Developing a Proximate Component Prediction Model of Biomass Based on Element Analysis
Abstract
1. Introduction
2. Materials and Methods
2.1. Collection and Selection of Suitable Data
2.2. Element and Proximate Analyses
| C [%] | H [%] | N [%] | O [%] | S [%] | VM [%] | FC [%] | Ash [%] | Ref |
|---|---|---|---|---|---|---|---|---|
| 44.414 | 6.07 | 0.977 | 40.2 | 0 | 76 | 9.05 | 3.55 | This study |
| 45.241 | 5.514 | 0.858 | 31.007 | 0 | 75.1 | 13.09 | 3.61 | |
| 45.533 | 5.603 | 0.989 | 30.269 | 0 | 74.21 | 14.48 | 3.91 | |
| 45.222 | 5.928 | 1.001 | 30.132 | 0 | 73.9 | 15.73 | 6.61 | |
| 48.417 | 5.841 | 1.008 | 29.208 | 0 | 73.25 | 16.51 | 3.6 | |
| 50.262 | 5.549 | 1.034 | 30.726 | 0 | 72.27 | 18.42 | 3.68 | |
| 50.629 | 5.533 | 1.098 | 27.841 | 0 | 72.03 | 19.15 | 3.56 | |
| 54.011 | 5.501 | 1.08 | 24.995 | 0 | 67.9 | 23.6 | 3.98 | |
| 54.954 | 5.738 | 1.218 | 25.817 | 0 | 65.56 | 25.92 | 4.2 | |
| 55.038 | 5.492 | 0.927 | 25.474 | 0 | 65.36 | 26.53 | 3.96 | |
| 43.25 | 5.57 | 0.6 | 41.89 | 0 | 73.87 | 17.44 | 8.69 | [52] |
| 48.18 | 5.46 | 0.69 | 36.2 | 0 | 71.53 | 19 | 9.47 | |
| 55.03 | 4.97 | 0.82 | 28.63 | 0 | 62.59 | 26.86 | 10.55 | |
| 61.7 | 4.19 | 0.94 | 21.88 | 0 | 45.45 | 43.26 | 11.29 | |
| 59.980 | 5.400 | 0.250 | 33.350 | 0 | 66.47 | 28.55 | 0.98 | [53] |
| 60.980 | 5.100 | 0.210 | 32.690 | 0 | 62.85 | 32.36 | 0.98 | |
| 63.440 | 5.100 | 0.180 | 30.720 | 0 | 65.71 | 30.24 | 0.54 | |
| 64.370 | 5.000 | 0.180 | 29.800 | 0 | 65.71 | 30.24 | 0.65 | |
| 51.910 | 6.100 | 0.100 | 41.000 | 0 | 69.80 | 18.20 | 0.74 | |
| 50.300 | 5.300 | 0.000 | 44.400 | 0 | 84.20 | 15.50 | 0.30 | [54] |
| 51.700 | 5.400 | 0.000 | 42.900 | 0 | 80.60 | 19.20 | 0.35 | |
| 54.400 | 5.200 | 0.000 | 40.400 | 0 | 75.70 | 24.20 | 0.40 | |
| 47.000 | 6.070 | 0.210 | 46.600 | 0.120 | 82.94 | 16.14 | 0.92 | [55] |
| 47.920 | 3.500 | 1.340 | 47.060 | 0.170 | 30.56 | 43.17 | 26.27 | |
| 58.430 | 3.010 | 1.020 | 37.380 | 0.160 | 20.82 | 57.19 | 21.99 | |
| 67.310 | 2.670 | 0.870 | 28.980 | 0.170 | 5.33 | 77.35 | 17.32 | |
| 74.080 | 2.500 | 0.500 | 22.740 | 0.170 | 4.72 | 83.25 | 12.03 | |
| 62.200 | 5.180 | 1.690 | 24.210 | 0 | 60.77 | 32.50 | 6.72 | [56] |
| 71.130 | 4.030 | 1.940 | 15.050 | 0 | 29.85 | 62.30 | 7.85 | |
| 74.880 | 2.880 | 1.770 | 10.410 | 0 | 23.19 | 66.75 | 10.06 | |
| 80.010 | 2.720 | 1.280 | 6.590 | 0 | 14.86 | 75.73 | 9.40 | |
| 45.150 | 5.150 | 0.750 | 42.920 | 0.140 | 75.55 | 18.58 | 5.87 | [57] |
| 71.340 | 3.930 | 1.430 | 10.840 | 0.240 | 27.06 | 62.72 | 12.22 | |
| 75.030 | 2.620 | 1.410 | 7.790 | 0.240 | 17.49 | 69.60 | 12.91 | |
| 78.480 | 1.880 | 1.530 | 3.940 | 0.320 | 11.49 | 74.66 | 13.85 | |
| 44.430 | 6.160 | 0.180 | 49.230 | 0 | 67.30 | 19.50 | 1.70 | [58] |
| 45.710 | 5.890 | 0.000 | 48.400 | 0 | 69.60 | 18.80 | 0.90 | |
| 79.970 | 3.530 | 0.010 | 16.490 | 0 | 32.10 | 60.00 | 3.10 | |
| 79.820 | 3.550 | 0.010 | 16.620 | 0 | 29.20 | 61.30 | 4.80 | |
| 77.480 | 3.640 | 0.100 | 18.780 | 0 | 25.00 | 69.10 | 2.00 | |
