IEEE Trans. Power Syst. 2018, 33, 669–680. [Google Scholar] [CrossRef]
- Chen, B.Y.; Shangguan, X.C.; Jin, L.; Li, D.Y. An improved stability criterion for load frequency control of power systems with time-varying delays. Energies 2020, 13, 2101. [Google Scholar] [CrossRef] [Green Version]
- Jin, L.; Zhang, C.; He, Y.; Member, S.; Jiang, L.; Wu, M. Delay-Dependent Stability Analysis of Multi-Area Load Frequency Control with Enhanced Accuracy and Computation Efficiency. IEEE Trans. Power Syst. 2019, 34, 3687–3696. [Google Scholar] [CrossRef]
- Sönmez, S.; Ayasun, S.; Nwankpa, C.O. An exact method for computing delay margin for stability of load frequency control systems with constant communication delays. IEEE Trans. Power Syst. 2016, 31, 370–377. [Google Scholar] [CrossRef]
- Jiang, L.; Yao, W.; Wu, Q.H.; Wen, J.Y.; Cheng, S.J. Delay-dependent stability for load frequency control with constant and time-varying delays. IEEE Trans. Power Syst. 2012, 27, 932–941. [Google Scholar] [CrossRef]
- Ayasun, S. Gain and phase margins-based delay margin computation of load frequency control systems using Rekasius substitution. Trans. Inst. Meas. Control 2019, 41, 3385–3395. [Google Scholar] [CrossRef]
- Sönmez, S.; Ayasun, S. Stability Region in the Parameter Space of PI Controller for a Single-Area Load Frequency Control System With Time Delay. IEEE Trans. Power Syst. 2016, 31, 829–830. [Google Scholar] [CrossRef]
- Khalil, A.; Wang, J.; Mohamed, O. Robust stabilization of load frequency control system under networked environment. Int. J. Autom. Comput. 2017, 14, 93–105. [Google Scholar] [CrossRef]
- Naduvathuparambil, B.; Valenti, M.C.; Feliachi, A. Communication delays in wide area measurement systems. In Proceedings of the 34th Southeastern Symposium on System Theory, Huntsville, AL, USA, 17–19 March 2002; pp. 118–122. [Google Scholar]
- Gu, K.; Kharitonov, V.L.; Chen, J. Stability of Time-Delay Systems (Control Engineering); Birkhäuser: Boston, MA, USA, 2003. [Google Scholar]
- Chen, J. On computing the maximal delay intervals for stability of linear delay systems. IEEE Trans. Autom. Control 1995, 40, 1087–1093. [Google Scholar] [CrossRef]
- Chen, J.; Latchman, H.A. Frequency sweeping tests for stability independent of delay. IEEE Trans. Autom. Control 1995, 40, 1640–1645. [Google Scholar] [CrossRef]
- Ramakrishnan, K.; Ray, G. Improved Results on Delay-Dependent Stability of LFC Systems with Multiple Time-Delays. J. Control Autom. Electr. Syst. 2015, 26, 235–240. [Google Scholar] [CrossRef]
- Sonmez, S.; Ayasun, S. Gain and phase margins based delay-dependent stability analysis of two-area LFC system with communication delays. In Proceedings of the 10th International Conference Electrical and Electronics Engineering (ELECO), Bursa, Turkey, 30 November–2 December 2017; pp. 1409–1413. [Google Scholar]
- Zhang, C.K.; Jiang, L.; Wu, Q.H.; Wu, M. Further results on delay-dependent stability of multi-area load frequency control. IEEE Trans. Power Syst. 2013, 28, 4465–4474. [Google Scholar] [CrossRef]
Publisher’s Note: MDPI stays neutral with regard to jurisdictional claims in published maps and institutional affiliations. |
© 2022 by the authors. Licensee MDPI, Basel, Switzerland. This article is an open access article distributed under the terms and conditions of the Creative Commons Attribution (CC BY) license (https://creativecommons.org/licenses/by/4.0/).