| 78.190 | 3.220 | 0.690 | 17.900 | 0 | 27.60 | 66.80 | 2.80 | |
| 76.950 | 3.320 | 0.740 | 18.899 | 0 | 26.10 | 68.10 | 1.00 | |
| 78.540 | 3.250 | 0.590 | 17.620 | 0 | 25.00 | 71.30 | 1.00 | |
| 46.370 | 6.290 | 46.790 | 0.550 | 0.110 | 83.46 | 14.26 | 2.17 | [59] |
| 41.920 | 4.210 | 53.640 | 0.230 | 0.100 | 71.18 | 26.94 | 1.77 | |
| 47.160 | 4.730 | 47.850 | 0.250 | 0.130 | 71.86 | 25.52 | 2.49 | |
| 52.700 | 3.800 | 43.220 | 0.280 | 0.140 | 62.19 | 34.46 | 3.22 | |
| 58.250 | 2.810 | 38.680 | 0.310 | 0.150 | 51.85 | 44.04 | 3.95 | |
| 45.650 | 5.120 | 39.630 | 1.660 | 0.920 | 73.94 | 14.39 | 7.020 | [60] |
| 58.040 | 4.280 | 18.790 | 2.750 | 0.870 | 43.82 | 37.21 | 15.270 | |
| 59.140 | 3.470 | 14.540 | 2.530 | 0.790 | 31.78 | 42.38 | 19.530 | |
| 62.590 | 3.360 | 9.910 | 2.510 | 0.770 | 21.12 | 51.78 | 20.860 | |
| 63.930 | 0.670 | 9.430 | 2.150 | 0.860 | 18.73 | 54.11 | 20.960 | |
| 63.830 | 1.650 | 9.330 | 2.110 | 0.630 | 17.83 | 54.07 | 22.390 | |
| 62.010 | 1.850 | 9.790 | 2.220 | 0.670 | 17.50 | 54.01 | 23.460 |
2.3. Evaluation of Correlations
2.4. Prediction of HHV
3. Results & Discussions
3.1. Pearson Correlation
3.2. Prediction Equation of VM
3.3. Prediction Equation for Fixed Carbon
3.4. Prediction Equation for Ash Content
3.5. Validation of Correlation Equation
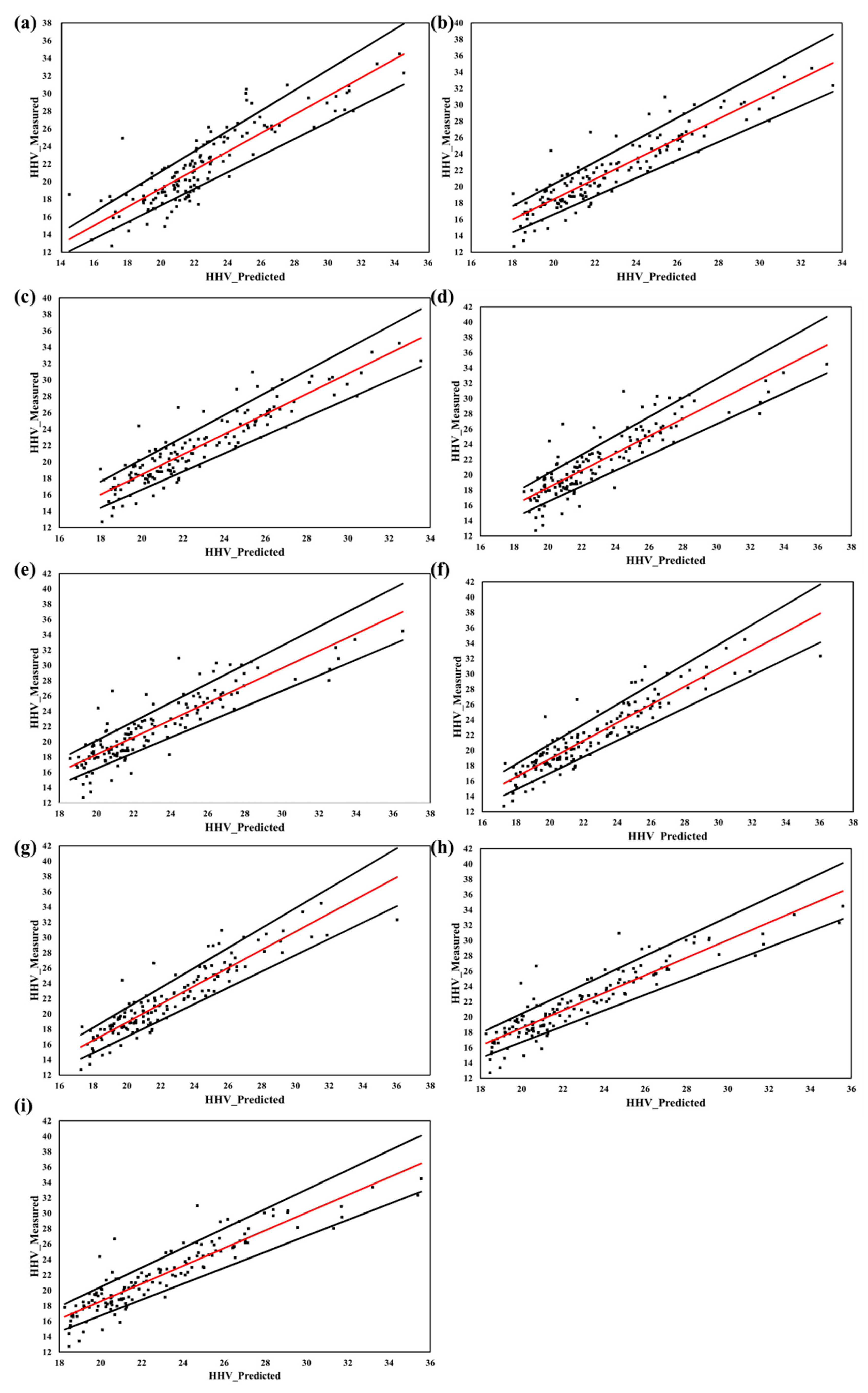
3.6. Prediction of HHV
4. Conclusions
Supplementary Materials
Author Contributions
Funding
Conflicts of Interest
References
- Yi, L.; Feng, J.; Qin, Y.H.; Li, W.Y. Prediction of elemental composition of coal using proximate analysis. Fuel 2017, 193, 315–321. [Google Scholar] [CrossRef]
- Ceylan, Z.; Sungur, B. Estimation of coal elemental composition from proximate analysis using machine learning techniques. Energy Sources Part A Recover. Util. Environ. Eff. 2020, 42, 2576–2592. [Google Scholar] [CrossRef]
- Telmo, C.; Lousada, J.; Moreira, N. Proximate analysis, backwards stepwise regression between gross calorific value, ultimate and chemical analysis of wood. Bioresour. Technol. 2010, 101, 3808–3815. [Google Scholar] [CrossRef] [PubMed]
- Shen, J.; Zhu, S.; Liu, X.; Zhang, H.; Tan, J. The prediction of elemental composition of biomass based on proximate analysis. Energy Convers. Manag. 2010, 51, 983–987. [Google Scholar] [CrossRef]
- Qian, C.; Li, Q.; Zhang, Z.; Wang, X.; Hu, J.; Cao, W. Prediction of higher heating values of biochar from proximate and ultimate analysis. Fuel 2020, 265, 116925. [Google Scholar] [CrossRef]
- Yin, C.-Y. Prediction of higher heating values of biomass from proximate and ultimate analys. Fuel 2011, 90, 1128–1132. [Google Scholar] [CrossRef]
- Lawal, A.I.; Aladejare, A.E.; Onifade, M.; Bada, S.; Idris, M.A. Predictions of elemental composition of coal and biomass from their proximate analyses using ANFIS, ANN and MLR. Int. J. Coal Sci. Technol. 2021, 8, 124–140. [Google Scholar] [CrossRef]
- Su, Y.; Zhang, S.; Liu, L.; Qi, P.; Xu, D.; Shi, L.; Gao, J.; Zhang, H.; Zhu, S. Upgrading biomass fuels via combination of CO2-leaching and torrefaction. Energy Fuels 2021, 35, 5006–5014. [Google Scholar] [CrossRef]
- Tu, R.; Jiang, E.; Yan, S.; Xu, X.; Rao, S. The pelletization and combustion properties of terrified Camellia shell via dry and hydrothermal torrefaction: A comparative evaluation. Bioresour. Technol. 2018, 264, 78–89. [Google Scholar] [CrossRef]
- Cao, L.; Yuan, X.; Jiang, L.; Li, C.; Xiao, Z.; Huang, Z.; Chen, X.; Zeng, G.; Li, H. Thermogravimetric characteristics and kinetics analysis of oil cake and torrefied biomass blends. Fuel 2016, 175, 129–136. [Google Scholar] [CrossRef]
- Chen, D.; Cen, K.; Cao, X.; Li, Y.; Zhang, Y.; Ma, H. Restudy on torrefaction of corn stalk from the point of view of deoxygenation and decarbonization. J. Anal. Appl. Pyrolysis 2018, 135, 85–93. [Google Scholar] [CrossRef]
- Bai, X.; Wang, G.; Wang, D.; Wang, Z.; He, C. Physical and chemical properties of non-treated and torrefied wheat straw grinds. In Proceedings of the American Society of Agricultural and Biological Engineers ASABE Annual International Meeting, Orlando, FL, USA, 17–20 July 2016; pp. 2–8. [Google Scholar] [CrossRef]
- Sibiya, N.T.; Oboirien, B.; Lanzini, A.; Gandiglio, M.; Ferrero, D.; Papurello, D.; Bada, S.O. Effect of different pre-treatment methods on gasification properties of grass biomass. Renew. Energy 2021, 170, 875–883. [Google Scholar] [CrossRef]
- Wu, J.; Wang, L.; Ma, H.; Zhou, J. Investigation of element migration characteristics and product properties during biomass pyrolysis: A case study of pine cones rich in nitrogen. RSC Adv. 2021, 11, 34795–34805. [Google Scholar] [CrossRef] [PubMed]
- Tsai, W.T.; Liu, S.C.; Hsieh, C.H. Preparation and fuel properties of biochars from the pyrolysis of exhausted coffee residue. J. Anal. Appl. Pyrolysis 2012, 93, 63–67. [Google Scholar] [CrossRef]
- Huang, C.W.; Li, Y.H.; Xiao, K.L.; Lasek, J. Cofiring characteristics of coal blended with torrefied Miscanthus biochar optimized with three Taguchi indexes. Energy 2019, 172, 566–579. [Google Scholar] [CrossRef]
- Wang, Q.; Han, K.; Gao, J.; Li, H.; Lu, C. The pyrolysis of biomass briquettes: Effect of pyrolysis temperature and phosphorus additives on the quality and combustion of bio-char briquettes. Fuel 2017, 199, 488–496. [Google Scholar] [CrossRef]
- Shen, X.; Wu, Y.; Xu, X.; Su, J.; He, Z.; Jiang, E.; Ren, Y.; Sun, Y. Torrefaction enhanced biomass chemical-looping gasification coupled with CO2-splitting via half doped LaFe0.5M0.5O3 perovskites. SSRN Electron. J. 2022, 234, 107314. [Google Scholar] [CrossRef]
- Xing, X.; Fan, F.; Jiang, W. Characteristics of biochar pellets from corn straw under different pyrolysis temperatures. R. Soc. Open Sci. 2018, 5, 1–10. [Google Scholar] [CrossRef]
- Wang, H.; Wang, X.; Cui, Y.; Xue, Z.; Ba, Y. Slow pyrolysis polygeneration of bamboo (Phyllostachys pubescens): Product yield prediction and biochar formation mechanism. Bioresour. Technol. 2018, 263, 444–449. [Google Scholar] [CrossRef]
- Sharma, T.; Ratner, A. Analysis and characterization of metallic nodules on biochar from single-stage downdraft gasification. Processes 2021, 9, 533. [Google Scholar] [CrossRef]
- Wu, C.; Budarin, V.L.; Wang, M.; Sharifi, V.; Gronnow, M.J.; Wu, Y.; Swithenbank, J.; Clark, J.H.; Williams, P.T. CO2 gasification of bio-char derived from conventional and microwave pyrolysis. Appl. Energy 2015, 157, 533–539. [Google Scholar] [CrossRef]
- Zhu, G.; Yang, L.; Gao, Y.; Xu, J.; Chen, H.; Zhu, Y.; Wang, Y.; Liao, C.; Lu, C.; Zhu, C. Characterization and pelletization of cotton stalk hydrochar from HTC and combustion kinetics of hydrochar pellets by TGA. Fuel 2019, 244, 479–491. [Google Scholar] [CrossRef]
- Bian, R.; Ma, B.; Zhu, X.; Wang, W.; Li, L.; Joseph, S.; Liu, X.; Pan, G. Pyrolysis of crop residues in a mobile bench-scale pyrolyser: Product characterization and environmental performance. J. Anal. Appl. Pyrolysis 2016, 119, 52–59. [Google Scholar] [CrossRef]
- Peng, J.; Bi, X.T.; Lim, C.J.; Peng, H.; Kim, C.S.; Jia, D.; Zuo, H. Sawdust as an effective binder for making torrefied pellets. Appl. Energy 2015, 157, 491–498. [Google Scholar] [CrossRef]
- Luo, H.; Bao, L.; Kong, L.; Sun, Y. Low temperature microwave-assisted pyrolysis of wood sawdust for phenolic rich compounds: Kinetics and dielectric properties analysis. Bioresour. Technol. 2017, 238, 109–115. [Google Scholar] [CrossRef] [PubMed]
- Kong, L.; Tian, S.H.; Li, Z.; Luo, R.; Chen, D.; Tu, Y.T.; Xiong, Y. Conversion of recycled sawdust into high HHV and low NOx emission bio-char pellets using lignin and calcium hydroxide blended binders. Renew. Energy 2013, 60, 559–565. [Google Scholar] [CrossRef]
- Felfli, F.F.; Luengo, C.A.; Suárez, J.A.; Beatón, P.A. Wood briquette torrefaction. Energy Sustain. Dev. 2005, 9, 19–22. [Google Scholar] [CrossRef]
- Zhao, S.; Zhang, Y.; Su, Y. Experimental investigation of rice straw oxidative pyrolysis process in a hot-rod reactor. J. Anal. Appl. Pyrolysis 2019, 142, 104646. [Google Scholar] [CrossRef]
- Tsai, W.T.; Lin, Y.Q.; Tsai, C.H.; Chung, M.H.; Chu, M.H.; Huang, H.J.; Jao, Y.H.; Yeh, S.I. Conversion of water caltrop husk into torrefied biomass by torrefaction. Energy 2020, 195, 116967. [Google Scholar] [CrossRef]
- Park, S.; Lee, S.; Joo, S.; Cho, L.; Oh, K.; Lee, S.; Jeong, I.S.; Lee, C.G.; Hong, S.J.; Kim, S.J.; et al. Simulation & model validation of torrefaction process and analysis of the fuel properties for pepper stem. New Renew. Energy 2017, 13, 64–70. [Google Scholar] [CrossRef]
- Park, S.; Kim, S.J.; Oh, K.C.; Cho, L.; Kim, M.J.; Jeong, I.S.; Lee, C.G.; Kim, D. Investigation of agro-byproduct pellet properties and improvement in pellet quality through mixing. Energy 2020, 190, 116380. [Google Scholar] [CrossRef]
- Chen, D.; Zhou, J.; Zhang, Q.; Zhu, X.; Lu, Q. Upgrading of rice husk by torrefaction and its influence on the fuel properties. BioResources 2014, 9, 5893–5905. [Google Scholar] [CrossRef]
- Sarker, T.R.; Azargohar, R.; Dalai, A.K.; Meda, V. Enhancement of fuel and physicochemical properties of canola residues via microwave torrefaction. Energy Rep. 2021, 7, 6338–6353. [Google Scholar] [CrossRef]
- Crombie, K.; Mašek, O.; Sohi, S.P.; Brownsort, P.; Cross, A. The effect of pyrolysis conditions on biochar stability as determined by three methods. GCB Bioenergy 2013, 5, 122–131. [Google Scholar] [CrossRef]
- Adilah, S.; Nur, S.; Nurhayati, A. Slow pyrolysis of oil palm empty fruit bunches for biochar production and characterisation. J. Phys. Sci. 2014, 25, 97–112. [Google Scholar]
- Ścisłowska, M.; Włodarczyk, R.; Kobyłecki, R.; Bis, Z. Biochar to improve the quality and productivity of soils. J. Ecol. Eng. 2015, 16, 31–35. [Google Scholar] [CrossRef]
- Angin, D.; Şensöz, S. Effect of pyrolysis temperature on chemical and surface properties of biochar of rapeseed (Brassica napus L.). Int. J. Phytoremed. 2014, 16, 684–693. [Google Scholar] [CrossRef]
- Matali, S.; Rahman, N.A.; Idris, S.S.; Yaacob, N.; Alias, A.B. Lignocellulosic biomass solid fuel properties enhancement via torrefaction. Procedia Eng. 2016, 148, 671–678. [Google Scholar] [CrossRef]
- Sukiran, M.A.; Kheang, L.S.; Bakar, N.A.; May, C.Y. Production and characterization of bio-char from the pyrolysis of empty fruit bunches. Am. J. Appl. Sci. 2011, 8, 984–988. [Google Scholar] [CrossRef]
- Ohliger, A.; Förster, M.; Kneer, R. Torrefaction of beechwood: A parametric study including heat of reaction and grindability. Fuel 2013, 104, 607–613. [Google Scholar] [CrossRef]
- Ameen, A.; Saeed, H.; Harun, N.Y.; Nasef, M.M. Physicochemical characterization of different agricultural residues in Malaysia for bio char production. Int. J. Civ. Eng. Technol. 2019, 2, 10–22. [Google Scholar]
- Chen, W.H.; Lu, K.M.; Tsai, C.M. An experimental analysis on property and structure variations of agricultural wastes undergoing torrefaction. Appl. Energy 2012, 100, 318–325. [Google Scholar] [CrossRef]
- Rousset, P.; Aguiar, C.; Labbé, N.; Commandré, J.M. Enhancing the combustible properties of bamboo by torrefaction. Bioresour. Technol. 2011, 102, 8225–8231. [Google Scholar] [CrossRef]
- Iáñez-Rodríguez, I.; Martín-Lara, M.Á.; Blázquez, G.; Pérez, A.; Calero, M. Effect of torrefaction conditions on greenhouse crop residue: Optimization of conditions to upgrade solid characteristics. Bioresour. Technol. 2017, 244, 741–749. [Google Scholar] [CrossRef] [PubMed]
- Kim, S.J.; Oh, K.C.; Park, S.Y.; Ju, Y.M.; Cho, L.H.; Lee, C.G.; Kim, M.-J.; Jeong, I.-S.; Kim, D.-H. Development and validation of mass reduction prediction model and analysis of fuel properties for agro-byproduct torrefaction. Energies 2021, 14, 6125. [Google Scholar] [CrossRef]
- Chen, W.H.; Huang, M.Y.; Chang, J.S.; Chen, C.Y.; Lee, W.J. An energy analysis of torrefaction for upgrading microalga residue as a solid fuel. Bioresour. Technol. 2015, 185, 285–293. [Google Scholar] [CrossRef] [PubMed]
- Ministry of Environment. Quality Test and Analysis Method of Solid Fuel Product; Ministry of Environment: Seoul, Republic of Korea, 2014.
- ISO 18134-1; 2015 Solid Biofuels—Determination of Moisture Content—Oven Dry Method—Part 1: Total Moisture—Reference Method. International Organization for Standardization: Geneva, Switzerland, 2015.
- ISO 18123; 2015 Solid Biofuels—Determination of the Content of Volatile Matter. International Organization for Standardization: Geneva, Switzerland, 2015.
- ISO 18122; 2015 Solid Biofuels—Determination of Ash Content. International Organization for Standardization: Geneva, Switzerland, 2015.
- Jung, J.-M.; Park, S.-H.; Lee, Y.-S.; Gim, J.-H. The development of iInfrared thermal imaging safety diagnosis system using Pearson’s correlation coefficient. J. Korean Sol. Energy Soc. 2019, 39, 55–65. [Google Scholar] [CrossRef]
- Nhuchhen, D.R.; Abdul Salam, P. Estimation of higher heating value of biomass from proximate analysis: A new approach. Fuel 2012, 99, 55–63. [Google Scholar] [CrossRef]
- Channiwala, S.A.; Parikh, P.P. A unified correlation for estimating HHV of solid, liquid and gaseous fuels. Fuel 2002, 81, 1051–1063. [Google Scholar] [CrossRef]
- Oh, K.C.; Kim, J.; Park, S.Y.; Kim, S.J.; Cho, L.H.; Lee, C.G.; Roh, J.; Kim, D.H. Development and validation of torrefaction optimization model applied element content prediction of biomass. Energy 2021, 214, 119027. [Google Scholar] [CrossRef]
- Shao, J.; Cheng, W.; Zhu, Y.; Yang, W.; Fan, J.; Liu, H.; Yang, H.; Chen, H. Effects of combined torrefaction and pelletization on particulate matter emission from biomass pellet combustion. Energy Fuels 2019, 33, 8777–8785. [Google Scholar] [CrossRef]
- Pentananunt, R.; Rahman, A.N.M.M.; Bhattacharya, S.C. Upgrading of biomass by means of torrefaction. Energy 1990, 15, 1175–1179. [Google Scholar] [CrossRef]
- Couhert, C.; Salvador, S.; Commandré, J.M. Impact of torrefaction on syngas production from wood. Fuel 2009, 88, 2286–2290. [Google Scholar] [CrossRef]
- Suman, S.; Gautam, S. Pyrolysis of coconut husk biomass: Analysis of its biochar properties. Energy Sources Part A Recover. Util. Environ. Eff. 2017, 39, 761–767. [Google Scholar] [CrossRef]
- Zhao, S.X.; Ta, N.; Wang, X.D. Effect of temperature on the structural and physicochemical properties of biochar with apple tree branches as feedstock material. Energies 2017, 10, 1293. [Google Scholar] [CrossRef]
- Karaosmanoǧlu, F.; Işigigür-Ergüdenler, A.; Sever, A. Biochar from the straw-stalk of rapeseed plant. Energy Fuels 2000, 14, 336–339. [Google Scholar] [CrossRef]
- Wallace, C.A.; Afzal, M.T.; Saha, G.C. Effect of feedstock and microwave pyrolysis temperature on physio-chemical and nano-scale mechanical properties of biochar. Bioresour. Bioprocess. 2019, 6, 33. [Google Scholar] [CrossRef]
- Manatura, K. Inert torrefaction of sugarcane bagasse to improve its fuel properties. Case Stud. Therm. Eng. 2020, 19, 100623. [Google Scholar] [CrossRef]
- Xie, R.; Zhu, Y.; Zhang, H.; Zhang, P.; Han, L. Effects and mechanism of pyrolysis temperature on physicochemical properties of corn stalk pellet biochar based on combined characterization approach of microcomputed tomography and chemical analysis. Bioresour. Technol. 2021, 329, 124907. [Google Scholar] [CrossRef] [PubMed]



| C | H | N | O | S | VM | FC | Ash | |
|---|---|---|---|---|---|---|---|---|
| C | 1 | −0.5505 ** | 0.1434 * | −0.7256 ** | 0.0318 | −0.7053 ** | 0.8622 ** | −0.0253 |
| H | −0.5505 ** | 1 | −0.2842 ** | 0.6765 ** | 0.0215 | 0.8966 ** | −0.8243 ** | −0.5461 ** |
| N | 0.1434 * | −0.2842 ** | 1 | −0.2536 ** | 0.2917 ** | −0.3554 ** | 0.2596 ** | 0.3108 ** |
| O | −0.7256 ** | 0.6765** | −0.2536 ** | 1 | −0.1745 ** | 0.8159 ** | −0.7708 ** | −0.4648 ** |
| S | 0.0318 | 0.0215 | 0.2917 ** | −0.1745 ** | 1 | −0.0279 | 0.0043 | 0.0382 |
| VM | −0.7053 ** | 0.8966 ** | −0.3554 ** | 0.8159 ** | −0.0279 | 1 | −0.9222 ** | −0.5928 ** |
| FC | 0.8622 ** | −0.8243 ** | 0.2596 ** | −0.7708 ** | 0.0043 | −0.9222 ** | 1 | 0.2596 ** |
| Ash | −0.0253 | −0.5461 ** | 0.3108 ** | −0.4648 ** | 0.0382 | −0.5928 ** | 0.2596 ** | 1 |
| Sr. No. | Equation | R2 [-] | RMSE [-] | AAE [%] | ABE [%] |
|---|---|---|---|---|---|
| (C1) | 0.4974 | 17.0704 | 54.4482 | 34.1155 | |
| (C2) | 0.8038 | 10.6537 | 25.3121 | 5.9353 | |
| (C3) | 0.6657 | 14.4275 | 50.6227 | 33.4789 | |
| (C4) | 0.4975 | 17.0928 | 54.6742 | 30.1169 | |
| (C5) | 0.7691 | 11.5869 | 27.1061 | 12.6207 | |
| (C6) | 0.6256 | 19.7179 | 74.6681 | 48.2968 | |
| (C7) | 0.8930 | 7.9366 | 20.3251 | 5.9650 | |
| (C8) | 0.9000 | 7.6557 | 19.3833 | 4.8161 | |
| (C9) | 0.9067 | 7.3231 | 19.4227 | 3.0326 | |
| (C10) | 0.8587 | 9.1222 | 22.7587 | 8.3646 | |
| (C11) | 0.8834 | 12.7811 | 29.5636 | 25.5124 | |
| (C12) | 0.9175 | 6.9817 | 16.2266 | 5.2507 | |
| (C13) | 0.9250 | 6.6600 | 15.7622 | 0.3097 | |
| (C14) | 0.8529 | 9.2252 | 28.407 | 10.3855 |
| Sr. No. | Equation | R2 [-] | RMSE [-] | AAE [%] | ABE [%] |
|---|---|---|---|---|---|
| (C15) | 0.7433 | 10.4127 | 31.8162 | 11.3907 | |
| (C16) | 0.6795 | 11.3906 | 36.4873 | 15.7797 | |
| (C17) | 0.5941 | 12.9860 | 33.5692 | 14.5535 | |
| (C18) | 0.7421 | 10.7255 | 30.2706 | 10.2721 | |
| (C19) | 0.6443 | 11.9632 | 40.5426 | 16.3633 | |
| (C20) | 0.5670 | 13.3558 | 37.6647 | 11.3571 | |
| (C21) | 0.9171 | 5.9237 | 19.5598 | 5.3955 | |
| (C22) | 0.9180 | 5.8812 | 19.6145 | 5.3913 | |
| (C23) | 0.9204 | 5.7581 | 19.2783 | 4.6649 | |
| (C24) | 0.9016 | 6.4338 | 22.3712 | 9.9211 | |
| (C25) | 0.9054 | 6.2763 | 21.5914 | 8.1136 | |
| (C26) | 0.9104 | 6.1652 | 20.0298 | 5.3331 | |
| (C27) | 0.9115 | 6.0648 | 19.5750 | 5.9540 | |
| (C28) | 0.9268 | 5.6253 | 18.9730 | 9.4295 |
| Sr. No. | Equation | R2 [-] | RMSE [-] | AAE [%] | ABE [%] |
|---|---|---|---|---|---|
| (C29) | 0.2982 | 7.9190 | 303.3270 | 285.9455 | |
| (C30) | 0.3380 | 7.3494 | 194.8745 | 167.9517 | |
| (C31) | 0.6484 | 5.3865 | 103.6460 | 76.8950 | |
| (C32) | 0.6560 | 5.2976 | 125.2741 | 102.4342 | |
| (C33) | 0.4299 | 6.8310 | 221.2780 | 191.7969 | |
| (C34) | 0.6052 | 5.6840 | 157.2964 | 135.5372 | |
| (C35) | 0.6077 | 5.6679 | 148.8836 | 124.5218 | |
| (C36) | 0.6442 | 5.4023 | 152.1289 | 131.2397 | |
| (C37) | 0.6672 | 5.2237 | 129.8906 | 109.7289 | |
| (C38) | 0.6728 | 5.1776 | 130.2347 | 109.3955 | |
| (C39) | 0.6527 | 5.6506 | 174.3943 | 157.5633 |
| R2 [-] | RMSE [-] | AAE [%] | ABE [%] | ||
|---|---|---|---|---|---|
| VM | Equation (C9) | 0.9402 | 7.0063 | 14.8170 | −11.7862 |
| Equation (C13) | 0.9476 | 6.8838 | 17.9723 | −15.9829 | |
| FC | Equation (C23) | 0.9505 | 6.3214 | 18.3199 | 15.0094 |
| Equation (C28) | 0.9582 | 6.3810 | 17.7130 | 16.1190 | |
| Ash | Equation (C31) | 0.9249 | 2.9614 | 168.9028 | 167.2849 |
| Equation (C32) | 0.9326 | 3.0426 | 202.5436 | 201.9132 |
| Measured | VM | FC | Ash | ||||
|---|---|---|---|---|---|---|---|
| Equation (C9) | Equation (C13) | Equation (C23) | Equation (C28) | Equation (C31) | Equation (C32) | ||
| Measured | √ | - | - | - | - | - | - |
| Comb_1 | - | √ | - | √ | - | √ | - |
| Comb_2 | - | √ | - | - | √ | - | √ |
| Comb_3 | - | - | √ | √ | - | √ | - |
| Comb_4 | - | - | √ | - | √ | - | √ |
| Comb_5 | - | √ | - | √ | - | √ | - |
| Comb_6 | - | √ | - | - | √ | - | √ |
| Comb_7 | - | - | √ | √ | - | √ | - |
| Comb_8 | - | - | √ | - | √ | - | √ |
| R2 [-] | RMSE [-] | AAE [%] | ABE [%] | |
|---|---|---|---|---|
| Measured | 0.7733 | 2.1876 | 8.6677 | 4.1273 |
| Comb_1 | 0.8369 | 2.1455 | 8.6944 | 5.8966 |
| Comb_2 | 0.8369 | 2.1433 | 8.6834 | 5.8615 |
| Comb_3 | 0.7805 | 2.4764 | 10.1171 | 7.6254 |
| Comb_4 | 0.7803 | 2.4734 | 10.0993 | 7.5902 |
| Comb_5 | 0.8485 | 1.9382 | 7.4788 | 4.3765 |
| Comb_6 | 0.8488 | 1.9356 | 7.4612 | 4.3413 |
| Comb_7 | 0.8343 | 2.1223 | 8.5481 | 6.1052 |
| Comb_8 | 0.8345 | 2.1186 | 8.5293 | 6.0701 |
Disclaimer/Publisher’s Note: The statements, opinions and data contained in all publications are solely those of the individual author(s) and contributor(s) and not of MDPI and/or the editor(s). MDPI and/or the editor(s) disclaim responsibility for any injury to people or property resulting from any ideas, methods, instructions or products referred to in the content. |
© 2023 by the authors. Licensee MDPI, Basel, Switzerland. This article is an open access article distributed under the terms and conditions of the Creative Commons Attribution (CC BY) license (https://creativecommons.org/licenses/by/4.0/).
Share and Cite
Park, S.; Kim, S.J.; Oh, K.C.; Cho, L.H.; Kim, D. Developing a Proximate Component Prediction Model of Biomass Based on Element Analysis. Energies 2023, 16, 509. https://doi.org/10.3390/en16010509
Park S, Kim SJ, Oh KC, Cho LH, Kim D. Developing a Proximate Component Prediction Model of Biomass Based on Element Analysis. Energies. 2023; 16(1):509. https://doi.org/10.3390/en16010509
Chicago/Turabian StylePark, Sunyong, Seok Jun Kim, Kwang Cheol Oh, La Hoon Cho, and DaeHyun Kim. 2023. "Developing a Proximate Component Prediction Model of Biomass Based on Element Analysis" Energies 16, no. 1: 509. https://doi.org/10.3390/en16010509
APA StylePark, S., Kim, S. J., Oh, K. C., Cho, L. H., & Kim, D. (2023). Developing a Proximate Component Prediction Model of Biomass Based on Element Analysis. Energies, 16(1), 509. https://doi.org/10.3390/en16010509
